Assessing the Spatial Mapping of Heat Vulnerability under Urban Heat Island (UHI) Effect in the Dhaka Metropolitan Area
Abstract
:1. Introduction
2. Materials and Methods
2.1. Description of the Study Area
2.2. Materials
2.3. Preparation of Parameters for HVI Modeling and Their Rationale
2.3.1. Satellite Image Processing and Extraction of Parameters
2.3.2. Method for LULC Classification and Validation
2.4. Heat Vulnerability Index Modeling
Modeling Process
2.5. Spatial Analysis Using the Statistical Method
3. Results
3.1. Analysis of LULC Classification and Accuracy Assessment
3.2. Modeling the Urban Heat Island
3.3. Principle Component Analysis
3.3.1. Statistical Analysis of Variables of Exposure
3.3.2. Statistical Analysis of Variables of Sensitivity
3.3.3. Statistical Analysis of Variables of Adaptive Capacity
3.4. Modeling Spatial Distribution Pattern of HVI in Dhaka Metropolitan Area
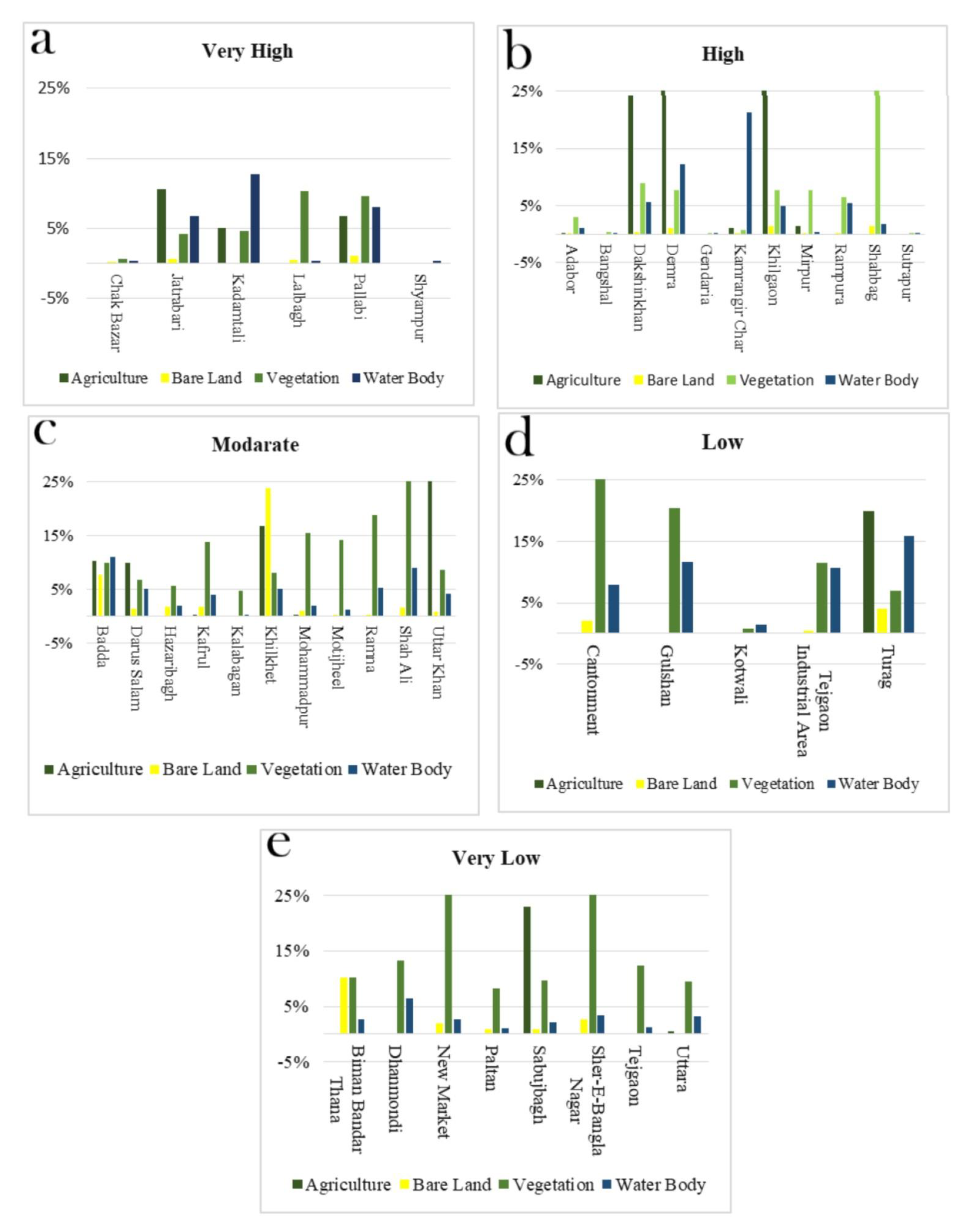
3.5. Thana-Based Land Use Land Cover Variation of Urban Heat Island Vulnerability Index in Dhaka Metropolitan Area
3.6. Identifying Correlation of NDVI, NDBI, and NDWI with Urban Heat Island Vulnerability Index in Dhaka Metropolitan Area
3.7. Identifying Spatial Distribution Pattern of Cluster-Outlier Analysis and Hotspot Analysis in Dhaka Metropolitan Area
4. Discussion
5. Conclusions
Author Contributions
Funding
Institutional Review Board Statement
Informed Consent Statement
Data Availability Statement
Conflicts of Interest
References
- Kohler, M.; Tannier, C.; Blond, N.; Aguejdad, R.; Clappier, A. Impacts of several urban-sprawl countermeasures on building (space heating) energy demands and urban heat island intensities. A case study. Urban Clim. 2017, 19, 92–121. [Google Scholar] [CrossRef]
- Karimi, M.; Nazari, R.; Dutova, D.; Khanbilvardi, R.; Ghandehari, M. A conceptual framework for environmental risk and social vulnerability assessment in complex urban settings. Urban Clim. 2018, 26, 161–173. [Google Scholar] [CrossRef]
- Liu, X.; Yue, W.; Yang, X.; Hu, K.; Zhang, W.; Huang, M. Mapping Urban Heat Vulnerability of Extreme Heat in Hangzhou via Comparing Two Approaches. Complexity 2020, 2020, 9717658. [Google Scholar] [CrossRef]
- Shahfahad; Talukdar, S.; Rihan, M.; Hang, H.T.; Bhaskaran, S.; Rahman, A. Modelling Urban Heat Island (UHI) and Thermal Field and Their Relationship with Land Use Indices over Delhi and Mumbai Metro Cities. Environ. Dev. Sustain. 2021, 24, 3762–3790. [Google Scholar] [CrossRef]
- Seto, K.C.; Shepherd, J.M. Global urban land-use trends and climate impacts. Curr. Opin. Environ. Sustain. 2009, 1, 89–95. [Google Scholar] [CrossRef]
- Shahfahad; Naikoo, M.W.; Islam, A.R.M.T.; Mallick, J.; Rahman, A. Land use/land cover change and its impact on surface urban heat island and urban thermal comfort in a metropolitan city. Urban Clim. 2022, 41, 101052. [Google Scholar] [CrossRef]
- Shahfahad; Rihan, M.; Naikoo, M.W.; Ali, M.A.; Usmani, T.M.; Rahman, A. Urban Heat Island Dynamics in Response to Land-Use/Land-Cover Change in the Coastal City of Mumbai. J. Indian Soc. Remote Sens. 2021, 49, 2227–2247. [Google Scholar] [CrossRef]
- Kong, J.; Zhao, Y.; Carmeliet, J.; Lei, C. Urban Heat Island and Its Interaction with Heatwaves: A Review of Studies on Mesoscale. Sustainability 2021, 13, 10923. [Google Scholar] [CrossRef]
- Li, Y.; Schubert, S.; Kropp, J.P.; Rybski, D. On the influence of density and morphology on the Urban Heat Island intensity. Nat. Commun. 2020, 11, 2647. [Google Scholar] [CrossRef]
- He, B.-J.; Ding, L.; Prasad, D. Relationships among local-scale urban morphology, urban ventilation, urban heat island and outdoor thermal comfort under sea breeze influence. Sustain. Cities Soc. 2020, 60, 102289. [Google Scholar] [CrossRef]
- Stone, B.; Vargo, J.; Habeeb, D. Managing climate change in cities: Will climate action plans work? Landsc. Urban Plan. 2012, 107, 263–271. [Google Scholar] [CrossRef]
- Carter, J.G.; Cavan, G.; Connelly, A.; Guy, S.; Handley, J.; Kazmierczak, A. Climate change and the city: Building capacity for urban adaptation. Prog. Plan. 2015, 95, 1–66. [Google Scholar] [CrossRef]
- Limaye, V.S.; Vargo, J.; Harkey, M.; Holloway, T.; Patz, J.A. Climate Change and Heat-Related Excess Mortality in the Eastern USA. Ecohealth 2018, 15, 485–496. [Google Scholar] [CrossRef] [PubMed]
- Dewan, A.; Kiselev, G.; Botje, D.; Mahmud, G.I.; Bhuian, M.H.; Hassan, Q.K. Surface urban heat island intensity in five major cities of Bangladesh: Patterns, drivers and trends. Sustain. Cities Soc. 2021, 71, 102926. [Google Scholar] [CrossRef]
- Xiang, Z.; Qin, H.; He, B.J.; Han, G.; Chen, M. Heat vulnerability caused by physical and social conditions in a mountainous megacity of Chongqing, China. Sustain. Cities Soc. 2022, 80, 103792. [Google Scholar] [CrossRef]
- Brooke Anderson, G.; Bell, M.L. Heat waves in the United States: Mortality risk during heat waves and effect modification by heat wave characteristics in 43 U.S. communities. Environ. Health Perspect. 2011, 119, 210–218. [Google Scholar] [CrossRef] [Green Version]
- Montero, J.C.; Mirón, I.J.; Criado-Álvarez, J.J.; Linares, C.; Díaz, J. Influence of local factors in the relationship between mortality and heat waves: Castile-La Mancha (1975–2003). Sci. Total Environ. 2012, 414, 73–80. [Google Scholar] [CrossRef]
- Leal Filho, W.; Wolf, F.; Castro-Díaz, R.; Li, C.; Ojeh, V.N.; Gutiérrez, N.; Nagy, G.J.; Savić, S.; Natenzon, C.E.; Quasem Al-Amin, A.; et al. Addressing the Urban Heat Islands Effect: A Cross-Country Assessment of the Role of Green Infrastructure. Sustainability 2021, 13, 753. [Google Scholar] [CrossRef]
- He, B.J.; Wang, J.; Zhu, J.; Qi, J. Beating the urban heat: Situation, background, impacts and the way forward in China. Renew. Sustain. Energy Reviews 2022, 161, 112350. [Google Scholar] [CrossRef]
- Li, X.; Zhou, Y.; Yu, S.; Jia, G.; Li, H.; Li, W. Urban heat island impacts on building energy consumption: A review of approaches and findings. Energy 2019, 174, 407–419. [Google Scholar] [CrossRef]
- Su, M.A.; Ngarambe, J.; Santamouris, M.; Yun, G.Y. Empirical evidence on the impact of urbanoverheating on building cooling and heatingenergy consumption. Iscience 2021, 24, 10249. [Google Scholar] [CrossRef] [PubMed]
- Uddin, N. Assessing Urban Sustainability of Slum Settlements in Bangladesh: Evidence from Chittagong City. J. Urban Manag. 2018, 7, 32–42. [Google Scholar] [CrossRef]
- Ahmed, S.; Hasan, M.Z.; Pongsiri, M.J.; Ahmed, M.W.; Szabo, S. Effect of extreme weather events on injury, disability, and death in Bangladesh. Clim. Dev. 2021, 13, 306–317. [Google Scholar] [CrossRef]
- Telesca, V.; Lay-Ekuakille, A.; Ragosta, M.; Giorgio, G.A.; Lumpungu, B. Effects on Public Health of Heat Waves to Improve the Urban Quality of Life. Sustainability 2018, 10, 1082. [Google Scholar] [CrossRef] [Green Version]
- Roos, N.; Kovats, S.; Hajat, S.; Filippi, V.; Chersich, M.; Luchters, S.; Scorgie, F.; Nakstad, B.; Stephansson, O.; Hess, J.; et al. Maternal and newborn health risks of climate change: A call for awareness and global action. Acta Obstet. Gynecol. Scand. 2021, 100, 566–570. [Google Scholar] [CrossRef]
- Tuholske, C.; Caylor, K.; Funk, C.; Verdin, A.; Sweeney, S.; Grace, K.; Peterson, P.; Evans, T. Global urban population exposure to extreme heat. Proc. Natl. Acad. Sci. USA 2021, 118, e2024792118. [Google Scholar] [CrossRef]
- Cianconi, P.; Betrò, S.; Janiri, L. The impact of climate change on mental health: A systematic descriptive review. Front. Psychiatry 2020, 11, 74. [Google Scholar] [CrossRef]
- Sarkar, S.K.; Rahman, M.A.; Esraz-Ul-Zannat, M.; Islam, M.F. Simulation-based modeling of urban waterlogging in Khulna City. J. Water Clim. Chang. 2020, 12, 1–14. [Google Scholar] [CrossRef]
- Rahman, S.; Rahman, M.A. Climate extremes and challenges to infrastructure development in coastal cities in Bangladesh. Weather. Clim. Extrem. 2015, 7, 96–108. [Google Scholar] [CrossRef] [Green Version]
- Uddin, A.S.M.; Khan, N.; Islam, A.R.M.; Kamruzzaman, M.; Shahid, S. Changes in urbanization and urban heat island effect in Dhaka city. Theor. Appl. Climatol. 2022, 147, 891–907. [Google Scholar] [CrossRef]
- Nissan, H.; Burkart, K.; De Perez, E.C.; Van Aalst, M.; Mason, S.J. Defining and Predicting Heat Waves in Bangladesh. J. Appl. Meteorol. Clim. 2017, 56, 2653–2670. [Google Scholar] [CrossRef]
- Nissan, H.; Munoz, A.G.; Mason, S.J. Targeted model evaluations for climate services: A case study on heat waves in Bangladesh. Clim. Risk Manag. 2020, 28, 100213. [Google Scholar] [CrossRef]
- Dewan, A.; Kiselev, G.; Botje, D. Diurnal and seasonal trends and associated determinants of surface urban heat islands in large Bangladesh cities. Appl. Geogr. 2021, 135, 102533. [Google Scholar] [CrossRef]
- Ahmed, B.; Kamruzzaman, M.D.; Zhu, X.; Shahinoor Rahman, M.D.; Choi, K. Simulating land cover changes and their impacts on land surface temperature in Dhaka, Bangladesh. Remote Sens. 2013, 5, 5969–5998. [Google Scholar] [CrossRef] [Green Version]
- Burkart, K.; Schneider, A.; Breitner, S.; Khan, M.H.; Krämer, A.; Endlicher, W. The effect of atmospheric thermal conditions and urban thermal pollution on all-cause and cardiovascular mortality in Bangladesh. Environ. Pollut. 2011, 159, 2035–2043. [Google Scholar] [CrossRef] [PubMed] [Green Version]
- Burkart, K.; Breitner, S.; Schneider, A.; Khan, M.M.H.; Krämer, A.; Endlicher, W. An analysis of heat effects in different subpopulations of Bangladesh. Int. J. Biometeorol. 2014, 58, 227–237. [Google Scholar] [CrossRef]
- Kubilay, A.; Allegrini, J.; Strebel, D.; Zhao, Y.; Derome, D.; Carmeliet, J. Advancement in Urban Climate Modelling at Local Scale: Urban Heat Island Mitigation and Building Cooling Demand. Atmosphere 2020, 11, 1313. [Google Scholar] [CrossRef]
- Vanos, J.K.; Baldwin, J.W.; Jay, O.; Ebi, K.L. Simplicity lacks robustness when projecting heat-health outcomes in a changing climate. Nat. Commun. 2020, 11, 1–5. [Google Scholar] [CrossRef]
- Conlon, K.C.; Mallen, E.; Gronlund, C.J.; Berrocal, V.J.; Larsen, L.; O’neill, M.S. Mapping human vulnerability to extreme heat: A critical assessment of heat vulnerability indices created using principal components analysis. Environ. Health Perspect. 2020, 128, 1–14. [Google Scholar] [CrossRef]
- Qi, J.; Ding, L.; Lim, S. Toward cool cities and communities: A sensitivity analysis method to identify the key planning and design variables for urban heat mitigation techniques. Sustain. Cities Soc. 2021, 75, 103377. [Google Scholar] [CrossRef]
- Morais, L.; Lopes, A.; Nogueira, P. Human health outcomes at the neighbourhood scale implications: Elderly’s heat-related cardiorespiratory mortality and its influencing factors. Sci. Total Environ. 2021, 760, 144036. [Google Scholar] [CrossRef] [PubMed]
- Pioppi, B.; Pigliautile, I.; Pisello, A.L. Human-centric microclimate analysis of Urban Heat Island: Wearable sensing and data-driven techniques for identifying mitigation strategies in New York City. Urban Clim. 2020, 34, 100716. [Google Scholar] [CrossRef]
- Wang, C.; Chang, H.T. Hotspots, Heat Vulnerability and Urban Heat Islands: An Interdisciplinary Review of Research Methodologies. Can. J. Remote Sens. 2020, 46, 532–551. [Google Scholar] [CrossRef]
- Niu, Y.; Li, Z.; Gao, Y.; Liu, X.; Xu, L.; Vardoulakis, S.; Yue, Y.; Wang, J.; Liu, Q. A Systematic Review of the Development and Validation of the Heat Vulnerability Index: Major Factors, Methods, and Spatial Units. Curr. Clim. Change Rep. 2021, 7, 87–97. [Google Scholar] [CrossRef] [PubMed]
- Cheng, W.; Li, D.; Liu, Z.; Brown, R.D. Approaches for identifying heat-vulnerable populations and locations: A systematic review. Sci. Total Environ. 2021, 799, 149417. [Google Scholar] [CrossRef]
- Buo, I.; Sagris, V.; Burdun, I.; Uuemaa, E. Estimating the expansion of urban areas and urban heat islands (UHI) in Ghana: A case study. Nat. Hazards 2021, 105, 1299–1321. [Google Scholar] [CrossRef]
- Jolliffe, I.T.; Cadima, J. Principal component analysis: A review and recent developments. Philos. Trans. R. Soc. A 2016, 374, 20150202. [Google Scholar] [CrossRef]
- Arbuthnott, K.G.; Hajat, S. The health effects of hotter summers and heat waves in the population of the United Kingdom: A review of the evidence. Environ. Health Glob. Access Sci. Source 2017, 16, 1–13. [Google Scholar] [CrossRef] [Green Version]
- Zacharias, S.; Koppe, C.; Mücke, H.-G. Climate Change Effects on Heat Waves and Future Heat Wave-Associated IHD Mortality in Germany. Climate 2015, 3, 100–117. [Google Scholar] [CrossRef] [Green Version]
- Jandaghian, Z.; Akbari, H. The effects of increasing surface reflectivity on heat-related mortality in Greater Montreal Area, Canada. Urban Clim. 2018, 25, 135–151. [Google Scholar] [CrossRef]
- Maharjan, M.; Aryal, A.; Man Shakya, B.; Talchabhadel, R.; Thapa, B.R.; Kumar, S. Evaluation of Urban Heat Island (UHI) Using Satellite Images in Densely Populated Cities of South Asia. Earth 2021, 2, 86–110. [Google Scholar] [CrossRef]
- Mohammad, P.; Goswami, A. Spatial variation of surface urban heat island magnitude along the urban-rural gradient of four rapidly growing Indian cities. Geocarto Int. 2021, 1–23. [Google Scholar] [CrossRef]
- Roy, S.; Pandit, S.; Eva, E.A.; Bagmar, M.S.H.; Papia, M.; Banik, L.; Dube, T.; Rahman, F.; Razi, M.A. Examining the nexus between land surface temperature and urban growth in Chattogram Metropolitan Area of Bangladesh using long term Landsat series data. Urban Clim. 2020, 32, 100593. [Google Scholar] [CrossRef]
- Khare, V.R.; Vajpai, A.; Gupta, D. A big picture of urban heat island mitigation strategies and recommendation for India. Urban Clim. 2021, 37, 100845. [Google Scholar] [CrossRef]
- Arifwidodo, S.D.; Chandrasiri, O. Urban heat stress and human health in Bangkok, Thailand. Environ. Res. 2020, 185, 109398. [Google Scholar] [CrossRef] [PubMed]
- Bangladesh Bureau of Statistics (BBS). Population and Housing Census 2011. Community Report; BBS: Dhaka, Bangladesh, 2011.
- Faisal, A.-A.; Kafy, A.-A.; Al Rakib, A.; Akter, K.S.; Jahir, D.M.A.; Sikdar, M.S.; Ashrafi, T.J.; Mallik, S.; Rahman, M.M. Assessing and predicting land use/land cover, land surface temperature and urban thermal field variance index using Landsat imagery for Dhaka Metropolitan area. Environ. Challenges 2021, 4, 100192. [Google Scholar] [CrossRef]
- Trotter, L.; Dewan, A.; Robinson, T. Effects of rapid urbanisation on the urban thermal environment between 1990 and 2011 in Dhaka Megacity, Bangladesh. AIMS Environ. Sci. 2017, 4, 145–167. [Google Scholar] [CrossRef]
- Dousset, B.; Gourmelon, F.; Laaidi, K.; Zeghnoun, A.; Giraudet, E.; Bretin, P.; Mauri, E.; Vandentorren, S. Satellite monitoring of summer heat waves in the Paris metropolitan area. Int. J. Climatol. 2011, 31, 313–323. [Google Scholar] [CrossRef]
- Groce, N.; Bellamy, R.; Wolff, J. Managing the health effects of climate change: Lancet and University College London Institute for Global Health Commission. Lancet. 2009, 373, 1693–1733. [Google Scholar]
- Wheeler, B.W.; Lovell, R.; Higgins, S.L.; White, M.P.; Alcock, I.; Osborne, N.J.; Husk, K.; Sabel, C.E.; Depledge, M.H. Beyond greenspace: An ecological study of population general health and indicators of natural environment type and quality. Int. J. Health Geogr. 2015, 14, 1–17. [Google Scholar] [CrossRef] [Green Version]
- McGeehin, M.A.; Mirabelli, M. The potential impacts of climate variability and change on temperature-related morbidity and mortality in the United States. Environ. Health Perspect. 2001, 109, 185–189. [Google Scholar] [CrossRef] [PubMed] [Green Version]
- Chen, K.; Bi, J.; Chen, J.; Chen, X.; Huang, L.; Zhou, L. Influence of heat wave definitions to the added effect of heat waves on daily mortality in Nanjing, China. Sci. Total Environ. 2015, 506–507, 18–25. [Google Scholar] [CrossRef] [PubMed]
- Yang, J.; Yin, P.; Sun, J.; Wang, B.; Zhou, M.; Li, M.; Tong, S.; Meng, B.; Guo, Y.; Liu, Q. Heatwave and mortality in 31 major Chinese cities: Definition, vulnerability and implications. Sci. Total Environ. 2019, 649, 695–702. [Google Scholar] [CrossRef] [PubMed]
- Holstein, J.; Canouï-Poitrine, F.; Neumann, A.; Lepage, E.; Spira, A. Were less disabled patients the most affected by 2003 heat wave in nursing homes in Paris, France? J. Public Health 2005, 27, 359–365. [Google Scholar] [CrossRef] [PubMed] [Green Version]
- Opiyo, F.E.O.; Wasonga, O.V.; Nyangito, M.M. Measuring household vulnerability to climate-induced stresses in pastoral rangelands of Kenya: Implications for resilience programming. Pastoralism 2014, 4, 1–15. [Google Scholar] [CrossRef] [Green Version]
- Madrigano, J.; Ito, K.; Johnson, S.; Kinney, P.L.; Matte, T. A case-only study of vulnerability to heat wave–related mortality in New York City (2000–2011). Environ. Health Perspect. 2015, 123, 672–678. [Google Scholar] [CrossRef] [PubMed]
- Uddin, M.N.; Saiful Islam, A.K.M.; Bala, S.K.; Islam, G.M.T.; Adhikary, S.; Saha, D.; Haque, S.; Fahad, M.G.R.; Akter, R. Mapping of climate vulnerability of the coastal region of Bangladesh using principal component analysis. Appl. Geogr. 2019, 102, 47–57. [Google Scholar] [CrossRef]
- Inostroza, L.; Palme, M.; De La Barrera, F. A heat vulnerability index: Spatial patterns of exposure, sensitivity and adaptive capacity for Santiago de Chile. PLoS ONE 2016, 11, e0162464. [Google Scholar] [CrossRef] [Green Version]
- Jiang, L. Living Conditions of the Floating Population in Urban China. Hous. Stud. 2007, 21, 719–744. [Google Scholar] [CrossRef]
- Huong, N.T.L.; Yao, S.; Fahad, S. Assessing household livelihood vulnerability to climate change: The case of Northwest Vietnam. Hum. Ecol. Risk Assess. 2019, 25, 1157–1175. [Google Scholar] [CrossRef]
- Mushore, T.D.; Mutanga, O.; Odindi, J.; Dube, T. Determining extreme heat vulnerability of Harare Metropolitan City using multispectral remote sensing and socio-economic data. J. Spat. Sci. 2018, 63, 173–191. [Google Scholar] [CrossRef]
- Gabriel, K.M.A.; Endlicher, W.R. Urban and rural mortality rates during heat waves in Berlin and Brandenburg, Germany. Environ. Pollut. 2011, 159, 2044–2050. [Google Scholar] [CrossRef]
- Brooks, N.; Adger, W.N.; Kelly, P.M. The determinants of vulnerability and adaptive capacity at the national level and the implications for adaptation. Glob. Environ. Chang. 2005, 15, 151–163. [Google Scholar] [CrossRef]
- Hess, J.J.; McDowell, J.Z.; Luber, G. Integrating climate change adaptation into public health practice: Using adaptive management to increase adaptive capacity and build resilience. Environ. Health Perspect. 2012, 120, 171–179. [Google Scholar] [CrossRef] [PubMed] [Green Version]
- Patankar, A.; Patwardhan, A. Estimating the uninsured losses due to extreme weather events and implications for informal sector vulnerability: A case study of Mumbai, India. Nat. Hazards 2016, 80, 285–310. [Google Scholar] [CrossRef]
- Coffel, E.D.; Horton, R.M.; De Sherbinin, A. Temperature and humidity based projections of a rapid rise in global heat stress exposure during the 21st century. Environ. Res. Lett. 2018, 13, 014001. [Google Scholar] [CrossRef] [PubMed]
- Oleson, K.W.; Monaghan, A.; Wilhelmi, O.; Barlage, M.; Brunsell, N.; Feddema, J.; Hu, L.; Steinhoff, D.F. Interactions between urbanization, heat stress, and climate change. Clim. Change 2015, 129, 525–541. [Google Scholar] [CrossRef]
- Chow, W.T.L.; Chuang, W.-C.; Gober, P. Vulnerability to Extreme Heat in Metropolitan Phoenix: Spatial, Temporal, and Demographic Dimensions. Prof. Geogr. 2012, 64, 286–302. [Google Scholar] [CrossRef]
- Talukdar, S.; Pal, S. Impact of dam on inundation regime of flood plain wetland of punarbhaba river basin of barind tract of Indo-Bangladesh. Int. Soil Water Conserv. Res. 2017, 5, 109–121. [Google Scholar] [CrossRef]
- Li, X.; Zhou, Y.; Zhao, M.; Zhao, X. A harmonized global nighttime light dataset 1992–2018. Sci. Data 2020, 7, 1–9. [Google Scholar] [CrossRef]
- Mallick, J.; Singh, V.P.; Almesfer, M.K.; Talukdar, S.; Alsubhi, M.; Ahmed, M.; Khan, R.A. Spatio-temporal analysis and simulation of land cover changes and their impacts on land surface temperature in urban agglomeration of Bisha Watershed, Saudi Arabia. Geocarto Int. 2021, 1–27. [Google Scholar] [CrossRef]
- Talukdar, S.; Singha, P.; Mahato, S.; Pal, S.; Liou, Y.A.; Rahman, A. Land-use land-cover classification by machine learning classifiers for satellite observations—A review. Remote Sens. 2020, 12, 1135. [Google Scholar] [CrossRef] [Green Version]
- Bindajam, A.A.; Mallick, J.; Talukdar, S.; Islam, A.R.M.; Alqadhi, S. Integration of artificial intelligence–based LULC mapping and prediction for estimating ecosystem services for urban sustainability: Past to future perspective. Arab. J. Geosci. 2021, 14, 1–23. [Google Scholar] [CrossRef]
- Bhatti, S.S.; Tripathi, N.K. Built-up area extraction using Landsat 8 OLI imagery. GIScience Remote Sens. 2014, 51, 445–467. [Google Scholar] [CrossRef] [Green Version]
- AlQadhi, S.; Mallick, J.; Talukdar, S.; Bindajam, A.A.; Shohan, A.A.A.; Shahfahad. Quantification of Urban Sprawl for Past-To-Future in Abha City, Saudi Arabia. Cmes-Comput. Modeling Eng. Sci. 2021, 129, 755–786. [Google Scholar] [CrossRef]
- Mallick, J.; AlQadhi, S.; Talukdar, S.; Pradhan, B.; Bindajam, A.A.; Islam, A.R.M.; Dajam, A.S. A Novel Technique for Modeling Ecosystem Health Condition: A Case Study in Saudi Arabia. Remote Sens. 2021, 13, 2632. [Google Scholar] [CrossRef]
- Kovats, R.; Hajat, S. Heat stress and public health: A critical review. Annu. Rev. Public Health 2008, 29, 41–55. [Google Scholar] [CrossRef]
- Luber, G.; McGeehin, M. Climate change and extreme heat events. Am. J. Prev. Med. 2008, 35, 429–435. [Google Scholar] [CrossRef]
- Knowlton, K.; Lynn, B.; Goldberg, R.A.; Rosenzweig, C.; Hogrefe, C.; Rosenthal, J.K.; Kinney, P.L. Projecting heat-related mortality impacts under a changing climate in the New York City region. Am. J. Public Health 2007, 97, 2028–2034. [Google Scholar] [CrossRef]
- Reid, C.E.; O’neill, M.S.; Gronlund, C.J.; Brines, S.J.; Brown, D.G.; Diez-Roux, A.V.; Schwartz, J. Mapping community determinants of heat vulnerability. Environ. Health Perspect. 2009, 117, 1730–1736. [Google Scholar] [CrossRef]
- Curriero, F.C.; Heiner, K.S.; Samet, J.M.; Zeger, S.L.; Strug, L.; Patz, J.A. Temperature and mortality in 11 cities of the eastern United States. Am. J. Epidemiol. 2002, 155, 80–87. [Google Scholar] [CrossRef] [PubMed]
- Cutter, S.L.; Boruff, B.J.; Shirly, W.L. Social Science Quarterly. Soc. Vulnerability Environ. Hazards 2003, 84, 242–261. [Google Scholar]
- Tate, E.; Cutter, S.L.; Berry, M. Integrated multihazard mapping. Environ. Plan. B: Plan. Des. 2010, 37, 646–663. [Google Scholar] [CrossRef] [Green Version]
- Wolf, T.; McGregor, G. The development of a heat wave vulnerability index for London, United Kingdom. Weather. Clim. Extrem. 2013, 1, 59–68. [Google Scholar] [CrossRef] [Green Version]
- Jolliffe, I.T. Principal Component Analysis for Special Types of Data; Springer: New York, NY, USA, 2002; pp. 338–372. [Google Scholar]
- Chen, Y. New Approaches for Calculating Moran’s Index of Spatial Autocorrelation. PLoS ONE 2013, 8, e68336. [Google Scholar] [CrossRef] [PubMed] [Green Version]
- Duan, L.; Xu, L.; Liu, Y.; Lee, J. Cluster-based outlier detection. Ann. Oper. Res. 2009, 168, 151–168. [Google Scholar] [CrossRef]
- Lepczyk, C.A.; Hammer, R.B.; Stewart, S.I.; Radeloff, V.C. Spatiotemporal dynamics of housing growth hotspots in the North Central, U.S. from 1940 to 2000. Landsc. Ecol. 2007, 22, 939–952. [Google Scholar] [CrossRef]
- Dong, W.; Liu, Z.L.; Liao, H.L.; Tang, Q.; Li, X.E. New climate and socio-economic scenarios for assessing global human health challenges due to heat risk. Clim. Change 2015, 130, 505–518. [Google Scholar] [CrossRef] [Green Version]
- Chen, T.L.; Lin, H.; Chiu, Y.H. Heat vulnerability and extreme heat risk at the metropolitan scale: A case study of Taipei metropolitan area, Taiwan. Urban Climate. 2020, 41, 101054. [Google Scholar] [CrossRef]
- Lemonsu, A.; Viguie, V.; Daniel, M.; Masson, V. Vulnerability to heat waves: Impact of urban expansion scenarios on urban heat island and heat stress in Paris (France). Urban Clim. 2015, 14, 586–605. [Google Scholar] [CrossRef]
- Salata, F.; Golasi, I.; Petitti, D.; De Lieto Vollaro, E.; Coppi, M.; De Lieto Vollaro, A. Relating microclimate, human thermal comfort and health during heat waves: An analysis of heat island mitigation strategies through a case study in an urban outdoor environment. Sustain. Cities Soc. 2017, 30, 79–96. [Google Scholar] [CrossRef]
- Chaudhuri, G.; Mishra, N.B. Spatio-temporal dynamics of land cover and land surface temperature in Ganges-Brahmaputra delta: A comparative analysis between India and Bangladesh. Appl. Geogr. 2016, 68, 68–83. [Google Scholar] [CrossRef]
- Ibitoye, M.O.; Aderibigbe, O.G.; Adegboyega, S.A.; Adebola, A.O. Spatio-temporal analysis of land surface temperature variations in the rapidly developing Akure and its environs, southwestern Nigeria using Landsat data. Ethiop. J. Environ. Stud. Manag. 2017, 10, 389–403. [Google Scholar] [CrossRef] [Green Version]
- Wilson, B.; Chakraborty, A. Mapping vulnerability to extreme heat events: Lessons from metropolitan Chicago. J. Environ. Plan. Manag. 2019, 62, 1065–1088. [Google Scholar] [CrossRef]
- Zander, K.K.; Cadag, J.R.; Escarcha, J.; Garnett, S.T. Perceived heat stress increases with population density in urban Philippines. Environ. Res. Lett. 2018, 13, 084009. [Google Scholar] [CrossRef]
- Mohit, M.A. Bastee settlements of Dhaka City, Bangladesh: A review of policy approaches and challenges ahead. Procedia-Soc. Behav. Sci. 2012, 36, 611–622. [Google Scholar] [CrossRef] [Green Version]
- Hossain, S. Rapid urban growth and poverty in Dhaka city. Bangladesh E-J. Sociol. 2008, 5, 1–24. [Google Scholar]
- Awal, M.A.; Rashid, M.; Islam, A.; Imam, M.; Sarkar, M. Measuring climate change vulnerability and its adaptive capacity: Policies and planning for Bangladesh. Br. J. Environ. Clim. Change 2016, 6, 279–298. [Google Scholar] [CrossRef]
- Mortreux, C.; Barnett, J. Adaptive capacity: Exploring the research frontier. Wiley Interdiscip. Rev. Clim. Change 2017, 8, e467. [Google Scholar] [CrossRef]
- Revich, B.; Shaposhnikov, D. Temperature-induced excess mortality in Moscow, Russia. Int. J. Biometeorol. 2008, 52, 367–374. [Google Scholar] [CrossRef]
- Buzási, A. Comparative assessment of heatwave vulnerability factors for the districts of Budapest, Hungary. Urban Clim. 2022, 42, 101127. [Google Scholar] [CrossRef]
- Zuhra, S.S.; Tabinda, A.B.; Yasar, A. Appraisal of the heat vulnerability index in Punjab: A case study of spatial pattern for exposure, sensitivity, and adaptive capacity in megacity Lahore, Pakistan. Int. J. Biometeorol. 2019, 63, 1669–1682. [Google Scholar] [CrossRef] [PubMed]
- Barreca, A.; Clay, K.; Deschenes, O.; Greenstone, M.; Shapiro, J.S. Adapting to Climate Change: The Remarkable Decline in the US Temperature-Mortality Relationship over the Twentieth Century. J. Political Econ. 2016, 124, 105–159. [Google Scholar] [CrossRef] [Green Version]








| Indicators | Rationale | Unit/Resolution/Data Format | Source | |
|---|---|---|---|---|
| Exposure | LST | Land Surface Temperature indicates the intensity of heatwaves in Iceland that are exposed by the situation [59]. | °C, 30 m, and Raster | USGS, 2021 |
| Population | Increasing population causes urbanization, water shortage, climate change, etc., and gets exposed to natural disaster [60]. | Number, Vector | BBS, 2011 | |
| Population concentration | Population concentration causes congestion, poverty, and a low standard of living, which contributes to vulnerability, as in exposure [61]. | People/km2, Vector | ||
| Sensitivity | Elderly population | Elderly people aged >65 are extremely vulnerable to urban heat sensitivity because of chronic medical condition and health issue [62]. | ||
| Very young population | Young people <9 years are even more vulnerable to heatwaves than old people, caused by their lower sweating rate and body mass ratio [63]. | |||
| Female | Women’s responses to heat wave sensitivity differs from men due to their higher percentage of body fat (BF%) and physical strength [64]. | |||
| Illiterate people | Being unaware of the potential danger of heatwaves, illiterate people are highly sensitive to heat wave vulnerability [65]. | |||
| Disabled person | Disabled people are sensitive to heat exposure due to their dependency on others as well as physical health and fragility [66]. | |||
| Working age population | Employed people are a huge population working altogether in a city and respond to heat wave sensitivity; they are mostly exposed due to their criteria of work [67]. | |||
| Household | Because of congested and increased population, the number of households are also increasing to a great extent and are exposed to heat wave sensitivity [68]. | Household/km2, Vector | ||
| Poverty | People below the poverty line lead a miserable life with poor nutrition, poor housing conditions, and obstructive socioeconomic situations that leads to heat wave sensitivity exposure [69]. | People/km2, Vector | ||
| Water accessibility | Usage of water for different purposes, especially for the tempering process, as well as treatment, refers to heat wave sensitivity [70]. | |||
| Floating people | Floating people are vulnerable to heat wave sensitivity because they are homeless, they lack water access, acute illness, and electricity access; their very poor living conditions make them sensitive to heatwaves [71]. | |||
| Kaccha Structure | Assessing Kacha structure of a household can indicate the sensitivity when exposed to heatwaves. Kacha structures are not properly stable, and because of the tin roof, heat affects the people miserably [72]. | Number/km2, Vector | ||
| NDBI | Normalized Difference Buildup Index is an important indicator for heat wave sensitivity because the increasing build-up area, spatial growth of the buildings, and congested urban lands are simultaneously exposed to sensitivity [73]. | Zonal Pixel ratio, 30 m, Raster | USGS, 2021 | |
| Built-up Area | Built-up area contributes to urban heat sensitivity because of its characterization of the overcrowding nature of buildings, apartments, settlements, and so on [74]. | km2, 30 m, Raster | ||
| Adaptive Capacity | Literate | Literate people are aware of the facts and knowledge regarding heatwaves, and they prepare themselves to adapt to the situation smartly [75]. | People/km2, Vector | BBS, 2011 |
| Household with electricity | Access to electricity accelerates the capacity to resist heatwave disasters by using fans, air conditioners, refrigerators, and other necessary elements [76]. | Number/km2, Vector | ||
| Pucca structure | Pucca structure contains proper flooring, ceiling, and structural embellishment along with socioeconomic factors, which are expressed as adaptions exposed to heatwaves [77]. | |||
| Road | Larger and wider roads tend to decrease congestion from roads and land. Thus, this feature proves to be in adaptive capacity [70]. | km ratio, Vector | ||
| Health Institution | Increasing the number of health institutions helps to cure people affected by heatwaves and also prevents heatwave disasters in a greater sense [76]. | Number, Vector | ||
| Relative Humidity | Temperature and humidity are both related to each other, and humidity decreases when temperature increases [78]. | Percent, Vector | BMD, 2017 | |
| Vegetation | Vegetation leaves moisture in the environment and the exchange of liberal amount of oxygen helps to adapt the heatwave situation [79]. | km2 ratio, Vector | USGS, 2021 | |
| NDWI | Normalized Difference Water index is used for the analysis of water bodies and waterbody reduces the heat as well as adapts the heat capacity [73]. | Zonal Pixel ratio, 30 m, Raster | ||
| NDVI | Normalized Difference Vegetation Index refers to the detailed analysis of vegetation, and increasing vegetation reduces the heat and keeps the environment ecofriendly [80]. | |||
| NTL data | NTL data contributes to measuring the city lights at night and helps generate the functions of urban sprawl, which later on indicates the adaption of climate change synopsis [81]. | Zonal DN value, 30 m, Raster | NGDC, 2021 |
| LULC Type | Area (km2) | Area (Percent) |
|---|---|---|
| Agriculture | 45.23 | 15.11 |
| Bare Land | 11.97 | 4.00 |
| Build-Up Area | 188.77 | 63.07 |
| Vegetation | 32.31 | 10.80 |
| Water Body | 21.01 | 7.02 |
| Grand Total | 299.28 | 100.00 |
| Variable | Components | Standard Deviation | % of Variance | Cumulative % |
|---|---|---|---|---|
| Exposure | 1 | 0.99 | 52.85 | 52.85 |
| 2 | 0.99 | 34.63 | 87.48 | |
| Sensitivity | 1 | 1.00 | 70.76 | 70.76 |
| 2 | 1.00 | 11.43 | 82.19 | |
| Adaptive Capacity | 1 | 1.00 | 51.92 | 51.92 |
| 2 | 1.00 | 18.07 | 69.99 | |
| 3 | 1.00 | 10.36 | 80.35 |
| Variables | Components | |||
|---|---|---|---|---|
| Hypothetical | Measured | 1 | 2 | 3 |
| Exposure | Population concentration | 0.892 | −0.160 | N/A |
| LST | 0.889 | 0.190 | N/A | |
| Population | −0.026 | 0.989 | N/A | |
| Sensitivity | Household | 0.977 | 0.148 | N/A |
| Water accessibility | 0.976 | 0.145 | N/A | |
| Female | 0.974 | 0.125 | N/A | |
| Working age population | 0.972 | −0.03 | N/A | |
| Elderly population | 0.952 | −0.123 | N/A | |
| Very young population | 0.948 | 0.272 | N/A | |
| Disabled person | 0.936 | 0.046 | N/A | |
| Built-up Area | 0.872 | −0.129 | N/A | |
| Illiterate | 0.817 | −0.068 | N/A | |
| NDBI | 0.758 | −0.098 | N/A | |
| Poverty | 0.73 | 0.508 | N/A | |
| Kaccha Structure | 0.199 | 0.749 | N/A | |
| Floating people | 0.302 | −0.731 | N/A | |
| Adaptive Capacity | Literate | 0.933 | 0.099 | −0.071 |
| Household with electricity | 0.926 | −0.046 | −0.025 | |
| NDVI | −0.911 | 0.029 | −0.197 | |
| NDWI | 0.911 | −0.043 | 0.172 | |
| Pucca structure | 0.79 | 0.172 | −0.224 | |
| Road | 0.788 | 0.248 | 0.056 | |
| Relative humidity | −0.134 | −0.798 | −0.259 | |
| Vegetation | −0.525 | 0.766 | −0.138 | |
| NTL data | 0.466 | 0.672 | 0.019 | |
| Health institution | 0.007 | 0.135 | 0.937 | |
Publisher’s Note: MDPI stays neutral with regard to jurisdictional claims in published maps and institutional affiliations. |
© 2022 by the authors. Licensee MDPI, Basel, Switzerland. This article is an open access article distributed under the terms and conditions of the Creative Commons Attribution (CC BY) license (https://creativecommons.org/licenses/by/4.0/).
Share and Cite
Abrar, R.; Sarkar, S.K.; Nishtha, K.T.; Talukdar, S.; Shahfahad; Rahman, A.; Islam, A.R.M.T.; Mosavi, A. Assessing the Spatial Mapping of Heat Vulnerability under Urban Heat Island (UHI) Effect in the Dhaka Metropolitan Area. Sustainability 2022, 14, 4945. https://doi.org/10.3390/su14094945
Abrar R, Sarkar SK, Nishtha KT, Talukdar S, Shahfahad, Rahman A, Islam ARMT, Mosavi A. Assessing the Spatial Mapping of Heat Vulnerability under Urban Heat Island (UHI) Effect in the Dhaka Metropolitan Area. Sustainability. 2022; 14(9):4945. https://doi.org/10.3390/su14094945
Chicago/Turabian StyleAbrar, Rakin, Showmitra Kumar Sarkar, Kashfia Tasnim Nishtha, Swapan Talukdar, Shahfahad, Atiqur Rahman, Abu Reza Md Towfiqul Islam, and Amir Mosavi. 2022. "Assessing the Spatial Mapping of Heat Vulnerability under Urban Heat Island (UHI) Effect in the Dhaka Metropolitan Area" Sustainability 14, no. 9: 4945. https://doi.org/10.3390/su14094945
APA StyleAbrar, R., Sarkar, S. K., Nishtha, K. T., Talukdar, S., Shahfahad, Rahman, A., Islam, A. R. M. T., & Mosavi, A. (2022). Assessing the Spatial Mapping of Heat Vulnerability under Urban Heat Island (UHI) Effect in the Dhaka Metropolitan Area. Sustainability, 14(9), 4945. https://doi.org/10.3390/su14094945

