Decisions on Pricing, Sustainability Effort, and Carbon Cap under Wholesale Price and Cost-Sharing Contracts
Abstract
:1. Introduction
- Under wholesale price and cost-sharing contracts, how does the carbon cap affect manufacturers’ sustainability efforts and production decisions?
- Under both contracts, how does the carbon cap affect the profits of supply chain participants?
- In view of the profitability and sustainability of the supply chain, which is better: a wholesale price contract or a cost-sharing contract?
- Is it possible for a government to determine an optimal carbon cap in order to maximize social welfare under both contracts?
2. Literature Review
2.1. Sustainability Innovation in Supply Chains
2.2. Collaboration Decisions in Supply Chain
2.3. Operations Management under Cap-and-Trade Regulation
3. Research Methodology
3.1. Notations
3.2. Assumptions
4. Analysis and Interpretation of Results
4.1. Equilibrium Analysis with the Given Carbon Cap
4.1.1. Wholesale Price Contract
- (i)
- Condition 1:,
- (ii)
- Condition 2:,
- (iii)
- Condition 3:,
4.1.2. Cost-Sharing Contract
- (i)
- Condition 4:,
- (ii)
- Condition 5:,
- (iii)
- Condition 6:,
4.1.3. Comparison
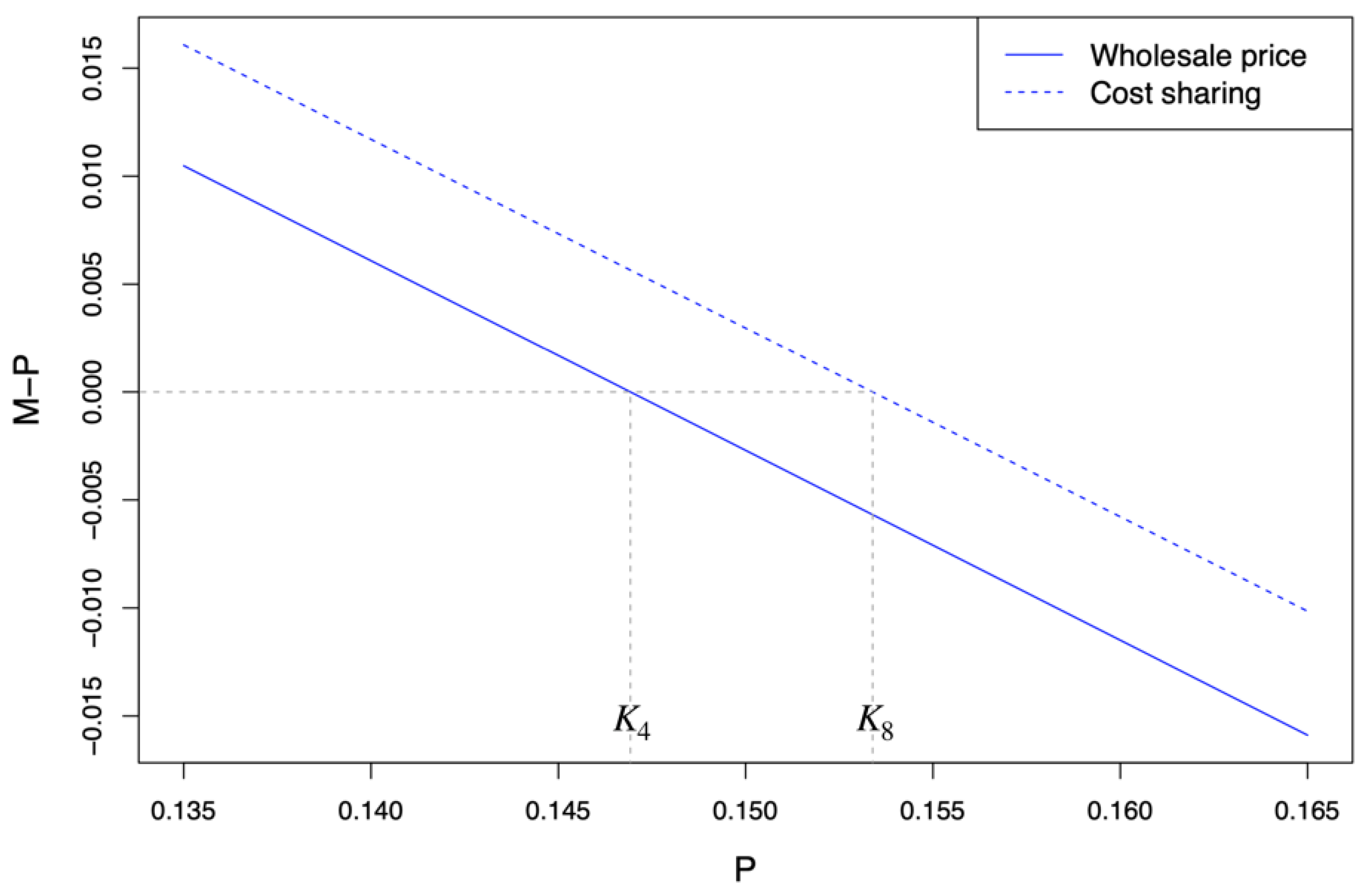
4.2. Government’s Optimal Decision on Carbon Cap
- (i)
- If,,
- (ii)
- Ifand,,
- (iii)
- Ifand,,
- (iv)
- If,,
- (i)
- If,,
- (ii)
- Ifand,,
- (iii)
- Ifand,,
- (iv)
- If,,
5. Conclusions
- Under wholesale price and cost-sharing contracts, the carbon cap has a positive impact on the manufacturer’s sustainability efforts, which leads to an increase in the demand for the product. Because of the increased demand, the wholesale and retail prices fall at the same time;
- Under both contracts, the retailer’s profit increases with respect to the carbon cap. Therefore, the retailer would like the government to set a higher carbon cap. However, the manufacturer’s profit does not increase consistently with a higher carbon cap. This implies that proper cap setting has a significant impact on the manufacturers’ profit;
- The cost-sharing contract outperforms the wholesale price contract in terms of product demand, prices, and the profitability of supply chain members. This fact reveals that the cost-sharing contract is a win–win strategy for both the manufacturer and the retailer. Under the cost-sharing contract, the profitability of the supply chain can improve, which has a positive impact on the sustainability of the supply chain. Because of the increasing manufacturers’ profits, they can invest in more sustainable product development and manufacturing processes. This makes the supply chain more sustainable. Therefore, policy makers must provide subsidies and legal systems related to supply chain cooperation to provide a business environment in which supply chain members can collaborate more easily and efficiently;
- When the government wants to determine the carbon cap under both contracts, there is an optimal cap that maximizes social welfare. This optimal carbon cap decreases when the environmental damage caused by the production of the product increases. It is also found that when this type of environmental damage is relatively low, the government sets a higher cap under the cost-sharing contract so that the supply chain members maintain their cooperation.
Author Contributions
Funding
Institutional Review Board Statement
Informed Consent Statement
Data Availability Statement
Conflicts of Interest
Appendix A
References
- One day We’ll Disappear: Tuvalu’s Sinking Islands. Available online: http://www.theguardian.com/global-development/2019/may/16/one-day-disappear-tuvalu-sinking-islands-rising-seas-climate-change (accessed on 2 February 2022).
- Disappearing Island Nations are the Sinking Reality of Climate Change. Available online: http://qrius.com/disappearing-island-nations-are-the-sinking-reality-of-climate-change/ (accessed on 4 February 2022).
- It’s Official: Sea Level Rise Could Soon Displace Up to 187 Million People. Available online: http://www.sciencealert.com/sea-level-rise-could-displace-187-million-climate-refugees (accessed on 4 February 2022).
- Climate Migrants Might Reach One Billion by 2050. Available online: http://reliefweb.int/report/world/climate-migrants-might-reach-one-billion-2050 (accessed on 4 February 2022).
- Mechanisms under the Kyoto Protocol. Available online: http://unfccc.int/process/the-kyoto-protocol/mechanisms (accessed on 5 February 2022).
- Velazquez-Cazares, M.G.; Leon-Castro, E.; Blanco-Mesa, F.; Alvarado-Altamirano, S. The ordered weighted average corporate social responsibility. Kybernetes 2021, 50, 203–220. [Google Scholar] [CrossRef]
- Hua, G.; Cheng, T.C.E.; Wang, S. Managing carbon footprints in inventory management. Int. J. Prod. Econ. 2011, 132, 178–185. [Google Scholar] [CrossRef]
- Benjaafar, S.; Li, Y.; Daskin, M. Carbon Footprint and the Management of Supply Chains: Insights from Simple Models. IEEE Trans. Autom. Sci. Eng. 2013, 10, 99–116. [Google Scholar] [CrossRef]
- Drake, D.F.; Kleindorfer, P.R.; van Wassenhove, L.N. Technology choice and capacity portfolios under emissions regulation. Prod. Oper. Manag. 2016, 25, 1006–1025. [Google Scholar] [CrossRef]
- Benz, E.; Trück, S. Modeling the Price Dynamics of CO2 Emission Allowances. Energy Econ. 2009, 31, 4–15. [Google Scholar] [CrossRef]
- Ji, T.; Xu, X.; Yan, X.; Yu, Y. The production decisions and cap setting with wholesale price and revenue sharing contracts under cap-and-trade regulation. Int. J. Prod. Res. 2020, 58, 128–147. [Google Scholar] [CrossRef]
- Chao, G.H.; Iravani, S.M.; Savaskan, R.C. Quality improvement incentives and product recall cost sharing contracts. Manag. Sci. 2009, 55, 1122–1138. [Google Scholar] [CrossRef] [Green Version]
- Leng, M.; Parlar, M. Game-theoretic analyses of decentralized assembly supply chains: Non-cooperative equilibria vs. coordination with cost-sharing contracts. Eur. J. Oper. Res. 2010, 204, 96–104. [Google Scholar] [CrossRef]
- Ghosh, D.; Shah, J. Supply chain analysis under green sensitive consumer demand and cost sharing contract. Int. J. Prod. Econ. 2015, 164, 319–329. [Google Scholar] [CrossRef]
- Dai, R.; Zhang, J.; Tang, W. Cartelization or Cost-sharing? Comparison of cooperation modes in a green supply chain. J. Clean. Prod. 2017, 156, 159–173. [Google Scholar] [CrossRef]
- Hong, J.; Lee, P. Supply chain contracts under new product development uncertainty. Sustainability 2019, 11, 6858. [Google Scholar] [CrossRef] [Green Version]
- Drake, D.F.; Spinler, S. Sustainable operations management: An enduring stream or a passing fancy. Manuf. Serv. Oper. Manag. 2013, 15, 689–700. [Google Scholar] [CrossRef] [Green Version]
- Beltagui, A.; Kunz, N.; Gold, S. The role of 3D printing and open design on adoption of socially sustainable supply chain innovation. Int. J. Prod. Econ. 2020, 221, 107462. [Google Scholar] [CrossRef]
- Hassini, E.; Surti, C.; Searcy, C. A literature review and a case study of sustainable supply chains with a focus on metrics. Int. J. Prod. Econ. 2012, 140, 69–82. [Google Scholar] [CrossRef]
- Krikke, H.; Bloemhof-Ruwaard, J.; van Wassenhove, L.N. Concurrent product and closed-loop supply chain design with an application to refrigerator. Int. J. Prod. Res. 2003, 42, 3689–3719. [Google Scholar] [CrossRef]
- Subramanian, R.; Gupta, S.; Talbot, B. Product design and supply coordination under extended producer responsibility. Prod. Oper. Manag. 2009, 18, 259–277. [Google Scholar] [CrossRef]
- Chen, C. Design for the environment: A quality-based model for green product development. Manag. Sci. 2001, 47, 250–263. [Google Scholar] [CrossRef]
- Shen, B.; Cao, Y.; Xu, X. Product line design and quality differentiation for green and non-green products in a supply chain. Int. J. Oper. Res. 2020, 58, 148–164. [Google Scholar] [CrossRef]
- Zhu, W.; He, Y. Green product design in supply chains under competition. Eur. J. Oper. Res. 2017, 258, 165–180. [Google Scholar] [CrossRef]
- Thies, C.; Kieckhäfer, K.; Spengler, T.S.; Sodhi, M.S. Operations Research for Sustainability Assessment of Products: A Review. Eur. J. Oper. Res. 2019, 274, 1–21. [Google Scholar] [CrossRef]
- Stuart, J.A.; Ammons, J.C.; Turbini, L.J. A product and process selection model with multidisciplinary environmental considerations. Oper. Res. 1999, 47, 221–234. [Google Scholar] [CrossRef]
- Debo, L.G.; Toktay, L.B.; van Wassenhove, L.N. Market segmentation and product technology selection for remanufacturing. Manag. Sci. 2005, 47, 881–893. [Google Scholar]
- Raz, G.; Druehl, C.T.; Blass, V. Design for the environment: Life-cycle approach using a newsvendor model. Prod. Oper. Manag. 2013, 22, 940–957. [Google Scholar] [CrossRef]
- Klassen, R.; Vachon, S. Collaboration and evaluation in the supply chain: The impact on plant-level environmental investment. Prod. Oper. Manag. 2003, 12, 336–352. [Google Scholar] [CrossRef]
- Zhu, Q.; Geng, Y.; Lai, K. Circular economy practices among Chinese manufacturers varying in environmental-oriented supply chain cooperation and the performance implications. J. Environ. Manag. 2010, 91, 1324–1331. [Google Scholar] [CrossRef]
- Green, K.W., Jr.; Zelbst, P.J.; Bhadauria, V.S.; Meacham, J. Do environmental collaboration and monitoring enhance organizational performance? Ind. Manag. Data Syst. 2012, 112, 186–205. [Google Scholar] [CrossRef]
- Ge, Z.; Hu, Q.; Xia, Y. Firms’ R&D cooperation behavior in a supply chain. Prod. Oper. Manag. 2014, 23, 599–609. [Google Scholar]
- Bhaskaran, S.R.; Krishnan, V. Effort, revenue, and cost sharing mechanisms for collaborative new product development. Manag. Sci. 2009, 55, 1152–1169. [Google Scholar] [CrossRef] [Green Version]
- Ge, Z.; Hu, Q. Collaboration in R&D activities: Firm-specific decisions. Eur. J. Oper. Res. 2008, 185, 864–883. [Google Scholar]
- Veugelers, R. Collaboration in R&D: An assessment of theoretical and empirical findings. Economist 1998, 146, 419–443. [Google Scholar]
- Talluri, S.; Narasimhan, R.; Chung, W. Manufacturer cooperation in supplier development under risk. Eur. J. Oper. Res. 2010, 207, 165–173. [Google Scholar] [CrossRef]
- Kim, S.-H.; Netessine, S. Collaborative cost reduction and component procurement under information asymmetry. Manag. Sci. 2013, 59, 189–206. [Google Scholar] [CrossRef] [Green Version]
- Ji, J.; Zhang, Z.; Yang, L. Comparisons of initial carbon allowance allocation rules in an O2O retail supply chain with the cap-and-trade regulation. Int. J. Prod. Econ. 2017, 187, 68–84. [Google Scholar] [CrossRef]
- Yenipazarli, A. To collaborate or not to collaborate: Prompting upstream eco-efficient innovation in a supply chain. Eur. J. Oper. Res. 2017, 260, 571–587. [Google Scholar] [CrossRef]
- Cachon, G.P. Handbooks in Operations Research and Management Science: Supply Chain Management: Design, Coordination and Operations; Elsevier: Amsterdam, The Netherlands, 2003; pp. 227–339. [Google Scholar]
- Xu, X.; Xu, X.; He, P. Joint production and pricing decisions for multiple products with cap-and-trade and carbon tax regulations. J. Clean. Prod. 2016, 112, 4093–4106. [Google Scholar] [CrossRef]
- Xu, X.; Zhang, W.; He, P.; Xu, X. Production and pricing problems in make-to-order supply chain with cap-and-trade regulation. Omega 2017, 66, 248–257. [Google Scholar] [CrossRef]
- Bai, Q.; Xu, J.; Zhang, Y. Emission reduction decision and coordination of a make-to-order supply chain with two products under cap-and-trade regulation. Comput. Ind. Eng. 2018, 119, 131–145. [Google Scholar] [CrossRef]
- Yang, L.; Zhang, Q.; Ji, J. Pricing and carbon emission reduction decisions in supply chains with vertical and horizontal cooperation. Int. J. Prod. Econ. 2017, 191, 286–297. [Google Scholar] [CrossRef]
- Wang, Y.; Chen, W.; Liu, B. Manufacturing/remanufacturing decisions for a capital-constrained manufacturer considering carbon emission cap and trade. J. Clean. Prod. 2017, 140, 1118–1128. [Google Scholar] [CrossRef]
- Xu, J.; Chen, Y.; Bai, Q. A two-echelon sustainable supply chain coordination under cap-and-trade regulation. J. Clean. Prod. 2016, 112, 42–56. [Google Scholar] [CrossRef]
- Shu, T.; Liu, Q.; Chen, S.; Wang, S.; Lai, K.K. Pricing decisions of CSR closed-loop supply chains with carbon emission constraints. Sustainability 2018, 10, 4430. [Google Scholar] [CrossRef] [Green Version]
- Ji, S.; Zhao, D.; Peng, X. Joint decisions on emission reduction and inventory replenishment with overconfidence and low-carbon preference. Sustainability 2018, 10, 1119. [Google Scholar] [CrossRef] [Green Version]
- Shen, Y.; Shen, K.; Yang, C. A production inventory model for deteriorating items with collaborative preservation technology investment under carbon tax. Sustainability 2019, 11, 5027. [Google Scholar] [CrossRef] [Green Version]
- Bai, Q.; Gong, Y.; Jin, M.; Xu, X. Effects of carbon emission reduction on supply chain coordination with vendor-managed deteriorating product inventory. Int. J. Prod. Econ. 2019, 208, 83–99. [Google Scholar] [CrossRef]
- Du, S.; Zhu, L.; Liang, L.; Ma, F. Emission-dependent supply chain and environment-policy-making in the ‘cap-and-trade’ system. Energy Policy 2013, 57, 61–67. [Google Scholar] [CrossRef]
- He, P.; Dou, G.; Zhang, W. Optimal Production Planning and Cap Setting Under Cap-and-Trade Regulation. J. Oper. Res. Soc. 2017, 68, 1094–1105. [Google Scholar] [CrossRef]
- The Economics of Sustainable Coffee Production. Available online: http://www.triplepundit.com/story/2014/economics-sustainable-coffee-production/39121 (accessed on 13 March 2022).
- Gong, X.; Zhou, S.X. Optimal Production Planning with Emissions Trading. Oper. Res. 2013, 61, 908–924. [Google Scholar] [CrossRef]
- Zhang, B.; Xu, L. Multi-item Production Planning with Carbon cap and Trade Mechanism. Int. J. Prod. Econ. 2013, 144, 118–127. [Google Scholar] [CrossRef]
- Du, S.; Hu, L.; Song, M. Production Optimization Considering Environmental Performance and Preference in the Cap-and-Trade System. J. Clean. Prod. 2016, 112, 1600–1607. [Google Scholar] [CrossRef]
- Xu, X.; He, P.; Xu, H.; Zhang, Q. Supply Chain Coordination with Green Technology under Cap-and-Trade Regulation. Int. J. Prod. Econ. 2017, 183, 433–442. [Google Scholar] [CrossRef]
- Zhang, W.; Hua, Z.; Xia, Y.; Huo, B. Dynamic Multi-Technology Production-Inventory Problem with Emissions Trading. IIE Trans. 2016, 48, 110–119. [Google Scholar] [CrossRef]






| Parameters | Descriptions |
| Maximal price of emission credit | |
| Price sensitivity of carbon cap | |
| Change in production cost as a result of the sustainability effort | |
| Unit environmental damage of carbon emission | |
| Carbon emission intensity | |
| Decision Variables | Descriptions |
| Sustainability effort | |
| Retail price | |
| Wholesale price | |
| Carbon cap | |
| Collaboration level | |
| Functions | Descriptions |
| Demand for the product | |
| Total carbon emission | |
| Manufacturer’s profit | |
| Retailer’s profit | |
| Supply chain profit | |
| Social welfare |
Publisher’s Note: MDPI stays neutral with regard to jurisdictional claims in published maps and institutional affiliations. |
© 2022 by the authors. Licensee MDPI, Basel, Switzerland. This article is an open access article distributed under the terms and conditions of the Creative Commons Attribution (CC BY) license (https://creativecommons.org/licenses/by/4.0/).
Share and Cite
Lee, D.-H.; Yoon, J.-C. Decisions on Pricing, Sustainability Effort, and Carbon Cap under Wholesale Price and Cost-Sharing Contracts. Sustainability 2022, 14, 4863. https://doi.org/10.3390/su14084863
Lee D-H, Yoon J-C. Decisions on Pricing, Sustainability Effort, and Carbon Cap under Wholesale Price and Cost-Sharing Contracts. Sustainability. 2022; 14(8):4863. https://doi.org/10.3390/su14084863
Chicago/Turabian StyleLee, Doo-Ho, and Jong-Chul Yoon. 2022. "Decisions on Pricing, Sustainability Effort, and Carbon Cap under Wholesale Price and Cost-Sharing Contracts" Sustainability 14, no. 8: 4863. https://doi.org/10.3390/su14084863
APA StyleLee, D.-H., & Yoon, J.-C. (2022). Decisions on Pricing, Sustainability Effort, and Carbon Cap under Wholesale Price and Cost-Sharing Contracts. Sustainability, 14(8), 4863. https://doi.org/10.3390/su14084863
