Effects of Organic Amendments on Soil Aggregate Stability, Carbon Sequestration, and Energy Use Efficiency in Wetland Paddy Cultivation
Abstract
:1. Introduction
2. Materials and Methods
2.1. Characteristics of the Study Area
2.2. Treatments and Design of the Experiment
2.3. Soil Sampling and Analysis
2.4. Energy Calculation
2.5. Statistical Data Analysis
3. Results
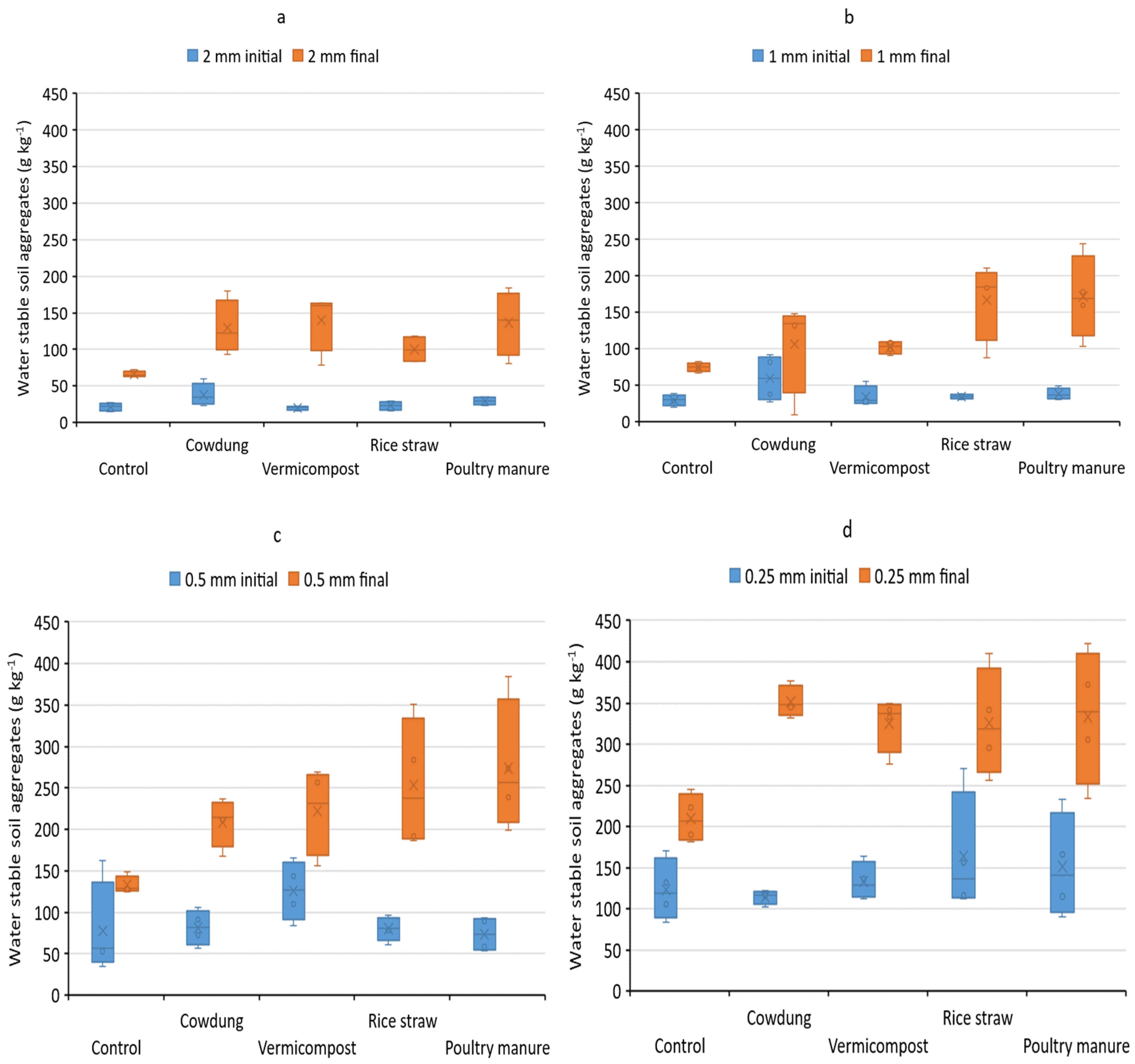
3.1. Soil Organic Carbon and Water-Stable Soil Aggregates under Different Treatments
3.2. Carbon Sequestration in Soils under Different Organic Amendments
3.3. Energy Indices in Paddy Cultivation under Different Organic Amendments
4. Discussion
4.1. Soil Organic Carbon and Water-Stable Soil Aggregates under Different Treatments
4.2. Carbon Sequestration in Soils under Different Organic Amendments
4.3. Energy Indices in Paddy Cultivation under Different Organic Amendments
5. Conclusions
Author Contributions
Funding
Institutional Review Board Statement
Informed Consent Statement
Data Availability Statement
Acknowledgments
Conflicts of Interest
References
- Modak, K.; Ghosh, A.; Bhattacharyya, R.; Biswas, D.R.; Das, T.K.; Das, S.; Singh, G. Response of Oxidative Stability of Aggregate-Associated Soil Organic Carbon and Deep Soil Carbon Sequestration to Zero-Tillage in Subtropical India. Soil Till. Res. 2019, 195, 104370. [Google Scholar] [CrossRef]
- Rahman, M.M.; Alam, M.S.; Kamal, M.Z.U.; Rahman, G.K.M.M. Organic Sources and Tillage Practices for Soil Management. In Resources Use Efficiency in Agriculture; Kumar, S., Meena, R.S., Jhariya, M.K., Eds.; Springer: Singapore, 2020; pp. 283–328. [Google Scholar]
- Rahman, M.M. Nutrient-Use and Carbon Sequestration Efficiencies in Soils from Different Organic Wastes in Rice and Tomato Cultivation. Commun. Soil Sci. Plant Anal. 2013, 44, 1457–1471. [Google Scholar] [CrossRef]
- Rashid, M.I.; Mujawar, L.H.; Shahzad, T.; Almeelbi, T.; Ismail, I.M.; Oves, M. Bacteria and Fungi Can Contribute to Nutrients Bioavailability and Aggregate Formation in Degraded Soils. Microbiol. Res. 2016, 183, 26–41. [Google Scholar] [CrossRef] [PubMed]
- Karmakar, S.; Bhattacharyya, A.; Ghosh, B.; Roy, R.; Kumar, S.; Kar, B.; Saha, G. Suitability of Coupling Application of Organic and Inorganic Fertilizers for Crop Cultivation. In Ecological and Practical Applications for Sustainable Agriculture; Bauddh, K., Kumar, S., Singh, R., Korstad, J., Eds.; Springer: Singapore, 2020; pp. 149–177. [Google Scholar]
- Rahman, M.M. Potential Supplies and Use Efficiencies of Nutrients from Different Organic Wastes under Tomato Cultivation. Ann. Bangladesh Agric. 2012, 16, 25–39. [Google Scholar]
- Li, X.; Zhu, W.; Xu, F.; Du, J.; Tian, X.; Shi, J.; Wei, G. Organic Amendments Affect Soil Organic Carbon Sequestration and Fractions in Fields with Long-Term Contrasting Nitrogen Applications. Agric. Ecosyst. Environ. 2021, 322, 107643. [Google Scholar] [CrossRef]
- Rahman, F.; Rahman, M.M.; Rahman, G.M.; Saleque, M.A.; Hossain, A.S.; Miah, M.G. Effect of Organic and Inorganic Fertilizers and Rice Straw on Carbon Sequestration and Soil Fertility under a Rice–Rice Cropping Pattern. Carbon Manag. 2016, 7, 41–53. [Google Scholar] [CrossRef]
- Rahman, M.M.; Biswas, J.C.; Maniruzzaman, M.; Choudhury, A.K.; Ahmed, F. Effect of Tillage Practices and Rice Straw Management on Soil Environment and Carbon Dioxide Emission. Agriculturists 2017, 15, 127–142. [Google Scholar] [CrossRef]
- Rahman, M.; Halder, M. Energetics of Rice Cultivation in South-West Coastal Region of Bangladesh. Int. J. Ecol. Environ. Sci. 2013, 39, 203–208. [Google Scholar]
- Yadav, G.S.; Das, A.; Lal, R.; Babu, S.; Meena, R.S.; Saha, P.; Singh, R.; Datta, M. Energy Budget and Carbon Footprint in a No-till and Mulch Based Rice–Mustard Cropping System. J. Clean. Prod. 2018, 191, 144–157. [Google Scholar] [CrossRef]
- FAOSTAT. Agriculture Statistics from FAODATA Statistics. 2021. Available online: http://www.fao.org/faostat/en/#data (accessed on 20 July 2021).
- Yadav, G.S.; Lal, R.; Meena, R.S.; Datta, M.; Babu, S.; Das, A.; Layek, J.; Saha, P. Energy Budgeting for Designing Sustainable and Environmentally Clean/Safer Cropping Systems for Rainfed Rice Fallow Lands in India. J. Clean. Prod. 2017, 158, 29–37. [Google Scholar] [CrossRef]
- Sharath, M.C.; Naresh, R.K.; Vivek, S.P.K.; Harish, J.; Chandana, P.; Shivashankar, K. Energy Auditing and Carbon Footprint with Diverse Organic and Inorganic Fertilizer Management Options in Cereal based Cropping Systems under Conservation Agriculture: A Review. Int. J. Curr. Microbiol. App. Sci. 2020, 9, 2062–2081. [Google Scholar]
- Bangladesh Agricultural Research Council (BARC). Fertilizer Recommendation Guide; Farmgate: Dhaka, Bangladesh, 2018. [Google Scholar]
- Alam, M.A.; Rahman, M.M.; Biswas, J.C.; Akhter, S.; Maniruzzaman, M.; Choudhury, A.K.; Jahan, A.B.M.S.; Miah, M.M.U.; Sen, R.; Kamal, M.Z.U.; et al. Nitrogen Transformation and Carbon Sequestration in Wetland Paddy Field of Bangladesh. Paddy Water Environ. 2019, 17, 677–688. [Google Scholar] [CrossRef]
- Chaudhary, V.P.; Singh, K.K.; Pratibha, G.; Bhattacharyya, R.; Shamim, M.; Srinivas, I.; Patel, A. Energy Conservation and Greenhouse Gas Mitigation under Different Production Systems in Rice Cultivation. Energy 2017, 130, 307–317. [Google Scholar] [CrossRef]
- Brammer, H. Rice Soils of Bangladesh. In Soils and Rice; The International Rice Research Institute: Manila, Philippines, 1996; pp. 35–55. [Google Scholar]
- Blake, G.R.; Hartge, K.H. Bulk Density. In Methods of Soil Analysis. Part 1. Agronomy 9; Klute, A., Ed.; American Society of Agronomy (ASA): Madison, WI, USA, 1986; pp. 363–375. [Google Scholar]
- Walkley, A.; Black, C.A. An Examination of the Degtjareff Method for Determining Soil Organic Matter and a Proposed Modification of the Chromic Acid Titration Method. Soil Sci. 1934, 37, 29–38. [Google Scholar] [CrossRef]
- Patton, J.J.; Burras, L.; Konen, M.E.; Molstad, N.E. An Accurate and Inexpensive Apparatus and Method for Teaching and Measuring Stable Aggregate Content of Soils. J. Nat. Resour. Life Sci. Edu. 2001, 30, 84–88. [Google Scholar] [CrossRef]
- Datta, M.; Yadav, G.S.; Chakraborty, S. Integrated Nutrient Management in Groundnut (Arachis Hypogaea) in a Subtropical Humid Climate of North-East India. Indian J. Agron. 2014, 59, 322–326. [Google Scholar]
- Devasenapathy, P.; Senthil, K.G.; Shanmugam, P.M. Energy Management in Crop Production. Indian J. Agron. 2009, 54, 80–90. [Google Scholar]
- Tuti, M.D.; Prakash, V.; Pandey, B.M.; Bhattacharyya, R.; Mahanta, D.; Bisht, J.K.; Kumar, M.; Mina, B.L.; Kumar, N.; Bhatt, J.C.; et al. Energy Budgeting of Colocasia-Based Cropping Systems in the Indian Sub-Himalayas. Energy 2012, 45, 986–993. [Google Scholar] [CrossRef]
- Quiroga, G.; Castrillon, L.; Fernández-Nava, Y.; Marañón, E. Physico-Chemical Analysis and Calorific Values of Poultry Manure. Waste Manag. 2010, 30, 880–884. [Google Scholar] [CrossRef]
- Mohammadi, A.; Rafiee, S.; Jafari, A.; Keyhani, A.; Mousavi-Avval, S.H.; Nonhebel, S. Energy Use Efficiency and Greenhouse Gas Emissions of Farming Systems in North Iran. Renew. Sust. Energ. Rev. 2014, 30, 724–733. [Google Scholar] [CrossRef]
- Singh, K.P.; Prakash, V.E.D.; Srinivas, K.; Srivastva, A.K. Effect of Tillage Management on Energy-Use Efficiency and Economics of Soybean (Glycine Max) Based Cropping Systems under the Rainfed Conditions in North-West Himalayan Region. Soil Till. Res. 2008, 100, 78–82. [Google Scholar] [CrossRef]
- Heidari, M.D.; Omid, M. Energy Use Patterns and Econometric Models of Major Greenhouse Vegetable Productions in Iran. Energy 2011, 36, 220–225. [Google Scholar] [CrossRef]
- Gomez, K.A.; Gomez, A.A. Statistical Procedures for Agricultural Research; John Wiley & Sons: Hoboken, NJ, USA, 1984. [Google Scholar]
- Islam, M.A.F.; Khan, M.A.; Bari, A.F.; Hosain, M.T.; Sabikunnaher, M. Effect of Fertilizer and Manure on the Growth, Yield and Grain Nutrient Concentration of Boro Rice (Oryza sativa L.) under Different Water Management Practices. Agriculturists 2013, 11, 44–51. [Google Scholar] [CrossRef] [Green Version]
- Meena, R.S.; Lal, R.; Yadav, G.S. Long Term Impacts of Topsoil Depth and Amendments on Soil Physical and Hydrological Properties of an Alfisol in Central Ohio, USA. Geoderma 2020, 363, 114164. [Google Scholar] [CrossRef]
- Rahman, M.L.; Rahman, M.M.; Rahman, G.K.M.M.; Solaiman, A.R.M.; Karim, M.A.; Bokhtiar, S.M.; Hossain, M.B.; Meena, R.S. Influence of Tillage and Organic Amendments on Terrace Soil Bio-Physico-Chemical Properties and Carbon Sequestration Index. Commun. Soil Sci. Plant Anal. 2020, 51, 2683–2700. [Google Scholar] [CrossRef]
- Meena, R.S.; Kumar, S.; Yadav, G.S. Soil Carbon Sequestration in Crop Production. In Nutrient Dynamics for Sustainable Crop Production; Meena, R.S., Ed.; Springer: Singapore, 2020; pp. 1–39. [Google Scholar]
- Rahman, G.K.M.M.; Rahman, M.M.; Alam, M.S.; Kamal, M.Z.U.; Mashuk, H.A.; Datta, R.; Meena, R.S. Biochar and organic amendments for sustainable soil carbon and soil health. In Carbon and Nitrogen Cycling in Soil; Datta, R., Meena, R.S., Pathan, S.I., Ceccherini, M.T., Eds.; Springer Nature: Singapore, 2020; pp. 45–85. [Google Scholar]
- Wu, L.; Zhang, S.; Ma, R.; Chen, M.; Wei, W.; Ding, X. Carbon Sequestration under Different Organic Amendments in Saline-Alkaline Soils. Catena 2021, 196, 104882. [Google Scholar]
- Li, J.; Wen, Y.; Li, X.; Li, Y.; Yang, X.; Lin, Z.; Song, Z.; Cooper, J.M.; Zhao, B. Soil Labile Organic Carbon Fractions and Soil Organic Carbon Stocks as Affected by Long-Term Organic and Mineral Fertilization Regimes in the North China Plain. Soil Till. Res. 2018, 175, 281–290. [Google Scholar] [CrossRef] [Green Version]
- Weil, R.R.; Brady, N.C. The Natures and Properties of Soils, 15th ed.; Pearson: New York, NY, USA, 2016; p. 1104. [Google Scholar]
- Zhang, Q.; Wu, J.; Yang, F.; Lei, Y.; Zhang, Q.; Cheng, X. Alterations in Soil Microbial Community Composition and Biomass Following Agricultural Land Use Change. Sci. Rep. 2016, 6, 36587. [Google Scholar] [CrossRef] [Green Version]
- Boyd, C.E. Bottom Soils, Sediment and Pond Aquaculture; Chapman & Hall: New York, NY, USA, 1995; p. 348. [Google Scholar]
- Rinnan, R.; Baaath, E. Differential Utilization of Carbon Substrates by Bacteria and Fungi in Tundra Soil. Appl. Environ. Microbiol. 2009, 75, 3611–3620. [Google Scholar] [CrossRef] [Green Version]
- Duiker, S.W.; Rhoton, F.E.; Torrent, J.; Smeck, N.E.; Lal, R. Iron (Hydro) Oxide Crystallinity Effects on Soil Aggregation. Soil Sci. Soc. Am. J. 2003, 67, 606–611. [Google Scholar] [CrossRef]
- Bronick, C.J.; Lal, R. Soil Structure and Management: A Review. Geoderma 2005, 124, 3–22. [Google Scholar] [CrossRef]
- Roy, S.; Rahman, M.M.; Rahman, G.K.M.M.; Miah, M.G.; Kamal, M.Z.U. Structural Stability under Different Organic Fertilizers Management in Paddy Soil. Ann. Bangladesh Agr. 2019, 23, 15–24. [Google Scholar] [CrossRef]
- Sarker, T.C.; Incerti, G.; Spaccini, R.; Piccolo, A.; Mazzoleni, S.; Bonanomi, G. Linking Organic Matter Chemistry with Soil Aggregate Stability: Insight from 13C NMR Spectroscopy. Soil Biol. Biochem. 2018, 117, 175–184. [Google Scholar] [CrossRef]
- Ontl, T.A.; Schulte, L.A. Soil Carbon Storage. Nat. Edu. Knowl. 2012, 3, 35. [Google Scholar]
- Simansky, V.; Bajcan, D. Stability of Soil Aggregates and Their Ability of Carbon Sequestration. Soil Water Res. 2014, 9, 111–118. [Google Scholar] [CrossRef] [Green Version]
- Simansky, V. Soil Organic Matter in Water-Stable Aggregates under Different Soil Management Practices in a Productive Vineyard. Archives Agron. Soil Sci. 2013, 59, 1207–1214. [Google Scholar]
- Ennis, C.J.; Evans, A.G.; Islam, M.; Ralebitso-Senior, T.K.; Senior, E. Biochar: Carbon Sequestration, Land Remediation, and Impacts on Soil Microbiology. Crit. Rev. Env. Sci. Tech. 2012, 42, 2311–2364. [Google Scholar] [CrossRef] [Green Version]
- Halvorson, A.D.; Wienhold, B.J.; Black, A.L. Tillage, Nitrogen and Cropping System Effects on Soil Carbon Sequestration. Soil Sci. Soc. Am. J. 2002, 66, 906–912. [Google Scholar]
- Hossain, M.B.; Rahman, M.M.; Biswas, J.C.; Miah, M.M.U.; Akhter, S.; Maniruzzaman, M.; Choudhury, A.K.; Ahmed, F.; Shiragi, M.H.K.; Kalra, N. Carbon Mineralization and Carbon Dioxide Emission from Organic Matter Added Soil under Different Temperature Regimes. Int. J. Recycl. Org. Wastes Agr. 2017, 6, 311–319. [Google Scholar] [CrossRef] [Green Version]
- Yang, Z.H.; Singh, B.R.; Sitaula, B.K. Soil Organic Carbon Fractions under Different Land Uses in Mardi Watershed of Nepal. Commun. Soil Sci. Plant Nutr. 2004, 35, 615–629. [Google Scholar] [CrossRef]
- Beni, D.K.; Senapati, N. Soil Aggregation and Carbon and Nitrogen Stabilization in Relation to Residue and Manure AP-Plication in Rice–Wheat Systems in Northwest India. Nutr. Cycl. Agroecosyst. 2010, 87, 233–247. [Google Scholar] [CrossRef]
- Pan, G.X.; Zhou, P.; Zhang, X.H.; Li, L.Q.; Zheng, J.F.; Qiu, D.S.; Chu, Q.H. Effect of Different Fertilization Practices on Crop C Assimilation and Soil C Sequestration: A Case of a Paddy under a Long Term Fertilization Trial from the Tai Lake Region, China. Acta Ecol. Sin. 2006, 26, 3704–3710. [Google Scholar]
- Bhattacharyya, P.; Roy, K.S.; Neogi, S.; Chakravorti, S.P.; Behera, K.S.; Das, K.M.; Bardhan, S.; Rao, K.S. Effect of Long-Term Application of Organic Amendment on C Storage in Relation to Global Warming Potential and Biological Activities in Tropical Flooded Soil Planted to Rice. Nutr. Cycl. Agroecosyst. 2012, 94, 273–285. [Google Scholar] [CrossRef]
- Nguyen-Van-Hung; Sander, B.O.; Quilty, J.; Balingbing, C.; Castalone, A.G.; Romasanta, R.; Alberto, M.C.R.; Sandro, J.M.; Jamieson, C.; Gummert, M. An Assessment of Irrigated Rice Production Energy Efficiency and Environmental Footprint with In-Field and Off-Field Rice Straw Management Practices. Sci. Rep. 2019, 9, 16887. [Google Scholar]
- Singh, R.B. Environmental consequences of agricultural development: A case study from the Green Revolution state of Haryana, India. Agric. Ecosyst. Environ. 2000, 82, 97–103. [Google Scholar] [CrossRef]
- Choudhary, M.; Sharma, P.C.; Jat, H.S.; Dash, A.; Rajashekar, B.; McDonald, A.J.; Jat, M.L. Soil Bacterial Diversity under Conservation Agriculture-Based Cereal Systems in Indo-Gangetic Plains. 3 Biotech 2018, 8, 304. [Google Scholar] [CrossRef] [PubMed]
- Soni, P.; Sinha, R.; Perret, S.R. Energy Use and Efficiency in Selected Rice-Based Cropping Systems of the Middle-Indo Gangetic Plains in India. Energy Rep. 2018, 4, 554–564. [Google Scholar] [CrossRef]
- Jat, S.L.; Parihar, C.M.; Singh, A.K.; Kumar, B.; Choudhary, M.; Nayak, H.S.; Parihar, M.D.; Parihar, N.; Meena, B.R. Energy Auditing and Carbon Footprint under Long-Term Conservation Agriculture-Based Intensive Maize Systems with Diverse Inorganic Nitrogen Management Options. Sci. Total Environ. 2019, 664, 659–668. [Google Scholar] [CrossRef]





| Treatments | Carbon Rate (kg ha−1) | Carbon Content (%) | Organic Materials (kg ha−1) | Nutrient Concentration (%) | ||
|---|---|---|---|---|---|---|
| Nitrogen (N) | Phosphorus (P) | Potassium (K) | ||||
| Control | - | - | - | |||
| Cow dung | 2000 | 22 | 9090.91 | 0.50 | 0.15 | 0.23 |
| Vermicompost | 2000 | 25 | 8000.00 | 0.65 | 0.35 | 0.50 |
| Rice straw | 2000 | 41 | 4878.05 | 0.20 | 0.05 | 0.45 |
| Poultry manure | 2000 | 20 | 10,000.00 | 0.60 | 0.35 | 0.45 |
| Treatments | Organic Sources in Both Boro and T. Aman (kg ha−1) | Inorganic Sources in Boro (kg ha−1) | Inorganic Sources in T. Aman (kg ha−1) | ||||||
|---|---|---|---|---|---|---|---|---|---|
| N | P | K | N | P | K | N | P | K | |
| Control | - | - | - | 115 | 47 | 93 | 75 | 15 | 55 |
| Cow dung | 45.45 | 13.64 | 20.91 | 115 | 47 | 93 | 75 | 15 | 55 |
| Vermicompost | 52.00 | 28.00 | 40.00 | 115 | 47 | 93 | 75 | 15 | 55 |
| Rice straw | 9.76 | 2.44 | 21.95 | 115 | 47 | 93 | 75 | 15 | 55 |
| Poultry manure | 60.00 | 35.00 | 45.00 | 115 | 47 | 93 | 75 | 15 | 55 |
| SL. No. | Energy Inputs and Outputs | Units | Energy Equivalents (MJ) | References |
|---|---|---|---|---|
| 1. | Human labor | Hour | 1.96 | [13,22] |
| 2. | Diesel | Liter | 56.31 | [13,22] |
| 3. | Farm machinery | kg | 62.7 | [13,22] |
| 4. | N | kg | 60.6 | [13,22] |
| 5. | P2O5 | kg | 11.1 | [13,22] |
| 6. | K2O | kg | 6.7 | [13,22] |
| 7. | Vermicompost | kg | 0.5 | [23,24] |
| 8. | Poultry manure | kg | 12.5 | [25] |
| 9. | Cow dung | kg | 0.3 | [23,24] |
| 10. | Plant-protection chemicals | Liter | 120 | [13,22] |
| 11. | Water for irrigation | m3 | 1.02 | [26] |
| 12. | Electricity | KWH | 11.93 | [23,27,28] |
| 13. | Rice grain | kg | 14.7 | [23,24] |
| 14. | Rice straw | kg | 12.5 | [23,24] |
| Treatments | Energy Input (EI) (MJ ha−1) | Energy Output (EO) (MJ ha−1) | Net Energy (NE) (MJ ha−1) | Energy Productivity (EP) (kg MJ−1) | Specific Energy (SE) (MJ kg−1) |
|---|---|---|---|---|---|
| Control | 19,046 | 155,659 | 136,613 b | 0.36 a | 3.09 d |
| Cow dung | 21,773 | 165,388 | 143,614 a | 0.31 b | 3.46 cd |
| Vermicompost | 23,046 | 166,570 | 143,524 a | 0.29 c | 3.64 c |
| Rice straw | 80,022 | 166,889 | 86,867 c | 0.08 d | 13.05 b |
| Poultry manure | 144,046 | 170,493 | 26,447 d | 0.04 e | 23.01 a |
| CV (%) | - | 2.41 | 3.70 | 5.71 | 2.88 |
| S.E. (±) | - | 2808 | 2808 | 0.00877 | 0.1887 |
Publisher’s Note: MDPI stays neutral with regard to jurisdictional claims in published maps and institutional affiliations. |
© 2022 by the authors. Licensee MDPI, Basel, Switzerland. This article is an open access article distributed under the terms and conditions of the Creative Commons Attribution (CC BY) license (https://creativecommons.org/licenses/by/4.0/).
Share and Cite
Rahman, M.M.; Kamal, M.Z.U.; Ranamukhaarachchi, S.; Alam, M.S.; Alam, M.K.; Khan, M.A.R.; Islam, M.M.; Alam, M.A.; Jiban, S.I.; Mamun, M.A.A.; et al. Effects of Organic Amendments on Soil Aggregate Stability, Carbon Sequestration, and Energy Use Efficiency in Wetland Paddy Cultivation. Sustainability 2022, 14, 4475. https://doi.org/10.3390/su14084475
Rahman MM, Kamal MZU, Ranamukhaarachchi S, Alam MS, Alam MK, Khan MAR, Islam MM, Alam MA, Jiban SI, Mamun MAA, et al. Effects of Organic Amendments on Soil Aggregate Stability, Carbon Sequestration, and Energy Use Efficiency in Wetland Paddy Cultivation. Sustainability. 2022; 14(8):4475. https://doi.org/10.3390/su14084475
Chicago/Turabian StyleRahman, Mohammad Mizanur, Mohammed Zia Uddin Kamal, Senaratne Ranamukhaarachchi, Mohammad Saiful Alam, Mohammad Khairul Alam, Mohammad Arifur Rahman Khan, Mohammad Moshiul Islam, Mohammad Ashraful Alam, Saidul Islam Jiban, Mohammad Abdullah Al Mamun, and et al. 2022. "Effects of Organic Amendments on Soil Aggregate Stability, Carbon Sequestration, and Energy Use Efficiency in Wetland Paddy Cultivation" Sustainability 14, no. 8: 4475. https://doi.org/10.3390/su14084475
APA StyleRahman, M. M., Kamal, M. Z. U., Ranamukhaarachchi, S., Alam, M. S., Alam, M. K., Khan, M. A. R., Islam, M. M., Alam, M. A., Jiban, S. I., Mamun, M. A. A., Abdullah, H. M., Biswas, J. C., Akhter, S., Naher, U. A., Maniruzzaman, M., Haque, M. M., & Ahmed, F. (2022). Effects of Organic Amendments on Soil Aggregate Stability, Carbon Sequestration, and Energy Use Efficiency in Wetland Paddy Cultivation. Sustainability, 14(8), 4475. https://doi.org/10.3390/su14084475

