Next Article in Journal
Comment on Bettignies et al. The Scale-Dependent Behaviour of Cities: A Cross-Cities Multiscale Driver Analysis of Urban Energy Use. Sustainability 2019, 11, 3246
Next Article in Special Issue
Thermal Properties of Hydrated Lime-Modified Asphalt Concrete and Modelling Evaluation for Their Effect on the Constructed Pavements in Service
Previous Article in Journal
Multi-Risk Source Oil Spill Risk Assessment Based on a Fuzzy Inference System
Previous Article in Special Issue
Experimental Study of the Usability of Recycling Marble Waste as Aggregate for Road Construction
 
 
Font Type:
Arial Georgia Verdana
Font Size:
Aa Aa Aa
Line Spacing:
Column Width:
Background:
Article

Mechanical Behavior of Low-Density Polyethylene Waste Modified Hot Mix Asphalt

by
Jessica Adaluz Rincón-Estepa
1,
Esthefanny Victoria González-Salcedo
1,
Hugo Alexander Rondón-Quintana
2,*,
Fredy Alberto Reyes-Lizcano
3 and
Juan Gabriel Bastidas-Martínez
4
1
Facultad de Ingeniería, Pontificia Universidad Javeriana, Bogotá D.C. 110231, Colombia
2
Facultad del Medio Ambiente y Recursos Naturales, Universidad Distrital Francisco José de Caldas, Bogotá D.C. 110231, Colombia
3
Facultad de Ingeniería, Centro de Estudios en carreteras, Transportes y Afines (CECATA), Pontificia Universidad Javeriana, Bogotá D.C. 110231, Colombia
4
Facultad de Ingeniería, Universidad Piloto de Colombia, Bogotá D.C. 110231, Colombia
*
Author to whom correspondence should be addressed.
Sustainability 2022, 14(7), 4229; https://doi.org/10.3390/su14074229
Submission received: 8 March 2022 / Revised: 29 March 2022 / Accepted: 30 March 2022 / Published: 2 April 2022

Abstract

The use of polymeric waste in the modification of asphalt binders for the construction of road pavements is a technique studied several years ago. However, the use of these materials involves high temperatures close to 190 °C, which generate large environmental impacts due to their emissions. In this study, an asphalt cement (AC) with low-density polyethylene (LDPE) residue contents of 5%, 7%, and 10% with respect to the mass of the AC was modified by the wet method. The modification was carried out using a temperature of 150 °C with the aim of preventing the oxidation of the AC and reducing the emissions generated at high temperatures. Based on the physical-rheological properties of the modified asphalt binder, it was found that 5% LDPE produces the best performance. Subsequently, a hot-mix asphalt type HMA-19 control without a modified asphalt binder and another with a modified asphalt binder were manufactured in order to evaluate the mechanical behavior by means of the Marshall test, an indirect tensile strength (ITS) test, resilient modulus (RM) testing, resistance to fatigue testing, permanent deformation testing, and the Cantabro test. Additionally, the asphalt mixtures were tested under the conditions of short-term aging (STOA, Short-Term Oven Aging), long-term aging (STOA + LTOA, Long-Term Oven Aging), and partial saturation with water (STOA + LTOA + water). Based on the results, an ANOVA analysis of variance was performed to assess whether the changes in the mechanical response of the modified mixture are statistically significant with respect to the control mixture. As a general conclusion, it is reported that mixtures with LDPE can be used for thick layers in high-temperature climates in order to control rutting.

1. Introduction

Throughout the world, automotive fleets have been growing in number and magnitude of loads. This, together with the effects of climate, raises the need to use materials in road structures that present special characteristics. In the case of asphalt pavements, the technology of modified asphalt binders has been a technique widely studied and used worldwide to try to improve the mechanical properties of asphalt mixtures in service when they are exposed to different loading and environmental conditions [1,2,3,4,5].
Modifiers, such as fibers, mineral fillers, elastomeric polymers (e.g., styrene-butadiene-styrene (SBS), styrene-isoprene-styrene (SIS), styrene-butadiene-rubber (SBR), and recycled crumb rubber grain (RCRG)), plastomeric polymers (e.g., polypropylene (PP), ethylene-vinyl acetate (EVA), low-density polyethylene (LDPE), and high-density polyethylene (HDPE)), anti-aging, anti-stripping, or rejuvenating additives, bio-binders, and nano-materials have been used to change the properties of asphalt binders. Typically, modification is performed by mixing an asphalt binder with a modifier at high temperatures. This process of modification is called the wet process. When asphalt binders are modified, attempts are made to improve some properties of hot mix asphalts (HMA), such as increasing resistance to cracking at low service temperatures and controlling rutting, moisture damage, fatigue cracking, aging, etc. We have also sought to improve HMAs’ response in terms of cohesion and adhesion with aggregates, to increase their durability during their service life [6,7,8,9,10,11,12].
On the other hand, large amounts of plastic waste from materials such as LDPE are generated annually worldwide. Given the impossibility of these materials’ full use or total disposal, they impact the environment negatively. According to [13], until 2015 the generation of plastic waste worldwide reached 6300 million tons, of which 60% still accumulated in landfills and the environment. According to [14], in developed countries, plastic waste constitutes approximately 10% of the total solid waste generated. In Colombia, the annual generation of plastic waste is approximately 1.4 million tons [15].
These materials can be used as asphalt modifiers, as various studies have demonstrated, especially in increasing resistance to permanent deformation in high-temperature climates. In general terms, PE (polyethylene) increases the stiffness of asphalt binders and the resistance to rutting of the modified mixtures [16,17,18]. Rondón-Quintana et al. [19] modified an AC 80–100 asphalt binder with an LDPE waste by the wet process. By using the modified asphalt binder, the resulting asphalt mix was markedly increased in strength under monotonic loading in the Marshall test, in stiffness under cyclic loading, and in resistance to permanent deformation. However, this increase in stiffness led to a slight reduction in fatigue strength. Jeong et al. [20] used modified AC 60–70 and AC 85–100 binders with PE thin layers used for growing vegetables in Korea. The modification rate was between 5% and 20% with respect to the mass of the AC. According to the researchers, the PE used is a material that helps to increase resistance to deformation in high-temperature climates and also to increase resistance to indirect tensile.
Brovelli et al. [8] studied a modified mixture with a polymers-type LDPE and EVA. They reported an increase in rut resistance without compromising the stiffness and fatigue resistance of the mixture. In 2016, Castro-López et al. [21] carried out a rheological and thermal characterization study of a wet modified AC 60–70 binder with an LDPE waste in a ratio of LDPE/AC = 5% to the mass. According to their study, the modified asphalt binder undergoes a notable increase in stiffness, improves its degree of operation at high temperatures, and is more resistant to oxidation and aging. However, they reported a possible decrease in cracking resistance at low and intermediate temperatures. Dalhat et al. [22] modified an asphalt binder with recycled plastic waste from PP, LDPE, and HDPE. According to their study, these modifiers increased their performance in high-temperature climates based on rheological characterization tests and the correlation obtained between the results of the resilient modulus of the HMA and the rheological parameters of the modified asphalt binder.
Khan et al. [23] reported, from a study carried out on a PG 64-10 asphalt modified with LDPE, HDPE, and crumb rubber, the significant improvement in rheological properties according to what was obtained in tests with a dynamic shear rheometer (DSR). Bala et al. [9] modified an AC 80–100 binder with different LDPE contents (between 2% and 6% with respect to the mass of the AC). Based on the results obtained from physical-rheological characterization tests, they concluded that a modified asphalt binder undergoes less thermal susceptibility and greater resistance to aging compared to an unmodified one. Fuentes-Audén et al. [24] modified an AC 150–200 binder with recycled PE. They concluded, based on rheological characterization tests, that concentrations of up to 15% by mass of PE concerning AC generated a notable improvement in the degree of performance of the modified asphalt binder at high and intermediate service temperatures. For pavement applications, they recommend the use of a concentration of 5% by mass of PE to AC.
In the present study, unlike those mentioned previously, (a) the mechanical behavior of a modified HMA with an LDEP-type plastomeric waste was evaluated after selecting, through a physical-rheological characterization, the best content of this additive in its incorporation into a wet-modified asphalt binder (in this way, an investigation of both the response of the asphalt binder and the modified mixture is presented); (b) the additive used corresponded to the waste of mixing straws used in hot drinks (this is a particular study compared to other studies, which revised the behavior of asphalt binders with the inclusion of LDPE pellets that were taken directly from production plants); (c) an sustainable alternative for the use of waste from LDPE straws was studied, using temperatures and mixing times of the LDPE with the asphalt binder lower than the traditional ones, and using a lower mixing temperature of the modified asphalt binder with the aggregates compared to similar studies; (d) the modified mixtures were exposed to an experimental phase where their mechanical response was evaluated, trying to simulate aspects associated with their durability, understood as the long-term ability of a material to resist changes in climate, aging, and the abrasive action of traffic [25].
To this end, an experimental phase was designed that followed the criteria recommended by other researchers who have evaluated the effects associated with durability in asphalt mixtures (e.g., [26]). The control mixture and the modified mixture were conditioned, exposing them to aging processes in the short-term (STOA, Short-Term Oven Aging) and long-term (STOA + LTOA, Long-Term Oven Aging) following the guidelines established by AASHTO R 30. To evaluate the effect of water, the samples were also partially saturated after being aged for the long term (STOA + LTOA + water). On these conditioned mixtures, resistance tests were carried out under a monotonic load (Marshall-AASHTO T 245 and indirect traction-ASTM D4867) and a cyclic load (resilient modulus-BS EN 12697-26, permanent deformation, and fatigue BS EN 12697-24), and for moisture damage (by ratio TSR-Tensile Strength Ratio-ASTM D4867) and abrasion (Cantabro test-NLT-352/86). To assess whether the LDPE produced statistically significant effects on the properties of the HMA-19 mixture, an analysis of variance (ANOVA) was performed with the F-test, using a 95% confidence level (F0.05).

2. Materials and Methods

The experimental design plan used in this study is shown in a flow chart (Figure 1).

2.1. Materials

The asphalt cement (AC) used was type AC 50–70 (penetration in 0.1 mm). Table 1 and Table 2 shows the properties of the asphalt binder and the aggregates, respectively.
The plastic waste used as a modifier was an LDPE. Such waste, obtained from mixers for hot drinks, was collected from recyclable material containers, then washed and cut into sizes between sieves No. 4 and No. 10 in order to facilitate their mixing and homogenization with the AC (see Figure 2). The LDPE presents a density of approximately 0.92 g/cm3 [27,28,29]. Based on DSC (Differential Scanning Calorimetry) tests, their melting point begins to appear from 130 °C [21].

2.2. Modification of the AC with the LDPE

AC 50–70 was mixed with the modifier by the wet process, using LDPE contents of 5%, 7%, and 10% concerning the mass of the AC (called LDPE/AC = 5%, 7%, and 10%, respectively). Table 3 shows the mixture temperature, mixture time, and mixture speed of various modified asphalt binders’ LDPE, which have been reported in other studies. In these earlier studies, the implementation of mixture temperatures up to 180 °C and mixture times up to 120 min was observed. However, in the present investigation, the mixture time and mixture temperature of the AC with the LDPE were 20 min and 145 °C ± 5 °C, respectively (see Figure 3). To mix both materials, a speed of 4000 rpm was used, with high-cut mixing equipment.
The lower mixture time and temperature may have had a negative impact on the response of the modified asphalt mix, since they could not ensure complete homogenization between the materials and could cause a loss of stability and uniformity [4,9,30,31]. Additionally, the possibility of partial phase separation between the asphalt binder and the polymer could occur in the application of the mixture in the pavement [32]. Despite this, these minor temperatures were selected in this study since, in practice, they reduce polluting emissions and the use of fuel in modified asphalt plants. In addition, they decrease asphalt binder oxidation and manufacturing costs. Additionally, by exposing the modified asphalt binder to very high temperatures, the polymer can degrade, deteriorating its engineering properties [33,34,35,36,37]. Therefore, the aim was to evaluate the response of the modified mixture using a more environmentally friendly mixture time and temperature, to avoid premature aging of the asphalt binder and polymer degradation, and to try to reduce production costs.
Table 3. Modification conditions of asphalt cements with LDPE.
Table 3. Modification conditions of asphalt cements with LDPE.
ReferencesMixture Temperature (°C)Mixture Time (min)Mixture Speed (rpm)
[24]180-3000
[16]16040-
[20]185--
[38]1501204400
[22]160305000
[21]15040-
[23]165120-
[9]1601204000
[3]170504000
[39]180605500–6500

2.3. Properties and Selection of the LDPE Content

Penetration testing (ASTM D5), viscosity testing (ASTM D4402), softening point testing (ASTM D36), ductility testing (ASTM D113), flash and fire point testing (AASHTO T 48), and specific weight testing (AASHTO T 228) were performed on the modified asphalt binders (LDPE/AC = 5%, 7%, and 10%). These properties were evaluated without aging and with short-term aging in an RTFO (Rolling Thin Film Oven, ASTM D2872).
A DSR was used to evaluate the rheological properties of the AC 50–70 and the modified asphalt binder (LDPE/AC = 5%, 7%, and 10%). Initially, the Performance Grade (PG) of the asphalt binders at high and intermediate service temperatures was determined, following the guidelines established by AASHTO T 315. For this purpose, the complex shear modulus (G*) and the phase angle (δ) were determinate. Thin sheets of the different types of asphalt binder were placed between two parallel plates, with oscillation of the upper plate generating a cut at 10 rad/s. To evaluate the resistance to permanent deformation of the asphalt binder, Multi-Stress Creep Recovery tests (MSCR) were carried out, following the guidelines established by AASHTO M 332. For the execution of the test, the asphalt binders were aged in the short term in an RTFO. With the test results, the creep compliance parameter (Jnr) was calculated for different levels of applied load cycles.
To evaluate the fatigue resistance of the asphalt binders, linear amplitude sweep tests (LAS) were carried out following the methodology described by AASHTO TP 101. The samples were previously aged in the short and long term, through the Rolling Thin Film Oven Test (RTFOT) and the Pressure Aging Vessel Test (PAV) (RTFOT + PAV). These tests were performed with the PG obtained for intermediate service temperatures. The standardized procedure was carried out in two stages with the application of a cyclic shear load: (1) a frequency sweep at constant deformation of 0.1% and frequency ranges from 0.2 Hz to 30 Hz; and (2) a linear amplitude scan with deformation increments of 0% to 30% in time intervals of 300 s and constant frequency of 10 Hz. Finally, based on the results obtained in this phase, the optimal content of the LDPE was chosen to modify the AC 50–70.

2.4. Marshall Asphalt Mix Design

The HMA-19 type was chosen as the control mixture, since it is the type most used in Colombia for the construction of surface course asphalt layers. The particle size distribution used is presented in Table 4. The control mixture (AC 50–70 unmodified) and the modified one (using the LDPE modified asphalt binder) were designed, using the Marshall methodology (AASHTO T 245). This methodology was used because it is the one established in Colombia for the design of HMAs. The mixing and compaction temperatures of the control mixture were 153 °C and 140 °C (asphalt binder viscosity of 170 cP and 280 cP), respectively. For the modified mixture, these temperatures were selected close to the values of the reference mixture. A mixing temperature of 160 °C and a compaction temperature of 155 °C were chosen so as not to cause excessive oxidation of the modified AC, and to compare the mechanical results of the mixtures under similar manufacturing conditions [40].
The Marshall test was carried out on the control mixture and the modified one, using percentages of asphalt binder (with and without modification) of 4.5%, 5.0%, 5.5%, and 6.0%. The parameters of resistance under a monotonic load (stability (S), flow (F), and S/F ratio) and the volumetric composition of the mixtures (Va, voids between mineral aggregates (VMA), and voids filled with asphalt (VFA)) were obtained. S and F were obtained in a loading press at a deformation rate of 48 mm/min until rupture, and the temperature of the samples was 60 °C. Based on the results obtained in this phase, the optimal percentage of asphalt binder content (OAC) to be used for the performance of the subsequent phases was chosen.

2.5. Conditioning of Hot Mix Asphalt

To try to simulate aspects associated with durability, new samples manufactured with the OAC obtained from the previous phase were exposed to three conditioning processes. (1) In the short-term aging (STOA, AASHTO R 30) process, loose asphalt mixes were exposed to 135 °C for two hours in an oven, and then compacted at 155 °C. (2) In the long-term aging (LTOA, AASHTO R 30) process, the mixtures after the STOA process were exposed to an oven at a temperature of 85 °C for 5 days (STOA + LTOA). STOA is a recommended procedure to simulate the aging of a mixture during the manufacturing processes in a plant, with extension and compaction on site. LTOA is a recommended procedure to simulate the aging that the compacted mix will undergo during 7–10 years of service [34,41]. (3) After STOA + LTOA processes, the mixtures were partially saturated in order to evaluate the effect of water (STOA + LTOA + water). The saturation process was partial (the volume of water was between 55% and 80% of the volume of air) and distilled water was used through a vacuum chamber, applying a pressure of 70 kPa. The samples were then conditioned in a 60 °C distilled water bath for 24 h.

2.6. Marshall Test and Indirect Tensile Strength

The Marshall test was performed on the control mixture and the one modified with LDEP, following the procedure previously described. Three Marshall-type samples were tested by type of mixture (control and modified) and by conditioning process (STOA, STOA + LTOA, and STOA + LTOA + water).
In the Indirect Tensile Strength Test (ITS), six samples (three under dry condition (ITSD) and three under partial saturation condition (ITSW)) were tested by type of mixture (control and modified) and by conditioning process (STOA and STOA + LTOA), following the guidelines established by ASTM D6931. The STOA + LTOA + water conditioning process was not tested, since the measurement of ITSW considers the condition of partial saturation. Partial saturation was carried out with a vacuum chamber, limiting saturation in the range of 55% to 80%. These specimens were subsequently taken to a 60 °C distilled water bath for 1 day. Samples were not fabricated, to achieve an air void content (Va) of 7 ± 1% as recommended by ASTM D6931. The above procedure was followed because the modified mixture has a higher void content compared to that of the control mixture, and the aim was to evaluate this effect on the ITS. For this reason, the TSR was calculated on samples manufactured with the Va obtained by design. The ITS test was carried out at 25 °C, under a deformation speed of 50 mm/minute until rupture. The ratio of the resistances ITSW/ITSD (TSR, %) was also calculated in each conditioning that was carried out.

2.7. Resilient Modulus, Fatigue, and Permanent Deformation

Resilient modulus testing was performed on the HMA-19 and the one modified with LDPE following the procedure described by ASTM D4123. Three Marshall-type samples were tested by type of mixture (control and modified) and by conditioning process (STOA, STOA + LTOA, and STOA + LTOA + water). Each group of three samples was tested on AsphaltQube equipment under indirect tension and repeated loading. The test temperature was 20 °C and the load frequencies were 10, 5, and 2.5 Hz.
The fatigue test was carried out under controlled stress on the control and the modified mixture, exposed to the STOA + LTOA conditioning process. The test was performed following the procedure described by UNE-EN 12697-24: 2012 Annex E, which applies a constant repeated load of diametric compression under indirect tension. Each fatigue test was carried out on nine Marshall-type cylindrical samples at a temperature of 20 °C. To define fatigue resistance, the number of failure cycles (Nf) obtained corresponded to that for which the stiffness modulus decreased by 50% concerning the initial stiffness modulus of the stress test. The controlled-stress mode was chosen because it is more representative in simulating the behavior of thick asphalt layers [42,43,44].
Permanent deformation testing was carried out on a loaded wheel track to evaluate the rutting depth that occurs in a mixing plate with a thickness of 5 cm, and the guidelines established by UNE EN 12697-22 were followed. Individual plates were tested in the control and modified mix under STOA, STOA + LTOA, and STOA + LTOA + water conditions. The test temperature was 60 °C. The wheel applied a 700 N cyclic load with a load frequency of 0.44 Hz (26.5 load cycles per minute). Samples were evaluated for rutting on air-dry condition specimens.

2.8. Cantabro

The Cantabro test was developed as a relative measure of the resistance to the disintegration of open or porous mixtures. However, in the case of dense mixtures, it can be used to evaluate durability and properties associated with cohesion and adhesion [26,45,46]. Therefore, four Marshall-type samples were tested by type of mixture (control and modified) and by conditioning process (STOA, STOA + LTOA, and STOA + LTOA + water), following the guidelines established by AASTHO TP 108. Each sample was tested individually on a Los Angeles machine at an average speed of 30 to 33 rpm and at 20 °C.

3. Results

3.1. Physical Properties and Selection of the Content of LDPE

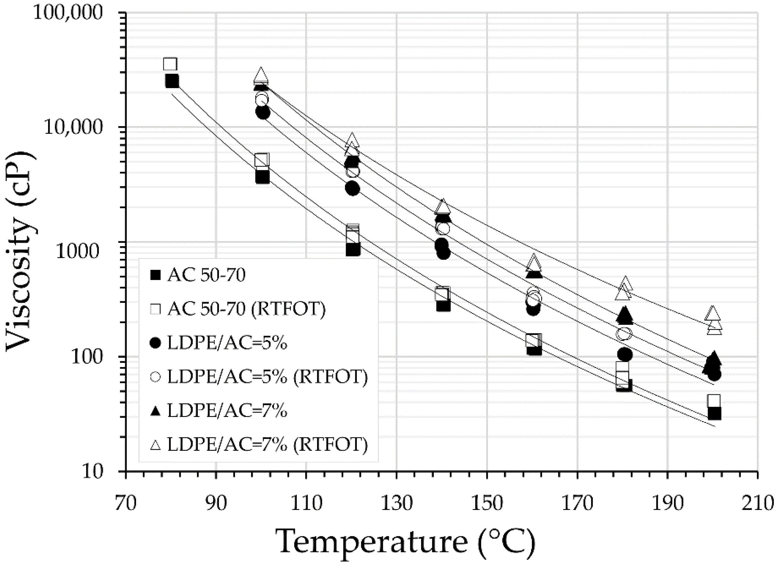
The results of the physical characterization tests carried out on the AC 50–70 control asphalt binder and the modified ones (LDPE/AC = 5%, 7%, and 10%) are presented in Table 5. Figure 4 presents the viscosity curves obtained from torsions applied with No. 21 and No. 29 needles to asphalt binder samples between 100 °C and 200 °C with test intervals of 20 °C. Each test was performed on three samples. (Table 5 shows the average of the results obtained.)
A noticeable increase in stiffness was observed when the asphalt binder was modified with the LDPE (the penetration decreased and the viscosity and softening point increased); this increase was greater with the increase in the LDPE content in the asphalt binder. The ductility of the modified asphalt binders was less than that of the control, since the LDPE during the process of mixing with the asphalt binder generated the formation of lumps. The flash and fire points, as well as the specific weight of the modified asphalt binders, increased as a higher LDPE content occurs.
Based on the results shown in Table 5 and Figure 4, it was decided to choose 5% as a modification percentage (LDPE/AC = 5%). Additionally, this percentage was chosen considering the following criteria: (1) it was recommended in previous studies (e.g., [19,21,24]); (2) using 7% and 10%, the increase in stiffness can generate brittle behavior in the mixture, difficulty during the compaction process, and a tendency to increase manufacturing temperatures; and (3) the rheology tests could not be carried out on the asphalt binders modified with 7% and 10% LDPE, since the reduced thickness of the tablets, together with the large content of LDPE by volume, would cause the shear stress to be applied directly on the elastomer particles that are on the surface.
Table 6 and Table 7 present the results of tests conducted on the rheological characterization AC 50–70 and the modified AC (LDPE/AC = 5%), respectively, to determine the values of G* and δ. Based on the results obtained, the PG at high and intermediate service temperatures of the AC 50–70 were 64 °C and 22 °C, respectively. Regarding the modified asphalt binder, these PGs were 82 °C and 25 °C, respectively. The LDPE helped in increasing the resistance to permanent deformation of the asphalt binder in high-temperature climates. However, the increase in PG at intermediate temperatures was indicative of greater susceptibility to cracking under lower service temperatures, compared to unmodified AC 50–70.
MSRC test results are shown in Figure 5. In this test, the asphalt binder with a lower Jnr value and higher recovery percentages performs better against rutting (greater resistance to permanent deformations). The results in Figure 5 are consistent with the PG obtained from the asphalt binders at high service temperatures. It was observed that the modified asphalt binder undergoes a greater resistance to permanent deformation under the applied load cycles. Additionally, the modified asphalt binder undergoes a greater elastic recovery. On the other hand, the Jnr parameter is presented in Table 8. According to the obtained values, the modified asphalt binder develops a greater capacity to withstand traffic intensities, reaching up to 3 million equivalent axes, without presenting permanent deformations.
Fatigue resistance according to the Viscoelastic Continuum Damage VECD analysis is presented in Figure 6. The results obtained are consistent with the PG of the asphalt binders obtained at intermediate service temperatures. The modified AC undergoes less fatigue resistance compared to the AC 50–70.

3.2. Marshall Hot-Mix Asphalt Design

The results of the Marshall for the control HMA-19 and the modified mixtures are presented in Figure 7. Although the modified asphalt binder was stiffer than AC 50–70, the modified mixes underwent less resistance under monotonic loading (evaluated through of the S/F ratio) compared to the control mix for any percentage of asphalt binder content (Figure 7a). This was mainly because the modified mixes were more porous (they had higher Va and lower VFA, as shown in Figure 7b,c) compared to the control mix. Despite the above, the modified mixtures presented resistance values higher than the minimums established for HMA-19 mixtures by Colombian standards.
The OAC of the control mixture was 5.3%. In the case of the modified mixtures, an increase in the asphalt binder content concerning this 5.3% did not demonstrate a substantial improvement in the resistance properties and volumetric composition; for this reason, such a percentage was chosen to manufacture the samples for the following phases of the study. Additionally, this asphalt binder content was also chosen for the following reasons: (a) to compare with the same OAC of the control mixture; and (b) an increase in the OAC would increase the cost of the mixture.
To obtain the Marshall test values using the 5.3% OAC, new tests were carried out on three samples per type of mixture (see the summary of the results in Table 9). The results are consistent with those presented in Figure 7. However, it is important to note that the difference in the S/F ratio between the control and the modified mixture, as presented in Table 9, was not statistically significant according to ANOVA analysis (F < F0.05). This was the case even though the difference in Va was statistically significant (F > F0.05).

3.3. Marshall Test—Conditioned Mixtures

The variation of the ratio S/F for the mixture control and modified LDPE mixture under conditioning considered (STOA; STOA + LTOA; and STOA + LTOA + water) is shown in Figure 8. An increase in the S/F ratio was observed with the age of the samples in the short term (STOA) and the long term (STOA + LTOA). This was due to the increase in stiffness undergone by the asphalt binder as it aged. Additionally, it was observed that the modified mixtures presented lower S/F compared to the control sample, due to their higher Va content. However, the S/F difference between both aged mixtures in STOA and STOA + LTOA was not statistically significant based on the ANOVA analysis (F < F0.05).
On the other hand, a decrease in the S/F ratio was observed when the samples were partially saturated after undergoing a long-term aging process (STOA + LTOA + water), and this decrease was statistically significant in the case of the modified mix (F > F0.05). The reduction of S/F compared to the sample in the STOA + LTOA condition was 37% for the modified mixture and only 3% for the control mixture. This could be an indication of susceptibility and decrease in water resistance when the mixture is modified with the LDPE.

3.4. Indirect Tensile Strength (ITS)

The average of resistances ITSD and ITSW for the control mixture and the mixture-modified LDPE under STOA and STOA + LTOA is shown in Figure 9. It was observed that the control and the modified mixture slightly increased both mechanical parameters when they were exposed to aging processes. Additionally, it was observed that both mixtures presented similar magnitudes of ITSD and ITSW, except for the sample without aging, where a decrease in the ITSW parameter to ITSD was visualized. However, no change reported in the test was statistically significant according to the ANOVA analysis, since for all cases F < F0.05. The evolution of the parameter TSR is shown in Figure 10. The modified mixture underwent lower TSR values under any conditioning compared to the control mixture. The greater effect on the moisture damage of the mixture with LDPE was perhaps due to the higher Va (7%) compared to that of the control (5.1%). Nevertheless, as in the Marshall test, the reported changes in TSR between both mixtures were not statistically significant based on the ANOVA analysis (F < F0.05).
On the other hand, a decrease in the S/F ratio was observed when the samples were partially saturated after undergoing a long-term aging process (STOA + LTOA + water), and this decrease was statistically significant in the case of the modified mix (F > F0.05). The reduction of S/F compared to the sample in the STOA + LTOA condition was 37% for the modified mixture and only 3% for the control mixture. This could be an indication of susceptibility and a decrease in water resistance when the mixture is modified with the LDPE.

3.5. Resilient Modulus (RM)

The average RM obtained for the control mixture and the modified mixture with LDPE under the conditions considered (STOA; STOA + LTOA; STOA + LTOA + water) is presented in Figure 11. The typical increase in RM values was observed as the charging frequency increased. A typical increase in RM was also observed as the mixtures aged in the short term (STOA) and the long term (STOA + LTOA) as a product of the increase in the stiffness of the asphalt binder. Both mixtures underwent similar increases when aging in the long term (between 45% and 67%, depending on the test frequency).
The modified mixtures developed greater stiffness under a cyclic load compared to the control one, even though the modified mixtures had a higher Va. This was due to the greater stiffness of the modified asphalt binder. However, the higher Va caused water to enter the mix more easily, generating a possible loss of cohesion between the LDPE modified asphalt binder and the aggregates. This produced a decrease in the RM of the modified mixture concerning the control mixture (see the test results under STOA + LTOA + water condition). This effect of water also occurred in the control mixture; that is, water helped to decrease the mixture’s stiffness under cyclic loading. It is important to highlight that, statistically speaking, the results obtained from both mixtures (control and modified) did not present significant changes based on the ANOVA analysis.

3.6. Permanent Deformation

The results of the permanent deformation test are shown in Figure 12 and Figure 13. These results were consistent with those of RM, since the greatest resistance to permanent deformation was obtained by the modified mixture with LDPE, due to its greater stiffness under cyclic loading. This was true even though the modified mixtures had higher Va content compared to the control. Additionally, aging in both mixtures increased the resistance to permanent deformation, due to the increase in stiffness that both asphalt binders underwent (with and without modification) when they oxidized. On the contrary, water decreased that resistance and effect with greater severity in the case of the modified asphalt mixture.

3.7. Fatigue

Fatigue resistance under controlled stress of the long-term aged samples (STOA + LTOA) is presented in Figure 14. It was observed that under this aging condition, the modified mixture with LDPE underwent less resistance to fatigue. This was due to the following factors: (1) in the LAS test, the modified asphalt binder underwent less resistance to fatigue; (2) the LDPE-modified asphalt binder decreased the PG at intermediate service temperatures compared to AC 60–70; (3) the modified mixture had a higher Va (7.3 ± 0.3% in average) compared to the control (4.9 ± 0.4%); and (4) based on the VFA values, the asphalt binder content in the modified mix may not have been sufficient to cover the aggregates.

3.8. Cantabro Test

The Cantabro test results are shown in Figure 15. It was observed that, when conditioned, both mixtures underwent greater loss by abrasion in the test concerning the unconditioned mixture, since the asphalt binder when aging became brittle and could be separated more easily from the aggregates under the mechanical load due to becoming brittle. Additionally, it was logically observed that the loss by abrasion was greater with the presence of water.
The control mix had higher Cantabro wear resistance compared to the modified mix. This may have been due to the following factors: (1) the modified asphalt binder was stiffer and therefore tended to be more brittle than the unmodified asphalt binder; and (2) the modified mixture had a higher Va and a lower VFA than the control one, which allowed the aggregate to come off more easily during the test. Based on the ANOVA analysis, when comparing the results of both mixtures, the reported changes were statistically significant (F > F0.05).

4. Conclusions

This study evaluated the mechanical behavior of a modified HMA mix with a waste of mixing shafts or straws (PEDB-type elastomeric waste), trying to simulate aspects associated with its durability. Likewise, an experimental phase was designed to evaluate the critical performance conditions of the modified mixture, such as the use of temperatures and mixing times of the LDPE with the asphalt binder lower than the traditional ones, using a lower mixing temperature of the modified asphalt binder with aggregates compared to similar studies. The above process was used in order to evaluate the mixture’s possible future use and profitability from environmental and economic perspectives. The following general conclusions are reported:
  • The best response of the modified asphalt binder was observed when 5% of LDPE was added with respect to the mass of the AC.
  • The LDPE increased the PG in the asphalt binder at high service temperatures, due to the significant increase it generated in its stiffness (it decreased the penetration, the Jnr and the δ, and increased the viscosity, the softening point, the G*, and the elastic recovery percentage). Despite this, this increase in stiffness led to a decrease in performance under intermediate service temperatures, and a resistance to fatigue in the LAS test.
  • The lower temperatures used for mixing and compacting the modified mixtures with LDPE, compared to similar studies, generated difficulty in coating the modified asphalt binder with the aggregates, causing a significant increase in Va and a decrease in VMA and VFA.
  • The above processes generated a slight decrease in the S/F ratio and the ITSW, as well as magnitudes of ITSD similar to the control mixture. However, from a statistical point of view, based on the ANOVA analysis, the resistance under monotonic load in both mixtures was similar.
  • With regard to the effect of the conditioning carried out on the samples, it was observed that as the asphalt binder aged, the resistance under a monotonic load increased as a product of the increase in stiffness of the asphalt binder. Nevertheless, water helped in decreasing these resistances and did so with greater effect on the modified asphalt mix. In particular, this effect of water on the modified mixture was statistically significant in the Marshall test, but not in the ITS.
  • Under cyclic loading, the modified mixtures underwent greater stiffness and resistance to permanent deformation than the control mixture, despite being more porous, but these increases were similar from a statistical point of view. As in the resistance tests under a monotonic load, as the asphalt binder aged, the general tendency of both mixtures was to increase the RM and the resistance to permanent deformation, as a product of the increase in stiffness of the asphalt binder. The water also helped to decrease these mechanical parameters, affecting the modified asphalt mixture with greater impact.
  • The greater porosity of the modified mixture concerning the control mixture, together with the stiffening (brittleness) of the modified asphalt binder and the lower performance obtained in rheological characterization tests at intermediate service temperatures and in LAS, affected its fatigue performance and resistance to abrasion wear in the Cantabro test.
  • To a large extent, the proposed asphalt binder modification and manufacturing procedure for the LDPE modified asphalt mix could be used in high-temperature climates to control the phenomenon of rutting. This is because the LDPE-modified asphalt mix could perform similarly and even better than the control mix in these climates. However, based on the response undergone with water and in the Cantabro test, its use would not be recommended as a wearing surface course layer, but as an asphalt course base. Additionally, its use in temperate climates and in low temperatures, and in the formation of thin asphalt layers, is not recommended.
  • The above recommendations are based on the results obtained from the laboratory tests performed in this study. To validate them, a more complete experimental phase must be carried out, which correlates the laboratory results obtained with micro-mechanical and chemical tests, and with full-scale tests. Additionally, emissions must be measured, and the environmental and economic impacts must be evaluated.

Author Contributions

Conceptualization, H.A.R.-Q. and F.A.R.-L.; methodology, H.A.R.-Q., F.A.R.-L., J.A.R.-E. and E.V.G.-S.; validation and formal analysis, H.A.R.-Q., F.A.R.-L., J.A.R.-E., E.V.G.-S. and J.G.B.-M.; resources, F.A.R.-L., J.A.R.-E. and E.V.G.-S.; writing—original draft preparation, H.A.R.-Q.; writing—review and editing, H.A.R.-Q. and F.A.R.-L. All authors have read and agreed to the published version of the manuscript.

Funding

This research received no external funding.

Institutional Review Board Statement

Not applicable.

Informed Consent Statement

Not applicable.

Data Availability Statement

Not applicable.

Acknowledgments

We thank the participating institutions (Pontificia Universidad Javeriana, Universidad Distrital Francisco José de Caldas and Universidad Piloto de Colombia) for the support granted to the researchers.

Conflicts of Interest

The authors declare no conflict of interest.

References

  1. Fakhri, M.; Ghanizadeh, A.R. An experimental study on the effect of loading history parameters on the resilient modulus of conventional and SBS-modified asphalt mixes. Constr. Build. Mater. 2014, 53, 284–293. [Google Scholar] [CrossRef]
  2. Polacco, G.; Filippi, S.; Merusi, F.; Stastna, G. A review of the fundamentals of polymer-modified asphalts: Asphalt/polymer interactions and principles of compatibility. Adv. Colloid Interface Sci. 2015, 224, 72–112. [Google Scholar] [CrossRef] [PubMed]
  3. Luo, W.; Zhang, Y.; Cong, P. Investigation on physical and high temperature rheology properties of asphalt binder adding waste oil and polymers. Constr. Build. Mater. 2017, 144, 13–24. [Google Scholar] [CrossRef]
  4. Behnood, A.; Gharehveran, M.M. Morphology, rheology, and physical properties of polymer-modified asphalt binders. Eur. Polym. J. 2019, 112, 766–791. [Google Scholar] [CrossRef]
  5. Mansourian, A.; Goahri, A.R.; Khosrowshahi, F.K. Performance evaluation of asphalt binder modified with EVA/HDPE/nanoclay based on linear and non-linear viscoelastic behaviors. Constr. Build. Mater. 2019, 208, 554–563. [Google Scholar] [CrossRef]
  6. Polacco, G.; Berlincioni, S.; Biondi, D.; Stastna, J.; Zanzotto, L. Asphalt modification with different polyethylene-based polymers. Eur. Polym. J. 2005, 41, 2831–2844. [Google Scholar] [CrossRef]
  7. Pistor, V.; Chiesa, A.; Zattera, A.J. Study of the reprocessing of low density polyethylene (LDPE) recycled from extruded blown films. Polimeros 2010, 20, 269–274. [Google Scholar] [CrossRef][Green Version]
  8. Brovelli, C.; Crispino, M.; Pais, J.; Pereira, P. Using polymers to improve the rutting resistance of asphalt concrete. Constr. Build. Mater. 2015, 77, 117–123. [Google Scholar] [CrossRef]
  9. Bala, N.; Kamaruddin, I.; Napiah, M. The influence of polymer on rheological and thermo oxidative aging properties of modified bitumen binders. J. Teknol. 2017, 79, 61–73. [Google Scholar] [CrossRef]
  10. Crucho, J.M.L.; das Neves, J.M.C.; Capitão, S.D.; de Picado-Santos, L.G. Evaluation of the durability of asphalt concrete modified with nanomaterials using the TEAGE aging method. Constr. Build. Mater. 2019, 214, 178–186. [Google Scholar] [CrossRef]
  11. Sirin, O.; Paul, D.K.; Kassem, E.; Ohiduzzaman, M. Effect of aging on asphalt binders in the state of Qatar: A case study. Road Mater. Pavement Des. 2017, 18 (Suppl. 4), 165–184. [Google Scholar] [CrossRef]
  12. Delgado-Jojoa, M.G.; Sánchez-Gilede, J.A.; Rondón-Quintana, H.A.; Fernández-Gómez, W.D.; Reyes-Lizcano, F.A. Influence of four non-conventional additives on the physical, rheological and thermal properties of an asphalt. Ing. Investig. 2018, 38, 18–26. [Google Scholar] [CrossRef]
  13. Geyer, R.; Jambeck, J.R.; Law, K.L. Production, use, and fate of all plastics ever made. Sci. Adv. 2017, 3, 3–8. [Google Scholar] [CrossRef]
  14. Li, R.; Xiao, F.; Amirkhanian, S.; You, Z.; Huang, J. Developments of nano materials and technologies on asphalt materials—A review. Constr. Build. Mater. 2017, 143, 633–648. [Google Scholar] [CrossRef]
  15. DANE. Cuenta Ambiental y Económica de Flujos de Materiales—Residuos Sólidos 2012–2016. Boletín Técnico 2018, 14p. Available online: https://www.magconsultorias.com/wp-content/uploads/2019/03/Bt-Cuenta-residuos-2016p-DANE_compressed.pdf (accessed on 19 April 2020).
  16. Yeh, P.-H.; Nien, Y.-H.; Chen, W.-C.; Liu, W.-T. Evaluation of thermal and viscoelastic properties of asphalt binders by compounding with polymer modifiers. Polym. Compos. 2010, 31, 1738–1744. [Google Scholar] [CrossRef]
  17. Yu, R.; Fang, C.; Liu, P.; Liu, X.; Li, Y. Storage stability and rheological properties of asphalt modified with waste packaging polyethylene and organic montmorillonite. Appl. Clay Sci. 2015, 104, 1–7. [Google Scholar] [CrossRef]
  18. Botella, R.; Pérez-Jiménez, F.E.; Miro, R.; Martínez, A.H. New methodology to estimate the fatigue behavior of bituminous mixtures using a strain sweep test. Constr. Build. Mater. 2017, 135, 233–240. [Google Scholar] [CrossRef]
  19. Rondón-Quintana, H.A.; Fernández-Gómez, W.; López, W.C. Evaluación de las propiedades mecánicas de una mezcla densa en caliente modificada con un desecho de polietileno de baja densidad (PEBD) [Mechanical properties evaluation of a dense hot asphalt mixture modified with a residue of low density polyethylene]. Rev. Ing. Constr. 2010, 25, 83–94. [Google Scholar] [CrossRef]
  20. Jeong, K.D.; Lee, S.J.; Kim, K.W. Laboratory evaluation of flexible pavement materials containing waste polyethylene (WPE) film. Constr. Build. Mater. 2011, 25, 1890–1894. [Google Scholar] [CrossRef]
  21. Castro-López, W.; Rondón-Quintana, H.A.; Barrero-Calixto, J. Evaluación de las propiedades reológicas y térmicas de un asfalto convencional y uno modificado con un desecho de PEBD. Ingeniería 2016, 21, 7–18. [Google Scholar]
  22. Dalhat, M.A.; Al-Abdul Wahhab, H.I. Performance of recycled plastic waste modified asphalt binder in Saudi Arabia. Int. J. Pavement Eng. 2015, 18, 349–357. [Google Scholar] [CrossRef]
  23. Khan, I.M.; Kabir, S.; Alhussain, M.A.; Almansoor, F.F. Asphalt design using recycled plastic and crumb-rubber waste for sustainable pavement construction. Procedia Eng. 2016, 145, 1557–1564. [Google Scholar] [CrossRef]
  24. Fuentes-Audén, C.; Sandoval, J.A.; Jerez, A.; Navarro, F.; Martínez, F.; Partal, P.; Gallegos, C. Evaluation of thermal and mechanical properties of recycled polyethylene modified bitumen. Polym. Test. 2008, 27, 1005–1012. [Google Scholar] [CrossRef]
  25. Finn, F.N. Factors Involved in the Design of Asphaltic Pavement Surfaces; NCHRP Report; Transportation Research Board: Washington, DC, USA, 1967; Volume 39, ISSN 0077–5614. [Google Scholar]
  26. Smith, B.T.; Howard, I.L. Comparing laboratory conditioning protocols to longer-term aging of asphalt mixtures in the Southeast United States. J. Mater. Civ. Eng. 2019, 31, 04018346. [Google Scholar] [CrossRef]
  27. Vargas, M.A.; Vargas, M.A.; Sánchez-Sólis, A.; Manero, O. Asphalt/polyethylene blends: Rheological properties, microstructure and viscosity modeling. Constr. Build. Mater. 2013, 45, 243–250. [Google Scholar] [CrossRef]
  28. Sabet, M.; Soleimani, H. Inclusion of graphene on LDPE properties. Heliyon 2019, 5, e02053. [Google Scholar] [CrossRef]
  29. Awad, A.H.; Abdellatif, M.H. Assessment of mechanical and physical properties of LDPE reinforced with marble dust. Compos. Part B Eng. 2019, 173, 106948. [Google Scholar] [CrossRef]
  30. Cuadri, A.A.; Roman, C.; García-Morales, M.; Guisado, F.; Moreno, E.; Partal, P. Formulation and processing of recycled-low-density-polyethylene-modified bitumen emulsions for reduced-temperature asphalt technologies. Chem. Eng. Sci. 2016, 156, 197–205. [Google Scholar] [CrossRef]
  31. Liang, M.; Xin, X.; Fan, W.; Jiang, H.; Zhang, J.; Yao, Z. Phase behavior and hot storage characteristics of asphalt modified with various polyethylene: Experimental and numerical characterizations. Constr. Build. Mater. 2019, 203, 608–620. [Google Scholar] [CrossRef]
  32. Padhan, R.K.; Sreeram, A. Enhancement of storage stability and rheological properties of polyethylene (PE) modified asphalt using cross linking and reactive polymer based additives. Constr. Build. Mater. 2018, 188, 772–780. [Google Scholar] [CrossRef]
  33. Weaver, C.P.; Liang, X.; Zhu, J.; Adams, P.; Amar, P.; Avise, J.; Caughey, M.; Chen, J.; Cohen, R.C.; Cooter, E.; et al. A preliminary synthesis of modeled climate change impacts on U.S. regional ozone concentrations. Bull. Am. Meteorol. Soc. 2009, 90, 1843–1864. [Google Scholar] [CrossRef]
  34. Tauste, R.; Moreno-Navarro, F.; Sol-Sánchez, M.; Rubio-Gámez, M.C. Understanding the bitumen ageing phenomenon: A review. Constr. Build. Mater. 2018, 192, 593–609. [Google Scholar] [CrossRef]
  35. Yan, C.; Xiao, F.; Huang, W. Short-Term aging of high-content SBSMA. J. Mater. Civ. Eng. 2018, 30, 04018186. [Google Scholar] [CrossRef]
  36. Singh, B.; Kumar, P. Effect of polymer modification on the ageing properties of asphalt binders: Chemical and morphological investigation. Constr. Build. Mater. 2019, 205, 633–641. [Google Scholar] [CrossRef]
  37. Lin, P.; Yan, C.; Huang, W.; Li, Y.; Zhou, L.; Tang, N.; Xiao, F.; Zhang, Y.; Lv, Q. Rheological, chemical and aging characteristics of high content polymer modified asphalt. Constr. Build. Mater. 2019, 207, 616–629. [Google Scholar] [CrossRef]
  38. Nuñez, J.Y.M.; Domingos, M.D.I.; Faxina, A.L. Susceptibility of low-density polyethylene and polyphosphoric acid-modified asphalt binders to rutting and fatigue cracking. Constr. Build. Mater. 2014, 73, 509–514. [Google Scholar] [CrossRef]
  39. Wang, J.; Yuan, J.; Kim, K.W.; Xiao, F. Chemical, thermal and rheological characteristics of composite polymerized asphalts. Fuel 2018, 227, 289–299. [Google Scholar] [CrossRef]
  40. Diab, A.; Enieb, M.; Singh, D. Influence of aging on properties of polymer-modified asphalt. Constr. Build. Mater. 2019, 196, 54–65. [Google Scholar] [CrossRef]
  41. Bell, C.A.; Abwahab, Y.; Cristi, M.E.; Sosnovske, D. Selection of Laboratory Aging Procedures for Asphalt-Aggregate Mixtures; SHRP-A-383, TRB; Strategic Highway Research Program, National Research Council: Washington, DC, USA, 1994; 92p. [Google Scholar]
  42. Rondón, H.A.; Zafra, C.A.; Reyes, F.A. Fatigue in asphalt mixtures—A summary to understand the complexity of its mathematical modeling. J. Phys. Conf. Ser. 2021, 2118, 012009. [Google Scholar] [CrossRef]
  43. Rondón, H.A.; Reyes, F.A. Pavimentos—Materiales, Construcción y Diseño; Primera Edición; ECOE: Bogotá, Colombia, 2015; 614p. [Google Scholar]
  44. Rondón-Quintana, H.A.; Ruge-Cárdenas, J.C.; Bastidas-Martínez, J.; Velandia-Castelblanco, M.Y.; Muniz De Farias, M. Use of thermally treated bentonite as filler in hot mix asphalt. J. Mater. Civ. Eng. 2020, 32, 04020070. [Google Scholar] [CrossRef]
  45. Cox, B.C.; Smith, B.T.; Howard, I.L.; James, R.S. State of knowledge for Cantabro testing of dense graded asphalt. J. Mater. Civ. Eng. 2017, 29, 04017174. [Google Scholar] [CrossRef]
  46. Doyle, I.L.; Howard, J.D. Characterization of dense-graded asphalt with the Cantabro test. J. Test. Eval. 2016, 44, 77–88. [Google Scholar] [CrossRef]
Figure 1. Flow chart—experimental phase.
Figure 1. Flow chart—experimental phase.
Sustainability 14 04229 g001
Figure 2. (a) Recycled LDPE and (b) LDPE cut for use as an additive.
Figure 2. (a) Recycled LDPE and (b) LDPE cut for use as an additive.
Sustainability 14 04229 g002
Figure 3. (a) Procedure for mixing AC with LDPE, (b) Temperature check at 145 °C, and (c) Modified AC.
Figure 3. (a) Procedure for mixing AC with LDPE, (b) Temperature check at 145 °C, and (c) Modified AC.
Sustainability 14 04229 g003
Figure 4. Viscosity of AC with and without modification.
Figure 4. Viscosity of AC with and without modification.
Sustainability 14 04229 g004
Figure 5. MSRC test results.
Figure 5. MSRC test results.
Sustainability 14 04229 g005
Figure 6. LAS test results.
Figure 6. LAS test results.
Sustainability 14 04229 g006
Figure 7. Variation of Marshall parameters: (a) S/F, (b) Va, and (c) VFA.
Figure 7. Variation of Marshall parameters: (a) S/F, (b) Va, and (c) VFA.
Sustainability 14 04229 g007
Figure 8. S/F according to the conditioning of the mixtures.
Figure 8. S/F according to the conditioning of the mixtures.
Sustainability 14 04229 g008
Figure 9. ITS according to the conditioning of the mixtures.
Figure 9. ITS according to the conditioning of the mixtures.
Sustainability 14 04229 g009
Figure 10. TSR according to the conditioning of the mixtures.
Figure 10. TSR according to the conditioning of the mixtures.
Sustainability 14 04229 g010
Figure 11. RM at 20 °C according to the conditioning of the mixtures.
Figure 11. RM at 20 °C according to the conditioning of the mixtures.
Sustainability 14 04229 g011
Figure 12. Permanent deformation test result of control mixture.
Figure 12. Permanent deformation test result of control mixture.
Sustainability 14 04229 g012
Figure 13. Permanent deformation test result of modified mixture.
Figure 13. Permanent deformation test result of modified mixture.
Sustainability 14 04229 g013
Figure 14. Fatigue resistance test.
Figure 14. Fatigue resistance test.
Sustainability 14 04229 g014
Figure 15. Cantabro test.
Figure 15. Cantabro test.
Sustainability 14 04229 g015
Table 1. Tests performed on AC 50–70.
Table 1. Tests performed on AC 50–70.
TestSpecificationUnitResult
PenetrationASTM D50.1 mm52
Penetration indexNLT-181/88-−1.6
Softening pointASTM D36°C48.6
DuctilityASTM D113cm150
Specific gravityAASHTO T 228-1.01
FlashpointAASHTO T 48°C300.3
Table 2. The values obtained from the typical characterization tests carried out on the aggregate used.
Table 2. The values obtained from the typical characterization tests carried out on the aggregate used.
TestSpecificationRequirementResult
Bulk specific gravity (coarse)AASHTO T 85-2.607
Bulk specific gravity (fine)AASHTO T 84-2.538
Wear resistance-Los Angeles machineAASHTO T 9625% max.18%
Micro-DevalAASHTO T 32720% max.13%
10% fine dryDNER-ME 096110 kN min.135 kN
10% fine wet/dryDNER-ME 09675% min.78%
Fractured particles: 1/2 facesASTM D582175% min./60% min.90%/66%
Soundness of aggregates ASTM C8812% max.1.4%
Index plasticityASTM D4318Non-plasticNon-plastic
Elongation and flattening indexNTL 354/9110% max.10%
Table 4. Particle size distribution of HMA-19.
Table 4. Particle size distribution of HMA-19.
Sieve3/4″1/2″3/8″4104080200Bottom
Sieve (mm)1912.59.54.7520.430.180.075-
Passing (%)10087.579573719.512.56-
Retained (%)012.58.5222017.576.56
Table 5. Physical characterization of AC with and without modification.
Table 5. Physical characterization of AC with and without modification.
TestAC 50–70LDPE/AC = 5%LDPE/AC = 7%LDPE/AC = 10%
Penetration (0.1 mm)52 ± 0.330 ± 1.221 ± 0.615 ± 1.1
Softening point (°C)48.6 ± 0.256.5 ± 0.861 ± 0.768 ± 2.8
Ductility (cm)>15025 ± 2.412 ± 1.012 ± 1.4
Flash point (°C)300.3 ± 2.1387.7 ± 3.3372 ± 4.4354 ± 6.8
Fire point (°C)340.3 ± 3.6361.7 ± 5.5363.2 ± 3.7364 ± 5.0
Specific gravity (-)1.0 ± 0.0021.007 ± 0.00011.011 ± 0.00011.025 ± 0.0001
Table 6. Rheological characterization of AC 50–70.
Table 6. Rheological characterization of AC 50–70.
Temperature (°C)δ (°)|G∗| (Pa)|G∗|/Sen(δ) (kPa)|G∗| Sen(δ) (kPa)
AC unaged
588628332.84 ± 0.072.83 ± 0.07
648712261.23 ± 0.031.22 ± 0.03
70885680.57 ± 0.020.57 ± 0.02
AC-RTOFT
588174027.49 ± 0.257.31 ± 0.24
648331823.21 ± 0.103.16 ± 0.10
708414301.44 ± 0.031.42 ± 0.03
AC-RTOFT + PAV
194110,856,00016547 ± 6507122 ± 280
22446,425,5009250 ± 4324463 ± 208
25474,682,2006402 ± 3463424 ± 185
Table 7. Rheological characterization of modified AC (LDP/AC = 5%).
Table 7. Rheological characterization of modified AC (LDP/AC = 5%).
Temperature (°C)δ (°)|G∗| (Pa)|G∗|/Sen(δ) (kPa)|G∗| Sen(δ) (kPa)
AC unaged
828037983.86 ± 0.133.74 ± 0.13
888311081.12 ± 0.031.10 ± 0.03
94845590.56 ± 0.0170.56 ± 0.017
AC modified–RTOFT
767033263.54 ± 0.133.12 ± 0.11
828025522.59 ± 0.082.51 ± 0.08
888412481.25 ± 0.041.24 ± 0.04
AC modified-RTOFT + PAV
22389,443,50015,339 ± 7205814 ± 273
25406,943,50010,802 ± 5074463 ± 209
28422,358,6003525 ± 1401578 ± 63
Table 8. Jnr MSRC test results.
Table 8. Jnr MSRC test results.
TypeJnr for 3.2 kPaTraffic IntensityGrade
AC 50–704.04 ± 0.20No StandardNo Standard
Modified AC2.12 ± 0.15<3 millionsStandard
Table 9. Marshall parameters for OAC = 5.3%.
Table 9. Marshall parameters for OAC = 5.3%.
MixtureS (kN)F (mm)S/F (kN/mm)Va (%)VMA (%)VFA (%)
Control18.43 ± 0.323.6 ± 0.15.3 ± 0.175.1 ± 0.2517.571.5
Modified16.41 ± 0.254.1 ± 0.063.9 ± 0.167.0 ± 0.2018.763.5
Publisher’s Note: MDPI stays neutral with regard to jurisdictional claims in published maps and institutional affiliations.

Share and Cite

MDPI and ACS Style

Rincón-Estepa, J.A.; González-Salcedo, E.V.; Rondón-Quintana, H.A.; Reyes-Lizcano, F.A.; Bastidas-Martínez, J.G. Mechanical Behavior of Low-Density Polyethylene Waste Modified Hot Mix Asphalt. Sustainability 2022, 14, 4229. https://doi.org/10.3390/su14074229

AMA Style

Rincón-Estepa JA, González-Salcedo EV, Rondón-Quintana HA, Reyes-Lizcano FA, Bastidas-Martínez JG. Mechanical Behavior of Low-Density Polyethylene Waste Modified Hot Mix Asphalt. Sustainability. 2022; 14(7):4229. https://doi.org/10.3390/su14074229

Chicago/Turabian Style

Rincón-Estepa, Jessica Adaluz, Esthefanny Victoria González-Salcedo, Hugo Alexander Rondón-Quintana, Fredy Alberto Reyes-Lizcano, and Juan Gabriel Bastidas-Martínez. 2022. "Mechanical Behavior of Low-Density Polyethylene Waste Modified Hot Mix Asphalt" Sustainability 14, no. 7: 4229. https://doi.org/10.3390/su14074229

APA Style

Rincón-Estepa, J. A., González-Salcedo, E. V., Rondón-Quintana, H. A., Reyes-Lizcano, F. A., & Bastidas-Martínez, J. G. (2022). Mechanical Behavior of Low-Density Polyethylene Waste Modified Hot Mix Asphalt. Sustainability, 14(7), 4229. https://doi.org/10.3390/su14074229

Note that from the first issue of 2016, this journal uses article numbers instead of page numbers. See further details here.

Article Metrics

Back to TopTop