Data Mining Techniques: New Method to Identify the Effects of Aquaculture Binder with Sardine on Diets of Juvenile Litopenaeus vannamei
Abstract
1. Introduction
2. Materials and Methods
2.1. Experimental Design
2.2. Preparation of the Mixtures
2.3. Experimental Diets and Feeding
2.4. Growth Performances of Juvenile Shrimps
2.5. Nutritional Composition of Juvenile Shrimps
2.6. Statistical Analysis
K-Means Clustering Algorithm
- Partitioning—the training set is partitioned into K clusters according to the VMP rule.
- The new code vectors are the centroids of the clusters, calculated according to Equation .
- Convergence test—algorithm stop criterion.
3. Results and Discussion
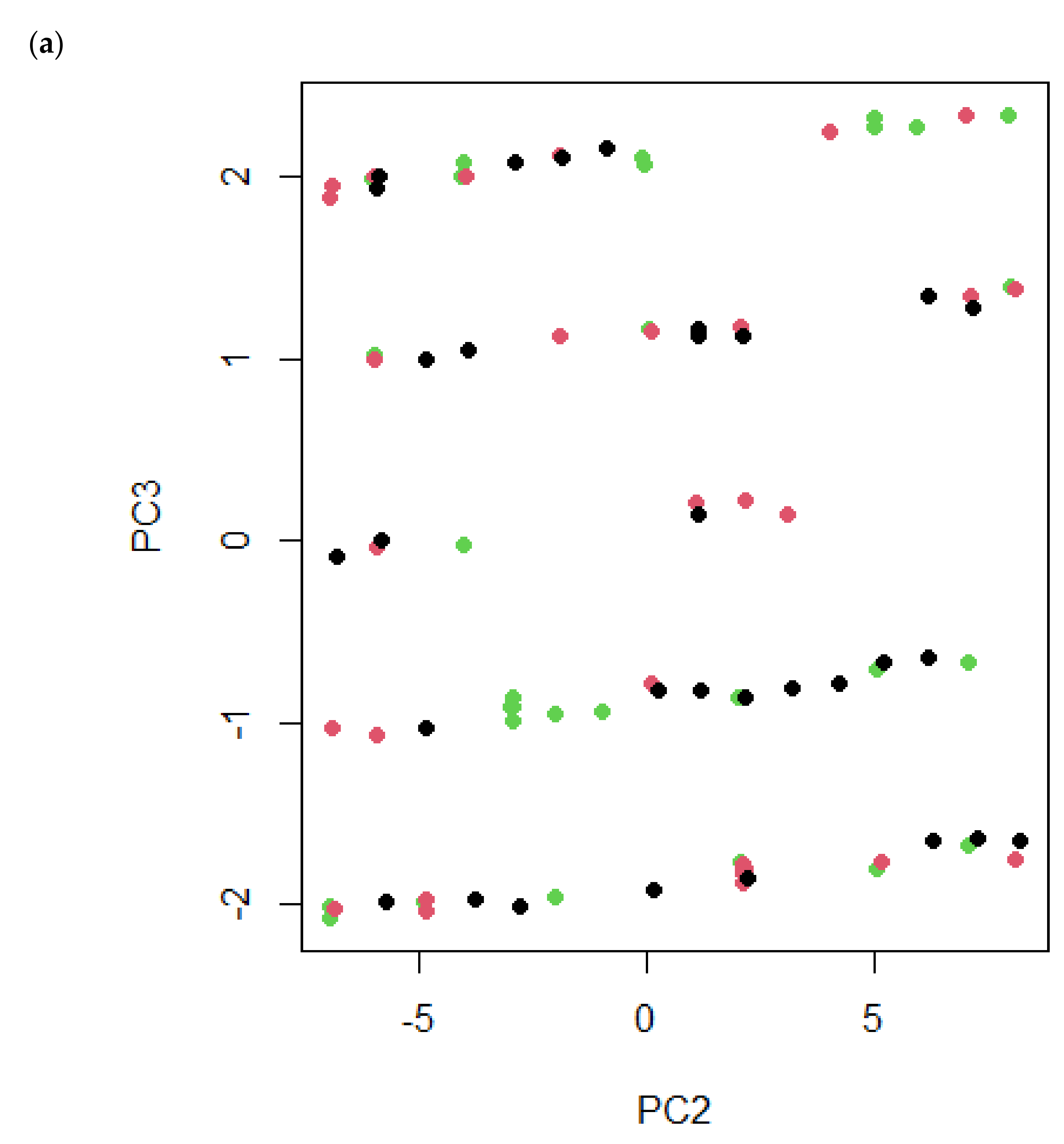
3.1. Data Mining for Growth Performances of Juvenile Shrimps
3.2. Data Mining for Nutritional Composition of Juvenile Shrimps
4. Conclusions
Author Contributions
Funding
Institutional Review Board Statement
Informed Consent Statement
Data Availability Statement
Acknowledgments
Conflicts of Interest
References
- Naylor, R.L.; Goldberg, R.J.; Mooney, H.; Beveridge, M.; Clay, J.; Folke, C.; Kautsky, N.; Lubchenco, J.; Primavera, J.; Williams, M. Nature’s subsidies to shrimp and salmon farming. Science 1998, 282, 883–884. [Google Scholar] [CrossRef]
- Naylor, R.L.; Goldberg, R.J.; Primavera, J.H.; Kautsky, N.; Beveridge, M.C.M.; Clay, J.; Folke, C.; Lubchenco, J.; Mooney, H.; Troell, M. Effect of aquaculture on world fish supplies. Nature 2000, 405, 1017–1024. [Google Scholar] [CrossRef] [PubMed]
- Naylor, R.L. Expanding the Boundaries of Agricultural Development. Food Secur. 2011, 3, 233–251. [Google Scholar] [CrossRef]
- Hamilton, S.E.; Stankwitz, C. Examining the relationship between international aid and mangrove deforestation in coastal Ecuador from 1970 to 2006. J. Land Use Sci. 2012, 7, 177–202. [Google Scholar] [CrossRef]
- Boyd, C.E.; Davis, R.P.; McNevin, A.A. Comparison of resource use for farmed shrimp in Ecuador, India, Indonesia, Thailand, and Vietnam. Aquac. Fish Fish. 2021, 1, 3–15. [Google Scholar] [CrossRef]
- PROECUADOR. Instituto de Promoción de Exportaciones e Inversiones. El Camarón Congelado es el Tercer Producto de Exportación; PROECUADOR: Quito, Ecuador, 2013. [Google Scholar]
- Carrillo, D. La Industria de Alimentos y Bebidas en el Ecuador; Instituto Nacional de Estadística y Censos: Loja, Ecuador, 2009. [Google Scholar]
- Rivera, L.M.; Trujillo, L.E.; Pais-Chanfrau, J.M.; Núñez, J.; Pineda, J.; Romero, H.; Tinococo, O.; Cabrera, C.; Dimitrov, V. Functional foods as stimulators of the immune system of Litopenaeus vannamei cultivated in Machala, Province of El Oro, Ecuador. Ital. J. Food Sci. 2018, 31, 227–232. [Google Scholar]
- Guartatanga, R.; Schwartz, L.; Wigglesworth, J.M.; Griffith, D.R.W. Experimental Intensive Rearing of Red Drum (Sciaenops ocellatus) in Ecuador; CENAIM: San Pedro de Manglaralto, Ecuador, 1993. [Google Scholar]
- Blacio, E.; Darquea, J.; Rodríguez, S. Avances en el cultivo de Huayaipe, Seriola rivoliana (Valenciennes 1833), en las instalaciones del CENAIM. Mundo Acuic. 2003, 9, 23–24. [Google Scholar]
- Boyd, C.E.; Davis, R.P.; Wilson, A.G.; Marcillo, F.; Brian, S.; McNevin, A.A. Resource use in whiteleg shrimp Litopenaeus vannamei farming in Ecuador. J. World Aquac. Soc. 2001, 52, 772–788. [Google Scholar] [CrossRef]
- Lawrence, A.L.; Lee, P.G. Research in the Americas. In Crustacean Nutrition. Advances in World Aquaculture; D’Abramo, L.R., Conklin, D.E., Akiyama, D.M., Eds.; World Aquaculture Society: Baton Rouge, LA, USA, 1997; Volume 6, pp. 566–587. [Google Scholar]
- Smith, D.M.; Burford, M.A.; Tabrett, S.J.; Irvin, S.J.; Ward, L. The effect of feeding frequency on water quality and growth of the black tiger shrimp (Penaeus monodon). Aquaculture 2002, 207, 125–136. [Google Scholar] [CrossRef]
- Partridge, G.J.; Southgate, P.C. The effect of binder composition on ingestion and assimilation of microbound diets MBD by barramundi Lates calcarifer Bloch larvae. Aquac. Res. 1999, 30, 879–886. [Google Scholar] [CrossRef]
- Palma, J.; Bureau, D.P.; Andrade, J.P. Effects of binder type and binder addition on the growth of juvenile Palaemonetes varians and Palaemon elegans (Crustacea: Palaemonidae). Aquac. Int. 2008, 16, 427–436. [Google Scholar] [CrossRef]
- Argüello-Guevara, W.; Molina-Poveda, C. Effect of binder type and concentrationon prepared feed stability, feed ingestionand digestibility of Litopenaeus vannamei broodstock diets. Aquac. Nutr. 2013, 19, 515–522. [Google Scholar] [CrossRef]
- Valcárcel, V. Data Mining y el Descubrimiento del Conocimiento. Ind. Data 2004, 7, 83–86. [Google Scholar] [CrossRef][Green Version]
- Guevara-Viejó, F.; Valenzuela-Cobos, J.D.; Vicente-Galindo, P.; Galindo-Villardón, P. Application of K-Means Clustering Algorithm to Commercial Parameters of Pleurotus spp. Cultivated on Representative Agricultural Wastes from Province of Guayas. J. Fungi 2021, 7, 537. [Google Scholar] [CrossRef] [PubMed]
- Guevara-Viejó, F.; Valenzuela-Cobos, J.D.; Vicente-Galindo, P.; Galindo-Villardón, P. Data-Mining Techniques: A New Approach to Identifying the Links among Hybrid Strains of Pleurotus with Culture Media. J. Fungi 2021, 7, 882. [Google Scholar] [CrossRef]
- Xie, S.W.; Li, Y.T.; Zhou, W.W.; Tian, L.X.; Li, Y.M.; Zeng, S.L.; Liu, Y.J. Effect of γ-aminobutyric acid supplementation on growth performance, endocrine hormone and stress tolerance of juvenile Pacific white shrimp, Litopenaeus vannamei, fed low fishmeal diet. Aquac Nutr. 2017, 23, 54–62. [Google Scholar] [CrossRef]
- Arambul Munoz, E.; Ponce Palafox, J.; De Los Santos, R.; Aragon Noriega, E.; Rodriguez Dominguez, G.; Castillo Vargasmachuca, S. Influence of Stocking Density on Production and Water Quality of a Photo Heterotrophic Intensive System of White Shrimp (Penaeus vannamei) in Circular Lined Grow out Ponds, with Minimal Water Replacement. Lat. Am. J. Aquat. Res. 2019, 47, 449–455. [Google Scholar] [CrossRef]
- Mmanda, F.P.; Lindberg, J.E.; Halden, A.N.; Mtolera, M.S.P.; Kitula, R.; Lundh, T. Digestibility of local feed ingredients in tilapia Oreochromis niloticus juveniles, determined on faeces collected by siphoning or stripping. Fishes 2020, 5, 32. [Google Scholar] [CrossRef]
- Mohanty, R.K. Growth performance of Penaeus monodon at different stocking densities. J. Inland Fish. Soc. India 1999, 31, 53–59. [Google Scholar]
- Bae, J.; Hamidoghli, A.; Djaballah, M.S.; Maamri, S.; Hamdi, A.; Souffi, I.; Farris, N.W.; Bai, S.C. Effects of three different dietary plant protein sources as fishmeal replacers in juvenile whiteleg shrimp, Litopenaeus vannamei. Fish. Aquat. Sci. 2020, 23, 2. [Google Scholar] [CrossRef]
- Valencia del Toro, G.; Ramírez-Ortiz, M.E.; Flores-Ramírez, G.; Costa-Manzano, M.R.; Robles-Martínez, F.; Garín Aguilar, M.E.; Leal-Lara, H. Effect of Yucca schidigera bagasse as substrate for Oyster mushroom on cultivation parameters and fruit body quality. Rev. Mex. Ing. Quim. 2018, 17, 835–846. [Google Scholar] [CrossRef]
- Valenzuela-Cobos, J.D.; Vásquez-Véliz, G.; Zied, D.C.; Franco-Hernández, O.M.; SánchezHernández, A.; Garín Aguilar, M.E.; Leal Lara, H.; Valencia del Toro, G. Bioconversion of agricultural wastes using parental, hybrid and reconstituted strains of Pleurotus and Lentinula. Rev. Mex. Ing. Quim. 2019, 18, 647–657. [Google Scholar] [CrossRef]
- Association of Official Analytical Chemists (AOAC). International Official Methods of Analysis; AOAC: Washington, DC, USA, 2002. [Google Scholar]
- Madeiro, F.; Galvão, R.R.A.; Ferreira, F.A.B.S.; Cunha, D.C. Uma alternativa de aceleração do algoritmo fuzzy k-means aplicado à quantização vetorial. TEMA Tend. Mat. Appl. Comput. 2012, 13, 193–206. [Google Scholar] [CrossRef]
- Pasqualoto, K.F.; Teófilo, R.F.; Guterres, M.; Pereira, F.S.; Ferreira, M. A study of physicochemical and biopharmaceutical properties of Amoxicillin tablets using full factorial design and PCA biplot. Anal. Chim. Acta 2007, 595, 216–220. [Google Scholar] [CrossRef] [PubMed]
- Razavi Zadegan, S.M.; Mirzaie, M.; Sadoughi, F. Ranked k-medoids: A fast and accurate rank-based partitioning algorithm for clustering large datasets. Knowl.-Based Syst. 2013, 39, 133–143. [Google Scholar] [CrossRef]
- Valenzuela-Cobos, J.D.; Vargas-Farias, C.J. Study about the use of aquaculture binder with tuna attractant in the feeding of white shrimp (Litopenaeus vannamei). Rev. Mex. Ing. Quim. 2020, 19, 355–361. [Google Scholar] [CrossRef]
- Velasco, M.; Lawrence, A.L.; Castille, F.L. Effect of variations in daily feeding frequency and ration size on growth of shrimp, Litopenaeus vannamei (Boone), in zero-water exchange culture tanks. Aquaculture 1999, 179, 141–148. [Google Scholar] [CrossRef]
- Huang, F.; Wang, L.; Zhang, C.; Song, K. Replacement of fishmeal with soybean meal and mineral supplements in diets of Litopenaeus vannamei reared in low-salinity water. Aquaculture 2017, 473, 172–180. [Google Scholar] [CrossRef]
- Tacon, A.G.J.; Cody, J.J.; Conquest, L.D.; Divakaran, S.; Forster, I.P.; Decamp, O.E. Effect of culture system on the nutrition and growth performance of Pacific white shrimp Litopenaeus vannamei (Boone) fed different diets. Aquac. Nutr. 2002, 8, 121–139. [Google Scholar] [CrossRef]
- Shahkar, E.; Yun, H.; Park, G.; Jang, I.K.; Kyoung Kim, S.; Katya, K.; Bai, S.C. Evaluation of optimum dietary protein level for juvenile whiteleg shrimp (Litopenaeus vannamei). J. Crust. Biol. 2014, 34, 552–558. [Google Scholar] [CrossRef]
- Liu, Z.; Liu, Q.; Zhang, D.; Wei, S.; Sun, Q.; Xia, Q.; Shi, W.; Ji, H.; Liu, S. Comparison of the Proximate Composition and Nutritional Profile of Byproducts and Edible Parts of Five Species of Shrimp. Foods 2021, 10, 2603. [Google Scholar] [CrossRef] [PubMed]
- Gil-Núñez, J.C.; Martínez-Córdova, L.R.; Servín-Villegas, R.S.; Magallon-Barajas, F.J.; Bórques-López, R.A.; Gonzalez-Galaviz, J.R.; Casillas-Hernández, R. Production of Penaeus vannamei in low salinity, using diets formulated with different protein sources and percentages. Lat. Am. J. Aquat. Res. 2020, 48, 396–405. [Google Scholar] [CrossRef]
- Halim, N.R.; Yusof, H.M.; Sarbon, N.M. Functional and bioactive properties of fish protein hydolysates and peptides: A comprehensive review. Trends Food Sci. Technol. 2016, 51, 24–33. [Google Scholar] [CrossRef]
- Gulzar, S.; Raju, N.; Nagarajarao, R.C.; Benjakul, S. Oil and pigments from shrimp processing by-products: Extraction, composition, bioactivities and its application—A review. Trends Food Sci. Technol. 2020, 100, 307–319. [Google Scholar] [CrossRef]
- Nirmal, N.P.; Santivarangkna, C.; Rajput, M.S.; Benjakul, S. Trends in shrimp processing waste utilization: An industrial prospective. Trends Food Sci. Technol. 2020, 103, 20–35. [Google Scholar] [CrossRef]
- Ringner, M. What is principal component analysis? Nat. Biotechnol. 2008, 26, 303–304. [Google Scholar] [CrossRef] [PubMed]
- Kodinariya, T.M.; Makwana, P.R. Review on determining number of cluster in K-means clustering. Int. J. Adv. Res. Comput. Sci. Manag. Stud. 2013, 1, 90–95. [Google Scholar]







Publisher’s Note: MDPI stays neutral with regard to jurisdictional claims in published maps and institutional affiliations. |
© 2022 by the authors. Licensee MDPI, Basel, Switzerland. This article is an open access article distributed under the terms and conditions of the Creative Commons Attribution (CC BY) license (https://creativecommons.org/licenses/by/4.0/).
Share and Cite
Guevara-Viejó, F.; Valenzuela-Cobos, J.D.; Grijalva-Endara, A.; Vicente-Galindo, P.; Galindo-Villardón, P. Data Mining Techniques: New Method to Identify the Effects of Aquaculture Binder with Sardine on Diets of Juvenile Litopenaeus vannamei. Sustainability 2022, 14, 4203. https://doi.org/10.3390/su14074203
Guevara-Viejó F, Valenzuela-Cobos JD, Grijalva-Endara A, Vicente-Galindo P, Galindo-Villardón P. Data Mining Techniques: New Method to Identify the Effects of Aquaculture Binder with Sardine on Diets of Juvenile Litopenaeus vannamei. Sustainability. 2022; 14(7):4203. https://doi.org/10.3390/su14074203
Chicago/Turabian StyleGuevara-Viejó, Fabricio, Juan Diego Valenzuela-Cobos, Ana Grijalva-Endara, Purificación Vicente-Galindo, and Purificación Galindo-Villardón. 2022. "Data Mining Techniques: New Method to Identify the Effects of Aquaculture Binder with Sardine on Diets of Juvenile Litopenaeus vannamei" Sustainability 14, no. 7: 4203. https://doi.org/10.3390/su14074203
APA StyleGuevara-Viejó, F., Valenzuela-Cobos, J. D., Grijalva-Endara, A., Vicente-Galindo, P., & Galindo-Villardón, P. (2022). Data Mining Techniques: New Method to Identify the Effects of Aquaculture Binder with Sardine on Diets of Juvenile Litopenaeus vannamei. Sustainability, 14(7), 4203. https://doi.org/10.3390/su14074203

