The Independent Impacts of PM2.5 Dropping on the Physical and Chemical Properties of Atmosphere over North China Plain in Summer during 2015–2019
Abstract
:1. Introduction
2. Methodology
2.1. Surface Air Quality and Meteorology Data
2.2. WRF-Chem Model System
2.2.1. Model Configuration
2.2.2. Simulation Scenario Designs
2.2.3. Model Performance
2.3. Zero-Dimensional Chemical Box Model
2.3.1. Model Settings
2.3.2. Simulation Scenarios Design
2.3.3. Model Performance
3. Results and Discussions
3.1. Overview of PM2.5 Pollution in June during 2015–2019
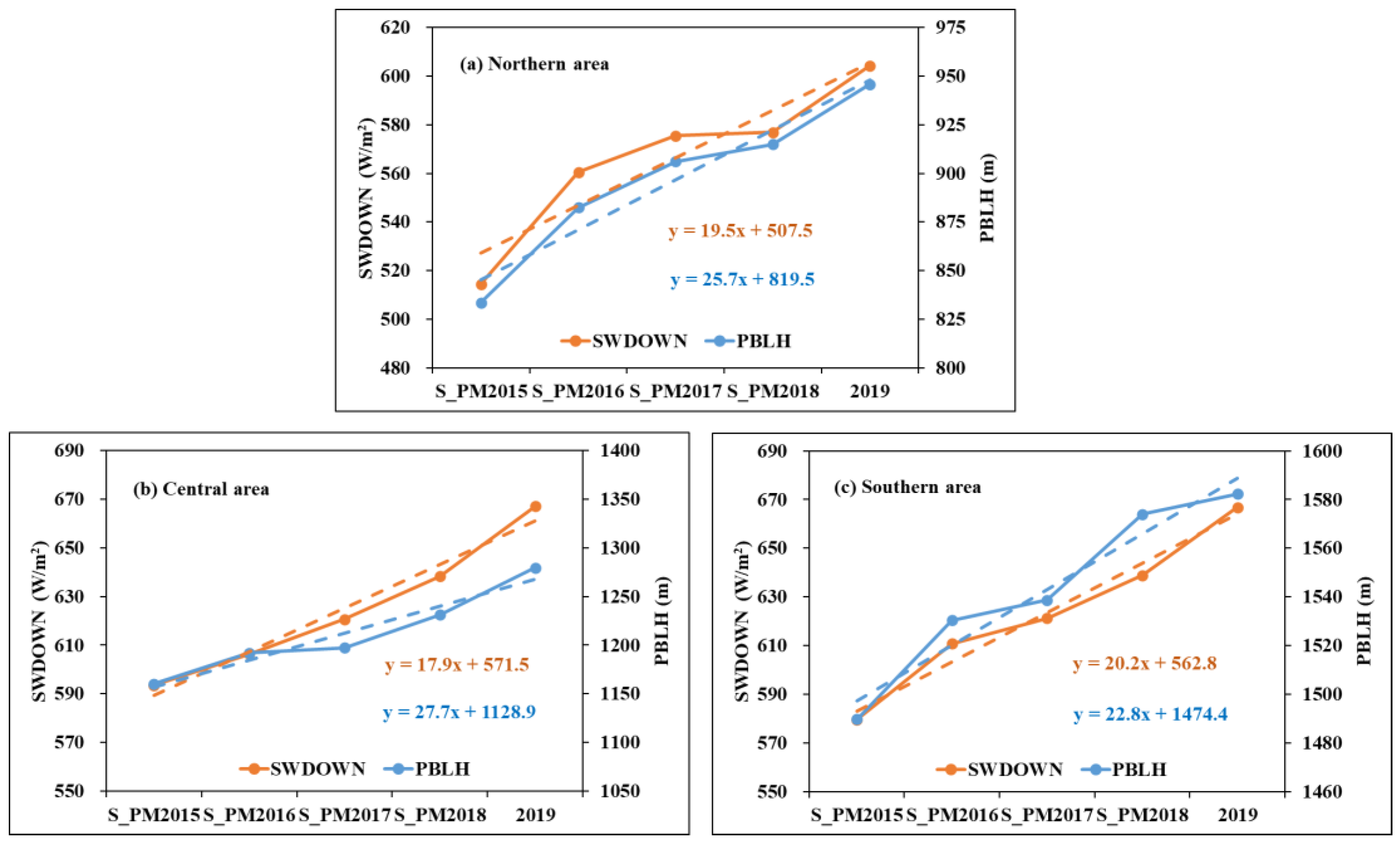
3.2. The Impact of PM2.5 Dropping on Shortwave Radiation and PBLH
3.3. The Impact of PM2.5 Dropping on Primary Pollutants
3.4. The Impact of PM2.5 Dropping on Photolysis Rates
3.5. Impact of PM2.5 Dropping on Atmospheric Oxidation Capacity
3.5.1. Daytime Surface O3
3.5.2. OH and HO2 Radicals
4. Conclusions
Author Contributions
Funding
Data Availability Statement
Acknowledgments
Conflicts of Interest
References
- Zhang, Q.; Zheng, Y.; Tong, D.; Shao, M.; Wang, S.; Zhang, Y.; Xu, X.; Wang, J.; He, H.; Liu, W.; et al. Drivers of improved PM2.5 air quality in China from 2013 to 2017. Proc. Natl. Acad. Sci. USA 2019, 116, 24463–24469. Available online: https://www.pnas.org/cgi/doi/10.1073/pnas.1907956116 (accessed on 16 October 2021). [CrossRef] [Green Version]
- Li, K.; Jacob, D.J.; Liao, H.; Zhu, J.; Shah, V.; Shen, L.; Bates, K.H.; Zhang, Q.; Zhai, S. A two-pollutant strategy for improving ozone and particulate air quality in China. Nat. Geosci. 2019, 12, 906–910. [Google Scholar] [CrossRef]
- Zhai, S.; Jacob, D.J.; Wang, X.; Shen, L.; Li, K.; Zhang, Y.; Gui, K.; Zhao, T.; Liao, H. Fine particulate matter (PM2.5) trends in China, 2013–2018: Separating contributions from anthropogenic emissions and meteorology. Atmos. Chem. Phys. 2019, 19, 11031–11041. [Google Scholar] [CrossRef] [Green Version]
- Hu, B.; Zhao, X.; Liu, H.; Liu, Z.; Song, T.; Wang, Y.; Tang, L.; Xia, X.; Tang, G.; Ji, D.; et al. Quantification of the impact of aerosol on broadband solar radiation in North China. Sci. Rep. 2017, 7, 44851. [Google Scholar] [CrossRef] [PubMed]
- Petäjä, T.; Järvi, L.; Kerminen, V.M.; Ding, A.J.; Sun, J.N.; Nie, W.; Kujansuu, J.; Virkkula, A.; Yang, X.; Fu, C.B.; et al. Enhanced air pollution via aerosol-boundary layer feedback in China. Sci. Rep. 2016, 6, 18998. [Google Scholar] [CrossRef] [Green Version]
- Lv, Z.; Wei, W.; Cheng, S.; Han, X.; Wang, X. Meteorological characteristics within boundary layer and its influence on PM2.5 pollution in six cities of North China based on WRF-Chem. Atmos. Environ. 2020, 228, 117417. [Google Scholar] [CrossRef]
- Zhao, S.; Hu, B.; Liu, H.; Du, C.; Xia, X.; Wang, Y. The influence of aerosols on the NO2 photolysis rate in a suburban site in North China. Sci. Total Environ. 2021, 767, 144788. [Google Scholar] [CrossRef]
- Li, K.; Jacob, D.J.; Liao, H.; Shen, L.; Zhang, Q.; Bates, K.H. Anthropogenic drivers of 2013–2017 trends in summer surface ozone in China. Proc. Natl. Acad. Sci. USA 2019, 116, 422–427. [Google Scholar] [CrossRef] [Green Version]
- Ma, X.; Huang, J.; Zhao, T.; Liu, C.; Zhao, K.; Xing, J.; Xiao, W. Rapid increase in summer surface ozone over the North China Plain during 2013–2019: A side effect of particulate matter reduction control? Atmos. Chem. Phys. 2021, 21, 1–16. [Google Scholar] [CrossRef]
- Shao, M.; Wang, W.; Yuan, B.; Parrish, D.D.; Li, X.; Lu, K.; Wu, L.; Wang, X.; Mo, Z.; Yang, S.; et al. Quantifying the role of PM2.5 dropping in variations of ground-level ozone: Inter-comparison between Beijing and Los Angeles. Sci. Total Environ. 2021, 788, 147712. [Google Scholar] [CrossRef]
- Huang, X.; Huang, J.; Ren, C.; Wang, J.; Wang, H.; Wang, J.; Yu, H.; Chen, J.; Gao, J.; Ding, A. Chemical boundary layer and its impact on air pollution in northern china. Environ. Sci. Technol. Lett. 2020, 7, 826–832. [Google Scholar] [CrossRef]
- Lv, Z.; Wei, W.; Cheng, S.; Han, X.; Wang, X. Mixing layer height estimated from AMDAR and its relationship with PMs and meteorological parameters in two cities in North China during 2014–2017. Atmos. Pollut. Res. 2020, 11, 443–453. [Google Scholar] [CrossRef]
- Miao, Y.; Che, H.; Zhang, X.; Liu, S. Integrated impacts of synoptic forcing and aerosol radiative effect on boundary layer and pollution in the Beijing-Tianjin-Hebei region, China. Atmos. Chem. Phys. 2020, 20, 5899–5909. [Google Scholar] [CrossRef]
- Wang, P.; Qiao, X.; Zhang, H. Modeling PM2.5 and O3 with aerosol feedbacks using WRF/Chem over the Sichuan Basin, southwestern China. Chemosphere 2020, 254, 126735. [Google Scholar] [CrossRef]
- Chen, X.; Kang, S.; Yang, J.; Ji, Z. Investigation of black carbon climate effects in the Arctic in winter and spring. Sci. Total Environ. 2021, 751, 142145. [Google Scholar] [CrossRef]
- Liu, Y.; Wang, T. Worsening urban ozone pollution in China from 2013 to 2017—Part 1: The complex and varying roles of meteorology. Atmos. Chem. Phys. 2020, 20, 6305–6321. [Google Scholar] [CrossRef]
- Shen, H.; Sun, Z.; Chen, Y.; Russell, A.G.; Hu, Y.; Odman, M.T.; Qian, Y.; Archibald, A.T.; Tao, S. Novel method for ozone isopleth construction and diagnosis for the ozone control strategy of chinese cities. Environ. Sci. Technol. 2021, 55, 15625–15636. [Google Scholar] [CrossRef]
- Guan, P.; Zhang, H.; Zhang, Z.; Chen, H.; Bai, W.; Yao, S.; Li, Y. Assessment of Emission Reduction and Meteorological Change in PM2.5 and Transport Flux in Typical Cities Cluster during 2013–2017. Sustainability 2021, 13, 5685. [Google Scholar] [CrossRef]
- Xie, Y.; Shi, J.; Fan, S.; Chen, M.; Dou, Y.; Ji, D. Impact of radiance data assimilation on the prediction of heavy rainfall in RMAPS: A case study. Remote Sens. 2018, 10, 1380. [Google Scholar] [CrossRef] [Green Version]
- Lang, J.; Tian, J.; Zhou, Y.; Li, K.; Chen, D.; Huang, Q.; Xing, X.; Zhang, Y.; Cheng, S. A high temporal-spatial resolution air pollutant emission inventory for agricultural machinery in China. J. Clean. Prod. 2018, 183, 1110–1121. [Google Scholar] [CrossRef]
- Zhou, Y.; Cheng, S.; Chen, D.; Lang, J.; Zhao, B.; Wei, W. A new statistical approach for establishing high-resolution emission inventory of primary gaseous air pollutants. Atmos. Environ. 2014, 94, 392–401. [Google Scholar] [CrossRef]
- Guenther, A.B.; Zimmerman, P.R.; Harley, P.C.; Monson, R.K.; Fall, R. Isoprene and monoterpene emission rate variability: Model evaluations and sensitivity analyses. J. Geophys. Res. Atmos. 1993, 98, 12609–12617. [Google Scholar] [CrossRef] [Green Version]
- Lin, Y.; Farley, R.D.; Orville, H.D. Bulk parameterization of the snow field in a cloud model. J. Clim. Appl. Meteorol. 1983, 22, 1065–1092. [Google Scholar] [CrossRef] [Green Version]
- Mlawer, E.J.; Taubman, S.J.; Brown, P.D.; Iacono, M.J.; Clough, S.A. Radiative transfer for inhomogeneous atmospheres: RRTM, a validated correlated-k model for the longwave. J. Geophys. Res. Atmos. 1997, 102, 16663–16682. [Google Scholar] [CrossRef] [Green Version]
- Chou, M.D.; Suarez, M.J.; Ho, C.H.; Yan, M.; Lee, K.T. Parameterizations for cloud overlapping and shortwave single-scattering properties for use in general circulation and cloud ensemble models. J. Clim. 1998, 11, 202–214. [Google Scholar] [CrossRef]
- Chen, F.; Dudhia, J. Coupling an advanced land surface-hydrology model with the Penn State-NCAR MM5 modeling system. Part I: Model implementation and sensitivity. Mon. Weather. Rev. 2001, 129, 569–585. [Google Scholar] [CrossRef] [Green Version]
- Hong, S.; Noh, Y.; Dudhia, J. A new vertical diffusion package with an explicit treatment of entrainment processes. Mon. Weather. Rev. 2006, 134, 2318–2341. [Google Scholar] [CrossRef] [Green Version]
- Zaveri, R.A.; Peters, L.K. A new lumped structure photochemical mechanism for large-scale applications. J. Geophys. Res. Atmos. 1999, 104, 30387–30415. [Google Scholar] [CrossRef]
- Zaveri, R.A.; Easter, R.C.; Fast, J.D.; Peters, L.K. Model for simulating aerosol interactions and chemistry (MOSAIC). J. Geophys. Res. 2008, 113, D13204. [Google Scholar] [CrossRef]
- Huang, L.; Zhu, Y.; Zhai, H.; Xue, S.; Zhu, T.; Shao, Y.; Liu, Z.; Emery, C.; Yarwood, G.; Wang, Y. Recommendations on benchmarks for numerical air quality model applications in China–Part 1: PM2.5; And chemical species. Atmos. Chem. Phys. 2021, 21, 2725–2743. [Google Scholar] [CrossRef]
- Ministry of Ecological Environment of China (MEE). Guidelines for Selection of Ambient Air Quality Models; Ministry of Ecological Environment: Beijing, China, 2015. [Google Scholar]
- Caicedo, V.; Rappenglueck, B.; Cuchiara, G.; Flynn, J.; Ferrare, R.; Scarino, A.J.; Berkoff, T.; Senff, C.; Langford, A.; Lefer, B. Bay breeze and sea breeze circulation impacts on the planetary boundary layer and air quality from an observed and modeled DISCOVER-AQ texas case study. J. Geophys. Res. Atmos. 2019, 124, 7359–7378. [Google Scholar] [CrossRef]
- Gao, J.; Li, Y.; Zhu, B.; Hu, B.; Wang, L.; Bao, F. What have we missed when studying the impact of aerosols on surface ozone via changing photolysis rates? Atmos. Chem. Phys. 2020, 20, 10831–10844. [Google Scholar] [CrossRef]
- Zhao, Y.; Chen, L.; Li, K.; Han, L.; Zhang, X.; Wu, X.; Gao, X.; Azzi, M.; Cen, K. Atmospheric ozone chemistry and control strategies in Hangzhou, China: Application of a 0-D box model. Atmos. Res. 2020, 246, 105109. [Google Scholar] [CrossRef]
- Jenkin, M.E.; Young, J.C.; Rickard, A.R. The MCM v3.3.1 degradation scheme for isoprene. Atmos. Chem. Phys. 2015, 15, 11433–11459. [Google Scholar] [CrossRef] [Green Version]
- Wei, W.; Wang, Y.; Bai, H.; Wang, X.; Cheng, S.; Wang, L. Insights into atmospheric oxidation capacity and its impact on PM2.5 in megacity Beijing via volatile organic compounds measurements. Atmos. Res. 2021, 258, 105632. [Google Scholar] [CrossRef]
- Wang, Y.; Yang, G.; Wang, L.; Zhao, L.; Ji, S.; Qi, M.; Lu, X.; Liu, Z.; Tan, J.; Liu, Y.; et al. Characteristics and source apportionment of VOCs in a city with complex pollution in china. Aerosol Air Qual. Res. 2020, 20, 2196–2210. [Google Scholar] [CrossRef] [Green Version]
- Du, C.J. Quantitative Study of Aerosol to Actinic Radiation Flux and Atmospheric Oxidation Ability: Taking Beijing and Xianghe in China as Examples. Ph.D. Thesis, Chengdu University of Information Technology, Chengdu, China, 2019. [Google Scholar] [CrossRef]
- Ajayi, O.O.; Ohijeagbon, O.D.; Nwadialo, C.E.; Olasope, O. New model to estimate daily global solar radiation over Nigeria. Sustain. Energy Technol. Assess. 2014, 5, 28–36. [Google Scholar] [CrossRef]
- Zhu, T.; Li, J.; He, L.; Wu, D.; Tong, X.; Mu, Q.; Yu, Q. The improvement and comparison of diffuse radiation models in different climatic zones of China. Atmos. Res. 2021, 254, 105505. [Google Scholar] [CrossRef]
- Hu, B.; Tang, L.; Liu, H.; Zhao, X.; Liu, Z.; Wang, Y.; Wang, L. Trends of photosynthetically active radiation over China from 1961 to 2014. Int. J. Climatol. 2018, 38, 4007–4024. [Google Scholar] [CrossRef]
- Tang, L.Q. Aerosol Optical Properties and Direct Radiative Forcing in Beijing in the Recent Decade. Ph.D. Thesis, Chengdu University of Information Technology, Chengdu, China, 2018. Available online: https://kns.cnki.net/kns8/defaultresult/index (accessed on 16 October 2021).
- Wolfe, G.M.; Kaiser, J.; Hanisco, T.F.; Keutsch, F.N.; De Gouw, J.A.; Gilman, J.B.; Graus, M.; Hatch, C.D.; Holloway, J.; Horowitz, L.W.; et al. Formaldehyde production from isoprene oxidation across NOx regimes. Atmos. Chem. Phys. 2016, 16, 2597–2610. [Google Scholar] [CrossRef] [Green Version]
- Zhang, Q.; Quan, J.; Tie, X.; Li, X.; Liu, Q.; Gao, Y.; Zhao, D. Effects of meteorology and secondary particle formation on visibility during heavy haze events in Beijing, China. Sci. Total Environ. 2015, 502, 578–584. [Google Scholar] [CrossRef] [PubMed]
- Zhang, H.; Cheng, S.; Li, J.; Yao, S.; Wang, X. Investigating the aerosol mass and chemical components characteristics and feedback effects on the meteorological factors in the Beijing-Tianjin-Hebei region, China. Environ. Pollut. 2019, 244, 495–502. [Google Scholar] [CrossRef] [PubMed]
- Wang, X.; Wei, W.; Cheng, S.; Yao, S.; Zhang, H.; Zhang, C. Characteristics of PM2.5 and SNA components and meteorological factors impact on air pollution through 2013–2017 in Beijing, China. Atmos. Pollut. Res. 2019, 10, 1976–1984. [Google Scholar] [CrossRef]
- Gao, M.; Han, Z.; Tao, Z.; Li, J.; Kang, J.; Huang, K.; Dong, X.; Zhuang, B.; Li, S.; Ge, B.; et al. Air quality and climate change, Topic 3 of the Model Inter-Comparison Study for Asia Phase III (MICS-Asia III)—Part 2: Aerosol radiative effects and aerosol feedbacks. Atmos. Chem. Phys. 2020, 20, 1147–1161. [Google Scholar] [CrossRef] [Green Version]
- Elshorbany, Y.F.; Kurtenbach, R.; Wiesen, P.; Lissi, E.; Rubio, M.; Villena, G.; Gramsch, E.; Rickard, A.R.; Pilling, M.J.; Kleffmann, J. Oxidation capacity of the city air of Santiago, Chile. Atmos. Chem. Phys. 2009, 9, 2257–2273. [Google Scholar] [CrossRef] [Green Version]
- Shao, M.; Ren, X.; Wang, H.; Zeng, L.; Zhang, Y.; Tang, X. Quantitative relationship between the generation and elimination of OH and HO2 radicals in the urban atmosphere. Chin. Sci. Bull. 2004, 49, 1716–1721. [Google Scholar] [CrossRef]










| Process | Item | Selection | Reference |
|---|---|---|---|
| Physical process | Microphysics | Purdue Lin | [23] |
| Longwave radiation | RRTM | [24] | |
| Shortwave radiation | Goddard | [25] | |
| Land surface | Noah | [26] | |
| Planetary boundary layer | YSU | [27] | |
| Chemical process | Gas-phase chemistry | CBM-Z | [28] |
| Aerosol module | MOSAIC | [29] |
| Scenarios | Meteorology | Emissions Related to PM2.5 (Primary PM2.5, SO2, and NH3) | Other Emissions (NOx, CO, and VOCs) |
|---|---|---|---|
| 2019 (Base) | June 2019 | 2019 emissions | 2019 emissions |
| S_PM2015 | June 2019 | 2015 emissions | 2019 emissions |
| S_PM2016 | June 2019 | 2016 emissions | 2019 emissions |
| S_PM2017 | June 2019 | 2017 emissions | 2019 emissions |
| S_PM2018 | June 2019 | 2018 emissions | 2019 emissions |
| Cities | T2 | RH2 | ||||
|---|---|---|---|---|---|---|
| R | NMB (%) | NME (%) | R | NMB (%) | NME (%) | |
| ZJK | 0.92 | 6.1 | 12.3 | 0.79 | −14.7 | 25.8 |
| CD | 0.90 | −1.1 | 14.0 | 0.75 | 0.4 | 27.0 |
| QHD | 0.36 | −18.5 | 24.4 | 0.25 | 10.0 | 21.7 |
| BJ | 0.92 | 3.1 | 11.7 | 0.80 | −11.6 | 25.2 |
| TJ | 0.90 | −1.7 | 11.5 | 0.79 | −9.7 | 25.2 |
| TS | 0.92 | −0.4 | 11.1 | 0.79 | −8.8 | 22.2 |
| BD | 0.87 | 10.5 | 16.7 | 0.70 | −29.9 | 37.3 |
| LF | 0.94 | 2.7 | 11.2 | 0.84 | −18.3 | 25.5 |
| CZ | 0.92 | 4.4 | 12.1 | 0.82 | −19.1 | 27.6 |
| SJZ | 0.90 | 4.8 | 11.5 | 0.73 | −25.1 | 33.0 |
| HS | 0.91 | 6.8 | 12.8 | 0.78 | −26.2 | 33.3 |
| XT | 0.89 | 7.3 | 13.2 | 0.75 | −24.2 | 33.3 |
| HD | 0.89 | 10.2 | 15.4 | 0.75 | −32.6 | 36.7 |
| Cities | PM2.5 | NO2 | CO | ||||||
|---|---|---|---|---|---|---|---|---|---|
| R | NMB (%) | NME (%) | R | NMB (%) | NME (%) | R | NMB (%) | NME (%) | |
| ZJK | 0.56 | 16.9 | 41.6 | 0.76 | −6.5 | 21.0 | 0.41 | −24.8 | 37.1 |
| CD | 0.57 | 1.9 | 32.5 | 0.32 | −11.6 | 24.7 | 0.48 | −20.1 | 32.3 |
| QHD | 0.66 | 32.9 | 40.3 | 0.30 | 8.9 | 25.2 | 0.47 | 1.5 | 28.5 |
| BJ | 0.69 | 38.9 | 46.9 | 0.57 | 29.1 | 32.9 | 0.56 | −11.9 | 21.2 |
| TJ | 0.49 | 40.1 | 48.8 | 0.51 | 16.4 | 26.6 | 0.66 | −22.8 | 24.8 |
| TS | 0.59 | 14.7 | 24.5 | 0.47 | −8.7 | 18.1 | 0.59 | −29.5 | 33.3 |
| BD | 0.66 | 16.6 | 34.5 | 0.50 | −9.8 | 26.0 | 0.60 | −21.4 | 28.9 |
| LF | 0.66 | 22.9 | 32.1 | 0.59 | 6.2 | 19.6 | 0.63 | −5.4 | 21.6 |
| CZ | 0.50 | 13.3 | 35.5 | 0.66 | 11.5 | 17.0 | 0.70 | −22.5 | 26.0 |
| SJZ | 0.52 | −1.4 | 26.7 | 0.44 | 21.1 | 28.7 | 0.44 | −17.7 | 24.8 |
| HS | 0.43 | 13.7 | 35.4 | 0.39 | 2.2 | 17.9 | 0.48 | −4.0 | 19.5 |
| XT | 0.46 | 3.3 | 30.4 | 0.43 | −9.8 | 24.0 | 0.43 | −18.6 | 28.6 |
| HD | 0.51 | 5.4 | 27.7 | 0.53 | −6.9 | 23.7 | 0.43 | −16.2 | 32.3 |
Publisher’s Note: MDPI stays neutral with regard to jurisdictional claims in published maps and institutional affiliations. |
© 2022 by the authors. Licensee MDPI, Basel, Switzerland. This article is an open access article distributed under the terms and conditions of the Creative Commons Attribution (CC BY) license (https://creativecommons.org/licenses/by/4.0/).
Share and Cite
Ou, S.; Wei, W.; Cai, B.; Chen, S.; Guan, P.; Cheng, S. The Independent Impacts of PM2.5 Dropping on the Physical and Chemical Properties of Atmosphere over North China Plain in Summer during 2015–2019. Sustainability 2022, 14, 3930. https://doi.org/10.3390/su14073930
Ou S, Wei W, Cai B, Chen S, Guan P, Cheng S. The Independent Impacts of PM2.5 Dropping on the Physical and Chemical Properties of Atmosphere over North China Plain in Summer during 2015–2019. Sustainability. 2022; 14(7):3930. https://doi.org/10.3390/su14073930
Chicago/Turabian StyleOu, Shengju, Wei Wei, Bin Cai, Saisai Chen, Panbo Guan, and Shuiyuan Cheng. 2022. "The Independent Impacts of PM2.5 Dropping on the Physical and Chemical Properties of Atmosphere over North China Plain in Summer during 2015–2019" Sustainability 14, no. 7: 3930. https://doi.org/10.3390/su14073930
APA StyleOu, S., Wei, W., Cai, B., Chen, S., Guan, P., & Cheng, S. (2022). The Independent Impacts of PM2.5 Dropping on the Physical and Chemical Properties of Atmosphere over North China Plain in Summer during 2015–2019. Sustainability, 14(7), 3930. https://doi.org/10.3390/su14073930
