Next Article in Journal
Research on the Input–Output Model of the Rural Agricultural Eco-Economic System Based on Emergy Theory
Next Article in Special Issue
The ESG Reporting of EU Public Companies—Does the Company’s Capitalisation Matter?
Previous Article in Journal
Business Innovation in Orchestra Organizations Supported by Digital Technologies: The Orchestra Mobile Case Study
 
 
Font Type:
Arial Georgia Verdana
Font Size:
Aa Aa Aa
Line Spacing:
Column Width:
Background:
Article

Spatial Dependencies and the Relationship between Subjective Perception and Objective Environmental Risks in Lithuania

by
Aistė Balžekienė
*,
Audronė Telešienė
and
Vaidas Morkevičius
Civil Society and Sustainability Research Group, Faculty of Social Sciences, Arts and Humanities, Kaunas University of Technology, 44249 Kaunas, Lithuania
*
Author to whom correspondence should be addressed.
Sustainability 2022, 14(7), 3716; https://doi.org/10.3390/su14073716
Submission received: 16 February 2022 / Revised: 17 March 2022 / Accepted: 18 March 2022 / Published: 22 March 2022

Abstract

:
The effects of objective environmental indicators on subjective risk perceptions are under-researched and bring new frontiers to environmental risk perception research. The aim of this article is to analyze the spatial distribution of environmental risks in Lithuania, to identify social-psychological factors that determine variances of risk perception, and to contrast perception data with objective environmental data. This article is based on the representative national survey of 2007 respondents conducted from September to October of 2020 in Lithuania, and on the objective indicators of flood risk, air quality, water pollution, and forest fires. Analytical methods used in this article include spatial autocorrelation as well as spatial and linear regressions. Spatial analysis of objective environmental risk indicators reveal that the five biggest cities in Lithuania experience higher levels of environmental risks. Flood risk perceptions are spatially related to objective flood risks, and the relation is not significant for other types of risks. Place of residence, gender, education, and income are significant factors explaining risk perceptions. Place of residence is negatively moderating the effect of objective environmental risks on perceptions, as people in the biggest cities underestimate risks, especially from air pollution.

1. Introduction

The general interest of this article concerns environmental risk perceptions and their determinants. There is an abundance of research explaining the social, psychological, and situational determinants of environmental risk perceptions [1,2]. Müller-Mahn and Everts [3] argue that there is a lack of attention to the space dimension in risk theory. The space dimension might be brought to the explanatory models of risk perceptions through linking risk perceptions to objective characteristics of the locality, or through analyzing the proximity of the threat to the respondent.
The objective problems hypothesis points to the importance of environmental objective conditions on individual-level environmental concern [4]. The objective problems hypothesis argues that more severe objective conditions of the immediate surrounding environment lead to higher environmental concern and risk perception. The relation between objective conditions and subjective perceptions is not straightforward. Duinen et al. [5] have proved that the biophysical characteristics of an area only matter if the inhabitants are exposed to the risk. Shao, Gardezi, and Xian [6] have also shown that risk exposure and past experiences of hazards help to shape environmental risk perceptions.
Proximity to the threat is another mediating/moderating factor that is important in explaining the relation of objective problems to subjective perceptions. Studies have proved that risk perceptions of various environmental threats, such as floods, air and water pollution, biological hazards, and others, depend on the proximity of respondents to the hazards (e.g., studies of Sherpa et al. [7], Quazim et al. [8], among many others). While exploring the ways that locally observed environmental threats (objective data) are related to the subjective perceptions of those threats, social-psychological theories have introduced the concept of place attachment. The argument is that the objective contexts of the locality are subjectively important only in relation to the residents’ perceptions of the locality. The ones with highly expressed place attachment tend to identify themselves with the locality and therefore care more about the risks associated with it. At the same time, place attachment serves as a coping strategy in response to natural hazard risk. High place attachment serves risk normalization and, as proved by Swapan and Sadeque [9], can be dysfunctional by reducing the perceived risk of hazard. The explanatory models cannot be complete without the inclusion of classical socio-demographic factors of risk perceptions, such as gender, age, education, income, and place of residence [10,11].
In line with ongoing academic discussions, we raise several questions:
  • RQ1: What is the spatial distribution of environmental risks in Lithuania?
  • RQ2: What is the relationship between objective environmental data of the locality and subjective risk perception?
  • RQ3: What are the social–psychological factors and potential moderating variables that explain variances of environmental risk perception?
The aim of this article is to analyze the spatial distribution of environmental risks in Lithuania, to identify social-psychological factors that determine variances of risk perception across different municipalities, and to contrast perception data with objective data of environmental indicators. This paper is based on statistical and geospatial analysis of (a) objective data, including air quality data, forest fire data for Lithuania, national water pollution, and flood risk data; and (b) data from representative survey data conducted in Lithuania in 2020 (N = 2007). This paper first explores the spatial distribution of environmental risks based on objective data, then it analyzes survey data, which is plotted onto Lithuania’s map to show the spatial distribution of risk perception. It then discusses the relationship of the subjective data to the objective environmental data and test factors of environmental risk perception. The hypotheses include:
  • Hypothesis 1 (H1) (RQ2): There is a spatial relation between objective environmental risks and subjective risk perception of environmental risks.
  • Hypothesis 1 (H1) (RQ3): Socio-demographic indicators (age, gender, income, place of residence) and place attachment have significant direct effects on environmental risk perceptions.
  • Hypothesis 1 (H1) (RQ3): Place of residence, education, and place attachment have significant moderating effects on the relationship between objective risk and subjective risk perception.
The results presented in the article help explain how large the gap is between objective problems and subjective perceptions as well as the role of place of residence, place attachment, and socio-demographic and social-psychological factors in determining the differences in environmental risk perceptions. This study further contributes to sociological understanding of the spatial dimension in risk perception research and extends the empirical knowledge on spatial distribution of environmental hazards.

2. Materials and Methods

The conceptual methodological framework of this study is based on a holistic approach to risk. Risks do not exist in isolation and should not be seen in isolation from each other. They often overlap and affect each other, so it is necessary to look at the interconnections of the risks in different areas in order to explain them. According to King et al. [12], a holistic approach also requires first identifying risks, quantifying them, and only then analyzing and interpreting them. Based on this approach, we assess different risks in relative terms (for the lowest administrative units of Lithuania, i.e., elderships) and aggregate the estimates of indicators at the level of the risk area.
The World Economic Forum applies a holistic risk classification system [13]. The global research methodology developed by this Forum is based on the identification of five main risk areas: economic, environmental, geopolitical, social, and technological. In this article, we only focus on environmental risks. Correspondence to the World Economic Forum classification was sought for objective risk indicators in Lithuanian spatial analysis. For comparative reasons, the same set of environmental risks was used for both the objective risks data collection and subjective risk perception research.
Data used in this article were collected using triangulation of data sources: geospatial objective environmental data and population survey.

2.1. Objective Environmental Risk Data

Objective environmental data included four sets of data on air pollution, water pollution, forest fire risk, and flood risk. A geodatabase was developed with 523 Lithuanian elderships as features. Data were accessed through open-access data repositories or via formal requests from data-owning institutions.
The air pollution index includes annual average values for NO2, PM10, and PM25 and follows the calculation rules as described by the Year Average Common Air Quality Index (YACAQI) version of the Common Air Quality Index (CAQI). Interpolated air quality data for 2017 were used for the study [14]. The sub-indexes for NO2, PM10, and PM25 were calculated. The value ranged from zero to one. Then, an average was calculated to represent the value of the air pollution index. Higher values represented worse air quality conditions, i.e., bigger departures from European air quality standards.
The water pollution index includes national data on the ecological status of artificial and natural surface waters in Lithuania, including lakes, rivers, and artificial or heavily modified surface water bodies (e.g., reservoirs and canals). The dataset [15] is based on the results of national surface water status monitoring carried out in 2015 by the Environmental Protection Agency of Lithuania. The data for different surface water bodies were combined into a single water pollution index, with values defined as ranging from 1 = very good, 2 = good, 3 = average, 4 = bad, and 5 = very bad. The surface water data were spatially joined (join operation: Join one to many, with 2 km buffer zone) to the Lithuanian elderships feature class.
The forest fire risk index includes national data on burnt areas during the period of 14 September 2015–14 September 2020, available from the EFFIS/WILDFIRE Database [16]. Burnt areas indicate the damage caused by forest fires and are estimated using the EFFIS Rapid Damage Assessment module [17]. The forest fire data were spatially joined (join operation: Join one to many, with 2 km buffer zone) to the Lithuanian elderships feature class, based on the ‘brightness’ attribute and then classified into five value groups so as to standardize the use of this index with other indices.
The flood risk index is based on national flood hazard and risk maps, which cover the main causes of floods and identify areas that could be flooded under a high-probability flood scenario, which can be defined by the following: a 10% flood probability where, according to hydrological calculations, floods with the same characteristics may recur once every ten years; floods in coastal areas with a 10% probability of rising water levels in the Baltic Sea and the Curonian Lagoon; and floods caused by ice agglomerations [18]. Line-type geospatial flood data were spatially joined to the Lithuanian elderships feature class with a 2 km buffer zone.
The air pollution index, water pollution index, forest fire risk index, and flood risk index values were discretized, i.e., observations were grouped into five classes following the natural breaks (Jenks) grouping method. The number of classes was chosen based on the interpretability of data and suggestions made by Audric, De Bellefon, and Durieux [19]. The values are defined as 1 = very little or no risk, 2 = low risk, 3 = medium risk, 4 = high risk, and 5 = very high risk.
The Environmental risk index values were calculated per every eldership as a mean of the four input indices: the air pollution index, water pollution index, forest fire risk index, and flood risk index. The Environmental risk index values represent five risk classes: very little or no risk, low risk, medium risk, high risk, and very high risk.

2.2. Population Survey Data

Subjective risk perception data were collected by means of the representative public opinion survey in Lithuania, conducted from August to September of 2020 with a realized total sample of 2007 respondents. Sampling and the field work were conducted by a research agency that follows ESOMAR research ethics standards. Geolocations of respondents were recorded, which allowed to later upload respondents’ locations on the map for further geospatial analysis. Multistage stratified random sampling with geographic stratification according to the size of living place and administrative unit was employed for the selection of respondents. The sample included respondents from all 60 municipalities in Lithuania, and at least 10 respondents were sampled from each of the municipalities. The final sample structure is representative of the Lithuanian population, and no weights were applied. The survey was conducted through face-to-face interviews, and answers were recorded directly to interviewers’ tablets. The limitations of the population survey include the impact of COVID-19 pandemic [20]. This impact might include changes in survey design, fieldwork, and changes in risk perception among the population. The survey was conducted during an ongoing global COVID-19 pandemic, with rising cases and widely discussed expectations for yet another wave at the time of the fieldwork in Lithuania. No lockdowns or mobility restrictions were imposed on the Lithuanian population at the time of the survey, and therefore there were no considerable changes to survey design, field activities, or data processing.
Table 1 presents descriptive statistics of the sample structure. The share of females is a bit higher in the sample, but it corresponds to the Lithuanian population within the confidence interval. There was a significant share of no answers or refusals to indicate the income of household members. Thus, the separate category of those respondents was used in further analysis.
The focus of this paper is environmental risk perception and its spatial and socio-demographic determination. Part of the questionnaire is used in this paper, as the whole data set is a part of a bigger project (a link to the data set is provided under the Data Availability Statement).

2.3. The Structure of Variables for Analytical Model

The dependent variable of the analytical model—the environmental risk perception index—was constructed by taking the average of non-missing values of the four items, which were included into a battery of evaluative objects for the question. They asked respondents: “What threat do these objects/problems pose to you and your family in the location where you and your family live and/or work in Lithuania? Rate each problem on a scale from 1 (no threat at all) to 7 (very high threat)”: (1) floods, (2) air pollution, (3) sea, river, lake or pond water pollution, and (4) forest fires. The internal consistency of the index was measured with Cronbach’s alpha, which had an appropriate value for the four items’ scale (0.810, with 95% confidence interval: 0.796–0.824). Our dependent variable focused on the individual risk perception of environmental threats at the respondent’s living place because we aimed to spatially correlate the perception to local environmental conditions. Therefore, we did not include the environmental risk perception related to country or global-level concerns.
Independent variables included:
  • Place attachment variables (wording: “Indicate, how close do you feel to…/…the place you live/…your municipality”). Originally, values ranged from 1 (very close) to 4 (not close at all) in the questionnaire. The values were re-coded to indicate that higher values mean higher place attachment.
  • Socio-demographic variables included gender, age (intervals), education (dichotomized into “university” and “lower education”), place of residence (dichotomized into “rural areas and towns” and “five biggest cities”), and household income per person (recoded into three categories: missing/≤600 eur/>600 eur). “Missing” was included as a separate category for the income variable because of the high share of these answers.
  • Objective indicators of environmental risks. The environmental risk index was used as an independent variable, calculated from official data sources (as described in Section 2.1). The values from the elderships were assigned to the respondents according to their living place.
The structure of the analytical model and the working codes of variables (further used in the analysis) are presented in Figure 1.

2.4. Data Analysis Methods

Visualization and analysis were conducted using ArcGIS Pro, R, and SPSS softwares.
ArcGIS Pro was used for mapping and analyzing geospatial data of environmental risks and risk perception. Spatial autocorrelation (Global Moran’s I) and Cluster and Outlier Analysis (Anselin Local Moran’s I) were applied to analyze the spatial distribution of objective environmental data. Reporting also included descriptive statistics such as count, mean, and standard variation. The spatial distribution analysis allowed answering RQ1.
Spatial distribution of environmental risk perception was analyzed using the Hot Spot Analysis (Getis-Ord Gi*) tool. This analysis allowed the identification of spatial clusters of low and high risk perception.
For testing H1 about the spatial dependencies of environmental risk perception and objective risk indicators, ordinary least square analysis was conducted in ArcGis using a spatial regression tool. This contributed to RQ1 analysis. In order to answer RQ2 and RQ3, and to test hypotheses H2 and H3, linear regression analysis with interactions among the independent variables was employed. Regression analysis was implemented with the glm() function available in the R software environment for statistical computing and graphics (R Core Team, 2021). In the results section, we present the marginal effects (average predicted values with 95% confidence intervals) of different factors on environmental risk perceptions, in order to better convey the nature of complex relationships. Marginal effects were calculated with the Effect() function from the package effects [21,22], which is also available in the R software environment for statistical computing and graphics [23].

3. Results

3.1. Spatial Distribution of Environmental Risks in Lithuania

This subsection provides the results of descriptive analysis of the environmental risks index value spatial distribution across Lithuania. Elderships (n = 523) are the spatial units of this analysis.
The environmental risk index consists of four components: the air pollution index, water pollution index, forest fire index, and flood risk data. The values represent five risk classes: ≤1.5 = very little or no risk; ≤2 = low risk; ≤2.5 = medium risk; ≤3 = high risk; ≤4 = very high risk. No features had a value >4. The spatial distribution of the environmental risk index is presented in Figure 2.
Statistics have been calculated for the distribution of the environmental risks index by eldership in Lithuania. The mean is 1.99 with a standard deviation of 0.54 (variance 0.29). A total of 134 elderships falls within the first Environmental risk class (very little or no risk); 190 elderships fall within the second class (low risk); 136 elderships fall within the third class (medium risk); 52 fall within the fourth class (high risk); and 11 fall within the fifth class (very high risk). Most elderships fall within the lower environmental risk classes, with values ranging from medium to very little or no risk, and none of the elderships has a value of 5 (very high risk). The environmental risk index for the five biggest cities in Lithuania—Vilnius, Kaunas, Klaipėda, Šiauliai, and Panevėžys—is higher than the national index. It has a mean of 2.5 with a standard deviation of 0.306 (variance 0.094). The five biggest cities fall within the low to moderate risk classes.
The next step is to analyze if the environmental risks are distributed randomly among Lithuanian elderships or if they exhibit some kind of dispersed or clustered pattern. Results show that the environmental risks are not distributed randomly across Lithuanian Elderships. Spatial autocorrelation (Global Moran’s I) shows that there is a systematic spatial variation in objective environmental risks with a tendency toward clustering (I = 0.276743; p = 0.000). This means that elderships that are close together tend to have similar environmental risk index values. Cluster and Outlier Analysis (Anselin Local Moran’s I; with 95% confidence level) further show that concentrations of high values are in south-western, mid-western, central, and north-central Lithuanian elderships (count of 54 elderships), and concentrations of low values are in north-eastern, north-western areas with several elderships in the central area (count of 65 elderships). There are 22 elderships with an unexpectedly high environmental risk index when the surrounding elderships have low values (the high-low spatial outliers), and there are 10 elderships with anomalous low index values, surrounded by high index values’ elderships (the low-high spatial outliers). The outlier elderships are scattered across Lithuania with no geographical pattern. Neither clusters nor outliers include the five biggest cities of Lithuania.

3.2. Public Perception of Environmental Risks and Spatial Dependency from Objective Indicators

This subsection discusses the differences in public perception of environmental risks and provides the results of spatial analysis of the relation between objective and subjective dimensions of environmental risks.
There are significant differences in the perceptions of all environmental risks (paired t-test, sign. < 0.01) (see Table 2). The risks from water pollution are perceived as the highest (M = 4.03) as compared to the perceptions of air pollution (M = 3.89), forest fires (M = 3.24), and floods (M = 1.92). It should be noted that the mode for flood risk is “1”, meaning no risk, and was selected by 66.2% of respondents. Additionally, the risk of floods is evaluated as the lowest for all the risks (including social, economic, technological, and geopolitical) that were evaluated by respondents.
RQ2 of this article aims to examine whether environmental risk perceptions are related to the objective conditions of an individual’s living place. To test hypothesis H1 (which is related to RQ2), spatial regressions using the ordinary least square method were conducted with four types of environmental risk perceptions (flood, air pollution, water pollution and forest fires).
The only significant spatial dependency was found between flood risk perception and objective flood risk (see Table 3), although the relation is quite weak. The relation is positive, meaning that higher risk perceptions of floods are characteristic to the individuals from areas with higher flood risk. Other types of environmental risk perceptions do not reveal patterns of spatial dependency.
In order to better understand the spatial distribution of flood risk perceptions across Lithuania, optimized hot spot analysis (using Getis-Ord Gi*) for flood risk perception was conducted (see Figure 3). Hot spot analysis is based on spatial autocorrelation and allows to assess if high or low values cluster spatially.
As seen from the visualization of the spatial distribution of flood risk perception, high values cluster around the shores of the rivers and in the Baltic sea coastal zone, and for the biggest cities, high risk perception clusters appear in Klaipėda and Vilnius. Cluster of low risk perception is characteristic to Panevėžys, even if it is on the river. Interestingly, there is no significant cluster of high flood risk perception in Kaunas, which is located downstream from the highest hydropower station in Kaunas, on the largest Lithuanian river, Nemunas.

3.3. Explanations of Environmental Risk Perceptions

This subsection aims at revealing the factor structure behind environmental risk perceptions. Table 4 presents the results of linear regression with direct and moderating effects.
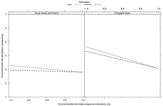
Results of the linear regression show that the analyzed explanatory factors account for a very little share (adj. R2 = 0.06 or 6%, F = 10.271, p < 0.01) of the variance of environmental risk perceptions. However, we established some statistically significant relations. We hypothesized (H1) that there is a relation between objective environmental risks and subjective risk perceptions of environmental threats. Indeed, we found that there exists a negative relationship between subjective risk perceptions and objective indicators of environmental risks. In addition, moderation analysis of objective indicators of environmental risks with place of residence revealed that this relationship only operates in the five biggest cities of Lithuania. Moreover, we found that environmental risk perceptions are on average lower among the university educated population (see Figure 4). However, this factor is not moderating the relationship between subjective risk perceptions and objective indicators of environmental risks.
Furthermore, we did not find any statistically significant relationship between environmental risk perceptions and place attachment. The two variables used in our analysis are neither acting as independent factors nor moderating the relationship between subjective risk perceptions and objective indicators of environmental risks. Thus, we conclude that feelings of attachment, neither to a more immediate local area nor to a more distant municipality, have an effect on perceptions of environmental risks.
Finally, we were able to establish that socio-demographic factors of gender and income are related to environmental risk perceptions. Women seem to be more worried about environmental risks on average than men. In addition, people who refuse to report on their income tend to evaluate environmental risks as higher compared to people with relatively small incomes (household income per member ≤600 EUR). On the other hand, age is unrelated to environmental risk perceptions.
Figure 5 schematically presents the direct and moderating effects of environmental risk perception determinants, as was hypothesized in the introductory section.
Overall, we found that the relationship between environmental risk perceptions and place-based objective environmental risks is complex. It is negative and moderated by the place of residence of respondents; it is much stronger in the five biggest cities of Lithuania than elsewhere. On the other hand, this relationship is not moderated by education or place attachments of the respondents. However, on average, environmental risk perceptions are lower among university-educated people. Finally, environmental risk perceptions are directly related to respondents’ gender and income.

4. Discussion

Environmental conditions of a location are important for quality of life and public health, and they may determine the choice of a living place. Individual experiences with environmental threats might have a quite complex and ambiguous relation to environmental risk perceptions. As discussed by Breakwell [24] (pp. 64–67), on the one hand, people with experiences from hazards (e.g., floods) have higher risk perceptions, but on the other hand, experiences with risk may lead to the desensitization to the threats, and therefore lower risk perceptions. Individuals may not necessarily have a direct experience or perceived exposure to environmental risks in their living place. Thus, environmental conditions are not necessarily reflected in public attitudes, and the subjective-objective risk gap may lead to inadequate risk mitigation and adaptation behaviors.
In this study, we looked at how environmental risk reality is reflected in an individual’s risk perceptions according to their living place and how socio-demographic factors and place-related factors influence or moderate these risk perceptions.
Our hypotheses were only partially confirmed.
H1 investigated spatial relations between objective and subjective dimensions of environmental risks. The relation was statistically significant only in the case of flood risks. Among all the socio-demographic factors that were investigated in H2, gender, place of residence, education, and income were proved to be significant determinants of environmental risk perception, though the effects of education and income were very weak. H3 analyzed moderating factors of the relationship between objective risk and subjective risk perception. From the moderating variables that were hypothesized to have an effect, only place of residence appeared to be a significant moderator.
Objective environmental conditions were not necessarily reflected in public perceptions. Only flood risk perception was spatially correlated with objective risks. Presumably, the public is more aware of empirically observable risks, such as floods. Moreover, flood risks are more easily perceived within specific spatial borders, as compared to air or water pollution.
The above results have significant international relevance, as they identify the gap between objective problems and subjective perceptions of environmental risks, especially those related to air pollution, water pollution, and forest fires. Our findings are in line with results from other studies conducted in some European countries (e.g., the Netherlands [5], Ireland [25], European coastal countries [26]) that highlight the factors hindering communities’ and households’ resilience to environmental risks and reveal knowledge gaps in environmental risk perceptions. A study by Brody et al. [27] also found that that there is no relation between air pollution perceptions and spatially measurable objective air pollution in metropolitan areas. There is a need for further research on the objective problems–subjective risk perceptions gap, especially with regional focus and local case studies.
The environmental risk reality in Lithuania is heterogeneous. There are spatial clusters of high risk and low risk areas, with the highest environmental risks prevalent in the big cities. People from big cities are aware of higher risks as compared to towns and rural areas (the risk perception is significantly higher), but their risk assessments are still lower compared to the real environmental situation in the cities (as indicated in the negative interaction effect between an objective environmental situation and place of residence towards risk perception). This corresponds well with the data from Eurostat [28] indicating that 1 in 5 people living in cities self-reported environmental problems, compared to 1 in 10 of those from rural areas.
For deeper understanding of the underestimation of objective environmental risks in the biggest cities, we compared subjective perceptions with objective indicators in cities, rural areas, and towns (Figure 6).
In almost all of the biggest cities, environmental risks are underestimated (except Šiauliai and Klaipėda). In rural areas and towns, the difference is smaller. When comparing data for separate types of environmental risks, the biggest difference is in the estimation of air pollution risks. Eurostat’s data show [28] that the exposure of urban populations to air pollution is higher than the recommendation of the European Union.
The underestimation of environmental risks in the biggest cities can be explained by the idea of risk normalization. Risk normalization relates to the situations in which individuals from high-risk areas develop strategies to cope with high risks and are minimizing their risk perceptions [29,30]. Lima [29] suggests that there is a “habituation effect” with the high risks, as people develop lower estimations of risk as a psychological coping strategy. This presumably is especially relevant in the case of air pollution, in which the differences between objective situations in the biggest cities and subjective perceptions is the highest, as compared to other types of risks.
Some studies found that place attachment can create a “spatial optimistic bias” in environmental risk perceptions [31], which occurs when people tend to underestimate local risks as a part of their coping strategy. Our study did not confirm the idea of the role of place attachment in the attenuation of risk, related to the living place. Place attachment (both to the local living place and the municipality) appeared to be an insignificant factor for risk perception. In the systemic review of the studies that analyze the role of place attachment on environmental risk perception [31], studies were found that did not confirm significant relations, for example, in perceptions of climate change. This result was interpreted as a deficiency in climate messaging and can be also applied in our context, in which there is presumably a lack of information on specific environmental risks.
Few limitations of this study can be identified. The index of environmental risk was constructed from four items (flood, air pollution, water pollution, and forest fires) that had spatial measurability. Other types of environmental hazards (e.g., storms or droughts) can be relevant for public perceptions, which can have a different structure of underlying determining factors. Another aspect is related to the risk perception variable. We used the variable of perceived risk to individuals and their families, and therefore the explanatory model of our study is not fully applicable to the general perception of environmental risks.
The COVID-19 situation may have had an impact on the ways that the respondents have been assessing and ranking the various provided risks. Respondents may have shown an optimistic bias, the underestimation of one’s risk of experiencing harm from COVID-19 [32], which had been projected to decrease over time as the pandemic continued. However, the attention of the population to health risks may have increased, overshadowing other types of risks and resulting in lower risk perceptions ascribed to environmental risks. This has already been documented by expert risk assessment surveys, e.g., the Global Risks Report 2021 [33].
Further directions of research into spatial variability of risk perception may include experiential factors, which are related to specific living places, to analyze if experiences moderate the effect of objective environmental risks on risk perceptions. Additional factors, such as perceived social class, can be added to the explanatory model of risk perception, as it is presumably related to structural vulnerabilities. Closer attention in future research can be paid to the perceptions of environmental risks in cities and to the closure of the gap between objective problems and subjective perceptions of urban environmental threats.

5. Conclusions

Environmental risk in Lithuanian elderships, measured as a composite index including air pollution, water pollution, forest fires, and flood risks, is generally evaluated as very little, low, or medium. The five biggest cities in Lithuania experience higher levels of environmental risks, compared to national averages. These cities experience low to moderate environmental risk.
Flood risk perception is spatially related to the objective indicators of flood risk, however the perceptions of other types of environmental risks (water pollution, air pollution, and forest fires) are not significantly related to the objective conditions of respondents’ living place.
Women and people from the biggest cities perceive environmental risks as higher. Place of residence in interaction with objective environmental risk has a negative effect on risk perceptions. People in the biggest cities tend to underestimate environmental risks in their living place, especially those of air pollution.

Author Contributions

Conceptualization, A.B. and A.T.; methodology, A.B. and A.T.; formal analysis, A.B., A.T. and V.M.; spatial visualization, A.B. and A.T.; data analysis, A.B., A.T. and V.M.; regression, V.M.; writing—original draft preparation, A.B., A.T. and V.M.; writing—review and editing, A.B. and A.T.; supervision, A.B.; funding acquisition, A.B. and A.T. All authors have read and agreed to the published version of the manuscript.

Funding

This research was funded by a grant from the Research Council of Lithuania (No. S-MIP-19-28) “Mapping of Risk Perception in Lithuania: Spatial and Socio-psychological Dimensions (Risk-Space)”.

Institutional Review Board Statement

Not applicable.

Informed Consent Statement

Informed consent was obtained from all subjects involved in the study by the public opinion research agency that carried out the survey.

Data Availability Statement

The data presented in this study are openly available in the Dataverse repository of the Lithuanian Data Archive for HSS: https://hdl.handle.net/21.12137/Q0YILI (accessed on 10 March 2022).

Conflicts of Interest

The authors declare no conflict of interest. The funders had no role in the design of the study; in the collection, analyses, or interpretation of data; in the writing of the manuscript; or in the decision to publish the results.

References

  1. Sjöberg, L. Factors in Risk Perception. Risk Anal. 2000, 20, 1–12. [Google Scholar] [CrossRef] [PubMed]
  2. Keller, C.; Bostrom, A.; Kuttschreuter, M.; Savadori, L.; Spence, A.; White, M. Bringing Appraisal Theory to Environmental Risk Perception: A Review of Conceptual Approaches of the Past 40 Years and Suggestions for Future Research. J. Risk Res. 2012, 15, 237–256. [Google Scholar] [CrossRef]
  3. The Spatial Dimension of Risk: How Geography Shapes the Emergence of Riskscapes. Available online: https://www.routledge.com/The-Spatial-Dimension-of-Risk-How-Geography-Shapes-the-Emergence-of-Riskscapes/Muller-Mahn/p/book/9781138900943 (accessed on 4 February 2022).
  4. Marquart-Pyatt, S.T. Contextual Influences on Environmental Concerns Cross-Nationally: A Multilevel Investigation. Soc. Sci. Res. 2012, 41, 1085–1099. [Google Scholar] [CrossRef] [PubMed]
  5. van Duinen, R.; Filatova, T.; Geurts, P.; van der Veen, A. Empirical Analysis of Farmers’ Drought Risk Perception: Objective Factors, Personal Circumstances, and Social Influence. Risk Anal. 2015, 35, 741–755. [Google Scholar] [CrossRef] [PubMed]
  6. Shao, W.; Gardezi, M.; Xian, S. Examining the Effects of Objective Hurricane Risks and Community Resilience on Risk Perceptions of Hurricanes at the County Level in the U.S. Gulf Coast: An Innovative Approach. Ann. Am. Assoc. Geogr. 2018, 108, 1389–1405. [Google Scholar] [CrossRef] [Green Version]
  7. Sherpa, S.F.; Shrestha, M.; Eakin, H.; Boone, C.G. Cryospheric Hazards and Risk Perceptions in the Sagarmatha (Mt. Everest) National Park and Buffer Zone, Nepal. Nat. Hazards 2019, 96, 607–626. [Google Scholar] [CrossRef]
  8. Qasim, S.; Nawaz Khan, A.; Prasad Shrestha, R.; Qasim, M. Risk Perception of the People in the Flood Prone Khyber Pukhthunkhwa Province of Pakistan. Int. J. Disaster Risk Reduct. 2015, 14, 373–378. [Google Scholar] [CrossRef]
  9. Swapan, M.S.H.; Sadeque, S. Place Attachment in Natural Hazard-Prone Areas and Decision to Relocate: Research Review and Agenda for Developing Countries. Int. J. Disaster Risk Reduct. 2021, 52, 101937. [Google Scholar] [CrossRef]
  10. Gustafson, P.E. Gender Differences in Risk Perception: Theoretical and Methodological Perspectives. Risk Anal. 1998, 18, 805–811. [Google Scholar] [CrossRef] [PubMed]
  11. Lee, T.M.; Markowitz, E.M.; Howe, P.D.; Ko, C.-Y.; Leiserowitz, A.A. Predictors of Public Climate Change Awareness and Risk Perception around the World. Nat. Clim Chang. 2015, 5, 1014–1020. [Google Scholar] [CrossRef]
  12. King, D.; Schrag, D.; Dadi, Z.; Ye, Q.; Ghosh, A. Climate Change: A Risk Assessment; Hynard, J., Rodger, T., Eds.; Centre for Science and Policy: Cambridge, UK, 2015. [Google Scholar]
  13. The Global Risks Report 2020. Available online: https://www.weforum.org/reports/the-global-risks-report-2020/ (accessed on 4 February 2022).
  14. Interpolated Air Quality Data—European Environment Agency. Available online: https://www.eea.europa.eu/data-and-maps/data/interpolated-air-quality-data-2 (accessed on 19 September 2020).
  15. Aplinkos Apsaugos Agentūra Potvynių grėsmės ir rizikos žemėlapiai. Available online: https://aaa.lrv.lt/lt/veiklos-sritys/vanduo/upes-ezerai-ir-tvenkiniai/potvyniu-rizikos-valdymas (accessed on 30 June 2020).
  16. EFFIS-Data and Services. Available online: https://effis.jrc.ec.europa.eu/applications/data-and-services (accessed on 17 September 2020).
  17. European Commission. Joint Research Centre. Advance EFFIS Report on Forest Fires in Europe, Middle East and North Africa 2019; Publications Office: Luxembourg, 2020. [Google Scholar]
  18. AAA-Upių, Ežerų Ir Tvenkinių Ekologinė Būklė. Available online: https://vanduo.old.gamta.lt/cms/index?rubricId=c95d8581-8eb5-4bab-a976-a083c833e17e (accessed on 2 September 2020).
  19. Handbook of Spatial Analysis|Insee. Available online: https://www.insee.fr/en/information/3635545 (accessed on 4 February 2022).
  20. Gummer, T.; Schmiedeberg, C.; Bujard, M.; Christmann, P.; Hank, K.; Kunz, T.; Lück, D.; Neyer, F.J. The Impact of COVID-19 on Fieldwork Efforts and Planning in Pairfam and FReDA-GGS. Surv. Res. Methods 2020, 223–227. [Google Scholar] [CrossRef]
  21. Fox, J. Effect Displays in R for Generalised Linear Models. J. Stat. Softw. 2003, 8, 1–27. [Google Scholar] [CrossRef] [Green Version]
  22. Fox, J.; Weisberg, S. Visualizing Fit and Lack of Fit in Complex Regression Models with Predictor Effect Plots and Partial Residuals. J. Stat. Softw. 2018, 87, 1–27. [Google Scholar] [CrossRef]
  23. R: The R Project for Statistical Computing. Available online: https://www.r-project.org/ (accessed on 4 February 2022).
  24. Breakwell, G.M. The Psychology of Risk, 2nd ed.; Cambridge University Press: Cambridge, UK, 2014; ISBN 978-1-107-01701-6. [Google Scholar]
  25. O’Neill, E.; Brennan, M.; Brereton, F.; Shahumyan, H. Exploring a Spatial Statistical Approach to Quantify Flood Risk Perception Using Cognitive Maps. Nat. Hazards 2015, 76, 1573–1601. [Google Scholar] [CrossRef]
  26. Vanderlinden, J.-P.; Baztan, J.; Touili, N.; Kane, I.O.; Rulleau, B.; Simal, P.D.; Pietrantoni, L.; Prati, G.; Zagonari, F. Coastal Flooding, Uncertainty and Climate Change: Science as a Solution to (Mis) Perceptions? A Qualitative Enquiry in Three Coastal European Settings. J. Coast. Res. 2017, 77, 127–133. [Google Scholar] [CrossRef]
  27. Brody, S.D.; Peck, B.M.; Highfield, W.E. Examining Localized Patterns of Air Quality Perception in Texas: A Spatial and Statistical Analysis. Risk Anal. 2004, 24, 1561–1574. [Google Scholar] [CrossRef] [PubMed]
  28. Quality of Life Indicators-Natural and Living Environment. Available online: https://ec.europa.eu/eurostat/statistics-explained/index.php?title=Quality_of_life_indicators_-_natural_and_living_environment (accessed on 4 February 2022).
  29. Lima, M.L. On the Influence of Risk Perception on Mental Health: Living near an Incinerator. J. Environ. Psychol. 2004, 24, 71–84. [Google Scholar] [CrossRef]
  30. Luís, S.; Pinho, L.; Lima, M.L.; Roseta-Palma, C.; Martins, F.C.; Betâmio de Almeida, A. Is It All about Awareness? The Normalization of Coastal Risk. J. Risk Res. 2016, 19, 810–826. [Google Scholar] [CrossRef] [Green Version]
  31. Bonaiuto, M.; Alves, S.; De Dominicis, S.; Petruccelli, I. Place Attachment and Natural Hazard Risk: Research Review and Agenda. J. Environ. Psychol. 2016, 48, 33–53. [Google Scholar] [CrossRef]
  32. McColl, K.; Debin, M.; Souty, C.; Guerrisi, C.; Turbelin, C.; Falchi, A.; Bonmarin, I.; Paolotti, D.; Obi, C.; Duggan, J.; et al. Are People Optimistically Biased about the Risk of COVID-19 Infection? Lessons from the First Wave of the Pandemic in Europe. Int. J. Environ. Res. Public Health 2021, 19, 436. [Google Scholar] [CrossRef] [PubMed]
  33. The Global Risks Report 2021. Available online: https://www.weforum.org/reports/the-global-risks-report-2021 (accessed on 10 March 2022).
Figure 1. Analytical model of environmental risk perception determinants.
Figure 1. Analytical model of environmental risk perception determinants.
Sustainability 14 03716 g001
Figure 2. Spatial distribution of environmental risk index across elderships in Lithuania.
Figure 2. Spatial distribution of environmental risk index across elderships in Lithuania.
Sustainability 14 03716 g002
Figure 3. Spatial distribution of flood risk perception, optimized hot spot analysis (Survey, N = 2007).
Figure 3. Spatial distribution of flood risk perception, optimized hot spot analysis (Survey, N = 2007).
Sustainability 14 03716 g003
Figure 4. Predicted values of environmental risk perceptions: effects of objective environmental risks, place of residence, and education.
Figure 4. Predicted values of environmental risk perceptions: effects of objective environmental risks, place of residence, and education.
Sustainability 14 03716 g004
Figure 5. Direct and moderating effects of explanatory factors on environmental risk perception. Results of linear regression; standardized beta coefficients are presented; significant effects in bold (significance levels * p < 0.05; ** p < 0.01).
Figure 5. Direct and moderating effects of explanatory factors on environmental risk perception. Results of linear regression; standardized beta coefficients are presented; significant effects in bold (significance levels * p < 0.05; ** p < 0.01).
Sustainability 14 03716 g005
Figure 6. Subjective risk perceptions vs. objective environmental risks in the five biggest cities, towns, and rural areas. Mean scores are presented (normalized), with 95% confidence intervals for survey data.
Figure 6. Subjective risk perceptions vs. objective environmental risks in the five biggest cities, towns, and rural areas. Mean scores are presented (normalized), with 95% confidence intervals for survey data.
Sustainability 14 03716 g006
Table 1. Sample structure.
Table 1. Sample structure.
VariableValuesn%
GenderMale91745.7
Female109054.3
EducationLower130565.0
University68434.1
Missing180.9
Place of residenceRural areas and towns117958.7
5 biggest cities82841.3
Household income per member≤600 EUR104051.8
>600 EUR54627.2
DK/Refusal42121.0
Age18–241809.0
25–3430215.0
35–4430315.1
45–5434717.3
55–6436218.
65–7427313.6
≥7524012.0
Table 2. Descriptive statistics of environmental risk perception.
Table 2. Descriptive statistics of environmental risk perception.
VariablenMissingMeanSDSEMedianRangeSkewness
Environmental risk perceptions (subjective)1997103.261.580.043.06 (1–7)0.44
Flood risk perception1953541.921.630.041.06 (1–7)1.86
Air pollution risk perception1965423.892.100.054.06 (1–7)0.06
Water pollution risk erception19061014.032.030.054.06 (1–7)−0.02
Forest fire risk perception1947603.242.050.053.06 (1–7)0.50
Table 3. Spatial regression between objective environmental risks and subjective environmental risk perceptions. Results of ordinary least square regression.
Table 3. Spatial regression between objective environmental risks and subjective environmental risk perceptions. Results of ordinary least square regression.
Variable 1Coefficient (a)StdErrort-StatisticProbability [b]
Intercept1.5810.07221.7530.000
Flood risk index0.1930.0365.4190.000
1 Dependent variable: flood risk perception.
Table 4. Linear regression of explanatory factors of environmental risk perceptions in Lithuania.
Table 4. Linear regression of explanatory factors of environmental risk perceptions in Lithuania.
Explanatory FactorsBetaStd. BetatpConfidence Interval (95%)
(Intercept)2.74824.0650.0002.5242.972
Environmental risk index (objective indicators, mean centered)−0.242−0.081−2.5610.011−0.427−0.057
Gender (base category: Male):Female0.3550.1124.8910.0000.2130.497
Education (base category: Lower):University−0.157−0.048−2.0340.042−0.309−0.006
Age0.0000.000−0.0200.984−0.0400.039
Place of residence (base category: Rural areas and towns):5 biggest cities0.8110.2548.6530.0000.6270.995
Feels close: Local area (mean centered)−0.004−0.002−0.0610.951−0.1210.113
Feels close: Municipality (mean centered)−0.088−0.045−1.7440.081−0.1860.011
Household income per member (base category: ≤600 EUR):
DK/Refusal0.2750.0692.8420.0050.0850.464
>600 EUR0.1660.0471.8790.060−0.0070.339
Environmental risk index (objective indicators, mc) * Education: University0.1620.0321.1480.251−0.1150.439
Environmental risk index (objective indicators, mc) * Place of residence: 5 biggest cities−0.542−0.079−2.5220.012−0.964−0.121
Environmental risk index (objective indicators, mc) * Feels close: Local area (mc)−0.035−0.008−0.2860.775−0.272 0.203
Environmental risk index (objective indicators, mc) * Feels close: Municipality (mc)0.1390.0381.4190.156−0.0530.331
Model characteristics: n = 1872,      Adj. R2 = 0.06
* interaction.
Publisher’s Note: MDPI stays neutral with regard to jurisdictional claims in published maps and institutional affiliations.

Share and Cite

MDPI and ACS Style

Balžekienė, A.; Telešienė, A.; Morkevičius, V. Spatial Dependencies and the Relationship between Subjective Perception and Objective Environmental Risks in Lithuania. Sustainability 2022, 14, 3716. https://doi.org/10.3390/su14073716

AMA Style

Balžekienė A, Telešienė A, Morkevičius V. Spatial Dependencies and the Relationship between Subjective Perception and Objective Environmental Risks in Lithuania. Sustainability. 2022; 14(7):3716. https://doi.org/10.3390/su14073716

Chicago/Turabian Style

Balžekienė, Aistė, Audronė Telešienė, and Vaidas Morkevičius. 2022. "Spatial Dependencies and the Relationship between Subjective Perception and Objective Environmental Risks in Lithuania" Sustainability 14, no. 7: 3716. https://doi.org/10.3390/su14073716

APA Style

Balžekienė, A., Telešienė, A., & Morkevičius, V. (2022). Spatial Dependencies and the Relationship between Subjective Perception and Objective Environmental Risks in Lithuania. Sustainability, 14(7), 3716. https://doi.org/10.3390/su14073716

Note that from the first issue of 2016, this journal uses article numbers instead of page numbers. See further details here.

Article Metrics

Back to TopTop