Abstract
Because of the rapid development of the economy and the process of urbanization, construction waste recycling is becoming increasingly important and should be considered. Motivated by effectively managing the construction waste recycling under sustainability incentives, the multi-agent stochastic game model is used to evaluate the evolutionary behavior of the government agencies, waste recyclers, and waste producers. To capture the uncertainty existing in the external environment, the replicator dynamic formula is integrated with Gaussian noise, and the Lyapunov exponent diagram is analyzed to illustrate the nonlinear dynamic behavior. The numerical approximations are then solved by utilizing the random Taylor expansion formula. Finally, a numerical simulation is performed to evaluate the evolutionary trajectories of the participants involved. The findings revealed that: (1) the government agency should adopt a positive supervision approach, which can encourage waste producers and recyclers to collaborate around each other; (2) lower sorting and disposal costs can enhance construction waste recycling; and (3) the existence of uncertainty in the environment around different participants will influence one’s strategy selection.
1. Introduction
Construction waste is an issue that has attracted increasing worldwide attention recently. With the rapid development of socioeconomic and urbanization in China, the building industry has emerged as a pillar of the national economy. In particular, a large number of raw materials are used and massive construction waste is generated along a gradient of increasing urbanization, resulting in environmental pollution and scarcity of nature resource [1,2]. According to a study published by the Chinese Academy of Engineering, construction waste increased by 15.4% per year from 1990 to 2000, and by 16.2% per year from 2000 to 2013 [1,3]. Because of limited technology, e.g., a lack of professional construction waste recycling enterprises, and a lack of unified technical standards, China’s construction waste resource rate is less than 10%, which is far below the developed countries [1,3]. Furthermore, to the best of our knowledge, the traditional disposal methods of construction waste in many countries in China are landfill and open-air stacking, which not only cause secondary pollution to soil, groundwater, rivers, and air, but also continuously occupy valuable land resources. To that end, representatives from the Chongqing Technology Evaluation and Transfer Service Center of the Chongqing Academy of Science and Technology suggested that the government should do everything possible to supervise construction waste recycling and ensure that it meets the requirements of construction sustainability development [2,4].
At present, construction waste recycling has been proven to be the most effective method of managing construction trash. In the meantime, many existing works [5,6,7,8,9] have already investigated its positive social, environmental, and sustainable influences and pointed out that many factors, such as positive government agency supervision, or waste recyclers implement waste recycling, can influence construction waste recycling. Huang et al. [7] pointed out that government takes a decisive role in directing and promoting construction waste recycling in China. Furthermore, Bakshan et al. [10] used Bayesian network analysis to investigate the causal behavioral determinants of practice improvement in construction waste management, and they concluded that proper supervision is critical in construction waste recycling systems. Lately, Fu et al. [11] further investigated the influence of the government’s supervision for waste recycling enterprises. Tam et al. [12] emphasized that the government’s incentives can encourage construction waste producers and waste recyclers to actively recycle construction waste. However, these studies almost discussed construction waste recycling from the standpoint of an interview and questionnaire survey, and there are no existing studies that focus on how different factors influence the behavior between government and recycling enterprises.
To address the above mentioned issues, Ma et al. [1] introduced a dynamic evolutionary game theory into the construction management system and investigated the effects of government incentive policies on the evolution process. The experiments show that: (1) government subsidies for waste enterprises are critical for construction waste recycling; (2) government subsidies for waste recyclers are not always necessary since the behavior of waste recyclers is influenced by the waste producers. Furthermore, increasing the landfill cost will encourage cooperation when the government does not provide a subsidy. In contrast, Long et al. [13] investigated the evolutionary game theory between construction waste producers and construction waste recyclers in the context of the government’s reward-penalty mechanism. However, it focuses primarily on the dynamic evolution process between different enterprises with and without government incentives, ignoring how the government influences the behavior of construction waste producers and waste recyclers during the evolution process. To this end, Su [2] stated that recycling construction waste is extremely beneficial for reducing environmental pollution and conserving resources, and the three-party evolutionary game theory is investigated, which included government agencies, construction waste producers, and construction waste recyclers. In particular, it was discovered that the government plays different roles during different construction waste recycling periods. Du et al. [14] presented a theoretical evolutionary game theory framework to analyze the behavior of governments, construction contractors, and the public. It first investigated the impact of various factors on stakeholders’ decision-making and discovered that incentives and penalties can reduce the illegal dumping of construction waste. To that end, this paper mainly investigated what is the best choice for penalties and incentives selection.
Many significant efforts have been made to use evolutionary game theory to investigate the impact of various factors on construction waste recycling, e.g., construction sustainability incentives, positive/negative government supervision, etc. However, in these existing works [1,2,13,14], the evolutionary game process analysis for construction waste recycling is based on a deterministic model that ignores the effect of external uncertainty. It is well understood that various random factors play an important role in decision-making between each participant during the evolution process, which should be taken into account in terms of construction waste recycling [15,16]. The purpose of this paper is to build a three-party stochastic game framework that can answer the following corresponding questions. (1) How should the three-party payoff matrix and replicator dynamic formula for the construction recycling system be defined? (2) Is there an equilibrium solution in the random replicator dynamic differential formula when Gaussian white noise is introduced? If so, what kinds of boundary conditions must be met?
To address the aforementioned issues, a three-party stochastic game framework is proposed for construction waste recycling based on bounded rationality theory, in which the payoff matrix is first constructed and then the replicator dynamic equation is formalized. In particular, the Lyapunov exponent diagram is employed to investigate the nonlinear dynamic characteristics of replicator dynamic equations based on the Benettin method, and then Gaussian white noise is introduced into the equation. The numerical approximations are then solved using the Taylor expansion method. Finally, a numerical simulation is run to demonstrate the dynamic evolutionary trajectory. In conclusion, the following contributions have been made:
- The three-party stochastic game structure, which includes government agencies, construction waste producers, and construction waste recyclers, is first presented.
- The Lyapunov exponent diagram is next analyzed to capture the nonlinear dynamic behavior of the replicator dynamic equation based on Benettin method.
- Next, the Gaussian white noise is inserted into the replicator dynamic equation as an uncertain that exists in the external environment. Furthermore, the existence and stability of the equilibrium solutions of the stochastic differential equation are investigated.
- Finally, the numerical simulations are conducted to show the evolutionary trajectory in terms of the stability based on Taylor expansion.
2. Literature Review
2.1. Construction Waste Recycling and Management
In recent years, with the rapid development of the economy and the acceleration of urbanization, construction and demolition waste (C&D) has increased dramatically recent years, accounting for 30–40% of city waste in China and more than 40% of all municipal waste in Europe [7,8,9]. However, the recycling of C&D waste is not optimistic. According to the National Bureau of Statistics of China, 1.3 billion tonnes of construction waste were produced in China in 2017, which is five times the total quantity of residential waste produced in the same year [3]. According to Ma et al. [1], 80% of the construction waste can be recycled. However, the construction waste recycling rate in China is less than 10%, which is much lower compared with 94% for the Netherland and 95% for Japan. A large gap is observed between China and developed countries in the construction waste recycling industry. In other words, construction waste recycling and management have received considerable attention from scholars both at home and abroad. Duan et al. [17] and Yang et al. [18] said that the traditional method of processing construction waste is landfill and 84% of the construction waste is landfilled in recent years in Shengzhen City, China. However, there is insufficient capacity in this area to landfill construction waste. As a result, construction waste recycling and resourcing have become a national primary objective for improving environmental effects, and the question about how to process construction waste effectively and rationally has become an urgent one. Lately, Kabirifar et al. [19] presented a framework to assess the effectiveness of construction and demolition waste management (CDWM) using construction and demolition waste stakeholders’ attitudes (CDWSA), CDWM within project life cycles (CDWPLC), which pointed out that CDWAS was the most effective factor in CDWM and CDWPLC was the least effective factor in CDWN. Finally, it was stated that the most effective CDWM strategies were recycle, reuse, and reduce. Furthermore, motivated by sustainability concepts, Ghafourian et al. [20] investigated the sustainable construction and demolition waste management (SCDWM) by introducing sustainability dimensions in CDWM, which further analyzed the impacts of factors that contribute to sustainability aspects of CDWM on waste management hierarchy, such as reduce, reuse, recycle, and disposal strategies.
Recently, Bao et al. [21] treated Shengzhen as a case study and provided a decision-support framework for construction waste recycling planning. This framework intends to assist in the planning of on-site and off-site construction waste recycling in Shenzhen, China, using qualitative research methodologies such as case studies, site visits, and semi-structured interviews. Lu et al. [22] investigated a data-driven approach to obtain the bulk densities of inert and non-inert construction waste by analyzing a big dataset of 4.9 million loads of construction waste in Hong Kong in the years 2017 to 2019. Hoang et al. [23] studied the financial and economic evaluation of construction and demolition waste recycling in Hanoi, Vietnam from the supply and demand perspective. However, informal processing the construction waste, e.g., land-filling, has increased the government costs. Ma et al. [1] constructed an evolutionary game model including construction enterprises and recycling enterprises and analyzed the behavior evolution trajectory of participants in the construction waste recycling management system. Moreover, Su [2] studied the multi-agent evolutionary game, including government agencies, waste recycles, and waste producers, in the recycling utilization of construction waste. Most of the above literature analyzes the importance of recycling construction waste. Moreover, it only considers the deterministic replicator dynamics equations, without further consideration that environmental uncertainty on the behavioral decision of participants, which plays an essential role in constructing the evolutionary game theory model. Compared with the deterministic model, which assumes that parameters are deterministic, Yazdani et al. [24] studied a waste collection routing problem by considering uncertain and proposed a novel simheuristic approach based on an integrated simulation optimization. In particular, an efficient hybrid genetic algorithm is used to optimize vehicle route planning for construction and demolition waste collection from construction projects to recycling facilities.
2.2. Evolutionary Game Theory for Construction Waste
Evolutionary game theories are flexible and powerful tools for understanding evolutionary dynamics of group interactions [25]. Many significant efforts have been made towards using evolutionary game theory to manage construction waste recycling. Ma et al. [1] developed a dynamic evolutionary game model on construction waste recycling to analyze the symbiotic evolution between the behavior of construction enterprises and recycling enterprises, in situations with or without government incentives. Moreover, the authors also studied how government incentive policy affects the dynamic evolution process of construction waste recycling. Lately, Su [2] further studied the multi-agent evolutionary decision-making process and stable strategies among three stakeholders, including government agencies (GA), waste recycles (WR) and waste producer (WP), in the recycling utilization of construction waste. In particular, Su analyzed the main factors that affected the strategies of the stakeholders and provide the tripartite evolutionary game model.
However, considering the existence of uncertainties, in reality, it is difficult to reflect the actual situation of construction waste recycling in reality only by using the general deterministic evolutionary game model. So it is necessary to introduce the random disturbance for analysis [15] and judge the stability of stochastic evolution [26]. Li et al. [16] constructed a multiplayer stochastic evolutionary game model to study the impact of innovation subsidy on enterprise innovation development. Liu et al. [27] introduced Gaussian white noise to analyze the corporate governance issues, and found that random interference factors can affect the trajectory of the equilibrium strategy.
3. Three-Party Evolutionary Game Framework
3.1. Problem Formulation
As for recycling construction waste, the strategy bank of government agencies, waste recyclers, and waste producers are , , and , respectively. In particular, and represent positive and negative supervision, and indicate implement construction waste recycling and not implement construction waste recycling. The tripartite evolutionary game model, including government agencies, waste recyclers, and waste producers are as follows:
The government agencies, waste recyclers, and waste producers are the members of the construction waste recycling system. In this system, government agency aims to increase the proportion of implementing construction waste recycling to realize and promote the construction sustainability development. As for waste recyclers and producers, they try to maximize their interests. It is worth noting that if waste producers do not implement construction waste recycling, the construction waste will increase, which will further pollute the environment and lead to higher environmental management costs [28,29]. Therefore, strategies from waste recyclers and producers play an essential role for the environment and eco-system, the more these two enterprises adopt waste recycling, the less pollution led by construction waste. Following Ref. [2], this work first introduces a more precise multi-agent evolutionary model by introducing environmental benefits and penalties for waste recyclers and producers, respectively. In particular, it is assumed that government is more prone to support waste recyclers than waste producers. Then the evolution behavior of three participants is analyzed during the procedure of construction waste recycling through the evolutionary game framework. The description of corresponding parameters is given in Table 1.
Table 1.
Model parameter descriptions.
Among them, the assumptions are summarized as follows:
- The government agencies, waste recyclers, and waste producers have individually bounded rationality and try to find the maximization value of their interests.
- The waste recyclers have enough spaces to recycle waste if the waste producers are “conducting” waste recycling strategy.
- They are able to adjust their strategies when the environment changes in the construction waste recycling process.
- Assuming x indicates the probability when government agency conducts positive supervision, denotes the probability when government agency conducts negative supervision. Similarly, y denotes the probability that waste recyclers conduct construction waste recycling, indicates the probability that waste recyclers do not conduct construction waste recycling. If z denotes the probability that waste producers implement construction waste recycling, represents the probability that waste producers do not implement construction waste recycling.
- In the stochastic evolutionary system, the higher the strategy payoff than the average payoff is, the higher probability different enterprises conduct this strategy. Generally, this principle can be represented by replicator dynamics formulas.
- The uncertainty exists around different participants, which will bring random disturbance into the evolutionary system. To this end, it is necessary to consider this random noise in the replication dynamic differential formula.
3.2. Payoff Matrix and Replicator Dynamics Equations
Table 2 gives the payoff matrix of the government agencies, waste recycles and waste producers, which is defined based on the principles shown in Figure 1 and each element of the Payoff Matrix are shown in Equation (1).
Table 2.
The payoff matrix of the three-party evolutionary game for construction waste recycling.
Figure 1.
The three-party game tree of government agencies, waste recyclers and waste producers.
Let and denote the expected utility when government agency conducts positive supervision and negative supervision, respectively, and their average is represented by .
Then the replicator dynamic formula of government agency conducting positive supervision is given, as shown in Equation (5):
Similarly, let and represent that waste recycler enterprise selects to implement and not implement construction waste recycling, respectively. And denotes the average revenues.
Then, according to Equations (6) and (7), the replicator dynamic equation of waste producers conducting construction waste recycling strategy is given as follows:
Finally, let and denote the expected utility that the waste producer chooses to implement and not implement the waste recycling and their average is represented by , which are formulated as follows:
Then, the replicator dynamic formula of waste recycler conducting construction waste recycling strategy is defined as follows:
3.3. Replicator Dynamics Analysis
According to Equations (5), (9) and (13), the multi-agent dynamic replication formula of construction waste recycling system is achieved, i.e.,
Let , 8 corresponding strategy solutions for the construction waste recycling system can be achieved, i.e., , , , , , , , and . Additionally, there also exists a mixed strategy solution , which satisfies Equation (15)
Therefore, the following equations can be achieved
where , and .
In addition, it is obvious that , , and are non-negative, so they will not influence the results of the evolution analysis. Next, the replicator dynamic formulas of government agencies, waste recyclers, and waste producers can be rewritten as:
3.4. Nonlinear Dynamic System Chaotic Analysis
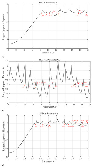
To the best of our knowledge, Equation (19) is a nonlinear dynamic formula, meaning some parameters will bring chaos into this system. Chaotic represents an irregular and random movement that exists in a deterministic nonlinear system, e.g., butterfly effect. To study if the chaotic characteristic exists in the nonlinear dynamic formula in the setting of some threshold values, the Lyapunov exponent diagram is used to analyze the characteristic of the nonlinear dynamic system [30]. The Lyapunov exponent graph is used to analyze the convergence of adjacent trajectories. Especially, the nonlinear dynamic system shows stability characteristics when , where LLE means largest Lyapunov exponent. In contrast, if , the nonlinear dynamic system bifurcates at that point; if , the nonlinear dynamic system shows chaotic behavior [31].
Taking the three-party evolutionary game framework construction waste recycling system as examples, the LLE graphs are obtained based on Benetthin algorithm. As shown in Figure 2, fixing other parameters, when construction waste sorting cost belongs to , resulting in stable construction waste recycling system. In contrast, if , where and , the construction waste recycling system is going to show chaotic characteristic (as shown in Figure 2a. From Figure 2b, it can be observed that if , and , respectively and the system stay in stable state. If , and , respectively, then and the nonlinear dynamic system shows chaotic characteristic. It is also observed when , and in Figure 2c. This also make system show chaotic characteristic.
Figure 2.
Largest Lyapunov exponent diagram of tripartite stochastic evolutionary game system with fixed parameters are , , , , , , , , , , , , . (a) . (b) . (c) .
4. Stochastic Evolutionary Game Framework
4.1. Multi-Agent Stochastic Evolutionary Game Framework
To the best of our knowledge, there exist high uncertainty in the game among the government agencies, waste recyclers, and waste producers because the complexity of the external environment. To this end, the different participants will have different strategic selections because of their profits. In particular, there always exists random noise in the replicator dynamics formula, leading to bad performance for the deterministic evolutionary game framework, since the existing uncertainty around different participants. Therefore, it is necessary to take random noise into account in the tripartite game model. To further improve the previous deterministic game model, in this study, the replicator dynamic formula is combined with Gaussian white noise, which results in the multi-agent stochastic evolutionary game framework, as follows:
where is Brownian movement. denotes Gaussian white noise, where should stratify and h is time step, . and it can be represented as normal distribution , and denotes noise intensity.
To this end, the Equation (20) denotes one-dimensional multi-agent stochastic differential formula, which also describes the tripartite evolutionary replicator dynamics equation of government agency, waste recyclers, and waste producers under random noise, respectively.
4.2. Equilibrium Solutions Analysis
It is known that Equation (20) is -type stochastic differential formula, therefore, at initial time , , and , respectively. Then according to Equation (20), the following equations are given:
Based on Equation (21), it can be seen that , and there at least have zero solution, which indicates the construction waste recycling system will stay in this state without the interference of external white noise. To this end, zero solution is the best in this situation.
However, the construction recycling system will always be disturbed by the internal and external environment, which influences system stability. Therefore, the system stability under random noise circumstances must be considered and analyzed.
Given stochastic differential equation [16]
It is assumed that there has a function for which there exist positive constant , , such that
Then, two kinds of specific scenarios are analyzed concerning system stability.
I. If a positive constant is existing, making , the null solution of Equation (22) is therefore globally exponentially stable in p-th mean. Then, .
II. When a positive constant is existing, making . In this case, the null solution of Equation (22) is not exponentially stable in p-th mean. Then, .
4.3. Taylor Expansion of Evolution Equation
It is known that there is no clear solution for a nonlinear stochastic differential formula. To this end, the random Taylor expansion for equation is conducted and the numerical approximations are used to solve it.
For a existing stochastic differential equation, i.e., Equation (26)
where , , and is the standard winner process. Assume that, when , the equation of random Taylor expansion is given in Equation (26)
where , , , , , , and R is the remainder of the Taylor expansion.
Therefore, Equation (27) can be rewritten as follows
To this end, the Milstein approach is used to solve the approximation problem. The Taylor expansions are further conducted for government agencies, waste recyclers, and waste producers, which leads to
5. Numerical Simulations
To the best of our knowledge, it is hard to achieve the precise solution of nonlinear differential formula. To this end, numerical simulation is applied to simulate the trajectory of three-party dynamic evolution. Especially, in this study, a three participants stochastic evolutionary game framework is proposed for construction waste recycling by analyzing the effect principle of sorting cost of construction waste, construction waste producer disposal cost when recyclers and producers do not implement construction waste recycling, effort level when waste producer implement construction waste recycling, and Gaussian white noise on the three-party evolutionary trajectory. In addition, the stability and convergence rate of the evolutionary trajectory is also analyzed. In the beginning, the following two different cases are considered: (1) for the numerical study of sorting costs and effort level, let both waste recyclers and producers implement waste recycling under positive government supervision. In this case, , which means the government agency conducts the positive supervision. In particular, the government agency does not favor any one of the positive and negative strategies at the game start, and the same with the waste producers and waste recyclers. To this end, the initial points are defined as . (2) In contrast, for the disposal costs study, let both waste recyclers and producers do not want to implement waste recycling, while government agency tends to negative supervision strategies at the beginning. Here . While the waste producers and recyclers do not implement construction waste recycling. Therefore the initial points are defined as .
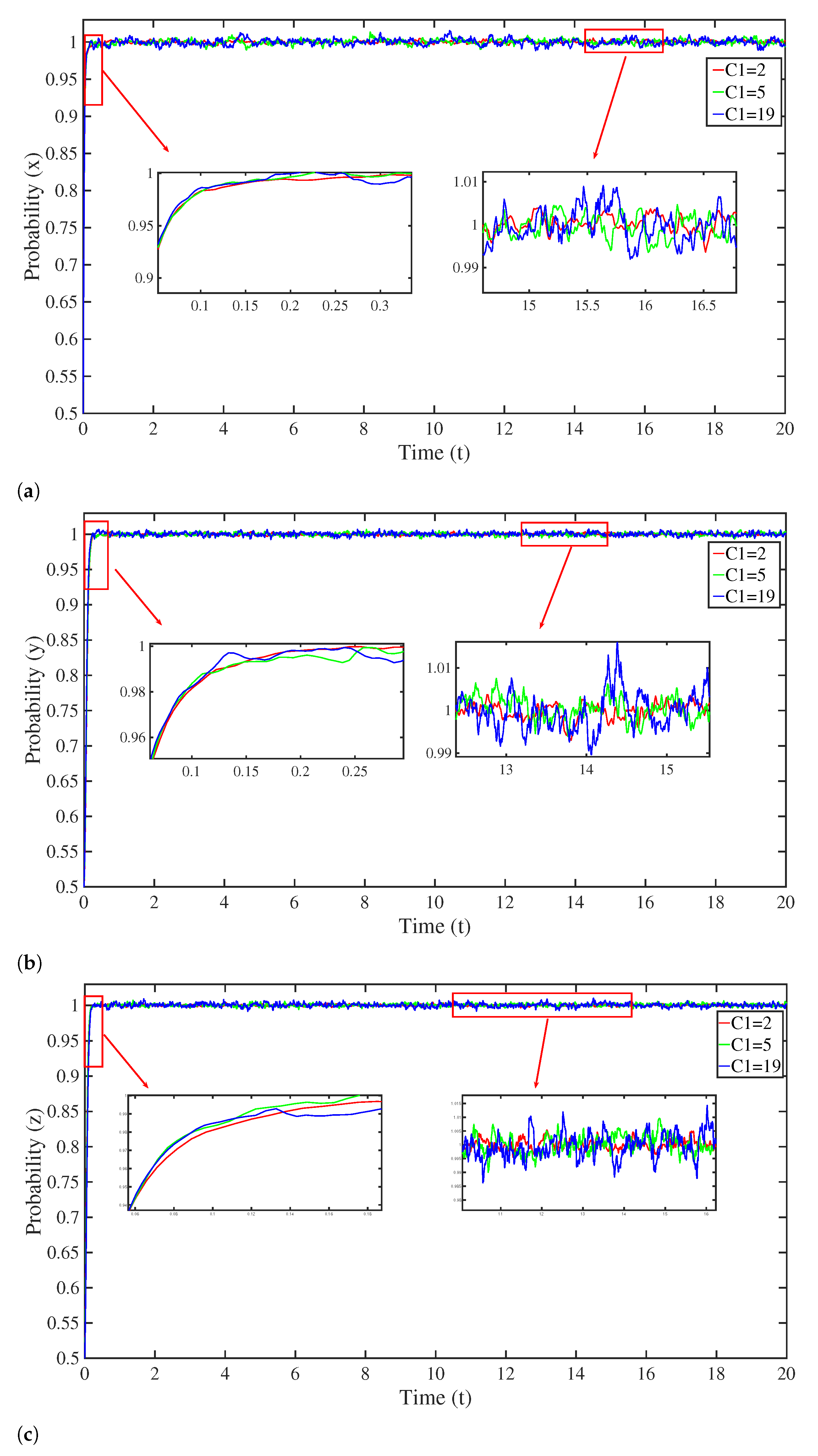
5.1. Sorting Cost of Construction Waste
Sorting cost is an essential factor when conducting construction waste recycling. Therefore, it is necessary for the waste producers and recyclers to take this factor into consideration. Figure 3 shows the results of the evolutionary trajectory of government agencies, waste recyclers, and waste producers, respectively. From Figure 3a, it is observed that with the increase of waste sorting cost, government agency always keeps the state under positive supervision. From the perspective of stability of evolution system and convergence rate, is the first one to reach the equilibrium point, while tends to reach the stable point. However, when the value of sorting cost (i.e., ) belongs to some ranges that lead to , the evolutionary trajectory of the three parties shows a very instability characteristic. Meanwhile, it can be seen from Figure 3b,c, the waste producers and recyclers also can implement waste recycling with the increasing sorting costs. However, when sorting cost , the trajectories show strong instability.
Figure 3.
Multi-agent dynamic evolutionary trajectories under different construction waste sorting costs. (a) The probability when government agency conducting positive supervision. (b) The probability when waste recyclers implement construction waste recycling. (c) The probability when waste producers implement construction waste recycling. When , , , , , , , , , , , , , , , .
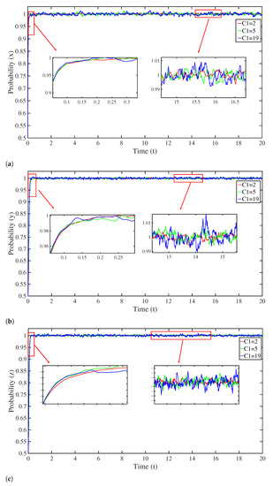
Furthermore, the analysis of sorting cost between the waste recyclers and producers without external interference () is conducted. In particular, from Figure 4, it can be seen that when and , the trajectory of recyclers and producers presents a fast convergence to implement construction waste recycling, and there exist Nash equilibrium. This means that if waste producers and recyclers bear fewer sorting costs, it will promote its enthusiasm to implement construction waste recycling. This is because the more sorting is, the more complex the dynamic system will show. Furthermore, with the increase of the sorting cost, the probabilities of waste producers and recyclers choosing to implement construction recycling will reduce.
Figure 4.
Evolution of waste recycles and waste producers.
Therefore, the waste producers and recyclers should find a suitable sorting cost that enhances their enthusiasm for construction waste recycling under the positive supervision of government agencies.
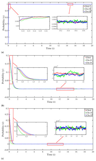
5.2. Disposal Costs from Waste Producers
An essential assumption in the construction waste recycling management system is that if both waste producers and recyclers do not implement waste recycling. The producers should pay the fee for waste landfills. To this end, how disposal cost affects the waste recycling system is further studied. Figure 5 shows the numerical simulation results. From the perspective of the government agency, the suitable leads the evolutionary trajectory to quickly converge to the stability points. However, unsuitable value brings disturbance to the dynamic system, which makes the construction recycling system is easily affected by external factors. In contrast, it can be seen that waste recyclers and producers are prone to not implement waste recycling when the value of results in . This means although an unreasonable value of can speed the trajectory evolution, the system is easily influenced by the external environment. In addition, the government agency can quickly reach the equilibrium point with a reasonable and choose positive supervision. Waste recyclers and producers aim to not conduct recycling construction waste in this situation.
Figure 5.
Multi-agent dynamic evolutionary trajectories under different disposal costs. (a) The probability when government agency conducting positive supervision. (b) The probability when waste recyclers implement construction waste recycling. (c) The probability when waste producers implement construction waste recycling. When , , , , , , , , , , , , , , , .
5.3. Effects of Effort Level of Waste Producers
The effort level represents how waste producers implement waste recycling. Generally, the smaller is, the rougher the waste producers dispose of the construction waste. In contrast, the larger represents the waste producers dispose of the construction waste finer. Therefore, how effort level affects the dynamic system is also considered. To this end, the effect of effort level is discussed. Figure 6 gives the results. From Figure 6a, it is observed that reasonable and higher value of effort level make the government agency reach the equilibrium faster and more stable under positive supervision. In contrast, a lower reasonable value of also reduces the convergence time of the system, which even brings disturbance to the system. And when selecting the unreasonable value of , the system will be more easily affected by the external environments. In this case, the waste recyclers select to implement waste recycling under positive supervision from the government agency. A larger and reasonable value of effort level will make a faster and more stable system. This means waste recyclers can quickly reach the balance and a lower value of effort level will bring disturbance for the system. In contrast, waste producers reach the balance under the reasonable effort level value. In addition, the dynamic shows more vulnerable characteristics under the unreasonable effort level.
Figure 6.
Multi-agent dynamic evolutionary trajectories under different effort level. (a) The probability when government agency conducting positive supervision. (b) The probability when waste recyclers implement construction waste recycling. (c) The probability when waste producers implement construction waste recycling. When , , , , , , , , , , , , , , , .
In the construction waste recycling system, the more effort from waste producers to recycle the construction waste is, the more enthusiasm for government agencies implementing positive supervision is and the more enthusiasm for waste recyclers implementing waste recycling is. This undoubtedly brings great benefits for the construction waste recycling system. Therefore, the waste producers need to try their best to recycle the construction waste generated by themselves, which will promote the activities of government agencies and waste recyclers.
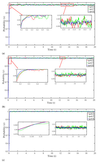
5.4. The Effect of Noise Intensity
Further simulations are conducted to discuss how noise intensity affects the trajectory of the evolutionary game model. Figure 7 shows the results. It can be observed that the uncertainty will bring random disturbance into the evolution process and then affect the evolution process. In addition, it also can be seen that the higher the noise intensity is, the more fluctuation exists in the evolutionary trajectories. This means the uncertainty can affect the strategy choice of the government agencies, waste recyclers, and waste producers.
Figure 7.
Multi-agent dynamic evolutionary trajectories under different noise intensity. (a) The probability when government agency conducting positive supervision. (b) The probability when waste recyclers implement construction waste recycling. (c) The probability when waste producers implement construction waste recycling. When , , , , , , , , , , , , , , , .
6. Discussion
An important exploration of the development of construction waste recycling systems is the study of the game interaction between the government agency and different recyclers, as well as the evolutionary trajectory of participants. Due to the lack of effective management strategies in the past, construction waste recycling has brought significant impacts on the environment and human health [7,32]. To improve environmental quality, many countries’ governments have enacted a variety of environmental incentive policies [1]. However, there are multiple parties involved in the construction waste recycling system, and the existence of conflicts of interest makes it difficult to effectively implement environmental incentive policies. In particular, the existence of uncertainty in the external environment, makes the behavior of participants in the construction waste recycling system more complicated [15]. Under the premise of bounded rationality, the stochastic evolutionary game model is built to analyze the complex behavior of participants, in which the Gaussian white noise is introduced to describe the impacts of uncertainty factors on stakeholders’ decision evolution trajectories. Balancing the interests of participants is the key to improving the quality of construction waste recycling. For example, China established a Processing Fund for Waste Electrical and Electronic Products in 2012 to assist the formal recycling sectors of the electronic waste dismantling industry. The dismantling fund has lost $8 billion since its establishment, with the fund already stagnant in 2017. As a result, the management of e-waste recycling cannot rely solely on subsidies, but also on corresponding punitive measures, which is consistent with previous research [33] and also useful for construction waste recycling. According to Andrew et al. [34], different policies must be implemented based on the characteristics of different countries in order to improve governance quality. Furthermore, environmental uncertainty is a significant factor that must be considered during the decision-making process. The random interference factors can influence the equilibrium strategy’s trajectory [16]. In addition, certain critical values are determined so that the system behaves chaotically.
There are also some limitations in this paper. There are differences in construction recycling management and environment incentive policies in different countries. This paper built a stochastic evolutionary game model for a case study of China, which would be greater applicability by considering different environmental incentive policies in different countries. In addition, this paper only considers the government agencies, waste producers, and waste recyclers, and introduce Gaussian white noise, China’s dual government systems also play an important role in construction waste recycling. More practical conclusions would be obtained by considering the combination of political concentration and economic decentralization of dual government systems.
Base on above analysis, some implications are proposed as follows:
- With the construction waste recycling system, greater attention must be paid to the game interaction between waste producers and waste recyclers. Different enterprises have different willingness in different states, which makes the behavior of participants in the construction waste recycling system more complicated. It is therefore incredibly important to coordinate the different waste recycling enterprises’ interests and obligations to ensure the effective implementation of waste recycling and to improve environmental quality.
- As regulators of the construction waste recycling system, the government agency must adopt a subsidy-penalty coordination mechanism in order to improve construction waste recycling’s environmental quality and increase subsidies for qualified recyclers and default penalties for collusion.
- When making decisions, the government agency must fully consider the existence of uncertain factors in order to ensure the smooth implementation of environmental incentive policies and improve construction waste recycling quality.
7. Conclusions
Facilitating the implementation of construction waste recycling is the primary basis to realize construction sustainability and it has great practical significance for the quality improvement of construction waste recycling. In this study, the three-party stochastic evolutionary game framework is proposed for construction waste recycling, making the payoff matrix and combining the Gaussian white noise with replicator dynamic formula. Then the random Taylor expansion is used to solve the numerical approximation, and finally, the numerical simulations are conducted to study the dynamic evolution between the government agencies, waste recyclers, and waste producers. The main conclusions are as follows: (1) Smaller sorting costs make the group strategy more stable and effective. (2) Larger disposal costs make waste producers do not implement construction waste recycling. (3) The more Waste producer put into disposing of the construction waste recycling, the more efforts government make to guide construction recycling, and the more enthusiasm the waste recyclers recycle construction waste. (4) Based on the comparative analysis of Gaussian white noise intensity, the effect of uncertainty external environments brings the random disturbance into the evolution trajectory of different participants, which leads to fluctuation of a smooth curve. To evade strategy fluctuation for different participants, it is necessary to let government agencies actively guide the waste producers and waste recyclers.
In a brief, this paper investigated the tripartite stochastic evolutionary game model for construction waste recycling policies analysis, filling the multi-agent stochastic game study of construction waste recycling and offering a practical basis for different agencies to implement construction waste recycling.
Author Contributions
Conceptualization, Y.S. and Z.G.; methodology, Y.S.; software, Y.S.; validation, Y.S. and Z.G.; formal analysis, Y.S.; investigation, Y.S.; resources, Y.S.; data curation, Y.S.; writing—original draft preparation, Y.S.; writing—review and editing, Z.G.; visualization, Y.S.; supervision, Z.G.; project administration, Z.G.; funding acquisition, Z.G. All authors have read and agreed to the published version of the manuscript.
Funding
The author(s) disclosed receipt of the following financial support for the research, authorship, and/or publication of this article: This work was supported by the project of Basic Work of the Ministry of Science and Technology (No. SB2013FY112500).
Institutional Review Board Statement
Not applicable.
Informed Consent Statement
Not applicable.
Data Availability Statement
Not applicable.
Conflicts of Interest
The authors declare no conflict of interest.
References
- Ma, L.; Zhang, L. Evolutionary game analysis of construction waste recycling management in China. Resour. Conserv. Recycl. 2020, 161, 104863. [Google Scholar] [CrossRef]
- Multiagent evolutionary game in the recycling utilization of construction waste. Sci. Total. Environ. 2020, 738, 139826. [CrossRef] [PubMed]
- Zheng, L.; Wu, H.; Zhang, H.; Duan, H.; Wang, J.; Jiang, W.; Dong, B.; Liu, G.; Zuo, J.; Song, Q. Characterizing the generation and flows of construction and demolition waste in China. Constr. Build. Mater. 2017, 136, 405–413. [Google Scholar] [CrossRef] [Green Version]
- Li, X.; Huang, R.; Dai, J.; Li, J.; Shen, Q. Research on the evolutionary game of construction and demolition waste (CDW) recycling units’ green behavior, considering remanufacturing capability. Int. J. Environ. Res. Public Health 2021, 18, 9268. [Google Scholar] [CrossRef] [PubMed]
- Tseng, M.L.; Wong, W.P.; Soh, K.L. An overview of the substance of resource, conservation and recycling. Resour. Conserv. Recycl. 2018, 136, 367–375. [Google Scholar] [CrossRef]
- Gálvez-Martos, J.L.; Styles, D.; Schoenberger, H.; Zeschmar-Lahl, B. Construction and demolition waste best management practice in Europe. Resour. Conserv. Recycl. 2018, 136, 166–178. [Google Scholar] [CrossRef] [Green Version]
- Huang, B.; Wang, X.; Kua, H.; Geng, Y.; Bleischwitz, R.; Ren, J. Construction and demolition waste management in China through the 3R principle. Resour. Conserv. Recycl. 2018, 129, 36–44. [Google Scholar] [CrossRef]
- Wang, H.; She, H.; Xu, J.; Liang, L. A Three-Point Hyperbolic Combination Model for the Settlement Prediction of Subgrade Filled with Construction and Demolition Waste. Materials 2020, 13, 1959. [Google Scholar] [CrossRef]
- Kabirifar, K.; Mojtahedi, M.; Wang, C.; Tam, V.W. Construction and demolition waste management contributing factors coupled with reduce, reuse, and recycle strategies for effective waste management: A review. J. Clean. Prod. 2020, 263, 121265. [Google Scholar] [CrossRef]
- Bakshan, A.; Srour, I.; Chehab, G.; El-Fadel, M.; Karaziwan, J. Behavioral determinants towards enhancing construction waste management: A Bayesian Network analysis. Resour. Conserv. Recycl. 2017, 117, 274–284. [Google Scholar] [CrossRef]
- Fu, J.; Zhong, J.; Chen, D.; Liu, Q. Urban environmental governance, government intervention, and optimal strategies: A perspective on electronic waste management in China. Resour. Conserv. Recycl. 2020, 154, 104547. [Google Scholar] [CrossRef]
- Tam, V.W.; Le, K.N.; Wang, J.; Illankoon, I. Practitioners recycling attitude and behaviour in the Australian construction industry. Sustainability 2018, 10, 1212. [Google Scholar] [CrossRef] [Green Version]
- Long, H.; Liu, H.; Li, X.; Chen, L. An evolutionary game theory study for construction and demolition waste recycling considering green development performance under the chinese government’s reward–penalty mechanism. Int. J. Environ. Res. Public Health 2020, 17, 6303. [Google Scholar] [CrossRef] [PubMed]
- Du, L.; Feng, Y.; Lu, W.; Kong, L.; Yang, Z. Evolutionary game analysis of stakeholders’ decision-making behaviours in construction and demolition waste management. Environ. Impact Assess. Rev. 2020, 84, 106408. [Google Scholar] [CrossRef]
- Foster, D.; Young, P. Stochastic evolutionary game dynamics. Theor. Popul. Biol. 1990, 38, 219–232. [Google Scholar] [CrossRef] [Green Version]
- Li, J.; Ren, H.; Zhang, C.; Li, Q.; Duan, K. Substantive innovation or strategic innovation? Research on multiplayer stochastic evolutionary game model and simulation. Complexity 2020, 2020, 9640412. [Google Scholar] [CrossRef]
- Duan, H.; Li, J. Construction and demolition waste management: China’s lessons. Waste Manag. Res. 2016, 34, 397–398. [Google Scholar] [CrossRef] [Green Version]
- Yang, H.; Xia, J.; Thompson, J.R.; Flower, R.J. Urban construction and demolition waste and landfill failure in Shenzhen, China. Waste Manag. 2017, 63, 393–396. [Google Scholar] [CrossRef]
- Kabirifar, K.; Mojtahedi, M.; Wang, C.C.; Tam, V.W. Effective construction and demolition waste management assessment through waste management hierarchy; a case of Australian large construction companies. J. Clean. Prod. 2021, 312, 127790. [Google Scholar] [CrossRef]
- Ghafourian, K.; Kabirifar, K.; Mahdiyar, A.; Yazdani, M.; Ismail, S.; Tam, V.W. A synthesis of express analytic hierarchy process (EAHP) and partial least squares-structural equations modeling (PLS-SEM) for sustainable construction and demolition waste management assessment: The case of Malaysia. Recycling 2021, 6, 73. [Google Scholar] [CrossRef]
- Bao, Z.; Lu, W. A decision-support framework for planning construction waste recycling: A case study of Shenzhen, China. J. Clean. Prod. 2021, 309, 127449. [Google Scholar] [CrossRef]
- Lu, W.; Yuan, L.; Xue, F. Investigating the bulk density of construction waste: A big data-driven approach. Resour. Conserv. Recycl. 2021, 169, 105480. [Google Scholar] [CrossRef]
- Hoang, N.H.; Ishigaki, T.; Kubota, R.; Tong, T.K.; Nguyen, T.T.; Nguyen, H.G.; Yamada, M.; Kawamoto, K. Financial and economic evaluation of construction and demolition waste recycling in Hanoi, Vietnam. Waste Manag. 2021, 131, 294–304. [Google Scholar] [CrossRef] [PubMed]
- Yazdani, M.; Kabirifar, K.; Frimpong, B.E.; Shariati, M.; Mirmozaffari, M.; Boskabadi, A. Improving construction and demolition waste collection service in an urban area using a simheuristic approach: A case study in Sydney, Australia. J. Clean. Prod. 2021, 280, 124138. [Google Scholar] [CrossRef]
- Zhang, C.; Lin, K.; Wang, L. Incentive and Supervisory Contract between Special Committees and CEO Based on the Evolutionary Game Model. Math. Probl. Eng. 2020, 2020, 4089634. [Google Scholar] [CrossRef]
- Cobb, L. Stochastic catastrophe models and multimodal distributions. Behav. Sci. 1978, 23, 360–374. [Google Scholar] [CrossRef]
- Liu, X.; Lin, K.; Wang, L.; Zhang, H. Stochastic evolutionary game analysis between special committees and ceo: Incentive and supervision. Dyn. Games Appl. 2021, 11, 538–555. [Google Scholar] [CrossRef]
- Ortiz, O.; Pasqualino, J.; Castells, F. Environmental performance of construction waste: Comparing three scenarios from a case study in Catalonia, Spain. Waste Manag. 2010, 30, 646–654. [Google Scholar] [CrossRef]
- Di Maria, A.; Eyckmans, J.; Van Acker, K. Downcycling versus recycling of construction and demolition waste: Combining LCA and LCC to support sustainable policy making. Waste Manag. 2018, 75, 3–21. [Google Scholar] [CrossRef]
- Arshad, M.H.; Kassas, M.; Hussein, A.E.; Abido, M.A. A Simple Technique for Studying Chaos Using Jerk Equation with Discrete Time Sine Map. Appl. Sci. 2021, 11, 437. [Google Scholar] [CrossRef]
- Manera, M. Perspectives on Complexity, Chaos and Thermodynamics in Environmental Pathology. Int. J. Environ. Res. Public Health 2021, 18, 5766. [Google Scholar] [CrossRef] [PubMed]
- Ding, Z.; Yi, G.; Tam, V.W.; Huang, T. A system dynamics-based environmental performance simulation of construction waste reduction management in China. Waste Manag. 2016, 51, 130–141. [Google Scholar] [CrossRef] [PubMed]
- Zhao, Y.; Wang, W.; Ni, Y. EPR system based on a reward and punishment mechanism: Producer-led product recycling channels. Waste Manag. 2020, 103, 198–207. [Google Scholar] [CrossRef]
- Chapman, A.; Fujii, H.; Managi, S. Key drivers for cooperation toward sustainable development and the management of CO2 emissions: Comparative analysis of six Northeast Asian countries. Sustainability 2018, 10, 244. [Google Scholar] [CrossRef] [Green Version]
Publisher’s Note: MDPI stays neutral with regard to jurisdictional claims in published maps and institutional affiliations. |
© 2022 by the authors. Licensee MDPI, Basel, Switzerland. This article is an open access article distributed under the terms and conditions of the Creative Commons Attribution (CC BY) license (https://creativecommons.org/licenses/by/4.0/).






