Abstract
Natural herbicides based on essential oils (EOs) extracted from aromatic plants are gaining relevance in contemporary agriculture. Due to their allelopathic properties, they have an inhibitory effect on the germination and growth of different species, having, in general, the advantage of high specificity. For this reason, the analysis of the effects of these natural compounds on noxious weeds is continuously increasing. In the present study, three commercial EOs extracted from Mentha piperita L., Thymbra capitata (L.) Cav. and Santolina chamaecyparissus L. were tested on two invasive weeds with an increasing presence in southern Europe, Erigeron bonariensis L. and Araujia sericifera Brot. Five concentrations (0.125, 0.25, 0.50, 1 and 2 µL mL–1) were tested in a randomized manner for each essential oil and five replicates with 20 seeds each for E. bonariensis and 10 replicates with 10 seeds each for A. sericifera. Two higher concentrations of 4 and 8 μL mL–1 of the three EOs were applied with irrigation on the plants of the two species at the vegetative growth stage. The number of replicas for each treatment and species was 7. The results obtained confirmed the significant inhibitory effects on seed germination and early seedling development, especially in E. bonariensis; of the three EOs, peppermint had the strongest effect, completely preventing germination in both species. Multivariate analysis, performed on several morphological traits scored after one month of treatment in young plants, showed a different pattern: the highest inhibition was recorded in A. sericifera and the greatest reduction in growth in the treatment with the highest dose of Santolina EO. The results obtained revealed the efficacy of these natural compounds and the specificity of their toxicity according to the species and stage of development.
1. Introduction
Weeds cause significant losses in agriculture worldwide, as they compete with cultivated plants for light, nutrients and water. In addition to reducing yields, weeds can be toxic to livestock and hinder agricultural procedures [1]. One of the most effective weed control methods is the use of herbicides, but this is causing severe environmental problems. An additional concern is the herbicide resistance reported in many species. At least 500 weeds have been reported to be resistant to 166 conventional herbicides [2]. For this reason, interest in the use of natural products is continuously increasing, although they have been underutilised as herbicides, compared to insecticides and fungicides [3].
Natural products are an excellent solution for weed control as they are environmentally and human health-friendly, which makes them sought after by organic and conventional farming [4,5]. Herbicides obtained from essential oils (EOs) extracted from plants are an effective alternative to non-selective synthetics [6]. The chemical composition of EOs includes highly functionalised chemical classes, such as monoterpenoids, sesquiterpenoids and phenylpropanoids, amongst others [7]. EOs are produced by secretory structures, such as glands, secretory hairs, resiniferous ducts or secretory cavities [8] and are abundant in aromatic plants. Their potential use as herbicides is due to their allelopathic capacity. Allelopathy is an interspecific biological interaction in which one species restrains the development of other species by producing natural chemical compounds with inhibitory effects on seed germination or growth. Allelopathy plays an essential role in natural ecosystems, being involved in plant distribution and ecological succession [9,10]. The majority of allelochemicals produced by higher plants and microorganisms originate from the acetate or the shikimate pathway [11,12]. Normally, plant phenolics derive from the shikimate pathway and terpenoids are originated on the mevalonate pathway (also called isoprenoid pathway) [12,13]. The allelochemicals cinnamic acid and benzoic acid are phenolic acid derivatives while 1,8-cineole is a terpenoid [14]. Herbicidal activity of EOs have been object of many recent studies, as those extracted from Eucalyptus species [15,16] and for Citrus aurantiifolia more recently [17].
Labiates, plants of the Lamiaceae family, are well-known for their strong allelopathic effects [18,19,20,21,22,23]. They contain high concentrations of volatile compounds, responsible for their aroma, which favour their competitivity in their natural habitats [5,24,25,26,27]. Mentha × piperita L., known as peppermint, is a sterile hybrid between water mint (Mentha aquatica L.) and spearmint (Mentha spicata L.), which occurs spontaneously in temperate regions of Europe. Due to its richness in aromatic components, it has been artificially cultivated since the 17th century, when it was first obtained in a controlled manner in England [28]. It grows in the wild in Europe and propagates vegetatively. The hybrid is one of the most widely cultivated mint species [29]. It is a plant widely used since ancient times, as a dried drug, peppermint water, pure EO, menthol and its derivatives, in the treatment of respiratory, stomach and liver diseases, cardiac disorders and hypertension; specifically, the oil and menthol possess antiseptic and antispasmodic properties [30]. It is appreciated for its use in the food, cosmetic and pharmaceutical industries. Peppermint EO is considered one of the most important oil plants in terms of production worldwide [31]. The chemical composition of peppermint EO includes primarily menthol (40.7%) and menthone (23.4%), as well as alcohols, phenols, monoterpenes, and other compounds [32].
Thymbra capitata (L.) Cav. (Lamiaceae), known under the common name of Mediterranean thyme, is a subshrub up to 60 cm tall with small flowers grouped in dense, terminal, capituliform inflorescences. The species has a Circum-Mediterranean distribution and is found in scrub and thyme bushes, sometimes with a pioneer character, on stony sites, rocks or slopes on limestone, marl or clay soils, even on sandy soils in pine forests [33]. The EO of this species is characterised by high levels of carvacrol, with values always between 40 and 80% [34], and small amounts of thymol [35]. The EO of T. capitata has shown phytotoxic effects on seed germination and seedling growth of various species [36] and a high herbicidal potential against important weeds [37].
The genus Santolina (Asteraceae) is represented by 20 accepted species from the Mediterranean area [38]. Santolina chamaecyparissus L., commonly known as cotton lavender, is a small subshrub up to 45 cm tall, densely tomentose and aromatic. It is naturally distributed in the central, southern, and eastern parts of the Iberian Peninsula on limestone soils [39]. It is cultivated as a medicinal herb in Europe, Asia and Africa due to the anthelmintic and antispasmodic properties of the infusion prepared from the leaves and flower heads [38]. The main components of the EO are Artemisia ketone (32 to 38.1%), camphor (11.7%), β-phellandrene (9.2%), 1,8-cineole (15.6%) and myrcene (14.5%) [40,41]. The EO components are highly variable; the existence of different subspecies may be one of the factors responsible for the differences, together with the geographical origin of the plant material [41].
The present study evaluated the effects of the EOs of the three species mentioned above, M. piperita, T. capitata and S. chamaecyparissus, on two weeds prejudicial to crops and natural habitats in Southern Europe, Erigeron bonariensis L. and Araujia sericifera L. Erigeron bonariensis [syn. Conyza bonariensis (L.) Cronquist], belonging to the Asteraceae family, is native to areas with a temperate climate in South America and was first described to be from Argentina and reported in Europe as early as 1700 [42]. Due to its invasiveness, it has spread, presenting mainly a Mediterranean distribution, but expanding to other regions, such as Eastern Europe [43,44]. It can affect many different crops, being one of the most difficult weeds to control in minimum tillage farming systems [45] because there it finds a suitable environment for seed germination and survival [46]. Erigeron species were the first broadleaf weeds that evolved glyphosate resistance [47]. Erigeron bonariensis has evolved resistance not only to glyphosate (group 9 of the mode of action groups of herbicides) but also to herbicides of groups 2 (inhibition of acetolactate synthase, such as chlorsulfuron) and 22 (photosynthesis inhibitors–photosystem I (PSI) inhibitors), which includes diquat and paraquat [2,48].
Araujia sericifera Brot. (Apocynaceae) is a woody evergreen vine native to South America. It was introduced as an ornamental plant in Europe, but at present, it is spread throughout southern Europe, Africa, North America and South America, Australia, and New Zealand. It occupies riverbanks and canal sides, green urban areas, including parks, gardens, sport and leisure facilities, road and rail networks and associated land, but also permanent crops, such as vineyards and fruit orchards [49,50].
The aim of this study was to investigate the potential use of essential oils obtained from Mentha × piperita, Thymbra capitata and Santolina chamaecyparissus on the noxious weeds Erigeron bonariensis and Araujia sericifera. The effects of the three essential oils on seed germination and seedling development as well as their long-term application on growth parameters of the two species were analysed.
2. Materials and Methods
2.1. Plant Material and Tested Essential Oils
Seeds of Erigeron bonariensis L. (flaxleaf fleabane) were collected from horticultural crop fields located in L’Alcudia (Valencia province, Spain) in 2021. Seeds of Araujia sericifera Brot. (moth plant) were collected from an organic tangerine orchard situated in Puçol, Valencia province, Spain, in 2019. Seeds of the two species were collected from several plants and were kept in glass jars at room temperature of 20–25 °C.
Thymbra capitata (L.) Cav., Mentha × piperita L. and Santolina chamaecyparissus L. EOs were purchased from Bordas (Sevilla, Spain), Sigma-Aldrich (Darmstadt, Germany) and Ecoaromuz (Ademuz, Valencia, Spain), respectively. Their chemical composition was analysed in a previous study [37].
2.2. Effects on Seed Germination
The seeds were sown in Petri dishes of 9 cm diameter, with 20 seeds per dish and five repetitions, in the case of E. bonariensis. For A. sericifera, ten seeds per dish and ten repetitions were used due to the greater size of its seeds and seedlings. Therefore, a total of 100 seeds were used for each treatment. This protocol is standard for in vitro assays with allelochemicals [18,19,37]. Two discs of filter paper of 73 g m2 (Filter-Lab, Barcelona, Spain) were placed below the seeds and two more above them, and 5 mL of distilled water were added to wet the filters. The essential oil (EO) for each treatment was applied to the inner part of the filter paper that covered the seeds. The EOs concentrations used in the different treatments were 0 (control), 0.125, 0.250, 0.500 and 1 μL mL−1. The plates were sealed with Parafilm and placed in a germination chamber (model EGH1501HR from Equitec, Madrid, Spain), where they were incubated for 14 days, at 30 °C for 16 h in light and at 20 °C for 8 h in the dark, according to optimal conditions established in previous studies [37,51].
To evaluate the phytotoxicity, germinated seeds were counted on all the plates at 3, 5, 7, 10 and 14 days. In addition, digital images were obtained from all the plates on which germinated seeds were present to subsequently measure their length (hypocotyl and radicle) by Digimizer v.4.6.1 software (MedCalc Software, Ostend, Belgium, 2005–2016).
2.3. Effects on Plant Growth
Plant material was obtained by germination of seeds in standard Petri dishes with filter paper moistened in water. After two weeks, germinated seeds were transferred to a substrate containing a mixture of peat, perlite, and vermiculite (2:1:1) in 0.5 L pots (11 cm diameter) placed in plastic trays and watered twice a week with half-strength Hoagland solution [52]. The trays were maintained in a phytotron under long-day photoperiod (16 h of light and 8 h of darkness) conditions, and temperatures of 23 °C during the day and 17 °C at night. Relative humidity ranged between 50 and 80%. Different treatments were applied three weeks after transplantation, using seven plants per treatment. All plants at the initiation of the treatments were in the stage of vegetative growth (developmental stage 33 according to the BBCH scale) and had a similar size. The essential oils were kept in contact with the plants throughout the experiment and applied by irrigation. Plants were watered twice a week, those from the control treatment with 2.5 L tap water added to the trays (1.5 L per tray), and plants from the treatments with EOs the same volume of water containing EOs of T. capitata, M. × piperita, and S. chamaecyparissus at final concentrations of 4 and 8 μL mL−1. EO water emulsions were prepared using 0.5 mL L−1 of the emulsifier Fitoil (Xeda, Italy). The following growth parameters were analysed after one month, once the treatments were finalised: stem length (SL), leaf number (LN), leaf area (LA), fresh weight of leaves (FWL) and roots (FWR), water content of leaves WCL) and roots (WCR). For calculating this latter parameter, a fraction of the sampled material (separately for roots and leaves) was placed in an oven at 65 °C for several days and then weighed again. The water content of roots and leaves was calculated according to the formula:
WC (%) = [(FW − DW)/FW] × 100
2.4. Statistical Analysis
The registered data of the seeds and seedlings were processed as the mean of the traits and standard error of the mean (SE). Analysis of variance (ANOVA), one-way ANOVA and three-way ANOVA (for estimating the interactions between species × oils × concentrations) were applied to the analysed traits. Germination percentages were previously arcsine transformed. A post hoc test was used to analyse differences if the null hypothesis was rejected. Multiple comparisons were applied using Duncan Multiple Range Test (Duncan’s MRT, p < 0.05). To analyse the data on seed germination under the effect of the applied treatments and the evolution of germination, the regression equations, the coefficients of determination, and the correlation coefficients were calculated. Pearson correlation coefficients were calculated for the main characteristics of the seedlings, according to the treatments applied with oils to inhibit growth (alpha < 0.05) using Past software [53].
3. Results
3.1. Effects of Essential Oils on Seed Germination
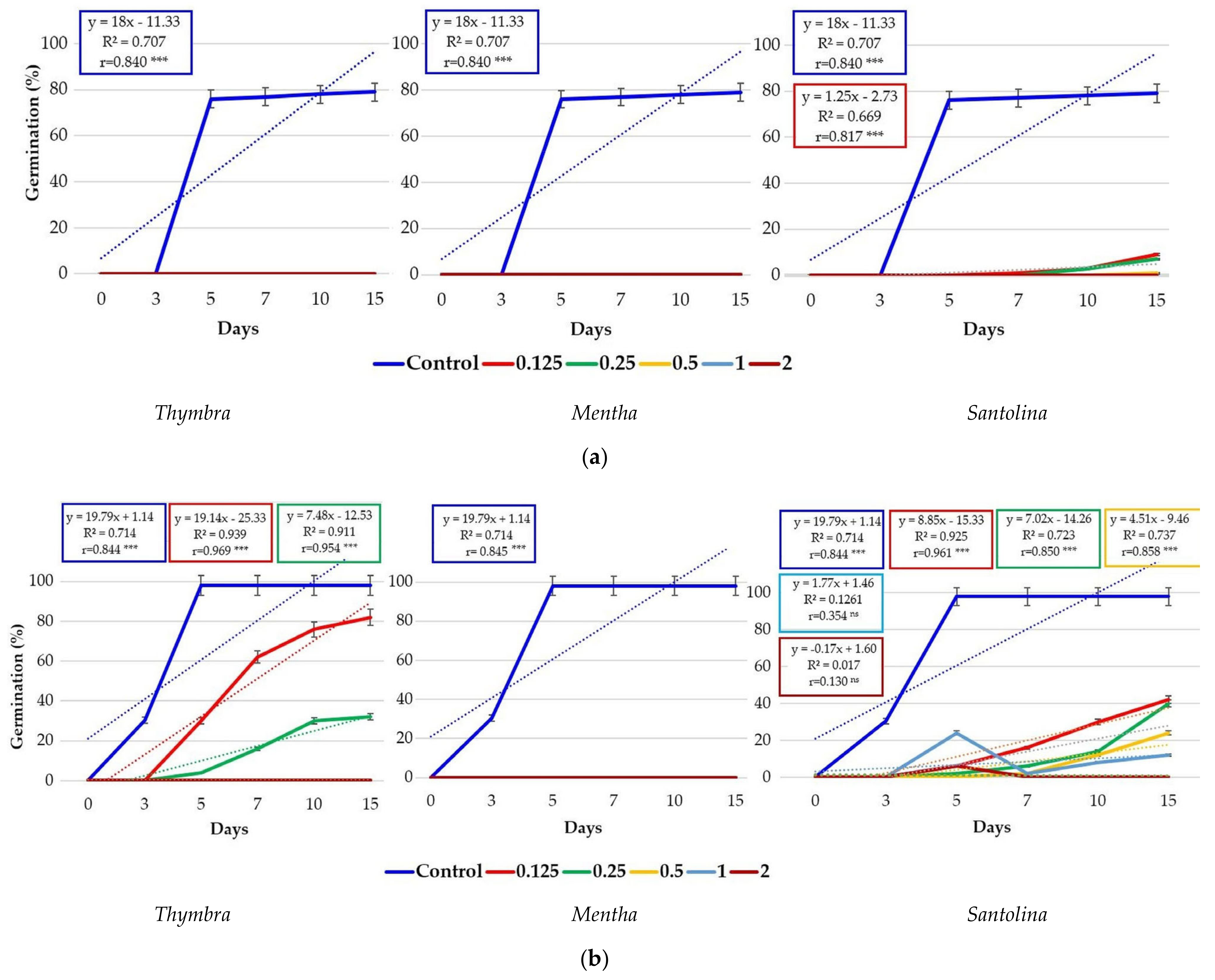
The three EOs applied had an inhibitory effect on the percentage and speed of germination. However, differences were found between the two species and between the effects of the three natural compounds. The reduction in germination was lesser in A. sericifera than in E. bonariensis, as in the latter, seed germination was completely inhibited by the peppermint and Mediterranean thyme EOs. Of the three, the most potent effect was that of Mentha, which completely inhibited germination of the two species, even at the lowest applied concentration of 0.125 μL mL−1. Thymbra capitata EO inhibited the germination of E. bonariensis at all applied concentrations and that of A. sericifera at 0.5 μL mL−1 or higher concentrations. Seeds of E. bonariensis germinated only in the treatment with Santolina up to 0.5 μL mL−1 when only 1% of the seeds germinated. Figure 1 shows the evolution of seed germination in E. bonariensis (Figure 1a) and A. sericifera (Figure 1b) over 15 days of observation. The regression equations and the regression line have an upward trend in the germinated seeds. In both species, control seeds, untreated with inhibitory EOs, germinated very quickly. Basically, germination took place until the fifth day, in a proportion of almost 80% in E. bonariensis and close to 100% in A. sericifera. The coefficient of determination indicates a large proportion of the variance of the dependent variable (germination) that is predictable from the independent variable (the number of days in which the germination was analysed). The coefficient of determination revealed a good fit of the regression model with the observed data of the control. In the species E. bonariensis, 84.0% of the data fit the regression model, and in A. sericifera, 71.4%.
Figure 1.
The influence of Thymbra, Mentha and Santolina essential oil treatments on the evolution of seed germination, in days, in E. bonariensis (a) and A. sericifera (b). The color of the rectangles framing the regression equations, coefficient of determination (R2) and the correlation coefficient (r) correspond to the colors of the treatments indicated in the graphs. *** Significant p < 0.001; ns Not significant.
In A. sericifera, peppermint (Mentha) EO prevented seed germination at all concentrations. Thymbra EO completely inhibited seed germination at the three highest concentrations (0.5, 1.0, 2.0 μL mL−1), but the seeds germinated at concentrations of 0.25 (32%) and 0.125 μL mL−1 (82%). Santolina EO prevented germination only at the maximum concentration tested (2.0 μL mL−1); at lower concentrations, the germination was between 12% (at 1.0 μL mL−1) and 42% (at 0.125 μL mL−1). The correlation coefficients between the germination percentage and the number of days in which the germination process was analysed were highly significant, except for the concentrations of 1.0 and 2.0 μL mL−1 of Santolina EO in the A. sericifera species.
In both E. bonariensis and A. sericifera species, regardless of the EO used (Thymbra, Mentha or Santolina), the regression equations between the EO concentrations and the germination rate of the seeds were negative (Figure 2a,b). The most pronounced, descending trend of the regression line was recorded in A. sericifera when the Thymbra and Santolina EOs treatments were applied. In these two cases, the variation in the dependent variable, namely germination, predicted by the independent variable, namely EO concentration, was 50.5% for Thymbra treatments and 60.1% for Santolina treatments.
Figure 2.
The influence of essential oil concentration of Thymbra, Mentha and Santolina on the seed germination of the species E. bonariensis (a) and A. sericifera (b). The regression equation and the coefficient of determination (R2) are presented in the boxes.
When analysing the effect on seedling growth, the three EOs induced pronounced effects. Table 1 shows the final values after two weeks of germination in the two species. The strongest effect was again noticed in the development of E. bonariensis with a reduction of 14-fold in seedlings from the treatments with Santolina EO at 0.125 and 0.25 μL mL−1. In Araujia, the EO of Thymbra induced a ca. two-fold reduction in germination at the concentration of 0.125 μL mL−1 and about 7-fold at 0.25 μL mL−1 and that of Santolina had a more pronounced effect, although germination continued up to higher concentrations.
Table 1.
Influence of three treatments with essential oils extracted from Thymbra, Mentha and Santolina at different concentrations (in μL mL−1) on seedling length (mm, as mean ± SE) in the species E. bonariensis and A. sericifera.
Seeds and seedlings are considerably larger in A. sericifera (Figure 3a) than in E. bonariensis (Figure 3b). For this reason, only in the latter was it possible to distinguish between radicle and hypocotyl when analysing the seedling growth.
Figure 3.
Seedlings from control treatments in A. sericifera (a) and E. bonariensis (b). Bar 2 cm.
The EOs affected not only the size of the seedlings but also their growth rate. When comparing the effect of Thymbra EO with the control, the lowest concentration produced a delay of about three days in the development of the radicle and of five days in that of the hypocotyl. Seeds germinated up to 0.250 μL mL−1, but the delay in seedling development was even more pronounced under this concentration, with the hypocotyl developing only at the end of the assay (Figure 4).
Figure 4.
Development of Araujia sericifera seedlings in control (a), under 0.125 μL mL−1 (b), and 0.250 μL mL−1 Thymbra essential oil (c).
Although the Santolina EO did not inhibit the germination as much as the other two, the effect on seedling growth was strong even at the lowest concentration applied, as shown in Figure 5. The reduction in seedling length and development velocity increased in parallel to the EO concentration applied.
Figure 5.
Development of Araujia sericifera seedlings in control (a), under 0.125 μL mL−1 (b), 0.250 μL mL−1 (c), 0.50 μL mL−1 (d), and 1.00 μL mL−1 (e) Santolina essential oil.
3.2. Effects of Essential Oils on Plant Growth
The effect of the EOs during vegetative growth was different from that during germination, and the species most affected was A. sericifera, as shown in Figure 6. In this species, all growth parameters analysed suffered a significant reduction under the effect of the three EOs. A reduction in the fresh weight of roots and leaves and number of leaves was also noticed in Erigeron, although this was not so pronounced. The strongest effect on growth parameters was produced by Santolina EO (Figure 6), which at the highest concentration applied (8 μL mL−1) produced a reduction of 3.2-fold of root fresh weight and 7.7-fold of leaf fresh weight in A. sericifera; the corresponding values were 1.9 and 1.4-fold reduction, respectively, in E. bonariensis.
Figure 6.
Effect of Santolina essential oil on the vegetative growth of E. bonariensis (a) and A. sericifera (b).
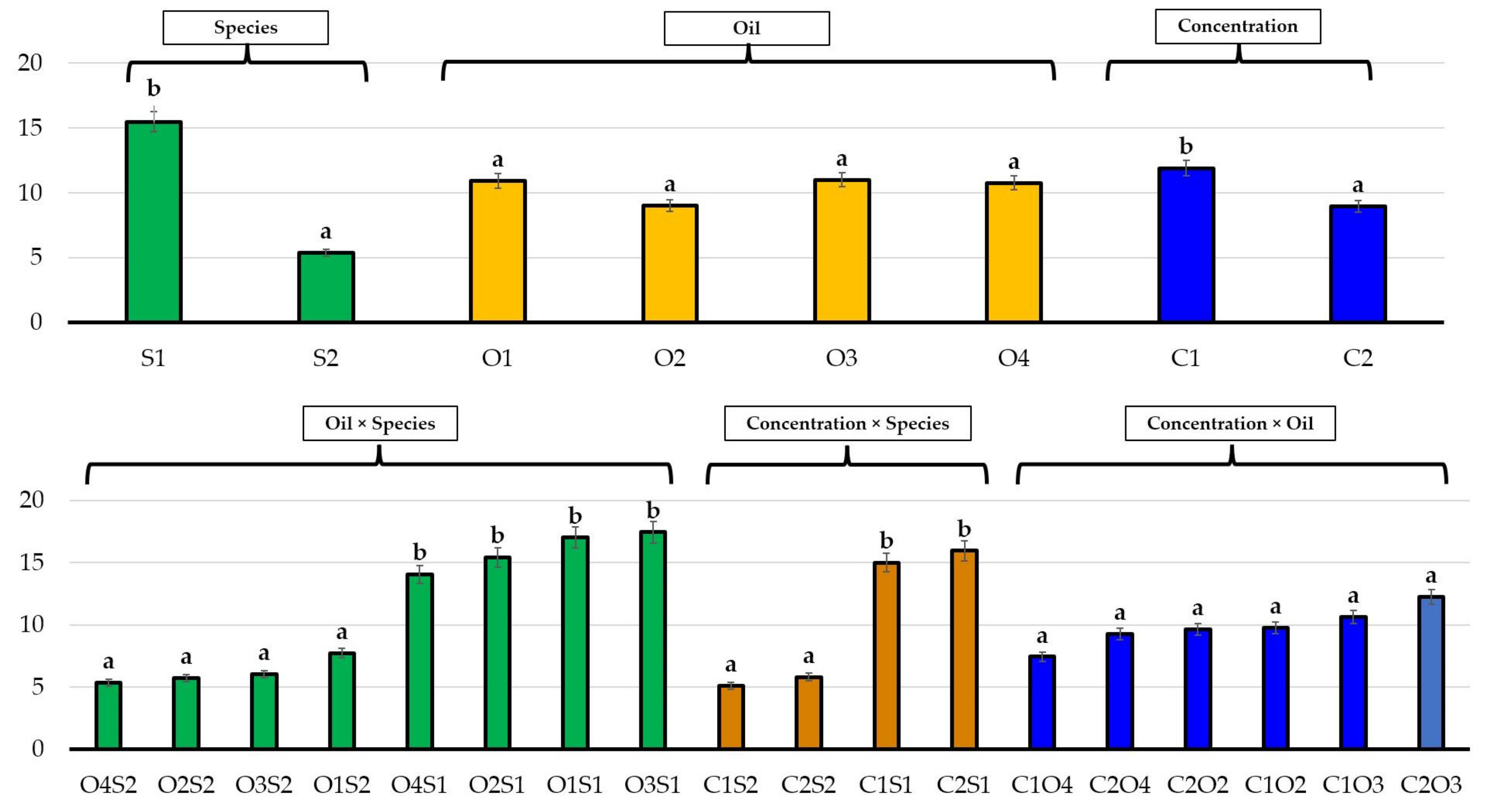
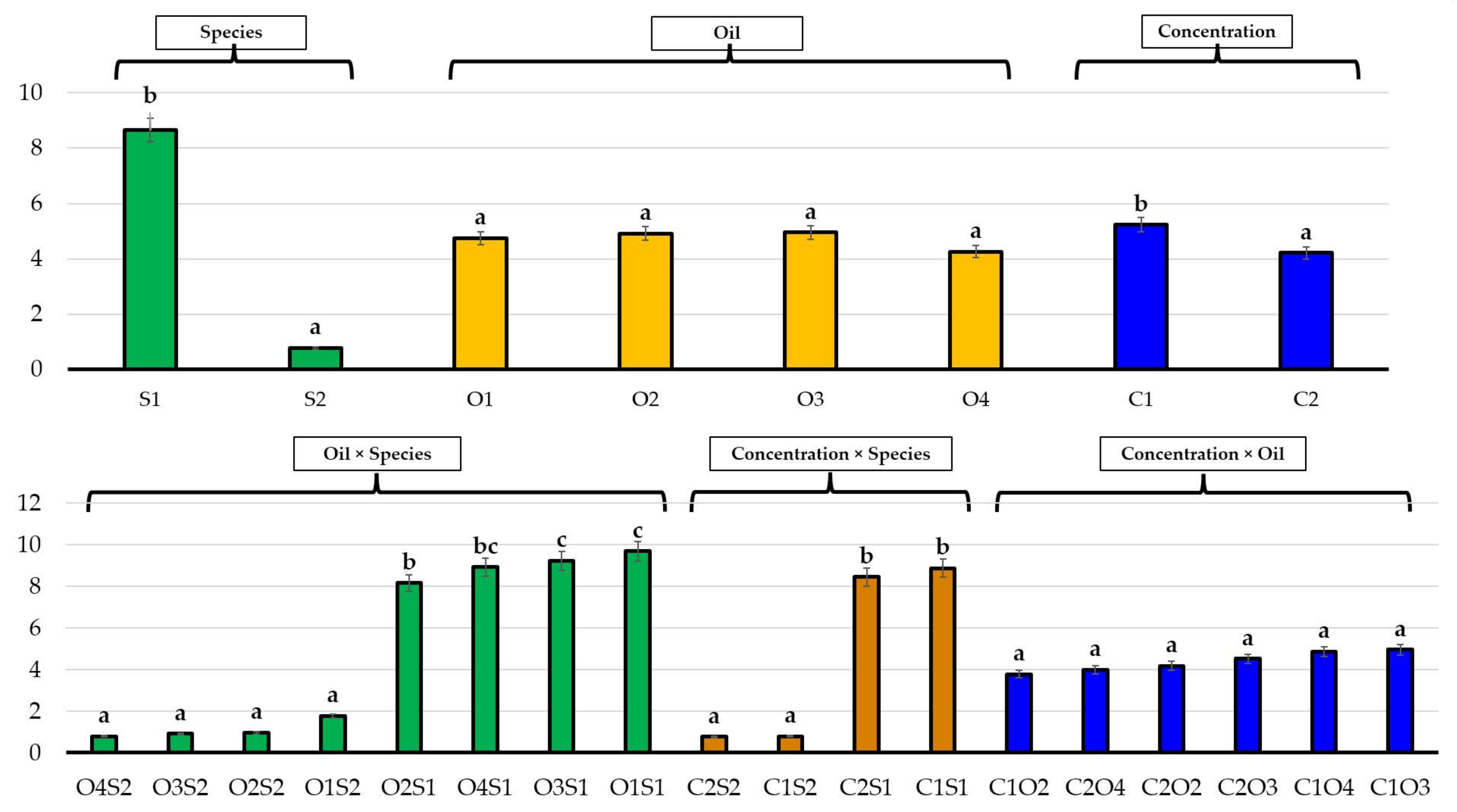
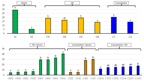
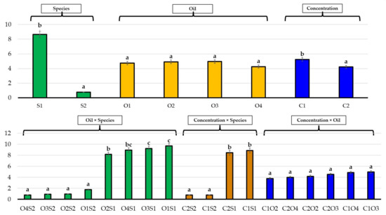
The unilateral influence of each experimental factor (species, EO, and concentration) and the combined influence of experimental factors, grouped in pairs, on the stem length (in cm) are shown in Figure 7. On the whole experiment, all the combinations between the three experimental factors and their graduations, the seedlings of the species E. bonariensis had values superior to A. sericifera, approximately three times. Apart from the species and the concentration of the EO, between the treatments with the three types of EOs (Thymbra, Mentha and Santolina) and the control (untreated variant), no significant differences were registered on the stem height. As an analysed individual factor, the EO concentration registered fundamental differences; the higher concentration (8 μL mL−1) caused a significant decrease in the stem length compared to the lower dose (4 μL mL−1).
Figure 7.
The influence of experimental factors on the stem length (SL): Unilateral influence of the species (S: S1—E. bonariensis; S2—A. sericifera), oil (O: O1—no oil/control; O2—Thymbra; O3—Mentha; O4—Santolina) and its concentration (C: C1—4 μL mL−1; C2—8 μL mL−1) (above); the combined influence of two experimental factors (O × S; C × S; C × O) (bottom). Within each treatment marked under accolade, significant differences between means are illustrated with different letters (Duncan’s Multiple Range Test, α < 0.05).
In the interaction between the EO used as an inhibitor and the species (pair type 2 × 4), there were significant differences due to the species. However, in each species, no differences were reported induced by using a particular type of EO or the lack of EO in control.
Considering the interaction between the two species and the two concentrations of the EOs used, only the species influenced the length of the stem, but not the concentration, nor their interaction.
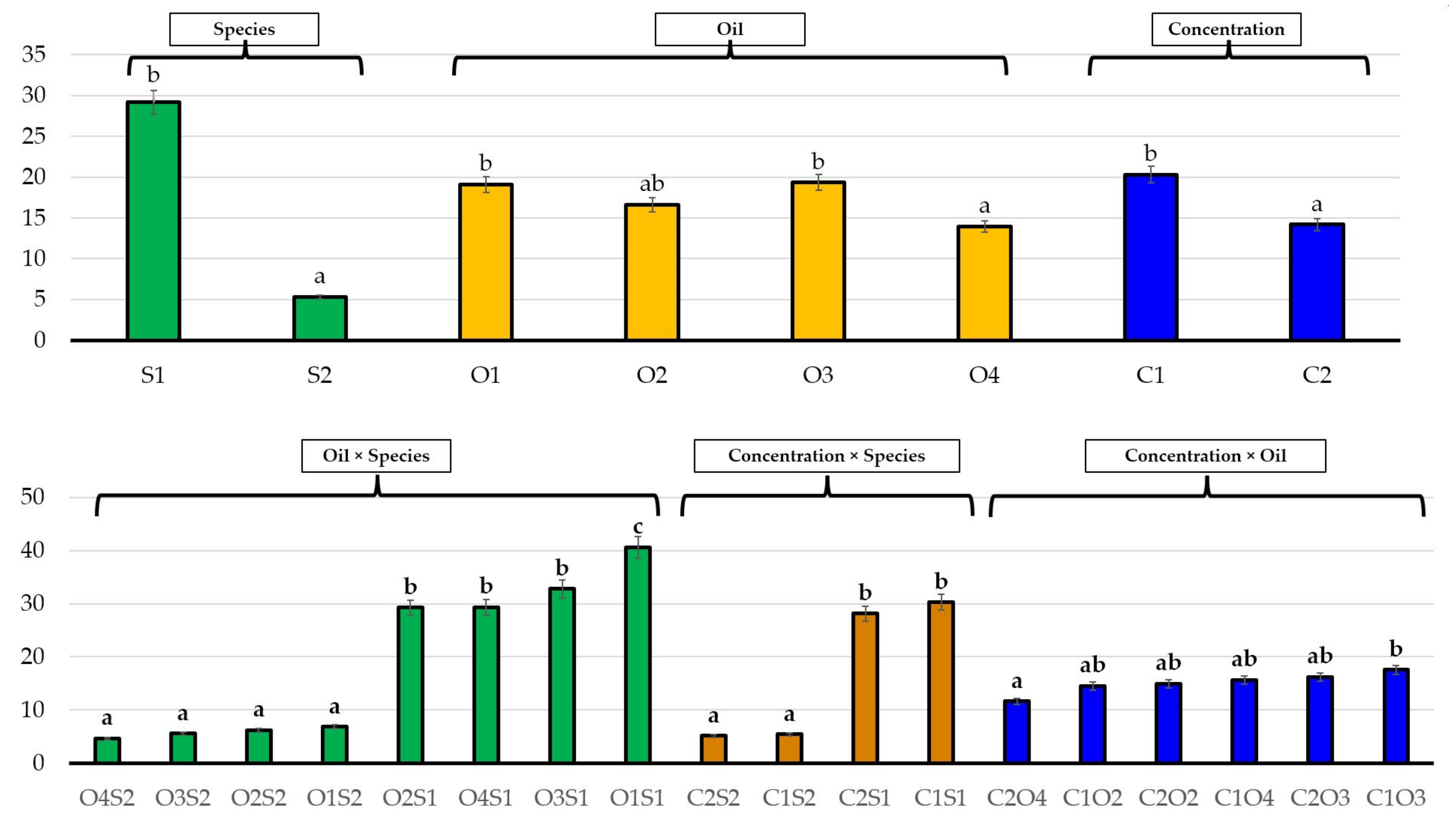
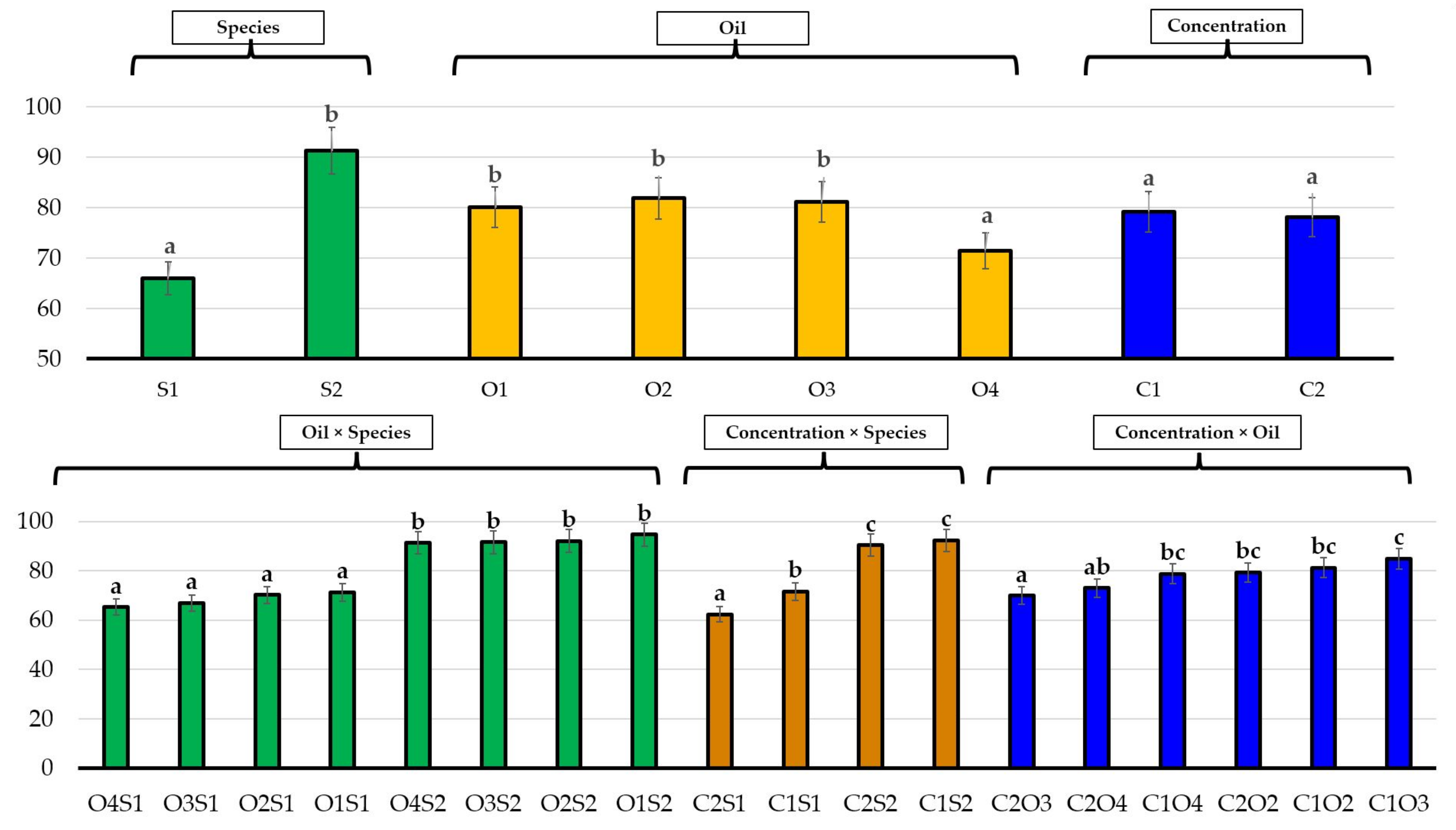
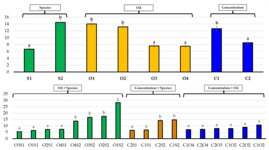
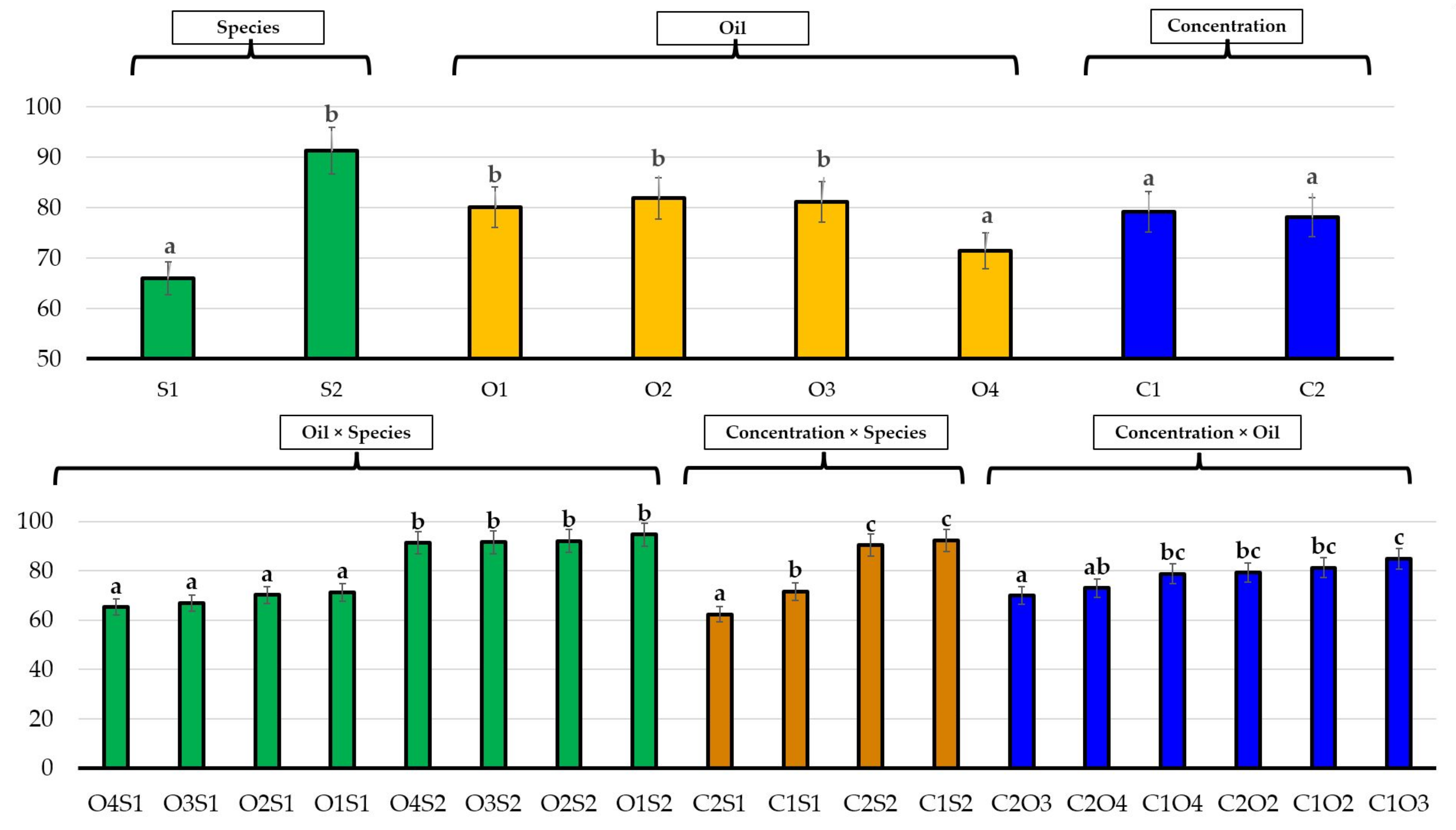
The difference in vigour between the two species, superior in E. bonariensis compared to A. sericifera, is clearly manifested in the whole experience for the mean number of leaves per plant (Figure 8). In contrast to the length of the stem, which was not unilaterally influenced by the EO treatments, the number of leaves per plant was significantly reduced, at least by Santolina treatment. In contrast, the treatments with Thymbra and Mentha EOs did not cause an actual decrease in the character compared to the untreated control. The concentration of the EOs used directly affected the character: the higher concentration, 8 μL mL−1, significantly reduced the number of leaves per plant, compared to the lower concentration, 4 μL mL−1.
Figure 8.
The influence of experimental factors on the leaf number (Lno): Unilateral influence of the species (S: S1—E. bonariensis; S2—A. sericifera), oil (O: O1—no oil/control; O2—Thymbra; O3—Mentha; O4—Santolina) and its concentration (C: C1—4 μL mL−1; C2—8 μL mL−1) (above); the combined influence of two experimental factors (O × S; C × S; C × O) (bottom). Within each treatment marked under accolade, significant differences between means are illustrated with different letters (Duncan’s Multiple Range Test, α < 0.05).
The combined influence of the EO concentration × species was manifested only at the level of the species, not between the two concentrations. Among the six combinations resulting from the concentration × EO interaction, significant differences were recorded between C2O4 and C1O3.
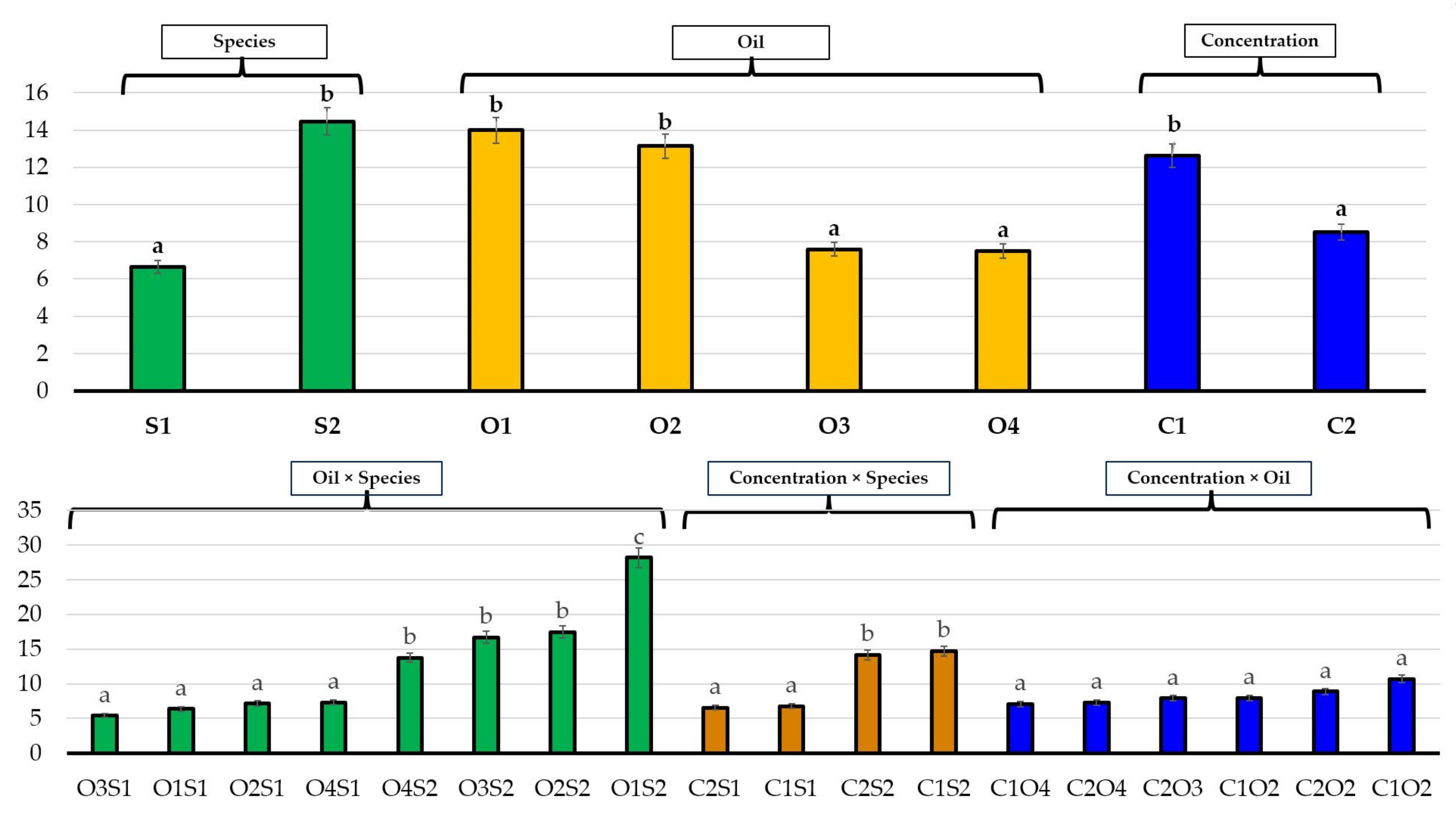
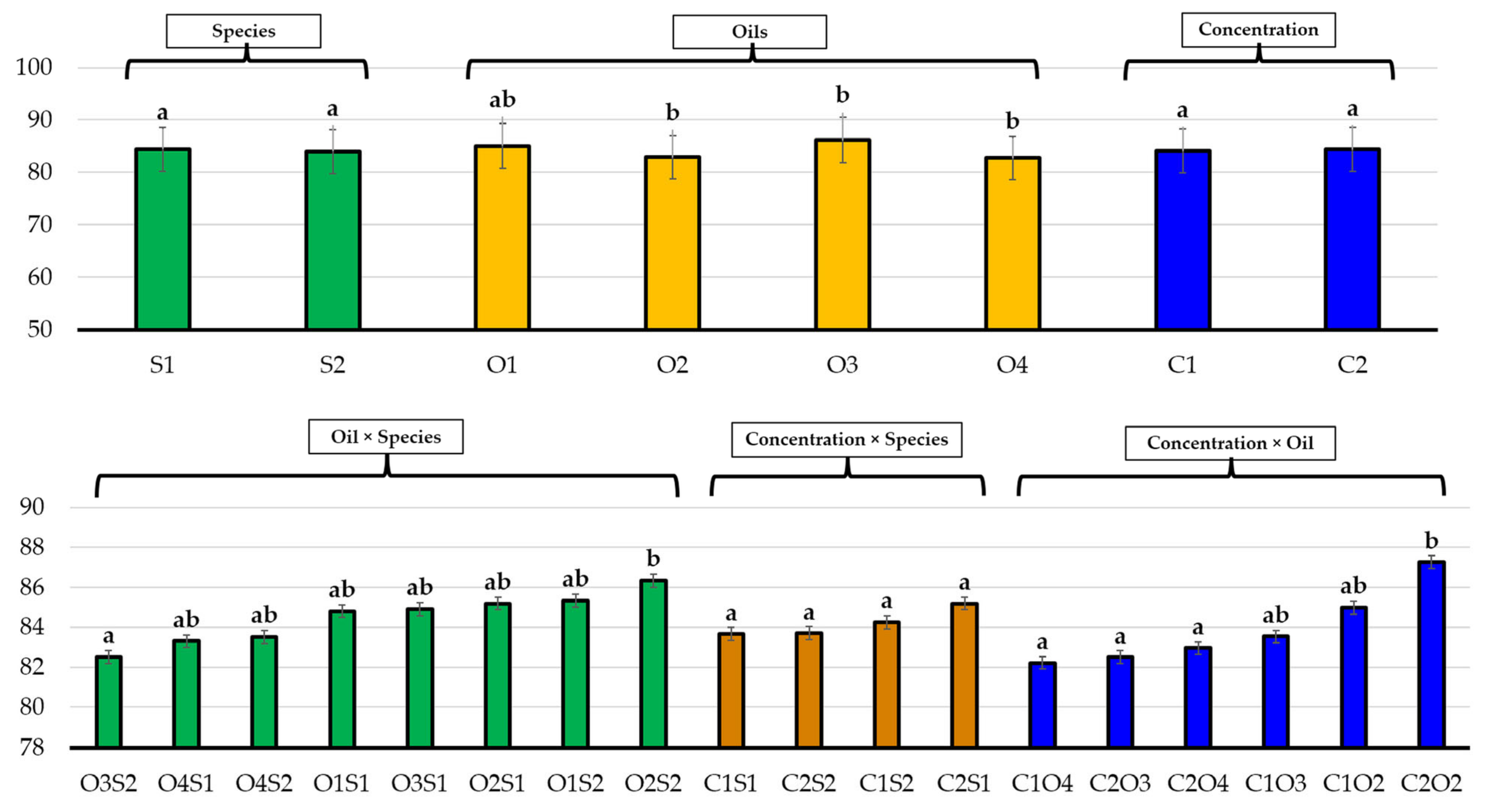
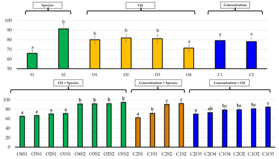
For the leaf area, each experimental factor significantly influenced its own graduations (Figure 9). There were significant differences not only between the species but also between the types of EOs used and their concentrations. There were no significant differences between O2 (Thymus) and control (untreated), but both influenced a higher leaf area compared to O3 (Mentha) and O4 (Santolina) treatments. The increased concentration of oils (C2) induced a smaller leaf area increase than C1.
Figure 9.
The influence of experimental factors on the leaf area (LA): Unilateral influence of the species (S: S1—E. bonariensis; S2—A. sericifera), oil (O: O1—no oil/control; O2—Thymbra; O3—Mentha; O4—Santolina) and its concentration (C: C1—4 μL mL−1; C2—8 μL mL−1) (above); the combined influence of two experimental factors (O × S; C × S; C × O) (bottom). Within each treatment marked under accolade, significant differences between means are illustrated with different letters (Duncan’s Multiple Range Test, α < 0.05).
Two of the interactions between the pairs of experimental factors showed significant influences on the leaf surface. Some uniformity of character was recorded in the combination of E. bonariensis (O_S_) with the three types of EOs. However, they did not show significant differences compared to the lack of EO (control treatment). In contrast, such a difference was obtained in A. sericifera, in which the EOs (O4S2, O3S2, O2S2) significantly reduced leaf growth compared to the lack of treatment (O1S2). In the interaction between concentration × species, significant differences were induced at the species level; at both concentrations, the character showed close average values within the species.
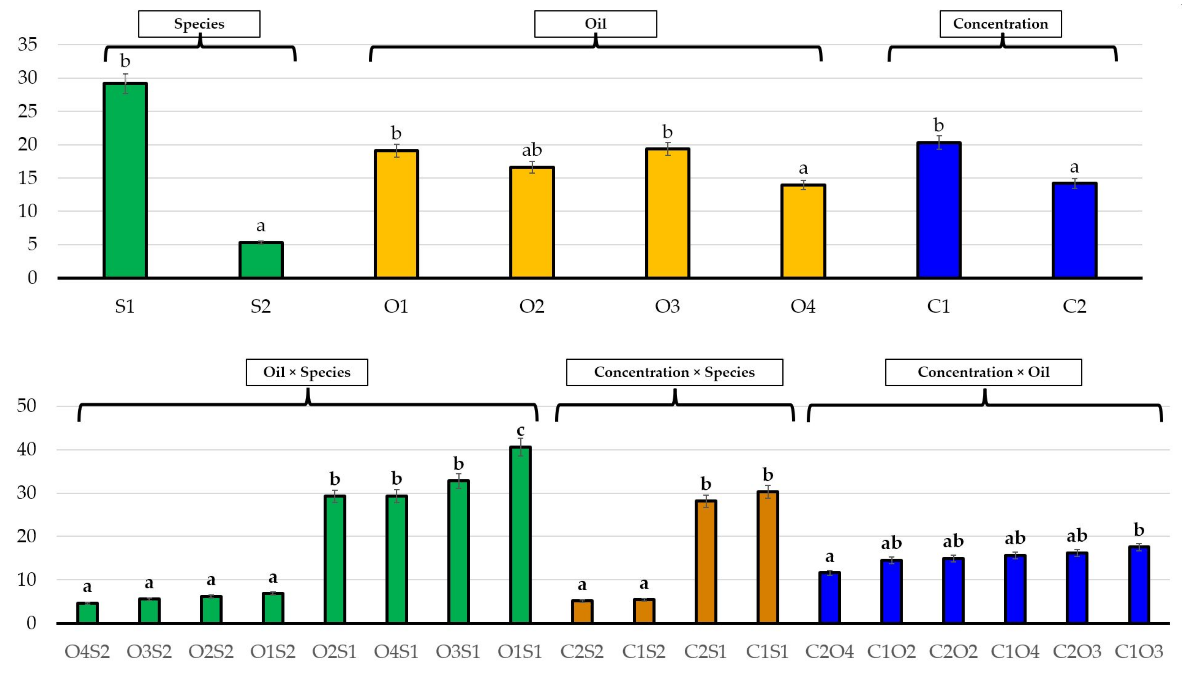
The influence of experimental factors on the root (Figure 10) and leaf (Figure 11) fresh weights were similar. As a difference, it was noted that in the roots fresh weight, there were significant deviations of the means due to the unilateral effect of the EO treatment, unlike the fresh weight of leaves, in which there were no significant changes between the three types of EOs used, or between them and the untreated control. The fresh weight of roots was not influenced by the type of EO treatment.
Figure 10.
The influence of experimental factors on the roots fresh weight (FWr): Unilateral influence of the species (S: S1—E. bonariensis; S2—A. sericifera), oil (O: O1—no oil/control; O2—Thymbra; O3–Mentha; O4—Santolina) and its concentration (C: C1—4 μL mL−1; C2—8 μL mL−1) (above); the combined influence of two experimental factors (O × S; C × S; C × O) (bottom). Within each treatment marked under accolade, significant differences between means are illustrated with different letters (Duncan’s Multiple Range Test, α < 0.05).
Figure 11.
The influence of experimental factors on the fresh weight of leaves (FWl): Unilateral influence of the species (S: S1—E. bonariensis; S2—A. sericifera), oil (O: O1–no oil/control; O2—Thymus; O3—Mentha; O4—Santolina) and its concentration (C: C1—4 μL mL−1; C2—8 μL mL−1) (above); the combined influence of two experimental factors (O × S; C × S; C × O) (bottom). Within each treatment marked under accolade, significant differences between means are illustrated with different letters (Duncan’s Multiple Range Test, α < 0.05).
The combined influence of each pair of the two experimental factors is similar on the roots’ fresh weight and the fresh weight of leaves, in the case of concentration × species and concentration × EO combinations. Regarding the interaction between EO × species, there was a slight difference registered only for E. bonariensis: Santolina caused a significant reduction in root fresh weight compared to the control, and treatment with Thymbra EO resulted in a significant reduction in the fresh weight of leaves.
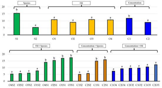
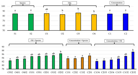
Figure 12 illustrates that the unilateral influence of experimental factors on the water content of roots is evident for the species, as well as for the treatments with the EOs. In contrast, there were no significant differences between the two concentrations.
Figure 12.
The influence of experimental factors on the water content of roots (WCr): Unilateral influence of the species (S: S1—E. bonariensis; S2—A. sericifera), oil (O: O1—no oil/control; O2—Thymbra; O3—Mentha; O4—Santolina) and its concentration (C: C1—4 μL mL−1; C2—8 μL mL−1) (above); the combined influence of two experimental factors (O × S; C × S; C × O) (bottom). Within each treatment marked under accolade, significant differences between means are illustrated with different letters (Duncan’s Multiple Range Test, α < 0.05).
In the interaction of concentration × species, there were no significant differences between the two concentrations in A. sericifera; however, the water content of the roots was significantly lower in E. bonariensis. In this species, the concentration of 8 μL mL−1 determined a lower water content in the roots than the 4 μL mL−1 concentration. The combined effect of concentration × EO ensured the lowest root water content in the combination C2 × O3 (concentration of 8 μL mL−1 × Mentha oil) and, interestingly, the highest water content in the combination C1 × O3 (concentration of 4 μL mL−1 × Mentha oil).
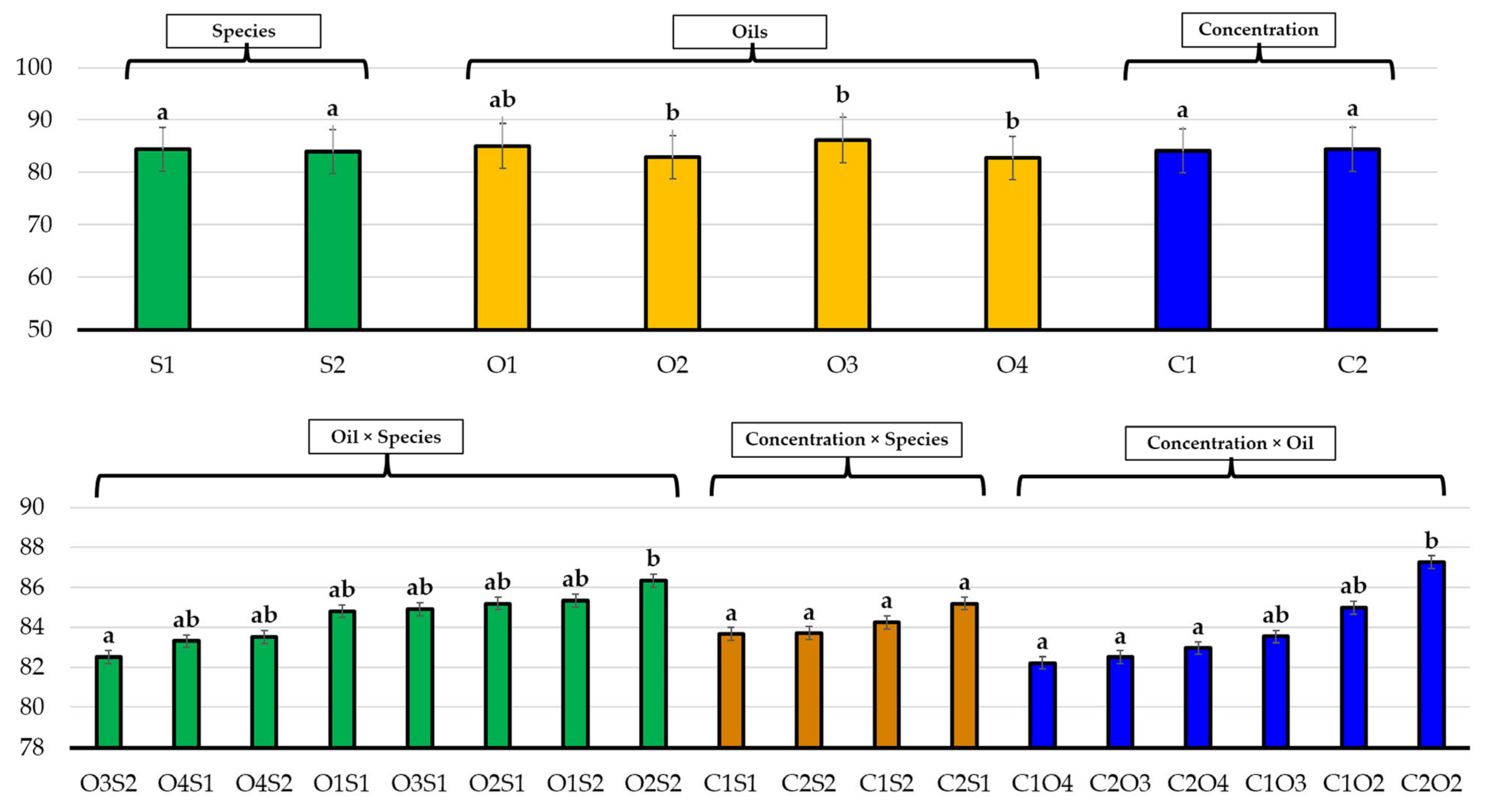
The water content of the leaves (Figure 13) was close in the unilateral analysis of the species, EO treatments and EO concentration. Therefore, in each of the individual experimental factors, its graduations did not significantly influence this parameter. In the interactions between two experimental factors, Duncan MRT highlighted the differences between oil × species, where the only significant differences were between O3S2–O2S2. In the interaction between the concentration × EO, the lowest water content of the leaves was recorded at C1O4, C2O3, C2O4, all with significantly lower differences than C2O2 (treatment with a concentration of 8 mL of Thymus EO), but nonsignificant compared to C1O3 and C1O2.
Figure 13.
The influence of experimental factors on the water content of leaves (WCl): Unilateral influence of the species (S: S1—E. bonariensis; S2—A. sericifera), oil (O: O1—no oil/control; O2—Thymbra; O3—Mentha; O4—Santolina) and its concentration (C: C1—4 μL mL−1; C2—8 μL mL−1) (above); the combined influence of two experimental factors (O × S; C × S; C × O) (bottom). Within each treatment marked under accolade, significant differences between means are illustrated with different letters (Duncan’s Multiple Range Test, α < 0.05).
Regarding the interactions between species, the EO used as a growth inhibitor and its concentration exerted a considerable effect on all the analysed characteristics (Table 2). For the main morphological characteristics of the plants, there was an apparent differentiation of the average values between the two species. Erigeron bonariensis registered values of stem length and number of leaves higher than A. sericifera. In E. bonariensis, compared to stem length in the untreated control (S1O1, with 17.01 cm), EO treatments influenced a reduction in growth from 17.01 cm in control (S1O1) to a minimum of 11.77 cm, in E. bonariensis treated with 4 μL mL−1 Santolina EO. combination), with other significant differences depending on EOs and concentrations. Similarly, in A. sericifera, the stem length decreased from 7.73 cm in S2O1 (control) to a minimum value of 3.11 cm, in S2O4C1. Inhibitory EO treatments significantly reduced the number of leaves per plant only in E. bonariensis, from 40.57 (control) to 19.86 (S1O4C2), but not in A. sericifera. Of the two species analysed, the leaf area was dramatically reduced in A. sericifera in all treatment combinations (S × O × C), from 28.16 mm2 in control to 6.51 mm2 in the S2O4C1 combination. Root and leaf fresh weights showed relatively uniform values in A. sericifera. However, the combined effect of EOs and concentrations led to reductions in average values in some combinations up to three times (e.g., roots fresh weight in A. sericifera plants treated with the Santolina EO), or more than four times for the fresh weight of leaves in the same plants).
Table 2.
The effect of interactions between species, the essential oil used as a growth inhibitor and its concentration on the main morphological characteristics of the plants.
The water content of the roots was significantly influenced in the species E. bonariensis, in which the EO treatment and the related concentrations reduced the average values obtained. In contrast, the combinations of factors in A. sericifera determined relatively close mean values in all factor combinations, with no fundamental differences. The water content of the leaves did not fluctuate strongly, but there were still some significant differences between the different combinations analysed. These did not occur at the species level but were instead due to the interactions between species × EO × concentration
In E. bonariensis, close, positive correlations (‘r’ values significant at α < 0.05) were identified between the following characteristics: stem length–root fresh weight; the number of leaves per plant–leaf fresh weight (Figure 14). Negative values of ‘r’ were recorded between the leaf area and the other traits analysed (except root water content), but without statistical assurance. They could illustrate an inversely proportional relationship of the respective character pairs, but not at the alpha level of 0.05.
Figure 14.
Pearson correlations between the main characteristics analysed in E. bonariensis, on the ensemble of the experiment, in the context of all the experimental factors tested (treatments, oils and concentrations). Abbreviations: LA—Leaf area; SL—Stem length; NL—Number of leaves; FWR—Fresh weight of roots; FWL—Fresh weight of leaves; WCR—Water content of roots; WCL—Water content of leaves. The correlation was significant at the 0.05 level (2-tailed), and in the boxes, the assured correlations are marked with a grey background.
In A. sericifera, all calculated values of ‘r’ were positive (Figure 15), and a higher number of significant correlations were recorded than in E. bonariensis. Directly proportional relationships were recorded between the following character pairs: stem length—leaf area; stem length—root fresh weight; stem length—leaf fresh weight; the number of leaves per plant—leaf area; the number of leaves per plant—root fresh weight; the number of leaves per plant—leaf fresh weight; leaf area–root fresh weight; leaf area—leaf fresh weight; and root fresh weight—leaf fresh weight. Therefore, the values of these correlated traits increased or decreased together in the same direction. Strong correlations (significant, either positive or negative) could be used as indirect selection indices in the analysis of plant growth under the influence of different concentrations of growth inhibitory EOs.
Figure 15.
Pearson correlations between the main characteristics analysed in A. sericifera, on the ensemble of the experiment, in the context of all the experimental factors tested (treatments, oils and concentrations). Abbreviations: LA—Leaf area; SL—Stem length; NL—Number of leaves; FWR—Fresh weight of roots; FWL—Fresh weight of leaves; WCR—Water content of roots; WCL—Water content of leaves. The correlation was significant at the 0.05 level (2-tailed), and in the boxes, the assured correlations are marked with a grey background.
4. Discussion
Aromatic plants are true biosynthetic factories of essential oils (EOs) [7] with high economic value [54,55]. In addition to their traditional medicinal uses, they have been reported to have antibacterial [56,57], antifungal [58,59], insecticidal [60,61,62], and other pesticidal effects [63]. When used as herbicides, they are target specific, being generally non-harmful to surrounding plants [64], but their effect can vary greatly between different weed species due to their high specificity. The analysis of the effect of the three different EOs revealed differences depending on the target species and the stage of development, with different responses during germination and vegetative growth. Germination and seedling establishment represent the plant life cycle bottleneck [65,66]. Germination is influenced by abiotic factors such as light conditions, soil moisture, temperature ranges and biotic factors such as seed and fruit predators and pathogens or anthropogenic disturbances [67,68]. On the other hand, germination can be severely reduced by chemicals with allelopathic effects. The use of allelopathy to control weeds was first promoted by Putnam et al. [69], who considered incorporating allelopathic traits in crop germplasm, which could lead to the development of weed-suppressive cultivars. Subsequently, interest focused on using allelopathic compound-producing species as natural herbicides or cover crops [70]. In 2009, there were substantial changes in the European Union legislation regarding pest control, with the Directive 2009/128/EC, which promoted the sustainable use of pesticides in all the EU, and the Regulation (EC) No 1107/2009, concerning placing plant protection products on the market. With this new legislation, the principles of integrated weed management were implemented as mandatory in all the European countries, and non-chemical methods were preferred to manage crops and pests [71,72]. So, new interest was given to researching natural herbicides based on allelopathic properties, as EOs [13]. Limits to the use of allelochemical compounds are that they are expensive to produce and that larger quantities are needed for the required herbicidal effects than the herbicides currently on the market. The challenges are that they are less persistent than synthetic herbicides, which makes them more environmentally friendly, and that they have new modes of action, which could prevent the development of herbicide-resistant weeds.
In this study, the herbicidal potential of T. capitata, M. piperita and S. chamaecyparissus EOs against C. bonariensis and A. sericifera has been confirmed. Previous works had found good results with these EOs to control other weed species [25,37]. The two weeds analysed here showed increased susceptibility to EOs during germination. The concentration of EOs applied during different stages of the biological cycle of weeds were different, ranging from 0.125 to 2 μL mL−1 during germination, lower than the 4 to 8 μL mL−1 applied with irrigation on potted plants; however, the effects were stronger at the germination stage. Peppermint oil completely prevented the germination of both species, at 0.5 μL mL−1 and higher concentrations. Seeds of E. bonariensis germinated only in the treatments with Santolina EO, but a strong reduction, from 79% in control to 9% at the concentration of 0.125 μL mL−1 was registered, whereas, in A. sericifera, germination was halved (from 98% to 42%) at this concentration. This EO completely inhibited germination only at 1 and 2 μL mL−1 in Erigeron and only at 2 μL mL−1 in Araujia. The higher susceptibility to allelochemicals of E. bonariensis germination compared to A. sericifera may be related to its seed morphology. In both species, seed production and wind dispersal are extremely efficient, but Araujia seeds are 6.3–7.8 mm long and 2.8–3.5 mm wide [73], considerably larger than those of Erigeron, which are approximately 1 mm long and 0.5 mm wide. Seedling development followed a similar pattern as seed germination. Seedlings developed only in the presence of Santolina EO in the case of E. bonariensis, and they were more affected than those of A. sericifera. In the latter species, Santolina and Thymbra EOs also delayed seedling development, mainly that of the hypocotyl.
A different response was recorded when the EOs were applied during vegetative growth. Multivariate analysis indicated that, although both weed species were affected by the three EOs tested, A. sericifera plants suffered a more pronounced reduction in all growth parameters than E. bonariensis, especially for root and leaf fresh weight. Although other growth parameters, such as stem length, number of leaves or leaf area, are often used to analyse plant responses to environmental stress, the reduction in fresh weight, dry weight, and water content of the plants represent the most reliable variables, allowing a species to be classified according to their relative susceptibility or tolerance to certain stress factors [74,75]. EOs may cause oxidative stress through excess reactive oxygen species (ROS) production and changes in membrane structures and properties, such as epidermal cell shrinkage, membrane depolarisation, cuticular wax disruption, and stomata blockage [61]. Their phytotoxicity is also related to photosynthesis inhibition, reduction of cellular and mitochondrial respiration, or interference with mitotic activity, impairing DNA synthesis [61]. The explanation for the more pronounced effect of the three EOs on the growth of A. sericifera plants is related to their morphology and development. Although treatments were initiated in both species two months after seed germination, Erigeron plants were more robust and had a higher number of leaves than Araujia. It is well known that the effects of environmental stress are generally stronger in the early stages of plant development [76,77]. Although less affected than Araujia, E. bonariensis plants suffered a reduction in stem length growth, leaf number and fresh weight.
This study confirms that the effects of the different EOs are species-specific, and this is an important attribute that increases the sustainability of their use as natural herbicides, as they are highly effective against the target species but affect fewer other species, even if they are of the same family or genus [78,79]. Furthermore, the effect of the three EOs tested was different on the two weeds but also varied according to their developmental stages, being stronger during germination and seedling development than at later vegetative growth stages.
The effects described here are different from previous reports where the same natural products were applied to E. bonariensis plants in a single post-emergence application or by foliar spray [80]. In post-emergence trials, Thymbra capitata oil was the most effective, acting faster when sprayed, followed by peppermint oil (Mentha × piperita), and the weakest effect was induced by Santolina oil [80]. The EO of T. capitata was reported to be very effective in reducing the germination of several other frequent weeds [25,81]. Its allelopathic activity is based on carvacrol, its main EO component [37]. The efficacy of this EO derives from its interaction with cell membranes, inducing alterations in the lipid bilayer [82]. The herbicidal effect of peppermint EO on different weeds has also been reported, suggesting its possible use in the formulation of natural herbicides [83,84]; since it is less specific and partially phytotoxic to crops, it was proposed as a non-selective broad-spectrum herbicide [25]. There are few studies related to the phytotoxicity of Santolina chamaecyparissus EOs [85], supporting its use as a natural selective herbicide, as its efficacy largely depends on the target species against which it is applied [25]. The results obtained indicate that the essential oils studied could be used for the control of these two weed species, but it must be taken into account that they could also have effects on cultivated species. A suitable application would be to eliminate inter-row weeds in crops, especially in fruit orchards. However, further studies are needed to determine the selectivity of these essential oils and their effect on crop species and to determine the stage of crop development at which they could be safely applied without causing damage.
5. Conclusions
The three natural compounds used in this study were effective against the tested weed species, Erigeron bonariensis and Araujia sericifera, although they are very different taxonomically, morphologically and ecologically. The effect of the EOs from Thymbra capitata, Mentha × piperita and Santolina chamaecyparissus depended on the target species, the application stage and the dose. For the noxious weed E. bonariensis, a pre-emergence application is optimal since the growth of young plants was not as affected as that of A. sericifera. For the latter, both pre-emergence and post-emergence applications would be helpful.
Author Contributions
Conceptualization, M.B. (Monica Boscaiu) and L.A.B.; methodology, M.B. (Manel Bellache) and N.T.-P.; software, A.F.S.; validation, R.E.S., M.V. and O.V.; formal analysis, A.F.S.; investigation, M.B. (Manel Bellache) and N.T.-P.; resources, M.V. and O.V.; data curation, A.F.S.; writing—original draft preparation, M.B. (Manel Bellache), M.V. and M.B. (Monica Boscaiu); writing—review and editing, R.E.S. and O.V.; visualization, A.F.S.; supervision, L.A.B. and M.B. (Monica Boscaiu); project administration, O.V.; funding acquisition, M.V. All authors have read and agreed to the published version of the manuscript.
Funding
This research received no external funding.
Institutional Review Board Statement
Not applicable.
Informed Consent Statement
Not applicable.
Data Availability Statement
Not applicable.
Conflicts of Interest
The authors declare no conflict of interest.
References
- Preston, C. Plant biotic stress: Weeds. In Encyclopedia of Agriculture and Food Systems; Van Alfen, N.K., Ed.; Academic Press: Cambridge, MA, USA, 2014; pp. 343–348. [Google Scholar] [CrossRef]
- Heap, I. The International Herbicide-Resistant Weed Database. Available online: www.weedscience.org (accessed on 22 February 2022).
- Duke, S.; Pan, Z.; Bajsa-Hirschel, J.; Boyette, C.D. The potential future roles of natural compounds and microbial bioherbicides in weed management in crops. Adv. Weed Sci. 2022, 40, e020210054. [Google Scholar] [CrossRef] [PubMed]
- Mann, R.S.; Kaufman, E. Natural product pesticides: Their development, delivery and use against insect vectors. Mini-Rev. Org. Chem. 2012, 9, 185–202. [Google Scholar] [CrossRef]
- De Mastro, G.; El Mahdi, J.; Ruta, C. Bioherbicidal potential of the essential oils from Mediterranean Lamiaceae for weed control in organic farming. Plants 2021, 10, 818. [Google Scholar] [CrossRef] [PubMed]
- Benvenuti, S.; Cioni, P.L.; Flamini, G.; Pardossi, A. Weeds for weed control: Asteraceae essential oils as natural herbicides. Weed Res. 2017, 57, 342–353. [Google Scholar] [CrossRef]
- Rehman, R.; Hanif, M.A.; Mushtaq, Z.; Mochona, B.; Qi, X. Biosynthetic factories of essential oils: The aromatic plants. Nat. Prod. Chem. Res. 2016, 4, 1000227. [Google Scholar] [CrossRef] [Green Version]
- Nikolova, M.T.; Berkov, S.H. Use of essential oils as natural herbicide. Ecol. Balk. 2018, 10, 259–265. [Google Scholar]
- Chou, C.H. The role of allelopathy in the diversity of plant communities in Taiwan. Bot. Bull. Acad. Sin. 1993, 34, 211–221. [Google Scholar]
- Aslam, F.; Khaliq, A.; Matloob, A.; Tanveer, A.; Hussain, S.; Zahir, Z.A. Allelopathy in agro-ecosystems: A critical review of wheat allelopathy-concepts and implications. Chemoecology 2017, 27, 1–24. [Google Scholar] [CrossRef]
- Li, Z.-H.; Wang, Q.; Ruan, X.; Pan, C.-D.; Jiang, D.-A. Phenolics and plant allelopathy. Molecules 2010, 15, 8933–8952. [Google Scholar] [CrossRef] [Green Version]
- Scavo, A.; Restuccia, A.; Mauromicale, G. Allelopathy: Principles and basic aspects for agroecosystem control. In Sustainable Agriculture Reviews; Gaba, S., Smith, B., Lichtfouse, E., Eds.; Springer: Cham, Switzerland, 2018; Volume 28. [Google Scholar] [CrossRef]
- Verdeguer, M.; Sánchez-Moreiras, A.M.; Araniti, F. Phytotoxic effects and mechanism of action of essential oils and terpenoids. Plants 2020, 9, 1571. [Google Scholar] [CrossRef]
- Singh, A.A.; Rajeswari, G.; Nirmal, L.A.; Jacob, S. Synthesis and extraction routes of allelochemicals from plants and microbes: A review. Rev. Anal. Chem. 2021, 40, 293–311. [Google Scholar] [CrossRef]
- Batish, D.R.; Singh, H.P.; Kohli, R.K.; Kaur, S. Eucalyptus essential oil as a natural pesticide. For. Ecol. Manag. 2008, 256, 2166–2174. [Google Scholar] [CrossRef]
- Batish, D.R.; Singh, H.P.; Setia, N.; Kaur, S.; Ravinder, K.K. Chemical composition and phytotoxicity of volatile essential oil from intact and fallen leaves of Eucalyptus citriodora. Z. Für Nat. C 2006, 61, 465–471. [Google Scholar] [CrossRef]
- Fagodia, S.K.; Singh, H.P.; Batish, D.R.; Kohli, R.K. Phytotoxicity and cytotoxicity of Citrus aurantiifolia essential oil and its major constituents: Limonene and citral. Ind. Crops Prod. 2017, 108, 708–715. [Google Scholar] [CrossRef]
- Dudai, N.; Poljakoff-Mayber, A.; Mayer, A.M.; Putievsky, E.; Lerner, H.R. Essential oils as allelochemicals and their potential use as bioherbicides. J. Chem. Ecol. 1999, 25, 1079–1089. [Google Scholar] [CrossRef]
- Angelini, L.G.; Carpanese, G.; Cioni, P.L.; Morelli, I.; Macchia, M.; Flamini, G. Essential oils from Mediterranean Lamiaceae as weed germination inhibitors. J. Agric. Food Chem. 2003, 51, 6158–6164. [Google Scholar] [CrossRef]
- Araniti, F.; Lupini, A.; Sorgonà, A.; Statti, G.A.; Abenavoli, M.R. Phytotoxic activity of foliar volatiles and essential oils of Calamintha nepeta (L.) Savi. Nat. Prod. Res. 2013, 27, 1651–1656. [Google Scholar] [CrossRef]
- Islam, A.K.M.; Kato-Noguchi, H. Allelopathic potential of five Labiatae plant species on barnyard grass (’Echinochloa crus-galli’). Aust. J. Crop Sci. 2013, 7, 1369–1374. [Google Scholar]
- Jassbi, A.R.; Zare, S.; Firuzi, O.; Xiao, J. Bioactive phytochemicals from shoots and roots of Salvia species. Phytochem. Rev. 2016, 15, 829–867. [Google Scholar] [CrossRef]
- Atak, M.; Mavi, K.; Uremis, I. Bioherbicidal effects of oregano and rosemary essential oils on germination and seedling growth of bread wheat cultivars and weeds. Rom. Biotechnol. Lett. 2016, 21, 11149–11158. [Google Scholar]
- Della Pepa, T.; Elshafie, H.S.; Capasso, R.; De Feo, V.; Camele, I.; Nazzaro, F.; Scognamiglio, M.R.; Caputo, L. Antimicrobial, and phytotoxic activity of Origanum heracleoticum and O. majorana essential oils growing in Cilento (Southern Italy). Molecules 2019, 24, 2576. [Google Scholar] [CrossRef] [PubMed] [Green Version]
- Jouini, A.; Verdeguer, M.; Pinton, S.; Araniti, F.; Palazzolo, E.; Badalucco, L.; Laudicina, V.A. Potential effects of essential oils extracted from Mediterranean aromatic plants on target weeds and soil microorganisms. Plants 2020, 9, 1289. [Google Scholar] [CrossRef] [PubMed]
- Khare, P.; Srivastava, S.; Nigam, N.; Singh, A.K.; Singh, S. Impact of essential oils of E. citriodora, O. basilicum and M. arvensis on three different weeds and soil microbial activities. Environ. Technol. Innov. 2019, 14, 100343. [Google Scholar] [CrossRef]
- Singh, N.; Singh, H.P.; Batish, D.R.; Kohli, R.K.; Yadav, S.S. Chemical characterization, phytotoxic, and cytotoxic activities of essential oil of Mentha longifolia. Environ. Sci. Pollut. Res. Int. 2020, 27, 13512–13523. [Google Scholar] [CrossRef]
- Murray, M.T. 94-Mentha piperita (Peppermint). In Textbook of Natural Medicine, 5th ed.; Pizzorno, J.E., Murray, M.T., Eds.; Elseviere: Amsterdam, The Netherlands, 2020; pp. 713–715. [Google Scholar] [CrossRef]
- Bandoni, A. Los Recursos Vegetales Aromáticos en Latinoamérica; Ciencia y Tecnología para el Desarrollo CYTED; University of Buenos Aires: Buenos Aires, Argentina, 2002; pp. 27–29. Available online: https://es.scribd.com/doc/7959699/Los-Recursos-Vegetales-Aromaticos-en-America-Latina (accessed on 17 February 2022).
- McKay, D.L.; Blumberg, J.B. A review of the bioactivity and potential health benefits of peppermint tea (Mentha piperita L.). Phytother. Res. 2006, 20, 619–633. [Google Scholar] [CrossRef]
- Abdi, G.; Shokrpour, M.; Salami, S.A. Essential oil composition at different plant growth development of peppermint (Mentha x piperita L.) under water deficit stress. J. Essent. Oil Bear. Plants 2019, 22, 431–440. [Google Scholar] [CrossRef]
- Wu, Z.; Tan, B.; Liu, Y.; Dunn, J.; Martorell Guerola, P.; Tortajada, M.; Cao, Z.; Ji, P. Chemical composition and antioxidant properties of essential oils from peppermint, native spearmint and Scotch spearmint. Molecules 2019, 24, 2825. [Google Scholar] [CrossRef] [Green Version]
- Morales, R. Thymbra L. In Flora iberica. Plantas vasculares de la Península Ibérica e Islas Baleares; Morales, R., Quintanar, A., Cabezas, F., Pujadas, A.J., Cirujano, S., Eds.; Real Jardín Botánico, CSIC: Madrid, Spain, 2010; Volume 12, pp. 1–3. [Google Scholar]
- Blanco, Y. La utilización de la alelopatía y sus efectos en diferentes cultivos agrícolas. Cult. Trop. 2006, 27, 5–16. Available online: http://www.redalyc.org/pdf/1932/193217731003.pdf (accessed on 18 January 2022).
- Miceli, A.; Negro, C.; Tommasi, L. Essential oil variability in Thymbra capitata (L.) Cav. growing wild in Southern Apulia (Italy). Biochem. Syst. Ecol. 2006, 34, 528–535. [Google Scholar] [CrossRef]
- Hanana, M.; Mansour, M.B.; Algabr, M.; Amri, I.; Gargouri, S.; Romane, A.; Jamoussi, B.; Hamrouni, L. Potential use of essential oils from four Tunisian species of Lamiaceae: Biological alternative for fungal and weed control. Rec. Nat. Prod. 2017, 11, 258–269. [Google Scholar]
- Verdeguer, M.; Torres-Pagan, N.; Muñoz, M.; Jouini, A.; García-Plasencia, S.; Chinchilla, P.; Berbegal, M.; Salamone, A.; Agnello, S.; Carrubba, A.; et al. Herbicidal activity of Thymbra capitata (L.) Cav. essential oil. Molecules 2020, 25, 2832. [Google Scholar] [CrossRef] [PubMed]
- Tundis, R.; Loizzo, M.R. A Review of the traditional uses, phytochemistry and biological activities of the genus Santolina. Planta Med. 2018, 84, 627–637. [Google Scholar] [CrossRef] [PubMed] [Green Version]
- Carbajal, R.; Ortiz, S.; Sáez, L.; Santolina, L. Flora Iberica. Plantas vasculares de la Península Ibérica e Islas Baleares; Benedí, C., Buira, A., Rico, E., Crespo Villalba, M.B., Quintanar, A., Aedo, C., Eds.; Real Jardín Botánico, CSIC: Madrid, Spain, 2019; Volume 16, pp. 1938–1968. [Google Scholar]
- Demirci, B.; Özek, T.; Baser, K.H.C. Chemical composition of Santolina chamaecyparissus L. essential oil. J. Essent. Oil Res. 2000, 12, 625–627. [Google Scholar] [CrossRef]
- Garg, S.N.; Gupta, D.; Mehta, V.K.; Kumar, S. Volatile constituents of the essential oil of Santolina chamaecyparissus Linn. from the Southern Hills of India. J. Essent. Oil Res. 2001, 13, 234–235. [Google Scholar] [CrossRef]
- Michael, P.W. Some weedy species of Amaranthus (amaranths) and Conyza/Erigeron (fleabanes) naturalized in the Asian-Pacific region. In Proceedings of the 6th Asian-Pacific Weed Science Society Conference, Jakarta, Indonesia, 11–17 July 1977; Volume 1, pp. 87–95. [Google Scholar]
- Negrean, G.; Ioana, C. Conyza bonariensis, a new plant with invasive character in Romanian flora. Ann. Univ. Craiova-Biol. 2012, 17, 743–748. [Google Scholar]
- Wirth, T.; Csiky, J. Contributions to the Hungarian alien flora: Erigeron bonariensis L. and E. sumatrensis Retz. (Asteraceae) in Hungary. Bot. Közlemények 2020, 107, 33–43. [Google Scholar] [CrossRef]
- Somervaille, A.; McLennan, B. The 2nd Fallow Weed Management Guide; Conservation Farmers: Toowoomba, Australia, 2003. [Google Scholar]
- Wu, H.; Walker, S.; Rollin, M.J.; Tan, D.K.Y.; Robinson, G.; Werth, J. Germination, persistence, and emergence of flaxleaf fleabane (Conyza bonariensis [L.] Cronquist). Weed Biol. Manag. 2007, 7, 192–199. [Google Scholar] [CrossRef]
- Kleinman, Z.; Rubin, B. Non-target-site glyphosate resistance in Conyza bonariensis is based on modified subcellular distribution of the herbicide. Pest. Manag. Sci. 2017, 73, 246–253. [Google Scholar] [CrossRef]
- HRAC (Herbicide Resistance Action Committee). Available online: https://hracglobal.com/tools/classification-lookup (accessed on 22 February 2022).
- Champion, P.; James, T.; Dawson, M. New names for New Zealand weeds. N. Z. Plant Prot. 2010, 63, 72–77. [Google Scholar] [CrossRef]
- Santa Cruz, J.; Cordero, S. First record of Araujia sericifera (Apocynaceae: Asclepiadoideae) for Chile, a new alien climbing species from South America. B. Soc. Argent. Bot. 2018, 53, 313–317. [Google Scholar] [CrossRef] [Green Version]
- Calle Fernandez, M. Control de la germinación in vitro de Araujia sericifera con aceites esenciales de Laurus nobilis, Myrtus communis, Citrus sinensis y Citrus limon. Master’s Thesis, Universitat Politècnica de València, Valencia, Spain, 2010. [Google Scholar]
- Hoagland, D.R.; Arnon, D.I. The Water-Culture Method for Growing Plants Without Soil; California Agriculture Experiment Station, College of Agriculture, University of California: Berkeley, CA, USA, 1950; Volume 347, pp. 1–32. [Google Scholar]
- Hammer, Ø.; Harper, D.A.T.; Ryan, P.D. PAST: Paleontological statistics software package for education and data analysis. Palaeontol. Electron. 2001, 4, 4–9. Available online: http://palaeo-electronica.org/2001_1/past/issue1_01.htm (accessed on 25 February 2022).
- Xavier, V.; Finimundy, T.C.; Heleno, S.A.; Amaral, J.S.; Calhelha, R.C.; Vaz, J.; Pires, T.C.S.P.; Mediavilla, I.; Esteban, L.S.; Ferreira, I.C.F.R.; et al. Chemical and bioactive characterization of the essential oils obtained from three Mediterranean plants. Molecules 2021, 26, 7472. [Google Scholar] [CrossRef]
- Anwar, S.; Naseem, S.; Karimi, S.; Asi, M.R.; Akrem, A.; Ali, Z. Bioherbicidal activity and metabolic profiling of potent allelopathic plant fractions against major weeds of wheat—Way forward to low the risk of synthetic herbicides. Front. Plant Sci. 2021, 12, 632390. [Google Scholar] [CrossRef]
- O’Bryan, C.A.; Pendleton, S.J.; Crandall, P.G.; Ricke, S.C. Potential of plant essential oils and their components in animal agriculture—In vitro studies on antibacterial mode of action. Front. Vet. Sci. 2015, 2, 35. [Google Scholar] [CrossRef] [Green Version]
- El-Beltagi, H.; Dhawii, F.; Aly, A.A.; El-Ansary, A.E. Chemical compositions and biological activities of the essential oils the essential oils from gamma irradiated celery (Apium graveolens L.) seeds L. Not. Bot. Horti Agrobot. 2020, 48, 2114–2133. [Google Scholar] [CrossRef]
- Mkaddem Guedri, M.; Romdhane, M.; Lebrihi, A.; Mathieu, F.; Bouajila, J. Chemical composition and antimicrobial and antioxidant activities of Tunisian, France and Austrian Laurus nobilis (Lauraceae) essential oils. Not. Bot. Horti Agrobot. 2020, 48, 1929–1940. [Google Scholar] [CrossRef]
- Mani-López, E.; Cortés-Zavaleta, O.; López-Malo, A. A review of the methods used to determine the target site or the mechanism of action of essential oils and their components against fungi. SN Appl. Sci. 2021, 3, 44. [Google Scholar] [CrossRef]
- Cadena, M.B.; Preston, G.M.; Van der Hoorn, R.A.L.; Townley, H.E.; Thompson, I.P. Species-specific antimicrobial activity of essential oils and enhancement by encapsulation in mesoporous silica nanoparticles. Ind. Crops Prod. 2018, 122, 582–590. [Google Scholar] [CrossRef]
- Jankowska, M.; Rogalska, J.; Wyszkowska, J.; Stankiewicz, M. Molecular targets for components of essential oils in the insect nervous system—A review. Molecules 2018, 23, 34. [Google Scholar] [CrossRef] [Green Version]
- Chaudhari, A.K.; Singh, V.K.; Kedia, A.; Das, S.; Dubey, N.K. Essential oils and their bioactive compounds as eco-friendly novel green pesticides for management of storage insect pests: Prospects and retrospects. Environ. Sci. Pollut. Res. 2021, 28, 18918–18940. [Google Scholar] [CrossRef]
- Werrie, P.-Y.; Durenne, B.; Delaplace, P.; Fauconnier, M.-L. Phytotoxicity of essential oils: Opportunities and constraints for the development of biopesticides. A review. Foods 2020, 9, 1291. [Google Scholar] [CrossRef]
- de Souza Barros, V.M.; Ferreira Pedrosa, J.L.; Ribeiro Gonçalves, D.; Carvalho Lopes de Medeiros, F.; Rodrigues Carvalho, G.; Gonçalves, A.H.; Quinute Teixeira, P.V.V. Herbicides of biological origin: A review. J. Hort. Sci. Biotechnol. 2021, 96, 288–296. [Google Scholar] [CrossRef]
- Jorritsma-Wienk, L.D.; Ameloot, E.; Lenssen, J.P.; de Kroon, H. Differential responses of germination and seedling establishment in populations of Tragopogon pratensis (Asteraceae). Plant Biol. 2007, 9, 109–115. [Google Scholar] [CrossRef]
- Jiménez-Alfaro, B.; Silveira, F.A.O.; Fidelis, A.; Poschlod, P.; Commander, L.E. Seed germination traits can contribute better to plant community ecology. J. Veg. Sci. 2016, 27, 637–645. [Google Scholar] [CrossRef]
- Donohue, K.; De Casas, R.R.; Burghardt, L.; Kovach, K.; Willis, C.G. Germination, post-germination adaptation, and species ecological ranges. Annu. Rev. Ecol. Evol. Syst. 2010, 41, 293–319. [Google Scholar] [CrossRef]
- Mariano, V.; Christianini, A.V. Effects of anthropogenic disturbance on seed germination under field conditions: A meta-analysis. Acta Oecol. 2021, 113, 103791. [Google Scholar] [CrossRef]
- Putnam, A.R.; Duke, W.O. Allelopathy in agroecosystems. Annu. Rev. Phytopathol. 1978, 16, 431–451. [Google Scholar] [CrossRef]
- Wetson, L.A. Utilization of allelopathy for weed management in agroecosystems. Agron. J. 1996, 88, 860–866. [Google Scholar]
- Colas, F.; Cordeau, S.; Granger, S.; Jeuffroy, M.-H.; Pointurier, O.; Queyrel, W.; Rodriguez, A.; Villerd, J.; Colbach, N. Co-development of a decision support system for integrated weed management: Contribution from future users. Eur. J. Agron. 2020, 114, 126010. [Google Scholar] [CrossRef]
- Verschwele, A. Integrated weed management in cropping systems: Principles, methods and experience of field trials. In Exploring and Optimizing Agricultural Landscapes. Innovations in Landscape Research; Mueller, L., Sychev, V.G., Dronin, N.M., Eulenstein, F., Eds.; Springer: Cham, Switzerland, 2021. [Google Scholar] [CrossRef]
- Arista, M.; Ortiz, P.L. Araujia Brot. In Flora iberica. Plantas vasculares de la Península Ibérica e Islas Baleares; Talavera, S., Andrés, C., Arista, M., Fernández Piedra, M.P., Gallego, M.J., Ortiz, P.L., Romero Zarco, C., Salgueiro, F.J., Silvestre, S., Quintanar, A., Eds.; Real Jardín Botánico, CSIC: Madrid, Spain, 2012; Volume 11, pp. 117–119. [Google Scholar]
- Al Hassan, M.; Pacurar, A.; López-Gresa, M.P.; Donat-Torres, M.P.; Llinares, J.V.; Boscaiu, M.; Vicente, O. Effects of salt stress on three ecologically distinct Plantago species. PLoS ONE 2016, 11, e0160236. [Google Scholar] [CrossRef]
- Plazas, M.; González-Orenga, S.; Nguyen, H.T.; Morar, I.M.; Fita, A.; Boscaiu, M.; Prohens, J.; Vicente, O. Growth and antioxidant responses triggered by water stress in wild relatives of eggplant. Sci. Hort. 2022, 293, 110685. [Google Scholar] [CrossRef]
- Johnson, D.W.; Smith, S.E.; Dobrenz, A.K. Genetic and phenotypic relationships in response to NaCl at different developmental stages in alfalfa. Theor. Appl. Genet. 1992, 83, 833–838. [Google Scholar] [CrossRef]
- Vicente, O.; Boscaiu, M.; Nranjo, M.A.; Estrelles, E.; Bellés, J.M.; Soriano, P. Responses to salt stress in the halophyte Plantago crassifolia (Plantaginaceae). J. Arid Environ. 2004, 58, 463–481. [Google Scholar] [CrossRef]
- Vokou, D.; Douvli, P.; Blionis, G.J.; Halley, J.M. Effects of monoterpenoids, acting alone or in pairs, on seed germination and subsequent seedling growth. J. Chem. Ecol. 2003, 29, 2281–2301. [Google Scholar] [CrossRef]
- Chang, Y.; Harmon, P.F.; Treadwell, D.D.; Carrillo, D.; Sarkhosh, A.; Brecht, J. Biocontrol potential of essential oils in organic horticulture systems: From farm to fork. Front. Nutr. 2022, 8, 805138. [Google Scholar] [CrossRef]
- Verdeguer, M.; Castañeda, L.G.; Torres-Pagan, N.; Llorens-Molina, J.A.; Carrubba, A. Control of Erigeron bonariensis with Thymbra capitata, Mentha piperita, Eucalyptus camaldulensis, and Santolina chamaecyparissus essential oils. Molecules 2020, 25, 562. [Google Scholar] [CrossRef] [Green Version]
- Saoud, I.; Hamrouni, L.; Gargouri, S.; Amri, I.; Hanana, M.; Fezzani, T. Chemical composition, weed killer and antifungal activities of Tunisian thyme (Thymus capitatus Hoff. et Link.) essential oils. Acta Aliment. Hung. 2013, 42, 417–427. [Google Scholar] [CrossRef]
- Gagliano Candela, R.; Maggi, F.; Lazzara, G.; Rosselli, S.; Bruno, M. The essential oil of Thymbra capitata and its application as a biocide on stone and derived surfaces. Plants 2019, 8, 300. [Google Scholar] [CrossRef] [Green Version]
- Cavalieri, A.; Caporali, F. Effects of essential oils of cinnamon, lavender and peppermint on germination of Mediterranean weeds. Allelopath. J. 2010, 25, 441–452. [Google Scholar]
- Mahdavikia, F.; Saharkhiz, M.J. Phytotoxic activity of essential oil and water extract of peppermint (Mentha× piperita L. CV. Mitcham). J. Appl. Res. Med. Aromat. Plants 2015, 2, 146–153. [Google Scholar] [CrossRef]
- Grosso, C.; Coelho, J.A.; Urieta, J.S.; Palabra, A.M.; Barroso, J.G. Herbicidal activity of volatiles from coriander, winter savory, cotton lavender, and thyme isolated by hydrodistillation and supercritical fluid extraction. J. Agric. Food Chem. 2010, 27, 11007–11013. [Google Scholar] [CrossRef] [PubMed]
Publisher’s Note: MDPI stays neutral with regard to jurisdictional claims in published maps and institutional affiliations. |
© 2022 by the authors. Licensee MDPI, Basel, Switzerland. This article is an open access article distributed under the terms and conditions of the Creative Commons Attribution (CC BY) license (https://creativecommons.org/licenses/by/4.0/).














