Next Article in Journal
Effects of Hallyu on Chinese Consumers: A Focus on Remote Acculturation
Previous Article in Journal
Physical, Chemical and Thermal Properties of Palm Oil Boiler Ash/Rediset-Modified Asphalt Binder
 
 
Font Type:
Arial Georgia Verdana
Font Size:
Aa Aa Aa
Line Spacing:
Column Width:
Background:
Review

Data Integration Analysis Indicates That Soil Texture and pH Greatly Influence the Acid Buffering Capacity of Global Surface Soils

1
Guangdong Provincial Key Laboratory of Eco-Circular Agriculture, South China Agricultural University, Guangzhou 510642, China
2
Key Laboratory of Agro-Environment in the Tropics, Ministry of Agriculture and Rural Affairs, South China Agricultural University, Guangzhou 510642, China
3
Department of Ecology, South China Agricultural University, Guangzhou 510642, China
*
Author to whom correspondence should be addressed.
Sustainability 2022, 14(5), 3017; https://doi.org/10.3390/su14053017
Submission received: 28 January 2022 / Revised: 22 February 2022 / Accepted: 24 February 2022 / Published: 4 March 2022

Abstract

Soil acidification is a global environmental issue that decreases soil functions, and it has been significantly accelerated by anthropogenic activities in recent decades. Soils can resist acidification upon receiving acid inputs due to the resistance or/and resilience capacity of soils, which is termed the acid buffering capacity of soils, and it is often indicated by the soil pH buffering capacity (pHBC). An increasing number of studies have been conducted to quantify soil pHBC at various sites, but to date, integration of global data is lacking; therefore, the variations in large-scale soil pHBC and the factors that influence these variations are still unclear. In this study, we collected previously published data on soil pHBC to analyze its variations on a large scale, as well as investigate the underlying factors influencing these variations. The results showed that soil pHBC varied substantially from site to site, with a mean of 51.07 ± 50.11 mmol kg−1 pH−1. Soil texture and pH, separately or collectively, explained a considerable proportion of the total variation of global soil pHBC. It is well-established that a series of processes contribute to the soil acid buffering capacity in different pH ranges, and the global data analyses showed that pH 5.5 could be a key threshold value; different buffering systems may be active at pH > 5.5 and pH < 5.5. Moreover, tropical soils were more acid-sensitive than temperate and subtropical soils, and forest soils had significantly lower soil pHBCs than grassland and cropland soils. This could be attributed in part to the different soil properties, such as soil texture or pH, among the different climatic zones and ecosystems.

1. Introduction

Soil acidification occurs slowly and is primarily controlled by natural processes such as root H+ release and microbial activities in pristine ecosystems [1,2]. However, anthropogenic activities, such as the intensive utilization of fertilizers and vehicles, as well as the resultant environmental changes, such as acidic deposition from the atmosphere, have substantially accelerated soil acidification processes [1,2,3,4,5,6]. Previous studies have reported the significant acidification of surface soils in grasslands, croplands, and forests across China [3,4,7], with pH declining by 0.63 units in grasslands across northern China and by 0.50 units in China’s major croplands during the 1980s–2000s. Moreover, several recent studies have shown that deep soils have also undergone acidification in recent decades [8,9], which has previously been reported in various ecosystems in other regions, such as America, Australia, and Europe [1,10,11,12]. Soil acidification can significantly change the belowground functions and processes of soils due to alterations in the composition and functions of soil biota [13,14] and can decrease soil fertility and arability [2,8,15,16,17]. Moreover, considerably high doses of heavy metals that can exert negative effects on soil biota may be activated or released under acidified soil conditions [18,19]. Therefore, soil acidification is a severe environmental problem that has been highlighted and studied for decades [3,20,21].
With their complex chemical components and aggregate structures, soils can generally buffer H+-induced acidification by multiple processes, such as neutralization, exchange, and hydrolysis reactions, and different processes may predominate during different stages of acidification [2,11,22]. As a result, the acidification rate of a given soil greatly depends on its capacity to regulate and resist H+ inputs, namely, the soil acid/pH buffering capacity (also frequently abbreviated as pHBC) [22,23,24,25], and soil pHBC can be quantified by investigating the decrease in soil pH after exposure to a gradient of H+ inputs [23,24]. Generally, soils with low pHBC can be rapidly acidified, which decreases the number of clay minerals and cation exchange capacity and consequently affects soil fertility [26]. Previous studies have shown that soil pHBC can be highly variable across sites or ecosystems [27,28,29] and may be regulated by complex and confounding effects of multiple environmental changes [30]. Nevertheless, variations in soil pHBC have rarely been assessed at a large scale and are yet to be assessed at a global scale. Therefore, this study was conducted with the objective of presenting the global variations in soil pHBC by comprehensively analyzing data from the existing literature worldwide.
Theoretically, it is widely accepted that the contents of carbonate, base cations, and hydroxyl-binding aluminum and iron substantially affect the acid buffering capacity of soils because they can act to reduce the active H+ concentrations of soils [11,22]. In many previous studies, soil cation exchange capacity (CEC) was observed to be related to soil pHBC, e.g., [23,28,29] due to the interchangeability between cations and H+ [31]. Additionally, the concentration and bonding energy of neutral salts in soils can greatly influence a soil’s buffering effect on acids, although the buffer efficiency is expected to decrease with increases in soil pH [32]. Finally, the ability of cations to buffer H+ greatly depends on the relative strength of the bonding energy between H3O+ and salts [32]. Moreover, it was proposed that the effective CEC (K+, Na+, Ca2+, and Mg2+), rather than the total or potential CEC, might be a more important determining factor for the soil acid buffering capacity, e.g., in neutral soils [33]. The interchangeability between cations and H+ depends on the soil particle components and soil mineralogy [34]. These uncertainties suggest that the H+ buffering by soil cations is complex and variable across ecosystems, and whether a relationship between the two exists at a global scale remains unclear.
A large-scale investigation along a 3600 km transect in northern China showed that soil pHBC differed between carbonate (mean pH = 8.3, range of 7.7–9.2) and noncarbonate (mean pH = 7.4, range of 6.4–8.4) soils, with the most significant explanatory variables being the soil inorganic carbon content and CEC, respectively [29]. This pattern is in line with the established theoretical framework for soil acid buffering, which suggests that carbonate and base cations play critical roles in alkaline and neutral soils, respectively [22]. In acidic soils, however, soil organic carbon (SOC) could favor the persistence of soil acidity by increasing soil acid buffering capacity [28,35], likely due to the potential association of cations with soil organic matter [35]. In view of the complex nature of natural soils, such phasing patterns indicate that many factors may act, potentially at different stages, and the factors that contribute significantly to the variations in global soil pHBC need to be clarified. Therefore, in this study, we aimed to identify the influencing factors that explained the variations in soil pHBC at the global scale.

2. Materials and Methods

2.1. Literature Search and Data Collection

Peer-reviewed journal articles on the soil pH buffering capacity were collected through topic searches with the keywords “soil acid buffering capacity” or “soil pH buffering capacity” from the Web of Science and China National Knowledge Infrastructure databases up to June 2020. As a supplement, we also indexed “soil buffering capacity” to identify the acid buffering-related literature for data collection.
During the process of data extraction, the following criteria were met. First, we needed to obtain the soil pHBC values that were directly reported by authors or could be calculated on the basis of acid buffering curves or acid neutralization capacities presented in publications to obtain further statistics. Therefore, some highly relevant and highly cited studies on the topic of soil acid buffering, such as Bowman, Cleveland, Halada, Hresko and Baron [22], Kissel, Sonon and Cabrera [25] and Lu, Mao, Mo, Gilliam, Zhou, Luo, Zhang and Huang [31], had to be excluded due to data unavailability, i.e., the exact soil pHBC values could not be obtained based on the available data presented in these papers. Second, for repeated measures in each case study, only the latest observation was used to meet the assumption of independence. However, results obtained from a single study but at different sites were used as independent observations. As a result, Chinese publications contributed to a considerable portion of the total dataset despite the number of Chinese papers being lower than that of English papers because almost all the Chinese papers widely reported soil pHBCs widely investigated at different sites. Third, when experimental treatments, e.g., biochar addition to soils or different fertilizer applications in cropland areas, were conducted, we only collected the data from the control plots for use. Moreover, in those studies where the authors investigated many soils but only reported the mean soil pHBC in groups, e.g., reference # [29], the mean soil pHBC was extracted for analyses, with the number of replicates used as a weighting factor.
Finally, a total of 87 papers, with 47 reported in English and the others in Chinese, were used for data extraction (please refer to the supplementary dataset and literature list attached to the manuscript). These studies were mainly distributed across China, Australia, southwestern Canada, and parts of the US and Europe (Figure S1); most of these regions have been or are currently covered by acid deposition and are facing soil acidification conditions. Other regions, such as South America and Europe, have been experiencing soil acidification, e.g., due to agricultural practices and acid deposition, and were therefore intensively studied decades ago. We did not obtain a great deal of data on the soil acid buffering capacity or curves in these regions for analyses in this study, although many important theories on the topic of soil acid buffering processes have been proposed by local soil scientists. Data were extracted from these studies, including the soil pHBC, number of replicates, and soil texture properties, including the sand, silt, and clay contents, CEC, SOC content, and soil pH. Other information from the study sites, including climate and ecosystem type, if available, was also recorded for the data categories.

2.2. Data Processing and Analyses

In most studies, soil pHBC was reported and directly cited for use in the present study. However, there were two exceptions. First, when soil pHBC was not directly presented but an acid titration curve was available for a type of soil, we obtained these point data using GetData Graph Digitizer (version 2.26.0.20) and then estimated the soil pHBC by linearly fitting pH and the amount of H+ addition [24]. Previous studies have shown that soil pH can approximately change linearly with the amount of H+ added in a specific pH range (generally pH 5–8); therefore, the slope of linear regression can be used for estimating soil pHBC [22,25]. Second, when soil pHBC was not directly reported, the soil acid neutralization capacity (ANC, mmol kg1) at a given pH level (pHi, e.g., pH3.5) and the initial soil pH (pH0) were known. Consequently, the soil pHBC in these studies was estimated by Equation (1) as follows.
pHBC = A N C p H 0 p H i
Soil pHBC was presented as mmol of H+ needed for one kilogram of soil to achieve one unit of pH change (i.e., mmol kg1 pH1).
Within the collected literature, soil pH was determined by water, KCl and/or CaCl2- extraction methods, and two or three methods were used in several cases. Paired t tests indicated that the water-extracted soil pH values were significantly higher than the KCl- (t80 = 22.37, p < 0.001; Figure S2a) or CaCl2- extracted pH values (t54 = 20.13, p < 0.001; Figure S2b). Correlation and regression analyses showed that the water-extracted soil pH values were strongly correlated with the salt-extracted pH values for paired samples (R2 > 0.75 and p < 0.001, Figure S2c). Therefore, we fitted linear equations to calculate soil pH (water-extracted), which was used in further analyses when the soil pH values were analyzed only by the KCl or CaCl2 extraction methods in some studies. Although there could be some variations related to soil buffering mechanisms, the data processing homogenized the soil pH values, allowing comparisons across studies, and reduced the bias derived from the methodology used for determining soil pH.
Due to the obvious skewing of the data distribution, the soil pHBC values were logarithmically transformed with a natural base [ln(pHBC)] prior to further analyses; such transformations made the data approximately normally distributed (Figure 1). Moreover, a nonparametric Kruskal–Wallis test was conducted to reveal the significance of soil pHBC among groups, and a Mann–Whitney test was employed to compare the significance of each pair of groups [36]. A paired t test was conducted to compare the mean soil pH between groups, and linear regression was used to fit and estimate the water-extracted soil pH values. Curve estimates (linear and quadratic models) were employed to analyze the relationships between soil pHBC and other soil properties. Furthermore, structural equation modeling (SEM) was used to estimate the total, direct and indirect effects of soil texture, pH, SOC content, and CEC on soil pHBC. The significance level was set at p < 0.05. All these statistics were conducted in IBM SPSS statistics 22.0 (IBM Corp., New York, NY, USA), except SEM analysis, which was conducted in SPSS Amos 21.0.0 (IBM Corp., New York, NY, USA). Graphs were drawn using SigmaPlot 10.0 (Systat Software Inc., San Jose, CA, USA).

3. Results

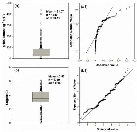
In the present study, soil pHBC ranged from 1.00 to 440.33 mmol kg−1 pH−1, with a mean of 51.07 ± 50.11 mmol kg−1 pH−1, and the spatial variations were substantial (Figure 1a and Supplementary Materials). Since the raw data were far from representing a normal distribution, as indicated by the Q-Q plots (Figure 1a1), the log-transformation with a natural base was conducted before further analyses. Finally, the mean of the transformed soil pHBC was 3.52 ± 0.96 (Figure 1b), and the data were approximately normally distributed, as shown in the Q-Q plots (Figure 1b1).
The Kruskal–Wallis test indicated that there were significant differences among groups when we pooled the data based on climatic or ecosystem types (p < 0.05, Figure 2). In particular, the soil pHBC values in the temperate and subtropical zones were significantly higher than those in the tropics (p < 0.05 for both), while they did not significantly differ between the two former zones (p > 0.05, Figure 2a). Moreover, the soil pHBC values were significantly higher in the grasslands and croplands than in forests (p < 0.05 for both), but the values were comparable between the grasslands and croplands (p > 0.05, Figure 2b).
Since soil texture was determined by the proportions of clay, silt, and sand, and all of them were significantly related to soil pHBC (Figure S3), we divided the summed proportion of clay and silt by the sand proportion to indicate the soil texture for the following analyses. The results from the curve estimates showed that soil pHBC was significantly and positively related to soil texture (p < 0.001, Figure 3a), implying that more clay and silt but less sand could contribute to a higher soil acid buffering capacity. Soil pH significantly contributed to the variations in soil pHBC (p < 0.001); their relationship was nonlinear but quadratic, with an inflection pH value of 5.5 (Figure 3b). Moreover, SOC was slightly but significantly negatively related to the soil pHBC at the global scale (p < 0.001, Figure 3c). Based on the global dataset, soil CEC was observed to be slightly but significantly positively related to soil pHBC (p < 0.001, Figure 3d).
Furthermore, we employed SEM analyses to reveal the interactions among soil texture, pH, SOC, and CEC and their effects on soil pHBC. Considering the quadratic relationship of pH with pHBC with an obvious inflection point (Figure 3b), we separated the dataset for SEM analyses into two subgroups based on soil pH: pH > 5.5 and pH < 5.5. The results showed that for the sub dataset for pH > 5.5, the four variables explained half of the total variation in soil pHBC, and soil pH predominantly affected soil pHBC (with a path coefficient of 0.63 and p < 0.001), followed by soil texture and SOC, which also significantly contributed to soil pHBC (Figure 4a). Therefore, the total effects of soil texture and pH on soil pHBC were mainly derived from their direct effects, while that of SOC was completely derived from its indirect effect, i.e., by negatively adjusting soil pH (Figure 4a). For the sub dataset for pH < 5.5, soil texture, pH, and SOC content significantly regulated soil pHBC, explaining 29% of the total variation (Figure 4b). Soil texture primarily contributed to variations in soil pHBC, followed by SOC content and pH, and the three variables positively affected soil pHBC mainly by direct effects (Figure 4b). When all four variables were simultaneously considered, soil CEC did not appear to significantly affect soil pHBC, regardless of whether the complete or separated datasets were used (Figure 4).

4. Discussion

In this study, we found that most of the studied soils were highly vulnerable to acidification due to their relatively low pHBC (Figure 1), indicating that a small amount of H+ input could rapidly increase soil acidity and result in soil acidification in most areas [23,24]. Soil texture, reflected by the ratio of clay and silt to sand contents, significantly positively affected the soil acid buffering capacity in our study (Figure 3a and Figure 4). Soil clay content is frequently considered to be important for the soil acid buffering capacity because it may indirectly buffer acidification by providing cations and charged sites to buffer H+ [33,37,38]. Our observation of the positive correlation between soil pHBC and the clay content at the global scale (Figure S3a) also supports this view. Moreover, the sand content was significantly negatively related to soil pHBC (Figure 3a and Figure S3c), indicating that soils with higher proportions of sand could be more strongly affected by exogenous H+ inputs. This observation implies that soil coarseness derived from soil erosion [39] and anthropogenic activities, such as agricultural practices that may induce soil erosion [40], could make soils more vulnerable to acidification.
Moreover, soil pH appeared to be one of the most important variables that could explain considerable proportions of the variations in the soil pHBC (Figure 3b and Figure 4). It is widely accepted that pH is a factor that is highly relevant for regulating the soil acid buffering capacity, considering that the buffering process can be divided into three to four phases based on the soil pH range and that the magnitude of pH changes with H+ inputs may be different [2,11,22]. For example, previous studies have suggested that soil acidification could be strongly buffered by carbonates when the soil pH is higher than 6.5, consequently resulting in a high soil acid buffering capacity, while the soil acid buffering capacity will be much lower at pH < 6.5; therefore, soil acidification may be accelerated with exogenous H+ inputs [2]. These patterns are associated with different buffering systems underlying different stages, e.g., carbonate dissolution plays a major role at pH > 6.5, while silicate mineral weathering and exchanges with base cations, hydroxyl aluminum, or hydroxyl iron are the main buffering processes at pH < 6.5 [2,22]. Based on the global data assimilation, we suggest a key pH threshold value of 5.5 (Figure 3b).
Among the different climatic zones, we observed that the tropical soils were more sensitive to acid inputs than the subtropical and temperate soils (Figure 2a). Such a difference could be attributed to changes in soil physicochemical properties, such as the soil texture, pH, SOC content, and CEC (Figure 3), although not completely; these variables collectively explained a considerable proportion of the total variation in soil pHBC at the global scale (Figure 4). The tropical soils had significantly lower pH, CEC, and clay and silt contents but higher sand contents than the subtropical and temperate soils, and these soil properties may positively or negatively affect soil pHBC, as observed in this study (Figure 3, Figure 4, and Figure S3) and previous studies [24,33,41].
Interestingly, our results showed that forest soils had significantly lower pHBCs than cropland and grassland soils (Figure 2b). Such a global pattern for soil pHBCs among ecosystems was also supported in a recent study conducted in southern China, which revealed that soils in forests might be more vulnerable to acidification than those in other ecosystems [8]. This could in part be associated with the significantly different initial soil pH values of the forest, grassland, and cropland ecosystems in the present study (i.e., 4.79, 7.72, and 6.84, respectively) since initial soil pH was among the most important factors affecting the global soil pHBC (Figure 3b and Figure 4). Considering the pH inflection point shown in our study (pH 5.5; Figure 3b), it is most likely that forest soils can buffer H+-induced acidification by different mechanisms than grassland and cropland soils.
By integrating the global data on soil pHBC, we found that temperate soils with relatively high acid buffering capacities have been extensively studied previously, but few empirical studies exist in the tropics, where soils are more sensitive to acidification (Figure 2a). Likewise, cropland and grassland soils have higher acid buffering capacities and have received much attention in previous studies, whereas forest soils with lower pHBC values have been less studied (Figure 2b). Considering the importance of forests, e.g., in maintaining biodiversity and stabilizing C sinks to mitigate global warming [42,43], it is clear that tropical and forest soils deserve more attention.
Based on the existing data, however, there is a distinct limitation that needs to be considered in future studies. As observed, the soil properties in our dataset collectively explained 50% or 29% of the total variations in global soil pHBC (Figure 3 and Figure 4), indicating that the origin of more than half of the variation remains uncertain. Mismatching of data across studies limits further clarification of which variables can be counted to increase the explanatory percentage of the variation in soil pHBC at the global scale. In soils that contain carbonates, for example, the carbonate content could explain most of the changes (~70%) in soil pHBC and is, therefore, the most important explanatory variable [29,44]. Although we attempted to collect more values for other soil properties, such as the inorganic C content and exchangeable Al content, it is regretful that available data were insufficient for statistical analyses. Moreover, the mineralogy of soil clay, in addition to its content, may also greatly affect the soil acid buffering capacity; our recent analyses show that the soil acid buffering capacity does not change as the content of kaolinite increases but increases as the content of montmorillonite increases (unpublished data). Therefore, there is an urgent need for a common metric to include more indices potentially related to the soil acid buffering capacity to draw more reliable conclusions at the global scale.

5. Conclusions

In this study, we collected 486 records of soil pHBC from 87 studies and weighted data by the corresponding sample replicates, thereby producing a total of 1780 soil pHBC values to assess the buffering capacity of global surface soils. The results showed that the soil pHBC varied substantially at the global scale, ranging from 1.00 to 440.33 mmol kg−1 pH−1, and the average soil pHBC was 51.07 ± 50.11 mmol kg−1 pH−1. At the global scale, soil pHBC was significantly related to the soil texture, pH, and SOC content, among which the soil texture and pH appeared to be the top-ranked factors that directly or indirectly influenced the global soil pHBC. Temperate and subtropical soils had significantly higher soil pHBCs than tropical soils, suggesting that tropical soils were more acid-sensitive and susceptible to acidification. Moreover, forest soils were more sensitive to acids than grassland and cropland soils, but limited studies have been conducted in forests to quantify the buffering effect of soils. However, the data availability and heterogeneity among climatic zones or ecosystems greatly increased the uncertainty of the results, and only half or less than half of the total variation in soil pHBC could be explained by the collected dataset. Therefore, studies should be intensified in data-limited regions and ecosystems, such as the tropics and forests. Therefore, we need to clarify how we can further understand the mechanisms underlying global variations in the buffering of soils.

Supplementary Materials

The following supporting information can be downloaded at: https://www.mdpi.com/article/10.3390/su14053017/s1, Figure S1: Distribution of study site included in this study; Figure S2: Boxplot of soil pH determined by different methods (a,b) and linear regressions of pairwise pHwater and pHKCl or pHCaCl2; Figure S3: Linear regressions between soil pHBC and soil clay content (a), silt content (b), and sand content (c); Supplementary dataset.

Author Contributions

Conceptualization, H.W.; methodology, H.W.; literature searching and data collection, J.Y. and Z.L.; data curation, H.W.; writing—original draft preparation, H.W.; writing—review and editing, H.W., J.Y., Z.L. and J.Z.; visualization, H.W.; supervision, H.W. and J.Z.; project administration, H.W. and J.Z.; funding acquisition, H.W. and J.Z. All authors have read and agreed to the published version of the manuscript.

Funding

This research was funded by National Natural Science Foundation of China (grant number 32071641 and U1701236) and Guangdong Provincial Science and Technology Department (grant number 2019B030301007 and 2021A1515012507).

Institutional Review Board Statement

Not applicable.

Informed Consent Statement

Not applicable.

Data Availability Statement

Data is attached as a supplementary dataset.

Acknowledgments

Xiaoran Shan, Chunli Zeng, Tianben Zhou and Enlin Li are acknowledged for their help on data visualization of the initial draft.

Conflicts of Interest

The authors declare no conflict of interest.

References

  1. Markewitz, D.; Richter, D.D.; Allen, H.L.; Urrego, J.B. Three Decades of Observed Soil Acidification in the Calhoun Experimental Forest: Has Acid Rain Made a Difference? Soil Sci. Soc. Am. J. 1998, 62, 1428–1439. [Google Scholar] [CrossRef]
  2. Raza, S.; Miao, N.; Wang, P.; Ju, X.; Chen, Z.; Zhou, J.; Kuzyakov, Y.; Na, M. Dramatic loss of inorganic carbon by nitrogen-induced soil acidification in Chinese croplands. Glob. Change Biol. 2020, 26, 3738–3751. [Google Scholar] [CrossRef]
  3. Guo, J.H.; Liu, X.J.; Zhang, Y.; Shen, J.L.; Han, W.X.; Zhang, W.F.; Christie, P.; Goulding, K.W.T.; Vitousek, P.M.; Zhang, F.S. Significant Acidification in Major Chinese Croplands. Science 2010, 327, 1008–1010. [Google Scholar] [CrossRef] [PubMed]
  4. Yang, Y.; Ji, C.; Ma, W.; Wang, S.; Wang, S.; Han, W.; Mohammat, A.; Robinson, D.; Smith, P. Significant soil acidification across northern China’s grasslands during 1980s–2000s. Glob. Change Biol. 2012, 18, 2292–2300. [Google Scholar] [CrossRef]
  5. Deng, Q.; Hui, D.; Dennis, S.; Reddy, K.C.; Xu, X. Responses of terrestrial ecosystem phosphorus cycling to nitrogen addition: A meta-analysis. Glob. Ecol. Biogeogr. 2017, 26, 713–728. [Google Scholar] [CrossRef]
  6. Wei, H.; Liu, Y.; Xiang, H.; Zhang, J.; Li, S.; Yang, J. Soil pH Responses to Simulated Acid Rain Leaching in Three Agricultural Soils. Sustainability 2019, 12, 280. [Google Scholar] [CrossRef]
  7. Yan, P.; Wu, L.; Wang, D.; Fu, J.; Shen, C.; Li, X.; Zhang, L.; Zhang, L.; Fan, L.; Wenyan, H. Soil acidification in Chinese tea plantations. Sci. Total Environ. 2020, 715, 136963. [Google Scholar] [CrossRef]
  8. Yu, Z.; Chen, H.Y.; Searle, E.B.; Sardans, J.; Ciais, P.; Peñuelas, J.; Huang, Z. Whole soil acidification and base cation reduction across subtropical China. Geoderma 2020, 361, 114107. [Google Scholar] [CrossRef]
  9. Li, Q.; Li, A.; Yu, X.; Dai, T.; Peng, Y.; Yuan, D.; Zhao, B.; Tao, Q.; Wang, C.; Li, B.; et al. Soil acidification of the soil profile across Chengdu Plain of China from the 1980s to 2010s. Sci. Total Environ. 2020, 698, 134320. [Google Scholar] [CrossRef]
  10. Weaver, A.R.; Kissel, D.E.; Chen, F.; West, L.T.; Adkins, W.; Rickman, D.; Luvall, J.C. Mapping soil pH buffering capacity of selected fields in the coastal plain. Soil Sci. Soc. Am. J. 2004, 68, 662–668. [Google Scholar] [CrossRef]
  11. Roberts, T.M.; Ulrich, B.; Pankrath, J. Effects of the Accumulation of Air Pollutants in Forest Ecosystems. J. Appl. Ecol. 1984, 21, 735. [Google Scholar] [CrossRef]
  12. Zhao, D.; Arshad, M.; Li, N.; Triantafilis, J. Predicting soil physical and chemical properties using vis-NIR in Australian cotton areas. Catena 2021, 196, 104938. [Google Scholar] [CrossRef]
  13. Lee, S.; Sorensen, J.W.; Walker, R.L.; Emerson, J.B.; Nicol, G.W.; Hazard, C. Soil pH influences the structure of virus communities at local and global scales. Soil Biol. Biochem. 2022, 166, 108569. [Google Scholar] [CrossRef]
  14. Zhou, Z.; Wang, C.; Luo, Y. Meta-analysis of the impacts of global change factors on soil microbial diversity and functionality. Nat. Commun. 2020, 11, 3072. [Google Scholar] [CrossRef] [PubMed]
  15. Meng, C.; Tian, D.; Zeng, H.; Li, Z.; Yi, C.; Niu, S. Global soil acidification impacts on belowground processes. Environ. Res. Lett. 2019, 14, 074003. [Google Scholar] [CrossRef]
  16. Zhang, X.; Guo, J.; Vogt, R.D.; Mulder, J.; Wang, Y.; Qian, C.; Wang, J.; Zhang, X. Soil acidification as an additional driver to organic carbon accumulation in major Chinese croplands. Geoderma 2020, 366, 114234. [Google Scholar] [CrossRef]
  17. Wei, H.; Liu, W.; Zhang, J.; Qin, Z. Effects of simulated acid rain on soil fauna community composition and their ecological niches. Environ. Pollut. 2017, 220, 460–468. [Google Scholar] [CrossRef] [PubMed]
  18. Yin, M.; Sun, J.; Chen, Y.; Wang, J.; Shang, J.; Belshaw, N.; Shen, C.; Liu, J.; Li, H.; Linghu, W.; et al. Mechanism of uranium release from uranium mill tailings under long-term exposure to simulated acid rain: Geochemical evidence and environmental implication. Environ. Pollut. 2019, 244, 174–181. [Google Scholar] [CrossRef]
  19. Qureshi, S.; Richards, B.K.; Steenhuis, T.S.; McBride, M.B.; Baveye, P.; Dousset, S. Microbial acidification and pH effects on trace element release from sewage sludge. Environ. Pollut. 2004, 132, 61–71. [Google Scholar] [CrossRef]
  20. Xu, D.; Carswell, A.; Zhu, Q.; Zhang, F.; de Vries, W. Modelling long-term impacts of fertilization and liming on soil acidification at Rothamsted experimental station. Sci. Total Environ. 2019, 713, 136249. [Google Scholar] [CrossRef]
  21. Hamidi, N.H.; Ahmed, O.H.; Omar, L.; Ch’Ng, H.Y.; Johan, P.D.; Paramisparam, P.; Jalloh, M.B. Acid Soils Nitrogen Leaching and Buffering Capacity Mitigation Using Charcoal and Sago Bark Ash. Sustainability 2021, 13, 11808. [Google Scholar] [CrossRef]
  22. Bowman, W.D.; Cleveland, C.C.; Halada, Ĺ.; Hreško, J.; Baron, J.S. Negative impact of nitrogen deposition on soil buffering capacity. Nat. Geosci. 2008, 1, 767–770. [Google Scholar] [CrossRef]
  23. Nelson, P.N.; Su, N. Soil pH buffering capacity: A descriptive function and its application to some acidic tropical soils. Soil Res. 2010, 48, 201–207. [Google Scholar] [CrossRef]
  24. Xu, R.-K.; Zhao, A.-Z.; Yuan, J.-H.; Jiang, J. pH buffering capacity of acid soils from tropical and subtropical regions of China as influenced by incorporation of crop straw biochars. J. Soils Sedim. 2012, 12, 494–502. [Google Scholar] [CrossRef]
  25. Kissel, D.E.; Sonon, L.S.; Cabrera, M.L. Rapid Measurement of Soil pH Buffering Capacity. Soil Sci. Soc. Am. J. 2012, 76, 694–699. [Google Scholar] [CrossRef]
  26. Norton, S. Changes in chemical processes in soils caused by acid precipitation. Water Air Soil Pollut. 1977, 7, 389–400. [Google Scholar] [CrossRef][Green Version]
  27. Jiang, J.; Wang, Y.; Yu, M.; Li, K.; Shao, Y.; Yan, J. Responses of soil buffering capacity to acid treatment in three typical subtropical forests. Sci. Total Environ. 2016, 563–564, 1068–1077. [Google Scholar] [CrossRef]
  28. Curtin, D.; Trolove, S. Predicting pH buffering capacity of New Zealand soils from organic matter content and mineral characteristics. Soil Res. 2013, 51, 494–502. [Google Scholar] [CrossRef]
  29. Luo, W.T.; Nelson, P.N.; Li, M.-H.; Cai, J.P.; Zhang, Y.Y.; Yang, S.; Wang, R.Z.; Wang, Z.W.; Wu, Y.N.; Han, X.G.; et al. Contrasting pH buffering patterns in neutral-alkaline soils along a 3600 km transect in northern China. Biogeosciences 2015, 12, 7047–7056. [Google Scholar] [CrossRef]
  30. Shi, Z.; Weiner, J.; Cavalieri, A.; Liu, H.; Li, T.; Cai, J.; Jiang, Y. The interaction between N and P addition on grassland soil acid buffering capacity is regulated by precipitation. Soil Sci. Plant Nutr. 2021, 67, 222–232. [Google Scholar] [CrossRef]
  31. Lu, X.; Mao, Q.; Mo, J.; Gilliam, F.S.; Zhou, G.; Luo, Y.; Zhang, W.; Huang, J. Divergent Responses of Soil Buffering Capacity to Long-Term N Deposition in Three Typical Tropical Forests with Different Land-Use History. Environ. Sci. Technol. 2015, 49, 4072–4080. [Google Scholar] [CrossRef] [PubMed]
  32. Wiklander, L. The role of neutral salts in the ion exchange between acid precipitation and soil. Geoderma 1975, 14, 93–105. [Google Scholar] [CrossRef]
  33. Cai, J.; Luo, W.; Liu, H.; Feng, X.; Zhang, Y.; Wang, R.; Xu, Z.; Zhang, Y.; Jiang, Y. Precipitation-mediated responses of soil acid buffering capacity to long-term nitrogen addition in a semi-arid grassland. Atmos. Environ. 2017, 170, 312–318. [Google Scholar] [CrossRef]
  34. Zhang, Y.; de Vries, W.; Thomas, B.; Hao, X.; Shi, X. Impacts of long-term nitrogen fertilization on acid buffering rates and mechanisms of a slightly calcareous clay soil. Geoderma 2017, 305, 92–99. [Google Scholar] [CrossRef]
  35. Jiang, J.; Wang, Y.; Yu, M.; Cao, N.; Yan, J. Soil organic matter is important for acid buffering and reducing aluminum leaching from acidic forest soils. Chem. Geol. 2018, 501, 86–94. [Google Scholar] [CrossRef]
  36. Field, A. Discovering Statistics Using SPSS (Third Edition); SAGE Publications Ltd.: Los Angeles, CA, USA; London, UK; New Delhi, India; Singapore; Washington, DC, USA, 2009. [Google Scholar]
  37. Gruba, P.; Mulder, J. Tree species affect cation exchange capacity (CEC) and cation binding properties of organic matter in acid forest soils. Sci. Total Environ. 2015, 511, 655–662. [Google Scholar] [CrossRef]
  38. Zhao, D.; Wang, J.; Zhao, X.; Triantafilis, J. Clay content mapping and uncertainty estimation using weighted model averaging. Catena 2021, 209, 105791. [Google Scholar] [CrossRef]
  39. Zhao, H.-L.; Yi, X.-Y.; Zhou, R.-L.; Zhao, X.-Y.; Zhang, T.-H.; Drake, S. Wind erosion and sand accumulation effects on soil properties in Horqin Sandy Farmland, Inner Mongolia. Catena 2006, 65, 71–79. [Google Scholar] [CrossRef]
  40. Wuepper, D.; Borrelli, P.; Finger, R. Countries and the global rate of soil erosion. Nat. Sustain. 2019, 3, 51–55. [Google Scholar] [CrossRef]
  41. Nguyen, T.; Tran, T.T.H. The Contribution of Various Components to pH Buffering Capacity of Acrisols in Southeastern Vietnam. Commun. Soil Sci. Plant Anal. 2019, 50, 1170–1177. [Google Scholar] [CrossRef]
  42. Daskalova, G.N.; Myers-Smith, I.H.; Bjorkman, A.D.; Blowes, S.A.; Supp, S.R.; Magurran, A.E.; Dornelas, M. Landscape-scale forest loss as a catalyst of population and biodiversity change. Science 2020, 368, 1341–1347. [Google Scholar] [CrossRef] [PubMed]
  43. Anderegg, W.R.L.; Trugman, A.T.; Badgley, G.; Anderson, C.M.; Bartuska, A.; Ciais, P.; Cullenward, D.; Field, C.B.; Freeman, J.; Goetz, S.J.; et al. Climate-driven risks to the climate mitigation potential of forests. Science 2020, 368, eaaz7005. [Google Scholar] [CrossRef] [PubMed]
  44. Díez, M.; Simón, M.; García, I.; Martín, F.; Peinado, F.J.M. Assessment of the Critical Load of Trace Elements in Soils Polluted by Pyrite tailings. A Laboratory Experiment. Water Air Soil Pollut. 2008, 199, 381–387. [Google Scholar] [CrossRef]
Figure 1. Boxplots and Q-Q plots of the extracted soil pH buffering capacity (pHBC; a,a1) and pHBC, which were log-transformed with a natural base (b,b1). The mean, observation number, and standard deviation (sd) of soil pHBC and ln(pHBC) are presented in panels a and b, respectively.
Figure 1. Boxplots and Q-Q plots of the extracted soil pH buffering capacity (pHBC; a,a1) and pHBC, which were log-transformed with a natural base (b,b1). The mean, observation number, and standard deviation (sd) of soil pHBC and ln(pHBC) are presented in panels a and b, respectively.
Sustainability 14 03017 g001
Figure 2. The pH buffering capacity, which was log-transformed with a natural base [ln(pHBC)], grouped by climate type (a) and ecosystem type (b). Statistical parameters, i.e., Chi-square (χ2) and the significance level (p), estimated by the Kruskal–Wallis test, are presented to indicate significant differences among groups in each of the panels. The different lowercase letters indicate significant differences between each pair of groups revealed by the nonparametric Mann–Whitney test.
Figure 2. The pH buffering capacity, which was log-transformed with a natural base [ln(pHBC)], grouped by climate type (a) and ecosystem type (b). Statistical parameters, i.e., Chi-square (χ2) and the significance level (p), estimated by the Kruskal–Wallis test, are presented to indicate significant differences among groups in each of the panels. The different lowercase letters indicate significant differences between each pair of groups revealed by the nonparametric Mann–Whitney test.
Sustainability 14 03017 g002
Figure 3. Relationships between soil pHBC and soil texture (a), pH (b), soil organic carbon (c), and cation exchange capacity (d). The coefficient of determination (R2), observation number (n), and significance level (p) are presented in each panel. In each panel, the gray circles are the observed values, and the black solid line is the regression line between the two variables, with the red and blue lines indicating 95% confidence intervals and prediction bands, respectively.
Figure 3. Relationships between soil pHBC and soil texture (a), pH (b), soil organic carbon (c), and cation exchange capacity (d). The coefficient of determination (R2), observation number (n), and significance level (p) are presented in each panel. In each panel, the gray circles are the observed values, and the black solid line is the regression line between the two variables, with the red and blue lines indicating 95% confidence intervals and prediction bands, respectively.
Sustainability 14 03017 g003
Figure 4. The path structure and outputs from the structural equation modeling used in this study (a: dataset with pH > 5.5; b: dataset with pH < 5.5). In the model, soil pHBC, SOC, and CEC indicate the soil pH buffering capacity, soil organic carbon, and cation exchange capacity, respectively. Soil texture was calculated by dividing the summed proportion of the clay and silt contents by that of the sand. The red and blue colors indicate negative and positive relationships, respectively, with the corresponding path coefficients labeled along the lines. Solid lines indicate that the path coefficients are significant, while dashed lines indicate the insignificance of path coefficients. The signals *, ** and *** indicate significance at p < 0.05, 0.01 and 0.001, respectively.
Figure 4. The path structure and outputs from the structural equation modeling used in this study (a: dataset with pH > 5.5; b: dataset with pH < 5.5). In the model, soil pHBC, SOC, and CEC indicate the soil pH buffering capacity, soil organic carbon, and cation exchange capacity, respectively. Soil texture was calculated by dividing the summed proportion of the clay and silt contents by that of the sand. The red and blue colors indicate negative and positive relationships, respectively, with the corresponding path coefficients labeled along the lines. Solid lines indicate that the path coefficients are significant, while dashed lines indicate the insignificance of path coefficients. The signals *, ** and *** indicate significance at p < 0.05, 0.01 and 0.001, respectively.
Sustainability 14 03017 g004
Publisher’s Note: MDPI stays neutral with regard to jurisdictional claims in published maps and institutional affiliations.

Share and Cite

MDPI and ACS Style

Wei, H.; Yang, J.; Liu, Z.; Zhang, J. Data Integration Analysis Indicates That Soil Texture and pH Greatly Influence the Acid Buffering Capacity of Global Surface Soils. Sustainability 2022, 14, 3017. https://doi.org/10.3390/su14053017

AMA Style

Wei H, Yang J, Liu Z, Zhang J. Data Integration Analysis Indicates That Soil Texture and pH Greatly Influence the Acid Buffering Capacity of Global Surface Soils. Sustainability. 2022; 14(5):3017. https://doi.org/10.3390/su14053017

Chicago/Turabian Style

Wei, Hui, Jiayue Yang, Ziqiang Liu, and Jiaen Zhang. 2022. "Data Integration Analysis Indicates That Soil Texture and pH Greatly Influence the Acid Buffering Capacity of Global Surface Soils" Sustainability 14, no. 5: 3017. https://doi.org/10.3390/su14053017

APA Style

Wei, H., Yang, J., Liu, Z., & Zhang, J. (2022). Data Integration Analysis Indicates That Soil Texture and pH Greatly Influence the Acid Buffering Capacity of Global Surface Soils. Sustainability, 14(5), 3017. https://doi.org/10.3390/su14053017

Note that from the first issue of 2016, this journal uses article numbers instead of page numbers. See further details here.

Article Metrics

Back to TopTop