Thermophysical Properties and Heat Transfer Performance of Novel Dry-Ice-Based Sustainable Hybrid Lubri-Coolant
Abstract
:1. Introduction
2. Materials and Methods
2.1. Thermophysical Characteristic of Hybrid Coolant/Lubricant
2.2. Sample Preparation of Hybrid Coolant/Lubricant
2.3. Thermophysical Measurement Equipment
3. Results and Discussion
3.1. Density
3.2. Thermal Conductivity
3.3. Specific Heat
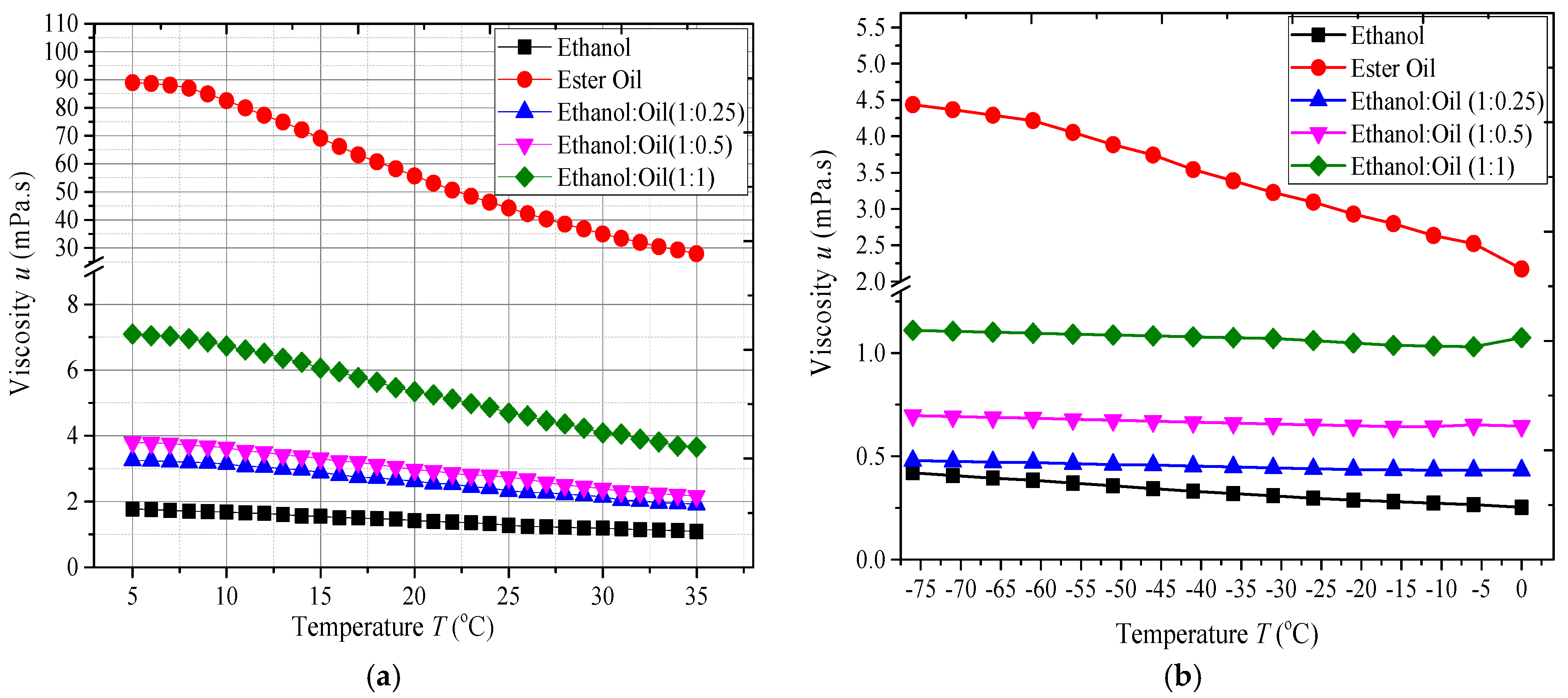
3.4. Viscosity
3.5. Evaporation
4. Heat Transfer Characteristics of Coolants/Lubricants
4.1. Experimental Setup Details
4.2. Analytical Modeling
4.3. Surface Temperature
4.4. Surface Heat Flux
4.5. Heat Transfer Coefficient
5. Machining under Hybrid Ethanol–Ester Oil–Dry Ice
Cutting Tool Life under the Cooling Condition
6. Conclusions
- Thermophysical properties vary with temperature change. Without dry ice, the density (g/mL), thermal conductivity, and viscosity decrease, while specific heat increases in temperature from 5 °C to 30 °C. With dry ice (−78 °C), the temperature increased from −76 °C to 0 °C, and density (g/mL) was increased until −25 °C and then remained constant until 0 °C. While thermal conductivity and viscosity decreased, specific heat increased with the increase in temperature from −76 °C to 0 °C. Therefore, the addition of dry ice overall reduced the density, specific heat, and viscosity, while it increased the thermal conductivity.
- A significant increase in the heat transfer coefficient was observed under lubri-coolants sprayed onto a static hot plate. The addition of dry ice increased the heat transfer coefficient by 17% for ethanol, 11.4% for ethanol–ester oil (1:0.25), 8% for ethanol–ester oil (1:0.5), 5% for ethanol–ester oil (1:1), and a minimum of 2% for ester oil. It can be said that increasing the proportion of ester oil in hybrid ethanol–ester oil reduced the heat transfer coefficient.
- In the machining of heat-treated Ti-6Al-4V, the addition of dry ice into hybrid ethanol–ester oil increased the tool life up to 11.5% at a low level of cutting speed, while at a high level of cutting speed, ethanol–ester oil–dry ice improved tool life up to 10%. A maximum improvement in tool life was obtained under hybrid ethanol–ester oil–dry ice among all conditions.
- The obtained results of this study are useful to manufacturing engineers for assessing a newly developed coolant behavior. This hybrid ethanol–ester oil is sustainable and one step towards sustainable manufacturing in the Chinese manufacturing industry (CMI). The key benefits of this hybrid ethanol-ester oil–dry ice are green, environmentally friendly, economical, and useful applications of CO2 as a byproduct of chemical industry.
7. Limitations and Future Work
Author Contributions
Funding
Data Availability Statement
Conflicts of Interest
Abbreviations
| EPA | Environmental Protection Agency |
| MQL | Minimum quantity lubrication |
| LN2 | Liquid nitrogen |
| k (W/mK) | Thermal conductivity |
| µ (mPa.s) | Viscosity |
| TPS | Transient plane source |
| (Pa) | Shear stress |
| (1/s) | Shear strain rate |
| m | Mass of the Ti-6Al-4V plate |
| A | Surface area |
| cryoMQL | Cryogenic minimum quantity lubrication |
| MP (°C) | Melting Point |
| BP (°C) | Boiling point |
| Cp (kJ/kgK) | Specific heat |
| ρ (g/mL) | Density |
| DSC | Differential scanning calorimeter |
| (mPa.s) | Viscosity |
| Heat transfer per unit time | |
| Temperature drop per unit time | |
| Thickness of the plate |
References
- Khan, A.; Mia, M.; Dhar, N.R. High-pressure coolant on flank and rake surfaces of tool in turning of Ti-6Al-4V: Investigations on forces, temperature, and chips. Int. J. Adv. Manuf. Technol. 2016, 90, 1977–1991. [Google Scholar] [CrossRef]
- Ezugwu, E.O.; Bonney, J.; Da Silva, R.B.; Çakir, O. Surface integrity of finished turned Ti–6Al–4V alloy with PCD tools using conventional and high pressure coolant supplies. Int. J. Mach. Tools Manuf. 2007, 47, 884–891. [Google Scholar] [CrossRef]
- Zhang, C.; Zhang, S.; Yan, X.; Zhang, Q. Effects of internal cooling channel structures on cutting forces and tool life in side milling of H13 steel under cryogenic minimum quantity lubrication condition. Int. J. Adv. Manuf. Technol. 2015, 83, 975–984. [Google Scholar] [CrossRef]
- Jeevan, T.P.; Jayaram, S.R. Performance Evaluation of Jatropha and Pongamia Oil Based Environmentally Friendly Cutting Fluids for Turning AA 6061. Adv. Tribol. 2018, 2018, 2425619. [Google Scholar] [CrossRef] [Green Version]
- Pusavec, F.; Deshpande, A.; Yang, S.; M’Saoubi, R.; Kopac, J.; Dillon, O.W.; Jawahir, I. Sustainable machining of high temperature Nickel alloy—Inconel 718: Part 1—Predictive performance models. J. Clean. Prod. 2014, 81, 255–269. [Google Scholar] [CrossRef]
- Elsaid, K.; Abdelkareem, M.A.; Maghrabie, H.M.; Sayed, E.T.; Wilberforce, T.; Baroutaji, A.; Olabi, A. Thermophysical properties of graphene-based nanofluids. Int. J. Thermofluids 2021, 10, 100073. [Google Scholar] [CrossRef]
- Zhang, H.; Qing, S.; Zhai, Y.; Zhang, X.; Zhang, A. The changes induced by pH in TiO2/water nanofluids: Stability, thermophysical properties and thermal performance. Powder Technol. 2020, 377, 748–759. [Google Scholar] [CrossRef]
- Duangthongsuk, W.; Wongwises, S. Effect of thermophysical properties models on the predicting of the convective heat transfer coefficient for low concentration nanofluid. Int. Commun. Heat Mass Transf. 2008, 35, 1320–1326. [Google Scholar] [CrossRef]
- Wang, Y.; Dai, M.; Liu, K.; Liu, J.; Han, L.; Liu, H. Research on surface heat transfer mechanism of liquid nitrogen jet cooling in cryogenic machining. Appl. Therm. Eng. 2020, 179, 115607. [Google Scholar] [CrossRef]
- Bermingham, M.; Kirsch, J.; Sun, S.; Palanisamy, S.; Dargusch, M. New observations on tool life, cutting forces and chip morphology in cryogenic machining Ti-6Al-4V. Int. J. Mach. Tools Manuf. 2011, 51, 500–511. [Google Scholar] [CrossRef]
- Pušavec, F.; Grguraš, D.; Koch, M.; Krajnik, P. Cooling capability of liquid nitrogen and carbon dioxide in cryogenic milling. CIRP Ann. 2019, 68, 73–76. [Google Scholar] [CrossRef] [Green Version]
- Jebaraj, M.; Kumar, P.; Anburaj, R. Effect of LN2 and CO2 coolants in milling of 55NiCrMoV7 steel. J. Manuf. Process. 2020, 53, 318–327. [Google Scholar] [CrossRef]
- Jamil, M.; He, N.; Zhao, W.; Li, L.; Gupta, M.K.; Sarikaya, M.; Khan, A.M.; Singh, R. Heat Transfer Efficiency of Cryogenic-LN2 and CO2-snow and their application in the Turning of Ti-6AL-4V. Int. J. Heat Mass Transf. 2020, 166, 120716. [Google Scholar] [CrossRef]
- Jamil, M.; He, N.; Huang, X.; Zhao, W.; Gupta, M.K.; Khan, A.M. Measurement of machining characteristics under novel dry ice blasting cooling assisted milling of AISI 52100 tool steel. Measurement 2022, 191, 110621. [Google Scholar] [CrossRef]
- Sartori, S.; Ghiotti, A.; Bruschi, S. Hybrid lubricating/cooling strategies to reduce the tool wear in finishing turning of difficult-to-cut alloys. Wear 2017, 376–377, 107–114. [Google Scholar] [CrossRef]
- Çetindağ, H.A.; Çiçek, A.; Uçak, N. The effects of CryoMQL conditions on tool wear and surface integrity in hard turning of AISI 52100 bearing steel. J. Manuf. Process. 2020, 56, 463–473. [Google Scholar] [CrossRef]
- Krishnamurthy, G.; Bhowmick, S.; Altenhof, W.; Alpas, A. Increasing efficiency of Ti-alloy machining by cryogenic cooling and using ethanol in MRF. CIRP J. Manuf. Sci. Technol. 2017, 18, 159–172. [Google Scholar] [CrossRef]
- Liu, H.; Cai, C.; Yin, H.; Luo, J.; Jia, M.; Gao, J. Experimental investigation on heat transfer of spray cooling with the mixture of ethanol and water. Int. J. Therm. Sci. 2018, 133, 62–68. [Google Scholar] [CrossRef]
- Bhatt, N.; Lily; Raj, R.; Varshney, P.; Pati, A.; Chouhan, D.; Kumar, A.; Munshi, B.; Mohapatra, S. Enhancement of heat transfer rate of high mass flux spray cooling by ethanol-water and ethanol-tween20-water solution at very high initial surface temperature. Int. J. Heat Mass Transf. 2017, 110, 330–347. [Google Scholar] [CrossRef]
- Hegab, H.; Kishawy, H.A.; Umer, U.; Mohany, A. A model for machining with nano-additives based minimum quantity lubrication. Int. J. Adv. Manuf. Technol. 2019, 102, 2013–2028. [Google Scholar] [CrossRef]
- Poling, B.E.; Prausnitz, J.M. Properties of Gases and Liquids, 15th ed.; McGraw-Hill Education: New York, NY, USA, 2001. [Google Scholar]
- Esteban, B.; Riba, J.-R.; Baquero, G.; Rius, A.; Puig, R. Temperature dependence of density and viscosity of vegetable oils. Biomass Bioenergy 2012, 42, 164–171. [Google Scholar] [CrossRef] [Green Version]
- Fan, J.; Liu, Q.; Song, F.; Wang, X.; Zhang, L. Experimental investigations on the liquid thermal conductivity of five saturated fatty acid methyl esters components of biodiesel. J. Chem. Thermodyn. 2018, 125, 50–55. [Google Scholar] [CrossRef]
- Su, Y.; Gong, L.; Chen, D. Dispersion stability and thermophysical properties of environmentally friendly graphite oil–based nanofluids used in machining. Adv. Mech. Eng. 2016, 8, 1687814015627978. [Google Scholar] [CrossRef]
- Wang, Y.; Liu, M.; Liu, D.; Xu, K.; Chen, Y. Experimental study on the effects of spray inclination on water spray cooling performance in non-boiling regime. Exp. Therm. Fluid Sci. 2010, 34, 933–942. [Google Scholar] [CrossRef]
- Damle, R.; Ardhapurkar, P.; Atrey, M. Numerical analysis of the two-phase heat transfer in the heat exchanger of a mixed refrigerant Joule–Thomson cryocooler. Cryogenics 2015, 72, 103–110. [Google Scholar] [CrossRef]
- Kitagawa, T.; Kubo, A.; Maekawa, K. Temperature and wear of cutting tools in high-speed machining of Inconel 718 and Ti-6Al-6V-2Sn. Wear 1997, 202, 142–148. [Google Scholar] [CrossRef]
- Rahim, E.A.; Sasahara, H. High speed MQL drilling of titanium alloy using synthetic ester and palm oil. In Proceedings of the 36th International MATADOR Conference, Manchester, UK, 14–16 July 2010; Springer: London, UK, 2010. [Google Scholar]
- Zhang, S.; Li, J.; Wang, Y. Tool life and cutting forces in end milling Inconel 718 under dry and minimum quantity cooling lubrication cutting conditions. J. Clean. Prod. 2012, 32, 81–87. [Google Scholar] [CrossRef]
















| Material | Melting Point, MP (°C) | Boiling Point, BP (°C) | Density, ρ (g/mL) | Thermal Conductivity, k (W/mK) | Specific Heat, Cp (kJ/kgK) | Viscosity, µ (mPa.s) |
|---|---|---|---|---|---|---|
| Ethanol | −114.1 | 78.5 | 0.789~0.791 at 20 °C | 0.17 at 20 °C | 2.44 | 1.275 |
| Ester oil | - | - | 0.85 at 20 °C | 0.16 | 1.68 | 44.26 |
| Dry ice | - | −78.464 | 1511 kg/m3 at −78 °C | 0.01663 | 0.849 |
| Samples | Sr # | No Dry Ice | Sr # | Dry Ice |
|---|---|---|---|---|
| Pure ethanol | 1 | Ethanol = 60 mL | 6 | Ethanol = 60 mL Dry ice = 60 g |
| Pure ester oil | 2 | Ester oil = 60 mL | 7 | Ester oil = 60 mL Dry ice = 60 g |
| Hybrid ethanol–ester oil (1:0.25) | 3 | Ethanol = 48 mL Ester oil = 12 mL | 8 | Ethanol = 48 mL Ester oil = 12 mL Dry ice = 60 g |
| Hybrid ethanol–ester oil (1:0.5) | 4 | Ethanol = 40 mL Ester oil = 20 mL | 9 | Ethanol = 40 mL Ester oil = 20 mL Dry ice = 60 g |
| Hybrid ethanol–ester oil (1:1) | 5 | Ethanol = 30 mL Ester oil = 30 mL | 10 | Ethanol = 30 mL Ester oil = 30 mL Dry ice = 60 g |
Publisher’s Note: MDPI stays neutral with regard to jurisdictional claims in published maps and institutional affiliations. |
© 2022 by the authors. Licensee MDPI, Basel, Switzerland. This article is an open access article distributed under the terms and conditions of the Creative Commons Attribution (CC BY) license (https://creativecommons.org/licenses/by/4.0/).
Share and Cite
Jamil, M.; Iqbal, A.; He, N.; Cheok, Q. Thermophysical Properties and Heat Transfer Performance of Novel Dry-Ice-Based Sustainable Hybrid Lubri-Coolant. Sustainability 2022, 14, 2430. https://doi.org/10.3390/su14042430
Jamil M, Iqbal A, He N, Cheok Q. Thermophysical Properties and Heat Transfer Performance of Novel Dry-Ice-Based Sustainable Hybrid Lubri-Coolant. Sustainability. 2022; 14(4):2430. https://doi.org/10.3390/su14042430
Chicago/Turabian StyleJamil, Muhammad, Asif Iqbal, Ning He, and Quentin Cheok. 2022. "Thermophysical Properties and Heat Transfer Performance of Novel Dry-Ice-Based Sustainable Hybrid Lubri-Coolant" Sustainability 14, no. 4: 2430. https://doi.org/10.3390/su14042430
APA StyleJamil, M., Iqbal, A., He, N., & Cheok, Q. (2022). Thermophysical Properties and Heat Transfer Performance of Novel Dry-Ice-Based Sustainable Hybrid Lubri-Coolant. Sustainability, 14(4), 2430. https://doi.org/10.3390/su14042430

