Abstract
The monitoring data of a micrometeorological station in Lecce (Southern Italy, Puglia region, Salento Peninsula) were used with the aim of interpreting the variations in the groundwater level in a shallow aquifer as a function of hydrometeorological forcing. For this scope, the aridity index (AI) was calculated to evaluate the surface-water stress. Although the results indicated a moderate drought during the 2019–2020 hydrological year, a critical situation for the surface hydrological balance in the first quarter of 2020 did not occur. Therefore, the reduction in the groundwater level measured in April can be ascribed to the excessive domestic water consumption that occurred during the lockdown for COVID-19.
1. Introduction
The COVID-19 pandemic is radically impacting the lives of millions of people around the world, and the consequent restrictions adopted by each government drastically changed lifestyles, economic activities, working routines, and hygiene practices [,]. This global situation generated a cascade effect on financial [], economic [], public-perception [], and environmental issues [,]. Thus, several scientific research studies were produced in different fields with the aim of studying the consequences of global epidemics on society.
Given these premises, more than ever, the accessibility of drinking water for ensuring adequate health conditions is a crucial issue. Therefore, for travel restrictions, indoor activities, and working from home, people are forced to spend more of their time at home, and their water use increases, as demonstrated by [,] for the first wave of the pandemic.
In an environment where the natural availability of water resources is low, groundwater is the main source available to meet the demand, like in the case of the Salento Peninsula (Puglia region, Southern Italy), a highly anthropized coastal area with a favorable climate for agricultural production and tourism. In the last years, this territory has suffered a period of moderate drought. In fact, according to [], the values of both the Standardized Precipitation Index (SPI; []) and the Standardized Precipitation and Evapotranspiration Index (SPEI; [,]), calculated by using local rainfall data collected since 1951, have turned negative (moderate drought) from 2016.
In this note, with reference to a study area located in the southeastern part of Puglia region, an interpretation of the groundwater level variations that occurred during the hydrological year 2019–2020 is provided. Such variations are correlated to the aforementioned moderate drought conditions and to a probable groundwater stress, induced by an increase in consumption, even 40% higher than the expected seasonal value, in turn, as previously mentioned, consequent to a greater use of water for personal hygiene and an extended stay of the majority of the population at homes [].
The note is structured as follows: after a description of the hydrogeological setting of the Salento Peninsula, the groundwater level monitoring system, equipped with an electronic water level meter, and used for the collection of the data for the interpretation, is described; then, the monthly variations in the aridity index (AI), an indicator of the water-surface stress in a region, are then discussed, and the precipitations are compared with the actual evapotranspiration for the considered hydrological year; finally, a discussion of the results and some concluding remarks are reported.
2. Methods and Material
2.1. Case Study
From the geological point of view, the Salento Peninsula belongs to a foreland sector of the Apenninic Chain. A horst and graben setting developed from the Late Cretaceous, undergoing moderate tectonic deformations. The upper lithosphere of the peninsula consists of Cretaceous limestones and dolostones covered by Tertiary and Quaternary bioclastic carbonates and marls. Groundwater is contained in a complex system of aquifers, consisting of a main regional reservoir (namely, the Cretaceous Aquifer in hydrodynamic equilibrium with intruding marine waters) and several shallow aquifers [,,,,]. Two Miocene aquifers are located in the central-southern and in the central-eastern parts of the peninsula, respectively [,]. These aquifers host groundwater characterized by good qualitative and quantitative properties for the use; however, an adequate monitoring is required []. The Miocene Aquifer of Central-Eastern Salento (hereinafter referred to as MACES) is supplied by meteoric waters and two Plio-Quaternary aquifers, partially overlapping (Figure 1).

Figure 1.
Geological map of the central-eastern Salento. 1. Plio-Quaternay units; 2. Miocene and Oligocene units; 3. Cretaceous units; 4. boundary of the Miocene Aquifer of Central-Eastern Salento (MACES); 5. boundary of the Plio-Quaternary aquifers; (4 and 5 after [], modified).
MACES is extensively exploited for irrigation and domestic purposes through several licensed and unlicensed wells. Poor ephemeral streams networks are mostly dry. Thus, the main water supply is represented by groundwater. The water is not distributed to customers with a central system. The hydrogeological properties are heterogeneous for the peculiar lithostratigraphic and structural characteristics of the reservoir formations (Pietra Leccese and Calcareniti di Andrano). The hydrogeological characteristics of the Pietra Leccese Fm., specifically the transmissivity, as it is usual in fractured rock masses, are composed of a primary permeability, associated with the rock matrix, and a secondary permeability, dictated by the network of fractures. The last component can be defined by sampling fracture data on outcrops in order to define, for each fracture set, mean and standard deviation values of the orientation, spacing, persistence and aperture (also expanded by karstification), plus the percentage of termination and filling occurrence [].
In the study area, some Oligocene to Miocene units are interposed between the Cretaceous units and the Pietra Leccese Fm. As a whole, they form the aquiclude separating the regional aquifer from MACES. For the reduced thickness and a variation in lithology, the aquiclude is more pervious in the north-west sector (see section B-B’ in Figure 1), where MACES drains into the Cretaceous Aquifer. The Pietra Leccese Fm. is covered by a Plio-Quaternary unit, namely, the Calcareniti di Gravina Fm., which in turn is overlain by the Sabbie a Brachiopodi Fm. and the Terraced Marine Deposits Fm. []. The former hosts the unsaturated (vadose) zone of MACES, while the latter constitutes the local shallowest aquifer (P-Qa in Figure 1).
The contours of the average groundwater levels of MACES in the study area (Figure 2) were surveyed by []. No updates are available. A strong geological control can be suggested to explain the hydraulic gradient direction.

Figure 2.
Contour map of the groundwater levels in the study area (m a.s.l.); solid light-blue line, Miocene Aquifer of Central-Eastern Salento (MACES); red dashed line, MACES boundary; solid blue line, Regional Cretaceous Aquifer; IMS, ISAC-CNR Micrometeorological Station; FW, Fiorini well; BW, Benessere well; EI 61/II, Ente Irrigazione well (after [], modified).
The Ecotekne Campus (University of Salento, Lecce) is in the center of the study area. Since June 2017, the Institute of Atmospheric Sciences and Climate of the National Research Council of Italy (ISAC-CNR) has carried out groundwater level monitoring of MACES in two hand-dug wells, named Fiorini (FW) and Benessere (BW) wells (Figure 2 and Figure 3). However, the systematic measurements in BW began in June 2018. The stratigraphic contact between Pietra Leccese Fm. and Calcareniti di Gravina Fm. is at a depth of about 10.5 m, as determined by direct speleological observations in FW (see Figure 3).

Figure 3.
Ecotekne Campus measurement field; the calculated height of the hand dug well head is 22.5 for FW and 24.7 m a.s.l. for BW (topographical base taken from the provincial technical map at a scale of 1:5000); (A) lithostratigraphy of FW; (B) 15 April 2020 hydraulic gradient.
The measurement site of Ecotekne Campus also includes the ISAC-CNR Micrometeorological Station (IMS; 40°19′59.69″ N, 18°07′00.86″ E; Figure 2 and Figure 3) [,]. Given the proximity of the monitored wells to the station [], meteorological and hydrological measurements can be directly compared.
In Figure 4, the stratigraphic column of well EI 61/II is shown. This well was drilled and equipped by the local agency for irrigation (Ente Irrigazione, EI) in the mid-1950s and is placed 1.5 km east-north-east of the Ecotekne Campus (see Figure 2 for the location). In the EI 61/II data sheet [], MACES is described as strongly fractured. Although there is a lack of lithostratigraphic information, it can be assumed that the aquiclude between the aquifers is mainly formed by calcarenites and clayey-marls. [].

Figure 4.
EI 61/II well; (A) hydrostratigrafy; (B) litostratigraphy; (C) casing of EI 61/II well (from [], modified); the colors used in B are the same of Figure 1 and provide the geological ages.
The hydrogeological investigations carried out by EI recorded the same static levels (2.8 m a.s.l.) for both the shallow aquifer and the deep aquifer. It is to remark the good agreement with the result of the survey performed by []. In March 1955, a pumping test performed in EI 61/II (equipped to pump only the shallow aquifer after isolating the deep one, see Figure 4) resulted in a lowering of the dynamic level of less than one meter with a flow rate of over 50 l/s (Table 1). Note that this test was executed at the end of the winter season, when MACES is at the maximum of the potential.

Table 1.
Drawdown of the shallow water table, compared to the static level obtained from the pumping test performed in EI 61/II.
As far as the climate is concerned, the Salento Peninsula has specific features because of its position in the Otranto channel, with moderate northern channeling winds typically blowing during daytime in high pressure conditions, with clear skies and strong insolation. Precipitations are generally limited due to the lack of relevant orography and the residual blocking effect of the Apennine Mountains (NW of Salento), for the incoming cyclonic moisture, generally accompanied by southern winds. The warm/dry season (April–September) is generally characterized by temperatures that can reach even 40 °C and more, and generally reduced precipitation events, while the rest of the year is characterized by mild autumn–winter temperatures (hardly negative even at night) and enhanced precipitations (about 700 mm during the whole year as average). In the last years, a generalized tendency to an increase in strong short precipitating events has been observed in the dry season [].
2.2. Methods
As previously mentioned, the aridity index (AI) represents an indicator for the assessment of the surface-water stress at plot scale. In the recent definition adopted by the United Nations Environment Program (UNEP), AI is expressed as the ratio between two hydrological indicators, the precipitation P and the potential evapotranspiration PET []; in formula:
PET is evaluated with reference to the Penman-Monteith (PM) equation [], where different formulations can be applied depending on the available meteorological variables [,]. The quantity refers to the evapotranspiration from a water-saturated surface, ideally subjected to wind, temperature, humidity, and radiation conditions identical to those measured in the location. It is to notice that the calculated PET values do not generally correspond to the values of the actual evapotranspiration ET, whose measurement is accomplished by applying the Eddy-Covariance (EC) method [,], based on the correlation between simultaneous measurements of the turbulent fluctuations of wind speed and atmospheric humidity. PET is basically a measure of the draining capacity of the atmosphere over a water-saturated surface. Under relatively dry conditions, PET tends to increase rather than decrease, contrary to ET []. Note that according to the definition in Equation (1), AI decreases as the availability of the surface water decreases.
2.3. Dataset
The dataset utilized herein consists of the daily precipitation values recorded at ISAC-CNR IMS from August 2017 to October 2020, and the groundwater levels in BW and FW, measured on an average three times per week from June 2017 to October 2020 by using an electronic meter with light and sound indicators.
The measurement site inside the Ecotekne Campus is characterized by a typical vegetation (Mediterranean shrubs, pines, and olive groves). The micro-meteorological station includes a six-elements telescopic mast of 14 m over the main surface (street) level. The station is mainly devoted to long-term measurements of water and energy surface-atmosphere transfer. On top of the mast there are:
- One Solent-Gill R2 ultrasonic anemometer and one Campbell Kh20 Krypton hygrometer, constituting the eddy-covariance system; the anemometer measures the three wind velocity components (u, v, w) at a 20 Hz frequency, and the fast-response Krypton hygrometer measures the turbulent fluctuations of the atmospheric water vapor;
- One slow-response thermo-hygrometer for reference air temperature and humidity (Rotronic MP100).
The EC method was adopted to calculate the turbulent momentum and humidity fluxes, which are necessary for the estimation of the atmospheric resistance parameter in the PM equation, and the (actual) evapotranspiration flux ET.
Additional meteorological data at about 2 m above the surface, as well as other soil data, were measured by an automated Campbell station near the mast. All data are available as half-our averages in the web database of the ISAC-CNR station []. Among the available data, the net radiation and the soil heat flux were used, together with the air temperature, the air humidity, and the wind speed, to calculate the potential evaporation with the PM equation []. Then, calculated monthly totals for the PET and precipitations were used to calculate the AI from Equation (1). Note that AI is hardly significant over very short time scales where precipitation is frequently vanishing.
3. Results
From the analysis of the meteorological observations of the IMS, one may state that the hydrological years 2017–2018 and 2018–2019 were wetter than the year 2019–2020 (141% and 131%, respectively, Table 2), which was characterized by a significantly rainy winter semester with 71.5% of the total annual rainfall, equivalent to more than 600 mm; one third of this percentage occurred in February, favoring aquifer recharge. In the recent decades, the average annual rainfall was around 650 mm [,]. The heavy rainfall in February 2018 caused the rising by more than 0.4 m of the groundwater level of MACES. This record represents the largest increase registered during the three-year monitoring at the measurement site. In contrast, more than 40% of the rainfall of the 2019–2020 hydrological year fell during the summer semester (Table 2), a period in which effective infiltration was assumed zero in the seasonal hydrological balance (see, e.g., []). It is also to remark that the annual rainfall in the last hydrological year was lower than the average value of the previous years.

Table 2.
Cumulative rainfall measured by ISAC-CNR IMS.
In Figure 5, the groundwater levels from June 2017 to October 2020 in FW (orange line) and BW (green line) are shown, according to the available data and plotted together with the daily rainfall values (blue line), measured by the micrometeorological station. The variations in the groundwater level in BW are similar to those recorded in FW. Pronounced drops can be noticed during each analyzed hydrological year (Figure 4). The levels in both wells started to gradually rise after the October–December-2018 precipitations. A more evident decrease was instead recorded in the 2019–2020 hydrological year. In fact, the recharge of the water table occurred mainly in November and December 2019. In January (cumulative rainfall of only 11 mm), the levels rapidly decreased (1 cm every 1.5 days), consequently fluctuating in a range of about 10 cm. The mid-April minimum was exceeded in absolute value only by those of mid-September, by 1 cm in FW and 2 cm in BW.

Figure 5.
Groundwater levels in Fiorini and Benessere wells, together with the daily rainfall values recorded by ISAC-CNR IMS.
Like many karst aquifers, Salento’s aquifers generally show a quite rapid reaction to the surface infiltration of meteoric water, with a recharge typically beginning in a few days []. The aquifer recharge by infiltration primarily depends on the surface balance between the precipitation and the real evapotranspiration and on the soil moisture content. A reasonable proxy for the soil moisture stress at plot scale is the aridity index.
Figure 6 shows the monthly values for the AI calculated using Equation (1) and the ISAC-CNR station database. A slowly decreasing trend for the AI was evident along the three years, in agreement with the trends in the groundwater level (Figure 5), with the typical seasonal oscillation between the wet and the dry season. In addition, moderate drought conditions were also visible in 2020, with AI dropping from an average value of 0.33 between October 2019 and March 2020, to 0.09 between April and September 2020. Nevertheless, a strong increase in AI was observed in April 2020, whose value represents the maximum for the dry season in all the three years, suggesting a generally high soil moisture content with favorable infiltration conditions in this month.

Figure 6.
Monthly aridity index values from January 2018 to September 2020.
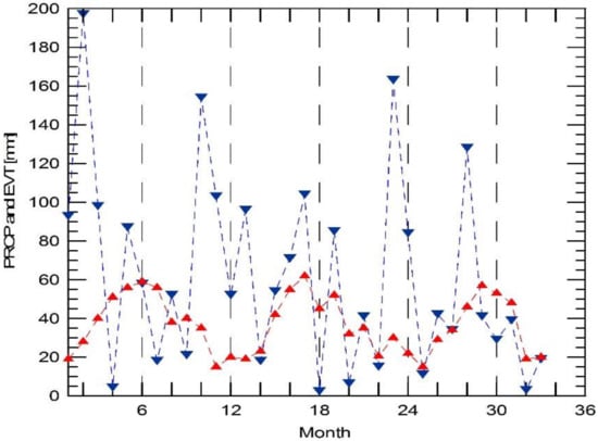
In Figure 7, the monthly precipitation values are compared with the corresponding actual evapotranspiration ET values for the years 2018–2020. ET was directly evaluated by estimating the vertical flux of water vapor measured above the surface, at about 14 m, by means of the EC method. Thus, the vertical flux of water vapor contains the total contributions from both soil surface evaporation and transpiration of the vegetation cover. The precipitation contribution is generally much larger than the evapotranspiration in the wet seasons, but the two terms tend to balance and often show reversed conditions in the dry season. In 2020, they started to balance in January–February and tended to reverse in spring and summer, when evapotranspiration prevails over precipitation, indicating drying soil conditions. The two strongest exceptions in the observed period were the precipitation maxima of September 2018 and April 2020, in which the precipitation peak overwhelms the evapotranspiration contributions. This is associated to a large positive surface water budget, indicating water availability for infiltration. In synthesis, Figure 6 and Figure 7 show moist soil conditions and surface water availability for infiltration and rapid recharge for the MACES in April 2020.

Figure 7.
Monthly actual evapotranspiration (red) and monthly precipitation (blue) from January 2018 to September 2020 measured by the IMS.
4. Discussion
A decreasing trend from the middle of the first hydrological year to the end of the last one is recognizable both in FW and BW. The conditions of moderate drought in the study area [] were confirmed by the results derived from the dataset recorded by IMS. During the 2017–2018 and 2018–2019 hydrological years, the decrease in the groundwater levels in both wells was presumably due to a high number of consecutive days without precipitation, followed by the summer period, during which the rainfall events are generally minimal. Thus, on the one hand, this response is possibly due to the seasonal variations from rainy to dry semesters, together with the start of the seasonal irrigation activity; on the other hand, the pronounced drop of the levels monitored in April 2020 cannot be justified only by the meteorological pattern, because of the recharging conditions by enhanced infiltration suggested by Figure 6 and Figure 7.
It is notable that in Puglia, agriculture plays a prominent role in the economic context. According to studies carried out by the Puglia Basin Authority, the irrigation demand in the region is around 801 Mm3, of which 655 Mm3 are withdrawn from the aquifers []. Due to the karstic nature of the territory, in fact, surface water availability is limited, and thus groundwater is revealed as the only main water supply.
Particularly in the Salento peninsula, groundwater is extensively overexploited for irrigation and domestic purposes through numerous authorized and unlicensed wells. Analyses performed by the Department of Civil, Environmental, Land, Construction, and Chemical Engineering (DICATECh) of the Polytechnic University of Bari have shown that the ratio of abstraction to recharge is over 40% [].
The pandemic’s closure of tourist attractions and the consequent reduction in demand would not balance the excessive use by the local population, since in April the tourism season is not quite as intense as in the summer. An excessive domestic water consumption occurred during the lockdown for COVID-19 [], together with excessive withdrawals for irrigation purposes, might be the main cause of this groundwater depletion. In spite of the limitations of a balance circumscribed to a zone within a distance of one km from the measurement station [] and even considering the other variables influencing the evolution of the groundwater levels, it is reasonable to state that the minimum groundwater level in April 2020 is consequent to excessive outflows rather than a deficit in meteoric recharge.
Finally, as visible in Figure 2, the direction of the gradient between the two monitored wells is oriented from SE to NW. This direction is congruent with the trend of the isophreatics reported by previous authors [,].
5. Conclusions
The research carried out at the measurement site in the Ecotekne Campus was finalized to compare groundwater levels and meteorological parameters. A negative trend in water resources from June 2017 to December 2020 is evident from the comparison. The reduction in groundwater levels during the first two hydrological years in that period was triggered by seasonal climatic variations. In contrast, the strong depletion of water resources occurred in April 2020 can be related to other additional factors. Indeed, in spite of the general moderate drought conditions in 2020, the decrease in the groundwater level during the enhanced recharging conditions in April 2020 should be associated to a general increase in water consumption during the COVID-19 health-emergency restrictions. To integrate this hypothesis, a better understanding of the hydrogeological connections between MACES and the Cretaceous aquifer may be helpful; in this respect, a comparison is required between the variations of the groundwater levels observed at the measurement site and those recorded in the observation wells in the central-western sector of the Salento Peninsula (belonging to the regional monitoring network, known as Progetto Maggiore).
In order to improve the quality of the data, it is necessary to carry out further phreatimetric measurements, detailed altimetric surveys (elevations of the wells), pumping tests, calculations of the volumes artificially introduced (disposal of purified water, irrigation with water from the deep water table, etc.). Future objectives are oriented towards detailed studies of the fracture network (including the karst features) and simulations of the groundwater circulation by resorting to numerical models.
Author Contributions
Conceptualization, M.R.A., G.B., M.D.R. and C.F.; methodology, M.R.A., G.B., M.D.R. and P.M.; formal analysis, M.R.A., M.D.R. and P.M.; investigation, M.R.A., M.D.R. and P.M.; resources, M.D.R. and P.M.; data curation, M.R.A., G.B., M.D.R. and P.M.; writing—original draft preparation, M.R.A., M.D.R., P.M. and C.F.; writing—review and editing, M.R.A., G.B. and C.F.; supervision, G.B. and C.F. All authors have read and agreed to the published version of the manuscript.
Funding
This research received no external funding.
Institutional Review Board Statement
Not applicable.
Informed Consent Statement
Not applicable.
Data Availability Statement
The data presented in this study are available on request from the corresponding author. The data are not publicly available due to the policy of research projects.
Acknowledgments
The authors thank Surveyor Luciano Carluccio (University of Salento) for technical support and Fabio Grasso (ISAC-CNR) and Cosimo Elefante (University of Salento) for their contributions to the management of the micrometeorological station data archive.
Conflicts of Interest
The authors declare no conflict of interest.
References
- Lau, H.; Khosrawipour, V.; Kocbach, P.; Mikolajczyk, A.; Schubert, J.; Bania, J.; Khosrawipour, T. The positive impact of lockdown in Wuhan on containing the COVID-19 outbreak in China. J. Travel Med. 2021, 27, taaa037. [Google Scholar] [CrossRef] [PubMed] [Green Version]
- Balacco, G.; Totaro, V.; Iacobellis, V.; Manni, A.; Spagnoletta, M.; Piccinni, A.F. Influence of COVID-19 spread on water drinking demand: The case of Puglia Region (Southern Italy). Sustainability 2020, 12, 5919. [Google Scholar] [CrossRef]
- Chen, S.; Igan, D.; Pierri, N.; Presbitero, A. Tracking the Economic Impact of COVID-19 and Mitigation Policies in Europe and the United States; IMF Working Paper No. 20/125; IMF: Washington, DC, USA, 2020.
- McKibbin, W.; Fernando, R. The economic impact of COVID-19. In Economics in the Time of COVID-19; Baldwin, R., Weder di Mauro, B., Eds.; CEPR Press: London, UK, 2020; pp. 45–51. [Google Scholar]
- Motta Zanin, G.; Gentile, E.; Parisi, A.; Spasiano, D. A preliminary evaluation of the public risk perception related to the COVID-19 health emergency in Italy. Int. J. Environ. Res. Public Health 2020, 17, 3024. [Google Scholar] [CrossRef] [PubMed]
- Chakraborty, I.; Maity, P. COVID-19 outbreak: Migration, effects on society, global environment and prevention. Sci. Total Environ. 2020, 728, 138882. [Google Scholar] [CrossRef]
- Liu, Z.; Ciais, P.; Deng, Z.; Lei, R.; Davis, S.J.; Feng, S.; Zheng, B.; Cui, D.; Dou, X.; Zhu, B.; et al. Near-real-time monitoring of global CO2 emissions reveals the effects of the COVID-19 pandemic. Nat. Commun. 2020, 11, 5172. [Google Scholar] [CrossRef]
- Lüdtke, D.U.; Luetkemeier, R.; Schneemann, M.; Liehr, S. Increase in daily household water demand during the first wave of the COVID-19 pandemic in Germany. Water 2021, 13, 260. [Google Scholar] [CrossRef]
- Balacco, G.; Alfio, M.R.; Fidelibus, M.D. Groundwater drought analysis under data scarcity: The case of the Salento aquifer (Italy). Sustainability 2022, 14, 707. [Google Scholar] [CrossRef]
- McKee, T.B.; Nolan, J.; Kleist, J. The relationship of drought frequency and duration to time scales. In Proceedings of the Eighth Conference on Applied Climatology, Anaheim, CA, USA, 17–22 January 1993. [Google Scholar]
- Vicente-Serrano, S.M.; Beguería, S.; López-Moreno, J.I. A multiscalar drought index sensitive to global warming: The standardized precipitation evapotranspiration index. J. Clim. 2010, 23, 1696–1718. [Google Scholar] [CrossRef] [Green Version]
- Beguería, S.; Vicente-Serrano, S.M.; Reig, F.; Latorre, B. Standardized precipitation evapotranspiration index (SPEI) revisited: Parameter fitting, evapotranspiration models, tools, datasets and drought monitoring. Int. J. Climatol. 2013, 34, 3001–3023. [Google Scholar] [CrossRef] [Green Version]
- Istituto Superiore di Sanità (ISS). COVID-19: L’Acqua è Sicura ma Aumentano i Consumi. Domani 22 Marzo la Giornata Mondiale Istituita dalle Nazioni Unite. Available online: https://www.iss.it/coronavirus/-/asset_publisher/1SRKHcCJJQ7E/ (accessed on 1 September 2021).
- Tadolini, T.; Tazioli, G.S.; Tulipano, L. Hydrogeology of the Idume springs area (Lecce). Geol. Appl. Idrogeol. 1971, 4, 41–63. (In Italian). [Google Scholar]
- Tadolini, T.; Tulipano, L. The evolution of fresh-water/salt-water equilibrium in connection with withd rawals from the coastal carbonate and carstic aquifer of the Salentine Peninsula (Southern Italy). Geol. Jaharb 1981, 29, 69–85. [Google Scholar]
- Tulipano, L. Temperature logs interpretation for the identification of preferential flow pathway in the coastal carbonatic and karstic aquifer of the Salento peninsula (Southern Italy). In Proceedings of the 21 Congress International Association Hydrogeologists, Guilin, China, 10–15 October 1988; Volume 2, pp. 956–961. [Google Scholar]
- Delle Rose, M. Sedimentological features of the Plio-Quaternary aquifers of Salento (Puglia). In Memorie Descrittive della Carta Geologica d’Italia; ISPRA: Rome, Italy, 2007; Volume 76, pp. 137–145. [Google Scholar]
- Delle Rose, M.; Fidelibus, C.; Martano, P. Assessment of specific yield in karstified fractured rock through the water-budget method. Geosciences 2018, 8, 344. [Google Scholar] [CrossRef] [Green Version]
- Tadolini, T.; Calò, G.; Spizzico, M.; Tinelli, R. Hydrogeological characterisation of post-cretaceous soils in the San Cesario di Lecce area (Puglia). In Proceedings of the V Congresso Internazionale sulle Acque Sotterranee, Taormina, Italy, 17–21 November 1985; p. 11. (In Italian). [Google Scholar]
- Calò, G.; Gnoni, R.; Stani, M. Hydrogeological Properties of Surface Aquifers in the Salento Peninsula and Assessment of Aquifer Vulnerability; Amministrazione Provinciale di Lecce: Lecce, Italy, 1992; pp. 1–31. (In Italian). [Google Scholar]
- SOGESID Water Protection Plan. General Report. 2009. Available online: http://www.sit.puglia.it/portal/portale_pianificazione_regionale/Piano%20di%20Tutella%20delle%20Acque (accessed on 1 September 2021). (In Italian).
- Wei, Z.Q.; Egger, P.; Descoeudres, F. Permeability predictions for jointed rock masses. Int. J. Rock Mech. Min. Sci. Geomech. Abstr. 1995, 32, 251–261. [Google Scholar] [CrossRef]
- D’Alessandro, A.; Massari, F.; Davaud, E.; Ghibaudo, G. Pliocene-Pleistocene sequences bounded by subaerial unconformities within foramol ramp calcarenites and mixed deposits (Salento, SE, Italy). Sediment. Geol. 2004, 166, 89–144. [Google Scholar] [CrossRef]
- Martano, P.; Elefante, C.; Grasso, F. A Database for long-term atmosphere-surface transfer monitoring in Salento peninsula (Southern Italy). Dataset Pap. Sci. 2013, 2013, 946431. [Google Scholar] [CrossRef] [Green Version]
- Martano, P.; Elefante, C.; Grasso, F. Ten years water and energy surface balance from the CNR-ISAC micrometeorological station in Salento peninsula (Southern Italy). Adv. Sci. Res. 2015, 12, 121–125. [Google Scholar] [CrossRef] [Green Version]
- ISAC-CNR. Micrometeorological Station. Available online: http://www.basesperimentale.le.isac.cnr.it (accessed on 10 September 2021).
- Martano, P.; Ciricugno, L.; Delle Rose, M.; Fidelibus, C.; Orlanducci, L. Hydrometeorological observations on the Miocene aquifer of central-eastern Salento during the lockdown year for COVID-19. Geol. Terr. 2020, 18, 14–22. (In Italian). [Google Scholar]
- Bossio, A.; Esu, D.; Foresi, L.M.; Girotti, O.; Iannone, A.; Luperto Sinni, E.; Margiotta, S.; Mazzei, R.; Monteforti, B.; Ricchetti, G.; et al. Galatone Formation, a new name for a lithostratigraphic unit in Salento (Puglia, Southern Italy). Atti Soc. Toscana Sci. Nat. 1998, 5, 151–156. (In Italian). [Google Scholar]
- Delle Rose, M.; Martano, P. Infiltration and short-time recharge in deep karst aquifer of the Salento peninsula (Southern Italy): An observational study. Water 2018, 10, 260. [Google Scholar] [CrossRef] [Green Version]
- Barrow, C.J. World atlas of desertification (United Nations Environment Programme). Land Degrad. Dev. 1992, 3, 242–249. [Google Scholar]
- Garratt, J.R. The Atmospheric Boundary Layer; Cambridge University Press: Cambridge, UK, 1992. [Google Scholar]
- Allen, R.G.; Pereira, L.S.; Raes, D.; Smith, M. Crop Evapotranspiration: Guidelines for Computing Crop Requirements; FAO Irrigation and Drainage Paper No. 56; FAO: Rome, Italy, 1998; p. 300. [Google Scholar]
- Allen, R.G.; Pruitt, W.O.; Wright, J.L.; Howell, T.A.; Ventura, F.; Snyder, R.; Itenfisu, D.; Steduto, P.; Berengena, J.; Yrisarry, J.B.; et al. A recommendation on standardized surface resistance for hourly calculation of reference ETo by the FAO56 Penman-Monteith method. Agric. Water Manag. 2006, 81, 1–22. [Google Scholar] [CrossRef]
- Aubinet, M.; Vesala, T.; Papale, D. (Eds.) Eddy Covariance: A Practical Guide to Measurement and Data Analysis; Springer: Dordrecht, The Netherlands, 2012. [Google Scholar]
- Granger, R.J. A complementarity relationship approach for evaporation from non-saturated surfaces. J. Hydrol. 1989, 111, 31–38. [Google Scholar] [CrossRef]
- Zito, G.; Ruggiero, L.; Zuanni, F. Meteorological and climatic aspects of Puglia. In Proceedings of the Atti 1st Workshop on Clima, Ambiente e Territorio nel Mezzogiorno, Taormina, Italy, 11–12 December 1991; pp. 43–73. (In Italian). [Google Scholar]
- Portoghese, I.; Uricchio, V.; Vurro, M. A GIS tool for hydrogeological water balance evaluation on a regional scale in semi-arid environments. Comput. Geosci. 2005, 31, 15–27. [Google Scholar] [CrossRef]
- Autorità di Bacino della Puglia. Irrigation Water Balance Assessment and Policy Proposals. 2013. Available online: https://www.adb.puglia.it/public/news.php?item.344.9 (accessed on 1 September 2021). (In Italian).
- Department of Civil, Environmental, Land, Building and Chemical Engineering. Study on Water Resources in the Provinces of Lecce, Brindisi and Taranto; Department of Civil, Environmental, Land, Building and Chemical Engineering: Bari, Italy, 2018. (In Italian). [Google Scholar]
Publisher’s Note: MDPI stays neutral with regard to jurisdictional claims in published maps and institutional affiliations. |
© 2022 by the authors. Licensee MDPI, Basel, Switzerland. This article is an open access article distributed under the terms and conditions of the Creative Commons Attribution (CC BY) license (https://creativecommons.org/licenses/by/4.0/).