Comparative Analysis of Rankine Cycle Linear Fresnel Reflector and Solar Tower Plant Technologies: Techno-Economic Analysis for Ethiopia
Abstract
1. Introduction
2. Geographical Location Requirements and Principles of CSP Technologies
3. Methodology and Materials
3.1. Technical Analysis
3.2. Economic Analysis
4. Results and Discussion
4.1. Economic Analysis
4.2. Technical Analysis for Both Systems
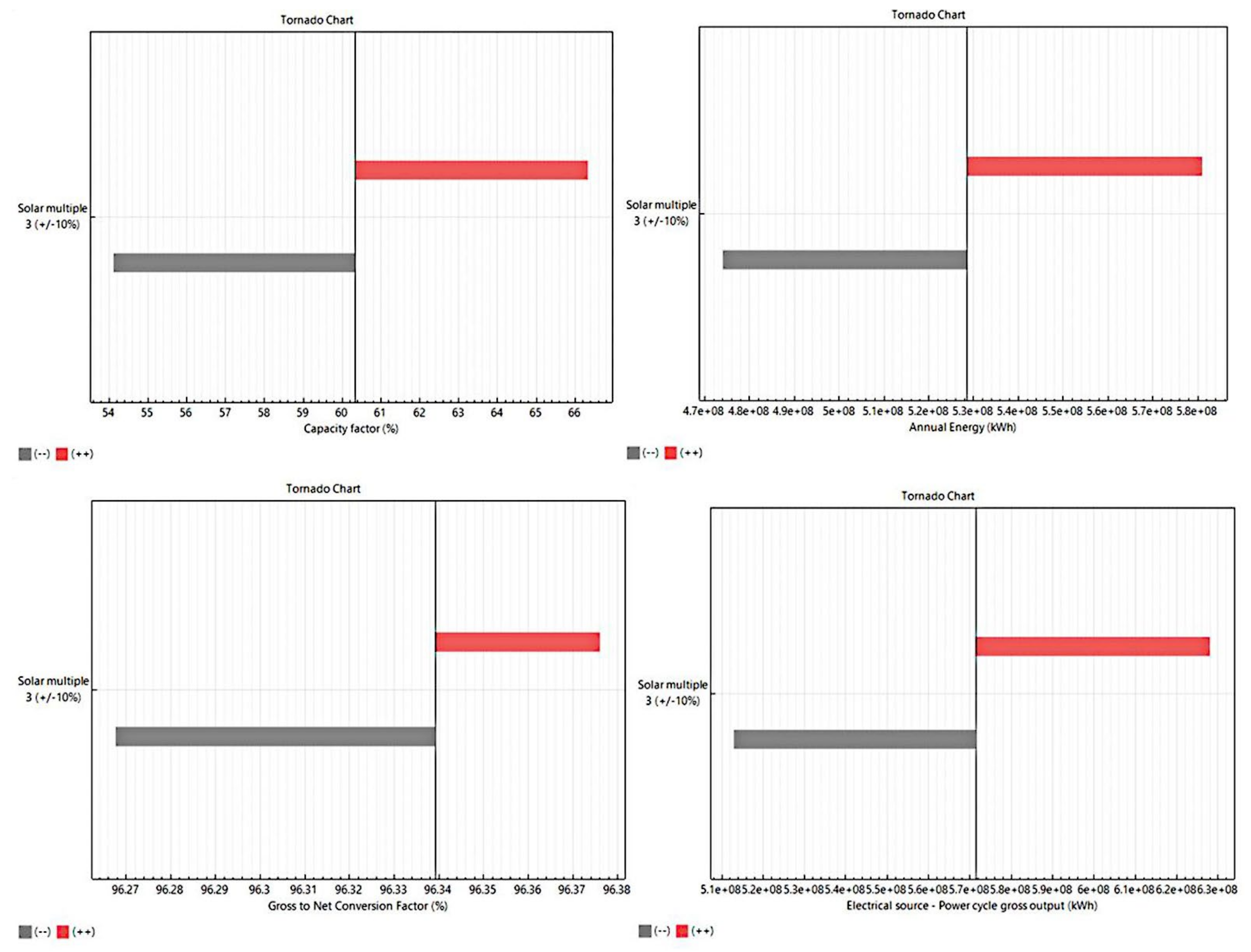
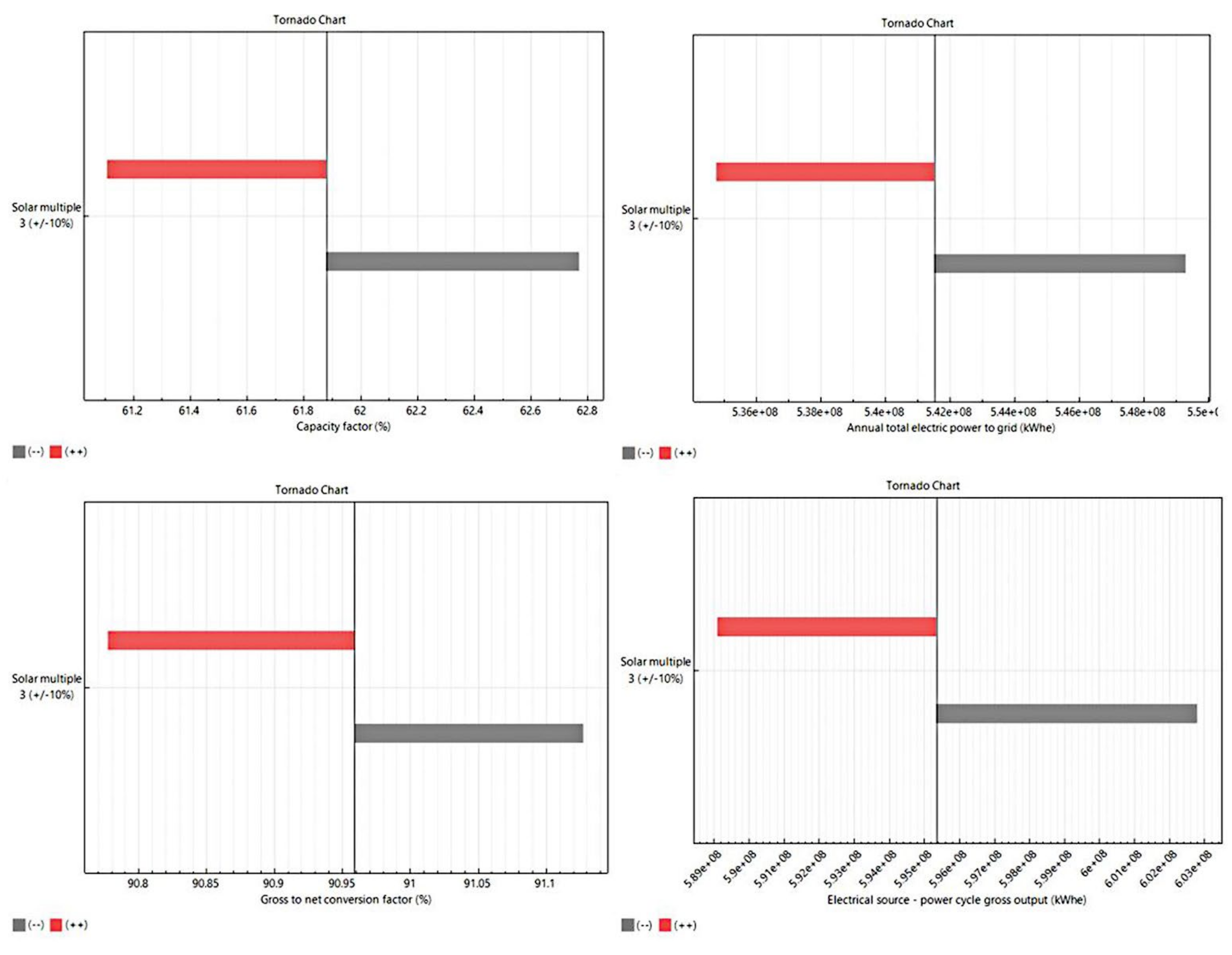
4.3. Sensitivity Analysis
4.3.1. Technical Sensitivity Analysis
4.3.2. Economic Sensitivity Analysis
5. Conclusions
Author Contributions
Funding
Institutional Review Board Statement
Informed Consent Statement
Data Availability Statement
Acknowledgments
Conflicts of Interest
Abbreviations
| CF | Capacity Factor |
| CRS | Central Receiver System |
| CSP | Concentrated Solar Power |
| RE | Renewable Energy |
| PTC | Parabolic Trough Collector |
| LCOE | Levelized Cost of Energy |
| OC | Organic Rankine Cycle |
| GC | Open Gas Cycle |
| DNI | Direct Normal Irradiance |
| SAM | System Advisor Model |
| SC | Steam Rankine Cycle |
| sCO2 | Supercritical Carbon Dioxide |
| HTF | Heat Transfer Fluid |
| NPV | Net Present Value |
| SFD | Solar Field Design |
| SM | Solar Multiple |
| TMY | Typical Metrological Year |
| MW | Megawatt |
| PPA | Public Purchase Agreement |
| WHO | World Health Organization |
| c€/kWh | cent Euro per kilowhat hour |
| ¢/kWh | Cent per kilowatt hour |
| Declination Angle | |
| Hour Angle | |
| Latitude | |
| Day of the year starting from the first of January | |
| Monthly Average Global Radiation | |
| Sunshine Hours | |
| Maximum Number of Sunshine Hours | |
| and | Empirical Coefficients |
| Monthly Average day-to-day Extraterrestrial Radiation | |
| Clearness Index | |
| Clear Sky DNI | |
| Total Solar Irradiance | |
| Depth of the Atmosphere | |
| Relative Air Mass | |
| SFD Heat Output | |
| Design work out from the power block | |
| Design Efficiency | |
| Annual Cost of the Project in Number of Years | |
| Electricity Produced by the Power Plants in years | |
| Real Discount Rate | |
| Analysis Period | |
| After-tax Returns of the Project | |
| Nominal Discount Rate |
References
- Winkler, B.; Lemke, S.; Ritter, J.; Lewandowski, I. Integrated assessment of renewable energy potential: Approach and application in rural South Africa. Environ. Innov. Soc. Transit. 2017, 24, 17–31. [Google Scholar] [CrossRef]
- Agyekum, E.B. Energy poverty in energy rich Ghana: A SWOT analytical approach for the development of Ghana’s renewable energy. Sustain. Energy Technol. Assess. 2020, 40, 100760. [Google Scholar] [CrossRef]
- Agyekum, E.B.; Velkin, V.I.; Hossain, I. Comparative evaluation of renewable energy scenario in Ghana. In IOP Conference Series: Materials Science and Engineering; IOP Publishing: Bristol, UK, 2019; p. 012157. [Google Scholar] [CrossRef]
- Pueyo, A. What constrains renewable energy investment in Sub-Saharan Africa? A comparison of Kenya and Ghana. World Dev. 2018, 109, 85–100. [Google Scholar] [CrossRef]
- Agyekum, E.B.; Nutakor, C. Feasibility study and economic analysis of stand-alone hybrid energy system for southern Ghana. Sustain. Energy Technol. Assess. 2020, 39, 100695. [Google Scholar] [CrossRef]
- Ikejemba, E.C.; Schuur, P.C.; Van Hillegersberg, J.; Mpuan, P.B. Failures & generic recommendations towards the sustainable management of renewable energy projects in Sub-Saharan Africa (Part 2 of 2). Renew. Energy 2017, 113, 639–647. [Google Scholar]
- Sweerts, B.; Longa, F.D.; van der Zwaan, B. Financial de-risking to unlock Africa’s renewable energy potential. Renew. Sustain. Energy Rev. 2019, 102, 75–82. [Google Scholar] [CrossRef]
- Fritsch, A.; Frantz, C.; Uhlig, R. Techno-economic analysis of solar thermal power plants using liquid sodium as heat transfer fluid. Sol. Energy 2019, 177, 155–162. [Google Scholar] [CrossRef]
- International Renewable Energy Agency (IRENA). Cost Analysis of Concentrating Solar Power 1 (2012). Available online: https://www.irena.org/documentdownloads/publications/re_technologies_cost_analysis-csp.pdf (accessed on 12 June 2020).
- Elmohlawy, A.E.; Ochkov, V.F.; Kazandzhan, B.I. Thermal performance analysis of a concentrated solar power system (CSP) integrated with natural gas combined cycle (NGCC) power plant. Case Stud. Therm. Eng. 2019, 14, 100458. [Google Scholar] [CrossRef]
- Dersch, J.; Geyer, M.; Herrmann, U.; Jones, S.A.; Kelly, B.; Kistner, R.; Ortmanns, W.; Pitz-Paal, R.; Price, H. Trough integration into power plants—a study on the performance and economy of integrated solar combined cycle systems. Energy 2004, 29, 947–959. [Google Scholar] [CrossRef]
- Rashid, K.; Mohammadi, K.; Powell, K. Dynamic simulation and techno-economic analysis of a concentrated solar power (CSP) plant hybridized with both thermal energy storage and natural gas. J. Clean. Prod. 2020, 248, 119193. [Google Scholar] [CrossRef]
- Islam, M.T.; Huda, N.; Saidur, R. Current energy mix and techno-economic analysis of concentrating solar power (CSP) technologies in Malaysia. Renew. Energy 2019, 140, 789–806. [Google Scholar] [CrossRef]
- Aly, A.; Bernardos, A.; Fernandez-Peruchena, C.M.; Jensen, S.S.; Pedersen, A.B. Is Concentrated Solar Power (CSP) a feasible option for Sub-Saharan Africa?: Investigating the techno-economic feasibility of CSP in Tanzania. Renew. Energy 2019, 135, 1224–1240. [Google Scholar] [CrossRef]
- Abaza, M.A.; El-Maghlany, W.M.; Hassab, M.; Abulfotuh, F. 10 MW Concentrated Solar Power (CSP) plant operated by 100% solar energy: Sizing and techno-economic optimization. Alex. Eng. J. 2020, 59, 39–47. [Google Scholar] [CrossRef]
- Agyekum, E.B.; Velkin, V.I. Optimization and techno-economic assessment of concentrated solar power (CSP) in South-Western Africa: A case study on Ghana. Sustain. Energy Technol. Assess. 2020, 40, 100763. [Google Scholar] [CrossRef]
- Zayed, M.E.; Zhao, J.; Li, W.; Elsheikh, A.H.; Zhao, Z.; Khalil, A.; Li, H. Performance prediction and techno-economic analysis of solar dish/stirling system for electricity generation. Appl. Therm. Eng. 2020, 164, 114427. [Google Scholar] [CrossRef]
- Boukelia, T.E.; Mecibah, M.S.; Kumar, B.N.; Reddy, K.S. Optimization, selection and feasibility study of solar parabolic trough power plants for Algerian conditions. Energy Convers. Manag. 2015, 101, 450–459. [Google Scholar] [CrossRef]
- Trabelsi, S.E.; Chargui, R.; Qoaider, L.; Liqreina, A.; Guizani, A. Techno-economic performance of concentrating solar power plants under the climatic conditions of the southern region of Tunisia. Energy Convers. Manag. 2016, 119, 203–214. [Google Scholar] [CrossRef]
- Belgasim, B.; Aldali, Y.; Abdunnabi, M.J.; Hashem, G.; Hossin, K. The potential of concentrating solar power (CSP) for electricity generation in Libya. Renew. Sustain. Energy Rev. 2018, 90, 1–5. [Google Scholar] [CrossRef]
- Agyekum, E.B.; Adebayo, T.S.; Bekun, F.V.; Kumar, N.M.; Panjwani, M.K. Effect of Two Different Heat Transfer Fluids on the Performance of Solar Tower CSP by Comparing Recompression Supercritical CO2 and Rankine Power Cycles, China. Energies 2021, 14, 3426. [Google Scholar] [CrossRef]
- Guta, D.D. Determinants of household use of energy-efficient and renewable energy technologies in rural Ethiopia. Technol. Soc. 2020, 12, 101249. [Google Scholar] [CrossRef]
- Guta, D.D. Effect of fuelwood scarcity and socio-economic factors on household bio-based energy use and energy substitution in rural Ethiopia. Energy Policy 2014, 75, 217–227. [Google Scholar] [CrossRef]
- Global Solar Atlas. Available online: https://globalsolaratlas.info/download/ethiopia (accessed on 17 June 2020).
- Kumar, V.; Shrivastava, R.L.; Untawale, S.P. Fresnel lens: A promising alternative of reflectors in concentrated solar power. Renew. Sustain. Energy Rev. 2015, 44, 376–390. [Google Scholar] [CrossRef]
- Nate, N.; DiOrio, N.; Freeman, J.; Gilman, P.; Janzou, S.; Neises, T.; Wagner, M. System Advisor Model (SAM) General Description; Version 2017.9.5; National Renewable Energy Laboratory: Golden, CO, USA, 2018. Available online: https://www.nrel.gov/docs/fy18osti/70414.pdf (accessed on 25 June 2020).
- Ezeanya, E.K.; Massiha, G.H.; Simon, W.E.; Raush, J.R.; Chambers, T.L. System advisor model (SAM) simulation modelling of a concentrating solar thermal power plant with comparison to actual performance data. Cogent Eng. 2018, 5, 1524051. [Google Scholar] [CrossRef]
- Shafiee, M.; Alghamdi, A.; Sansom, C.; Hart, P.; Encinas-Oropesa, A. A Through-Life Cost Analysis Model to Support Investment Decision-Making in Concentrated Solar Power Projects. Energies 2020, 13, 1553. [Google Scholar] [CrossRef]
- Photovoltaic Geographical Information System. Available online: https://re.jrc.ec.europa.eu/pvg_tools/en/tools.html#TMY (accessed on 19 June 2020).
- Sharma, A.; Sharma, M. Power & energy optimization in solar photovoltaic and concentrated solar power systems. In Proceedings of the 2017 IEEE PES Asia-Pacific Power and Energy Engineering Conference (APPEEC), Bangalore, India, 8–10 November 2017; IEEE: Piscataway Township, NI, USA, 2017. [Google Scholar] [CrossRef]
- Schiller, S. Direct Measurement of the Multiple-Scattering of Solar Radiation. In Proceedings of the 1998 IEEE International Geoscience and Remote Sensing, Seattle, WA, USA, 6–10 July 1998; IEEE: Piscataway Township, NI, USA, 1998; Volume 3, pp. 1559–1561. [Google Scholar]
- Weather in Ethiopia: Climate, Seasons, and Average Monthly Temperature. Available online: https://www.tripsavvy.com/ethiopia-weather-and-average-temperatures-4071422 (accessed on 19 June 2020).
- Hernández-Moro, J.; Martinez-Duart, J.M. Analytical model for solar PV and CSP electricity costs: Present LCOE values and their future evolution. Renew. Sustain. Energy Rev. 2013, 20, 119–132. [Google Scholar] [CrossRef]
- Awan, A.B.; Zubair, M.; Praveen, R.P.; Bhatti, A.R. Design and comparative analysis of photovoltaic and parabolic trough based CSP plants. Sol. Energy 2019, 183, 551–565. [Google Scholar] [CrossRef]
- Kincaid, N.; Mungas, G.; Kramer, N.; Wagner, M.; Zhu, G. An optical performance comparison of three concentrating solar power collector designs in linear Fresnel, parabolic trough, and central receiver. Appl. Energy 2018, 231, 1109–1121. [Google Scholar] [CrossRef]
- Awan, A.B.; Zubair, M.; Mouli, K.V. Design, optimization and performance comparison of solar tower and photovoltaic power plants. Energy 2020, 199, 117450. [Google Scholar] [CrossRef]
- Bishoyi, D.; Sudhakar, K. Modeling and performance simulation of 100 MW LFR based solar thermal power plant in Udaipur India. Resour.-Effic. Technol. 2017, 3, 365–377. [Google Scholar] [CrossRef]
- Agyekum, E.B.; Velkin, V.I.; Hossain, I. Sustainable energy: Is it nuclear or solar for African Countries? Case study on Ghana. Sustain. Energy Technol. Assess. 2020, 37, 100630. [Google Scholar] [CrossRef]
- Soomro, M.I.; Kim, W.S. Performance and economic evaluation of linear Fresnel reflector plant integrated direct contact membrane distillation system. Renew. Energy 2018, 129, 561–569. [Google Scholar] [CrossRef]
- Zhao, Z.Y.; Chen, Y.L.; Thomson, J.D. Levelized cost of energy modeling for concentrated solar power projects: A China study. Energy 2017, 120, 117–127. [Google Scholar] [CrossRef]
- Ethiopia Personal Income Tax Rate. Available online: https://tradingeconomics.com/ethiopia/personal-income-tax-rate (accessed on 24 June 2021).
- Abbas, M.; Aburideh, H.; Belgroun, Z.; Tigrine, Z.; Merzouk, N.K. Comparative study of two configurations of solar tower power for electricity generation in Algeria. Energy Procedia 2014, 62, 337–345. [Google Scholar] [CrossRef][Green Version]
- Turchi, C.S.; Heath, G.A. Molten Salt Power Tower Cost Model for the System Advisor Model (SAM); National Renewable Energy Laboratory (NREL): Golden, CO, USA, 2013.
- System Advisor Model (SAM). Available online: https://sam.nrel.gov/images/web_page_files/sam-help-2020-2-29-r1.pdf (accessed on 24 June 2020).
- What Does a Power Purchase Agreement Mean in the Utilities Sector? Available online: https://www.investopedia.com/ask/answers/071415/what-does-power-purchase-agreement-ppa-mean-utilities-sector.asp (accessed on 25 June 2020).
- NREL. Available online: https://sam.nrel.gov/financial-models/utility-scale-ppa.html (accessed on 25 June 2020).
- Ethiopia Electricity Prices. Available online: https://www.globalpetrolprices.com/Ethiopia/electricity_prices/ (accessed on 26 June 2020).
- IRENA. Renewable Power Generation Costs in 2018; International Renewable Energy Agency: Abu Dhabi, United Arab Emirates, 2019; Available online: https://www.irena.org/-/media/Files/IRENA/Agency/Publication/2021/Jun/IRENA_Power_Generation_Costs_2020.pdf (accessed on 5 January 2022).
- Kassem, A.; Al-Haddad, K.; Komljenovic, D. Concentrated solar thermal power in Saudi Arabia: Definition and simulation of alternative scenarios. Renew. Sustain. Energy Rev. 2017, 80, 75–91. [Google Scholar] [CrossRef]












| Linear Fresnel Reflector (LFR) | Solar Tower | ||||
|---|---|---|---|---|---|
| Description | Features | Value | Description | Features | Value |
| Solar field | Solar multiple | 3 | System design | Solar multiple | 3 |
| Field aperture | 850,000 m2 | HTF hot temperature | 574 °C | ||
| Number of collector modules in a loop | 16 | HTF cold temperature | 290 °C | ||
| Number of subfield headers | 2 | Full load hours of storage | 12 h | ||
| HTF pump efficiency | 0.85 | Design turbine gross output | 111 MWe | ||
| Stow angle | 170° [34] | Estimated net output at design (nameplate) | 100 MWe | ||
| Field HTF | Hitec Solar Salt | Cycle thermal power | 269 MWt | ||
| Field HTF min operating temp. | 238 °C | Heliostat field | Heliostat width | 12.2 m [35] | |
| Field HTF max operating temp. | 593 °C | Heliostat height | 12.2 m [35] | ||
| Design loop inlet temp. | 293 °C | The ratio of the reflective area to profile | 0.97 | ||
| Target loop outlet temp. | 391 °C | Single heliostat area | 144.375 m2 | ||
| Single loop aperture | 7524.8 m2 | Total land area | 1892 acres | ||
| Loop optical efficiency | 0.61 | Base land area | 1847.04 acres | ||
| Solar field area | 405.35 acres | Tower and Receiver | Receiver thermal power | 808.3 MWt | |
| Total land area | 648.57 acres | Coating emittance | 0.88 | ||
| Loop thermal efficiency | 0.98 | Receiver height | 21.60 m [36] | ||
| Collector and Receiver | Reflective aperture area of the collector | 470.3 m2 | Receiver diameter | 17.65 m | |
| The length of the collector module | 44.8 m | Number of panels | 20 | ||
| Length of crossover piping in a loop | 15 m | HTF type | Salt (60% NaNO3 40% KNO3) | ||
| Absorber tube inner diameter | 0.066 m | Power cycle | Power block startup time | 0.5 h | |
| Absorber tube outer diameter | 0.07 m | Rankine cycle | Boiler operating pressure | 100 Bar | |
| Power cycle | Reference output electric power at design condition | 111 MWe | Steam cycle blowdown fraction | 0.02 | |
| Estimated net output at design (nameplate) | 100 MWe | Condenser type | Evaporative | ||
| Rated cycle conversion efficiency | 0.36 | Thermal storage | Storage type | Two tanks | |
| Cycle design HTF mass flow rate | 2118.5 kg/s | TES thermal capacity | 3233 MWt-hr | ||
| Rankine cycle | Boiling operating pressure | 100 Bar | Available HTF volume | 7453 m3 | |
| Condenser type | Evaporative | Initial hot HTF percentage | 30% | ||
| Thermal storage | TES hours | 12 h | Tank height | 12 m | |
| Total tank volume | 18,819 m3 | Tank diameter | 41.7 m | ||
| TES thermal capacity | 3358.52 MWht | Storage tank volume | 16,408 m3 | ||
| Min Fluid volume | 940 m3 | Cold tank heater capacity | 15 MWe | ||
| Tank diameter | 34.61 m | HTF density | 1808.48 kg/m3 | ||
| Description | Value | Reference |
|---|---|---|
| Analysis period | 25 years | [16] |
| Income tax rate | 30% per annum | [41] |
| Insurance rate (annual) | 0.5% of installed cost | [33] |
| Real discount rate | 10% per annum | [16] |
| Nominal discount rate | 12.75% | |
| Inflation rate | 2.5% | [36,42] |
| Tenor | 18 years | [16] |
| Sales tax | 15% of total direct cost | [41] |
| Annual interest rate | 10% | [33] |
| Category | Description | LFR | CRS |
|---|---|---|---|
| Direct capital costs | Site improvements | 20 $/m2 | 16 $/m2 |
| Solar/Heliostat field | 150 $/m2 | 140 $/m2 | |
| HTF system | 47 $/m2 | ||
| Storage | 32 $/kWht | 22 $/kWht | |
| Power plant | 1100 $/kWe | ||
| Tower cost fixed | - | 3,000,000 $ | |
| Receiver reference cost | - | 103,000,000 $ | |
| Indirect capital costs | EPC and owner cost | 11% | 13% |
| Sales tax of direct cost | 80% | 80% | |
| Land cost per acre | 800 $ | 800 $ | |
| Operation and Maintenance costs | Fixed cost by capacity | 66/kW-yr | 66/kW-yr |
| Variable cost by generation | 4 $/MWh | 3.5 $/MWh |
| Metric | LFR | CRS |
|---|---|---|
| PPA price (year 1), ¢/kWh | 10.54 | 9.78 |
| Levelized PPA price (nominal), ¢/kWh | 12.57 | 11.47 |
| Levelized PPA price (real), ¢/kWh | 10.34 | 9.44 |
| LCOE (nominal), ¢/kWh | 12.58 | 11.48 |
| LCOE (real), ¢/kWh | 10.35 | 9.44 |
| NPV, $ | −170,654 | −289,498 |
| Internal rate of return (IRR), % | 11 | 11 |
| Year IRR is achieved, years | 20 | 20 |
| IRR at end of project, % | 12.73 | 12.72 |
| Net capital cost, $ | 853,748,096 | 793,734,464 |
| Equity, $ | 357,093,248 | 332,979,712 |
| Size of debt, $ | 496,654,880 | 450,754,752 |
Publisher’s Note: MDPI stays neutral with regard to jurisdictional claims in published maps and institutional affiliations. |
© 2022 by the authors. Licensee MDPI, Basel, Switzerland. This article is an open access article distributed under the terms and conditions of the Creative Commons Attribution (CC BY) license (https://creativecommons.org/licenses/by/4.0/).
Share and Cite
Kamel, S.; Agyekum, E.B.; Adebayo, T.S.; Taha, I.B.M.; Gyamfi, B.A.; Yaqoob, S.J. Comparative Analysis of Rankine Cycle Linear Fresnel Reflector and Solar Tower Plant Technologies: Techno-Economic Analysis for Ethiopia. Sustainability 2022, 14, 1677. https://doi.org/10.3390/su14031677
Kamel S, Agyekum EB, Adebayo TS, Taha IBM, Gyamfi BA, Yaqoob SJ. Comparative Analysis of Rankine Cycle Linear Fresnel Reflector and Solar Tower Plant Technologies: Techno-Economic Analysis for Ethiopia. Sustainability. 2022; 14(3):1677. https://doi.org/10.3390/su14031677
Chicago/Turabian StyleKamel, Salah, Ephraim Bonah Agyekum, Tomiwa Sunday Adebayo, Ibrahim B. M. Taha, Bright Akwasi Gyamfi, and Salam J. Yaqoob. 2022. "Comparative Analysis of Rankine Cycle Linear Fresnel Reflector and Solar Tower Plant Technologies: Techno-Economic Analysis for Ethiopia" Sustainability 14, no. 3: 1677. https://doi.org/10.3390/su14031677
APA StyleKamel, S., Agyekum, E. B., Adebayo, T. S., Taha, I. B. M., Gyamfi, B. A., & Yaqoob, S. J. (2022). Comparative Analysis of Rankine Cycle Linear Fresnel Reflector and Solar Tower Plant Technologies: Techno-Economic Analysis for Ethiopia. Sustainability, 14(3), 1677. https://doi.org/10.3390/su14031677

