Particulate Matter (PM2.5 and PM10) Concentration of Subway Transfer Stations in Beijing, China
Abstract
1. Introduction
1.1. Background
1.2. Recent Developments
1.3. Types of Transfer Stations
1.4. Research Gap and Main Aims
2. Materials and Methods
2.1. Monitored Stations
2.2. Measurement Equipment and Parameters
2.3. Data Analysis Methods
3. Results and Discussion
3.1. Outside Environment
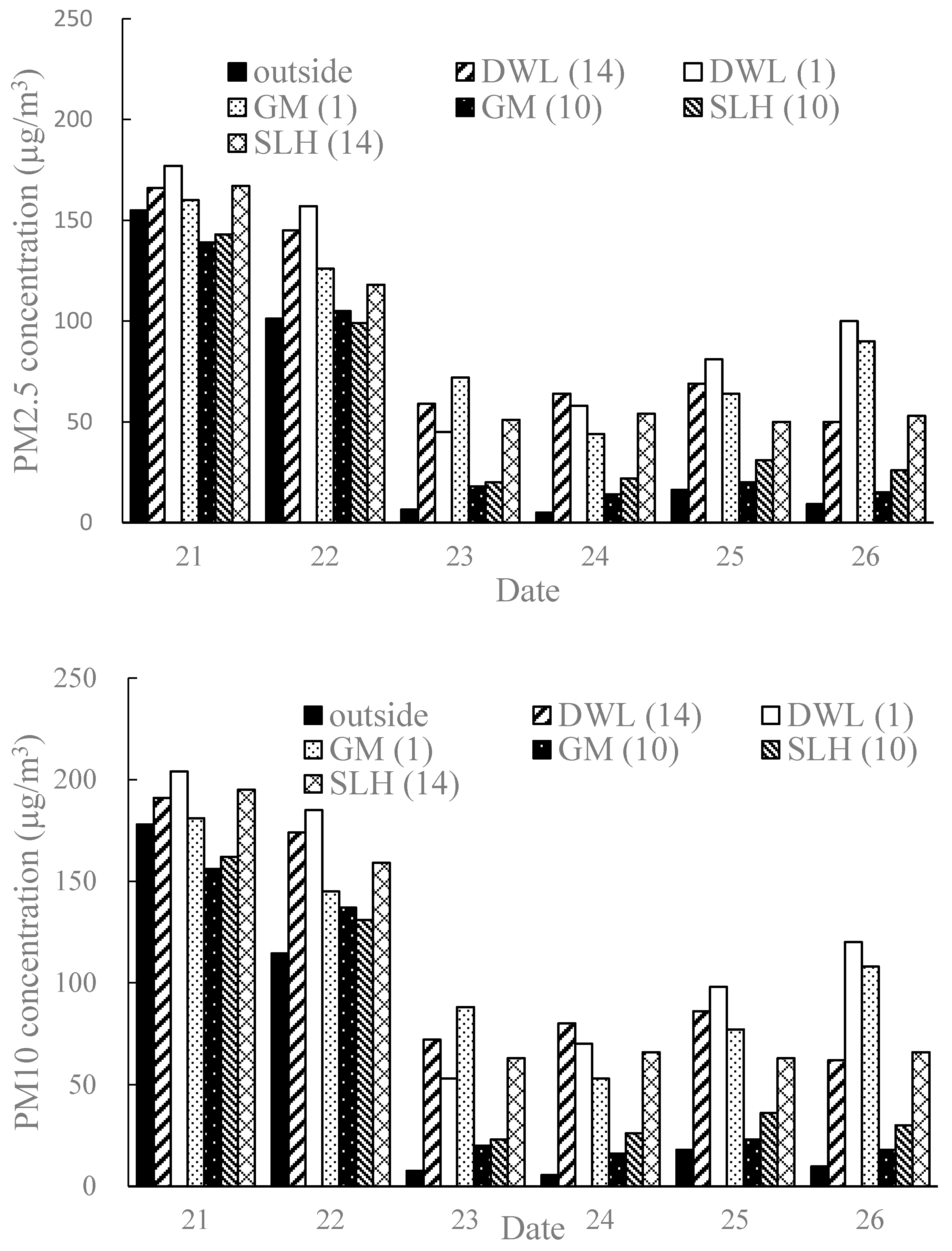
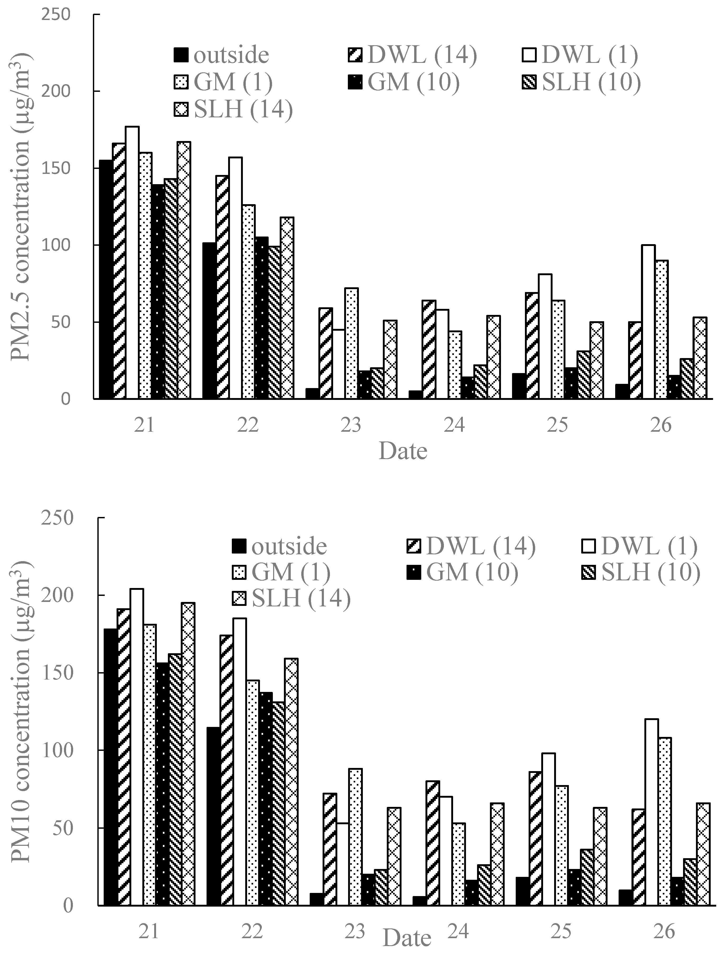
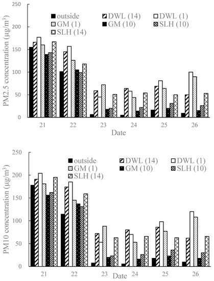
3.2. Transfer Station through Aisle
3.3. Transfer Station on One Platform: SJZ Station
3.4. Ratio of PM2.5 to PM10
3.5. Correlations between the Subway and Outside
4. Discussion
4.1. Comparison of the PM Concentrations at Transfer and Non-Transfer Stations
4.2. Comparison of the PM2.5/PM10 Ratio between Transfer and Non-Transfer Stations
4.3. Correlation between Subway Stations and the Outdoor Environment
5. Limitations and Future Work
6. Conclusions
- The concentration of PM in the aisle was between two platforms at transfer stations. In the transfer station with the same depth of platforms, the concentrations of PM2.5 and PM10 on different lines were the same or similar. The concentrations of PM2.5 and PM10 on the platform in transfer stations were approximately 10 μg/m3 lower than in the non-transfer station when the outside PM2.5 was lower than 150 μg/m3.
- The ratio of PM2.5 to PM10 at the transfer stations (80% on the platform and 78.1% in the hall) was higher than at the non-transfer stations (68.6% on the platform and 61.2% in the hall), which revealed that the PM10 concentrations differed between the transfer and non-transfer stations.
- The concentration of PM2.5 at the subway stations had a strong correlation with the outside conditions at the transfer stations (R2 = 0.897), which corresponded with the results for the non-transfer stations. This proved that regardless of the type of subway station, the outside conditions were among the most important factors for the subway environment.
Author Contributions
Funding
Institutional Review Board Statement
Informed Consent Statement
Data Availability Statement
Conflicts of Interest
References
- Araji, M.T.; Ray, S.D.; Leung, L. Pilot-study on airborne PM2.5, filtration with particle accelerated collision technology in office environments. Sustain. Cities Soc. 2017, 28, 101–107. [Google Scholar] [CrossRef]
- Aarnio, P.; Yli-Tuomi, T.; Kousa, A.; Mäkelä, T.; Hirsikko, A.; Hämeri, K.; Räisänen, M.; Hillamo, R.; Koskentalo, T.; Jantunen, M. The concentrations and composition of and exposure to fine particles (PM2.5) in the Helsinki subway system. Atmos. Environ. 2005, 39, 5059–5066. [Google Scholar] [CrossRef]
- Lee, S.; Liu, H.; Kim, M.; Kim, J.T.; Yoo, C. Online monitoring and interpretation of periodic diurnal and seasonal variations of indoor air pollutants in a subway station using parallel factor analysis (PARAFAC). Energy Build. 2014, 68, 87–98. [Google Scholar] [CrossRef]
- Qiao, T.; Xiu, G.; Zheng, Y.; Yang, J.; Wang, L.; Yang, J.; Huang, Z. Preliminary investigation of PM1, PM2.5, PM10 and its metal elemental composition in tunnels at a subway station in Shanghai, China. Transp. Res. Part D 2015, 41, 136–146. [Google Scholar] [CrossRef]
- Kim, J.B.; Kim, S.; Lee, G.J.; Bae, G.N.; Cho, Y.; Park, D.; Lee, D.H.; Kwon, S.B. Status of PM in Seoul metropolitan subway cabins and effectiveness of subway cabin air purifier (SCAP). Clean Technol. Environ. Policy 2014, 16, 1193–1200. [Google Scholar] [CrossRef]
- Cheng, Y.H.; Liu, Z.S.; Yan, J.W. Comparisons of PM10, PM2.5, Particle Number, and CO2 Levels inside Metro Trains Traveling in Underground Tunnels and on Elevated Tracks. Aerosol Air Qual. Res. 2012, 12, 879–891. [Google Scholar] [CrossRef]
- Janssen, N.; Hurk, N.V.D.; Hoek, G.; Van Der Zee, S.; Zuurbier, M.; Cassee, F. Exposure to PM2.5, Black Carbon and Ultrafine Particles in above-and Underground Public Transport. In Proceedings of the 2013 Conference Environment and Health Bridging South, North, East and West, Basel, Switzerland, 19–23 August 2013; Volume 8, pp. 19–23. [Google Scholar]
- Karlsson, H.L.; Ljungman, A.G.; Lindbom, J.; Möller, L. Comparison of genotoxic and inflammatory effects of particles generated by wood combustion, a road simulator and collected from street and subway. Toxicol. Lett. 2006, 165, 203–211. [Google Scholar] [CrossRef]
- Boudia, N.; Halley, R.; Kennedy, G.; Lambert, J.; Gareau, L.; Zayed, J. Manganese concentrations in the air of the Montreal (Canada) subway in relation to surface automobile traffic density. Sci. Total Environ. 2006, 366, 143–147. [Google Scholar] [CrossRef]
- Vilcassim, M.R.; Thurston, G.D.; Peltier, R.E.; Gordon, T. Black Carbon and Particulate Matter (PM2.5) Concentrations in New York City’s Subway Stations. Environ. Sci. Technol. 2015, 48, 14738–14745. [Google Scholar] [CrossRef]
- Kam, W.; Ning, Z.; Shafer, M.M.; Schauer, J.J.; Sioutas, C. Chemical Characterization and Redox Potential of Coarse and Fine Particulate Matter (PM) in Underground and Ground-Level Rail Systems of the Los Angeles Metro. Environ. Sci. Technol. 2011, 45, 6769–6776. [Google Scholar] [CrossRef]
- Delbari, A.S.; Hadavifar, M.; Haghparast, H. Concentration and characterization of airborne particles in two subway systems of Islamic Republic of Iran and India. J. Air Pollut. Health 2016, 1, 61–68. [Google Scholar]
- Hernandez-Castillo, C.R.; Galvez, V.; Morgado-Valle, C.; Fernandez-Ruiz, J. Whole-brain connectivity analysis and classification of spinocerebellar ataxia type 7 by functional MRI. Cerebellum Ataxias 2014, 1, 2. [Google Scholar] [CrossRef][Green Version]
- Gómez-Perales, J.; Colvile, R.; Nieuwenhuijsen, M.; Fernández-Bremauntz, A.; Gutiérrez-Avedoy, V.; Páramo-Figueroa, V.; Blanco-Jiménez, S.; Bueno-López, E.; Mandujano, F.; Bernabé-Cabanillas, R.; et al. Commuters’ exposure to PM2.5, CO, and benzene in public transport in the metropolitan area of Mexico City. Atmos. Environ. 2004, 38, 1219–1229. [Google Scholar] [CrossRef]
- Mugica-Alvarez, V.; Figueroa-Lara, J.D.J.; Romo, M.A.R.; Sepúlveda-Sánchez, J.; López-Moreno, T. Concentrations and properties of airborne particles in the Mexico City subway system. Atmos. Environ. 2012, 49, 284–293. [Google Scholar] [CrossRef]
- Midander, K.; Elihn, K.; Wallén, A.; Belova, L.; Karlsson, A.-K.B.; Wallinder, I.O. Characterisation of nano- and micron-sized airborne and collected subway particles, a multi-analytical approach. Sci. Total Environ. 2012, 427, 390–400. [Google Scholar] [CrossRef]
- Adams, H.; Nieuwenhuijsen, M.; Colvile, R. Determinants of fine particle (PM2.5) personal exposure levels in transport microenvironments, London, UK. Atmos. Environ. 2001, 35, 4557–4566. [Google Scholar] [CrossRef]
- Harrison, R.M.; Deacon, A.R.; Jones, M.R.; Appleby, R.S. Sources and processes affecting concentration of PM2.5 and PM10 particulate matter in Birmingham (UK). Atmos. Environ. 1997, 31, 4103–4411. [Google Scholar] [CrossRef]
- Bachoual, R.; Boczkowski, J.; Goven, D.; Amara, N.; Tabet, L.; On, D.; Leçon-Malas, V.; Aubier, M.; Lanone, S. Biological effects of particles from the Paris subway system. Chem. Res. Toxicol. 2007, 20, 1426–1433. [Google Scholar] [CrossRef] [PubMed]
- Tokarek, S.; Bernis, A. An exemple of particle concentration reduction in parisian subway stations by electrostatic precipitation. Environ. Technol. 2006, 27, 1279–1287. [Google Scholar] [CrossRef]
- Moreno, T.; Perez, N.; Reche, C.; Martins, V.; de Miguel, E.; Capdevila, M.; Centelles, S.; Minguillón, M.C.; Amato, F.; Alastuey, A.; et al. Subway platform air quality: Assessing the influences of tunnel ventilation, train piston effect and station design. Sci. Total Environ. 2014, 92, 461–468. [Google Scholar] [CrossRef]
- Colombi, C.; Angius, S.; Gianelle, V.; Lazzarini, M. Particulate matter concentrations, physical characteristics and elemental composition in the Milan underground transport system. Atmos. Environ. 2013, 70, 166–178. [Google Scholar] [CrossRef]
- Şahin, Ü.A.; Onat, B.; Stakeeva, B.; Ceran, T.; Karim, P. PM10 concentrations and the size distribution of Cu and Fe-containing particles in Istanbul’s subway system. Transp. Res. Part D Transp. Environ. 2012, 17, 48–53. [Google Scholar] [CrossRef]
- Kamani, H.; Hoseini, M.; Seyedsalehi, M.; Mahdavi, Y.; Jaafari, J.; Safari, G.H. Concentration and characterization of airborne particles in Tehran’s subway system. Environ. Sci. Pollut. Res. 2014, 21, 7319–7328. [Google Scholar] [CrossRef]
- Kim, K.Y.; Kim, Y.S.; Roh, Y.M.; Lee, C.M.; Kim, C.N. Spatial distribution of particulate matter (PM10 and PM2.5) in Seoul Metropolitan Subway stations. J. Hazard. Mater. 2008, 154, 440–443. [Google Scholar] [CrossRef] [PubMed]
- Son, J.-Y.; Lee, J.-T.; Kim, K.-H.; Jung, K.; Bell, M.L. Characterization of fine particulate matter and associations between particulate chemical constituents and mortality in Seoul, Korea. Environ. Health Perspect. 2012, 120, 872–878. [Google Scholar] [CrossRef] [PubMed]
- Guo, L.; Hu, Y.; Hu, Q.; Lin, J.; Li, C.; Chen, J.; Li, L.; Fu, H. Characteristics and chemical compositions of particulate matter collected at the selected metro stations of Shanghai, China. Sci. Total Environ. 2014, 496, 443–452. [Google Scholar] [CrossRef]
- Ma, H.; Shen, H.; Liang, Z.; Zhang, L.; Xia, C. Passengers’ Exposure to PM2.5, PM10, and CO2 in Typical Underground Subway Platforms in Shanghai. In Proceedings of the 8th International Symposium on Heating, Ventilation and Air Conditioning; Springer: Berlin/Heidelberg, Germany, 2014; Volume 261, pp. 237–245. [Google Scholar]
- He, S.; Jin, L.; Le, T.; Zhang, C.; Liu, X.; Ming, X. Commuter health risk and the protective effect of three typical metro environmental control systems in Beijing, China. Transp. Res. Part D 2018, 62, 633–645. [Google Scholar] [CrossRef]
- Pan, S.; Du, S.; Wang, X.; Zhang, X.; Xia, L.; Liu, J.; Pei, F.; Wei, Y. Analysis and interpretation of the particulate matter (PM2.5 and PM10) concentrations at the subway stations in Beijing, China. Sustain. Cities Soc. 2019, 45, 366–377. [Google Scholar] [CrossRef]
- Chan, L.; Lau, W.; Zou, S.; Cao, Z.; Lai, S. Exposure level of carbon monoxide and respirable suspended particulate in public transportation modes while commuting in urban, area of Guangzhou, China. Atmos. Environ. 2002, 36, 5831–5840. [Google Scholar] [CrossRef]
- Gao, M.; Cao, J.; Seto, E. A distributed network of low-cost continuous reading sensors to measure spatiotemporal variations of PM2.5 in Xi’an, China. Environ. Pollut. 2015, 199, 56–65. [Google Scholar] [CrossRef]
- Cao, S.J.; Kong, X.R.; Li, L.; Zhang, W.; Ye, Z.P.; Deng, Y. An investigation of the PM2.5 and NO2 concentrations and their human health impacts in the metro subway system of Suzhou, China. Environ. Sci. Process. Impacts 2017, 19, 666–675. [Google Scholar] [CrossRef] [PubMed]
- Wang, B.-Q.; Liu, J.-F.; Ren, Z.-H.; Chen, R.-H. Concentrations, properties, and health risk of PM2.5 in the Tianjin City subway system. Environ. Sci. Pollut. Res. 2016, 23, 22647–22657. [Google Scholar] [CrossRef] [PubMed]
- Kam, W.; Cheung, K.; Daher, N.; Sioutas, C. Particulate matter (PM) concentrations in underground and ground-level rail systems of the Los Angeles Metro. Atmos. Environ. 2011, 45, 1506–1516. [Google Scholar] [CrossRef]
- Yang, L.; Zhang, Y.; Xia, J. Case study of train-induced airflow inside underground subway stations with simplified field test methods. Sustain. Cities Soc. 2018, 37, 275–287. [Google Scholar] [CrossRef]
- Pun, V.C.; Kazemiparkouhi, F.; Manjourides, J.; Suh, H.H. Long-Term PM2.5 Exposure and Respiratory, Cancer, and Cardiovascular Mortality in Older US Adults. Am. J. Epidemiol. 2017, 186, 961–969. [Google Scholar] [CrossRef]
- Lepeule, J.; Laden, F.; Dockery, D.; Schwartz, J. Chronic Exposure to Fine Particles and Mortality: An Extended Follow-up of the Harvard Six Cities Study from 1974 to 2009. Environ. Health Perspect. 2012, 120, 965–970. [Google Scholar] [CrossRef]
- GB3095-2012; Environmental Air Quality Standard. The Ministry of Ecology and Environment, formerly the Ministry of Environmental Protection: Beijing, China, 2012.













| Date (March 2018) | PM2.5 (µg/m3) | PM10 (µg/m3) | Temp (°C) | Humidity (%) | Pollution Level |
|---|---|---|---|---|---|
| 1 | 293 | 597 | 17 | 18 | serious |
| 2 | 200 | 236 | 23.5 | 11.5 | moderate |
| 3 | 451 | 517 | 21 | 25.5 | serious |
| 4 | 374 | 417 | 16 | 28 | serious |
| 5 | 59 | 106 | 17 | 27 | light |
| 6 | 53 | 98 | 16 | 26 | light |
| 7 | 52 | 94 | 15 | 32 | light |
| 8 | 21 | 21 | 13.2 | 39 | excellent |
| 9 | 24 | 52 | 17 | 9 | excellent |
| 10 | 8 | 9 | 21 | 5 | excellent |
| 11 | 25 | 54 | 22 | 10 | excellent |
| 12 | 62 | 136 | 22.5 | 15 | light |
| 13 | 50 | 66 | 23.8 | 17.4 | good |
| 14 | 34 | 39 | 21 | 9 | excellent |
| 15 | 160 | 206 | 21 | 19 | moderate |
| 16 | 103 | 165 | 21 | 22 | moderate |
| 17 | 54 | 115 | 20 | 25 | light |
| 18 | 75 | 130 | 22 | 20 | light |
| 19 | 83 | 150 | 22 | 20 | light |
| 20 | 71 | 88 | 23 | 21 | good |
| 21 | 155 | 178 | 26 | 17 | moderate |
| 22 | 101 | 115 | 25 | 26 | moderate |
| 23 | 7 | 8 | 26 | 9 | excellent |
| 24 | 5 | 6 | 23 | 9 | excellent |
| 25 | 16 | 18 | 25 | 10 | excellent |
| 26 | 9 | 10 | 25 | 15 | excellent |
| Outside and Aisles | ||||||
| Location | Outside | Aisle 14–1 | Aisle 1–10 | Aisle 10–14 | ||
| PM2.5/PM10 | 77.65 | 83.3 | 83.34 | 83.32 | ||
| Platforms At Transfer Stations Through Aisle | ||||||
| Platform | DWL 14 | DWL 1 | GM 1 | GM 10 | SLH 10 | SLH 14 |
| PM2.5/PM10 | 82.18 | 84.23 | 84.43 | 85.59 | 84.70 | 80.38 |
| SJZ Stations | ||||||
| SJZ | 10 Up | 10 Down | 5 Start | 5 Final | Y | Hall |
| PM2.5/PM10 | 78.76 | 78.56 | 76.28 | 79.71 | 85.13 | 78.10 |
| Correlation Equation | R | R Square | Adjusted R Square | Sig. | |
|---|---|---|---|---|---|
| Aisle | Y = 1.075X − 47.195 | 0.985 | 0.970 | 0.963 | 0.000 |
| Hall | Y = 1.611X − 45.693 | 0.984 | 0.968 | 0.960 | 0.000 |
| Platform | Y = 1.408X − 156.485 | 0.985 | 0.970 | 0.954 | 0.015 |
| Transfer Stations | Non-Transfer Stations [30] | Non-Transfer Stations [29] | ||
|---|---|---|---|---|
| PM2.5 | Outside | ≤25/100–150/200–300 | ||
| PM2.5 (highest) | Platform | 64/154/150 | 66/174/200 | 139/183/-- |
| PM10 (highest) | Platform | 108/178/210 | 140/198/300 | 176/198/-- |
| Transfer Stations | Non-Transfer Stations [30] | ||
|---|---|---|---|
| Ratio (PM2.5/PM10) | Outside | 77.65% | 79.6% |
| Platform | 76.28% | 68.6% | |
| Hall | 78.1% | 61.2% | |
| R2 (subway and outside) | Platform | 0.970 | 0.907 |
| Hall | 0.968 | 0.884 |
Publisher’s Note: MDPI stays neutral with regard to jurisdictional claims in published maps and institutional affiliations. |
© 2022 by the authors. Licensee MDPI, Basel, Switzerland. This article is an open access article distributed under the terms and conditions of the Creative Commons Attribution (CC BY) license (https://creativecommons.org/licenses/by/4.0/).
Share and Cite
Wang, X.; Xia, L.; Pei, F.; Chang, L.; Chong, W.T.; Wang, Z.; Pan, S. Particulate Matter (PM2.5 and PM10) Concentration of Subway Transfer Stations in Beijing, China. Sustainability 2022, 14, 1552. https://doi.org/10.3390/su14031552
Wang X, Xia L, Pei F, Chang L, Chong WT, Wang Z, Pan S. Particulate Matter (PM2.5 and PM10) Concentration of Subway Transfer Stations in Beijing, China. Sustainability. 2022; 14(3):1552. https://doi.org/10.3390/su14031552
Chicago/Turabian StyleWang, Xinru, Liang Xia, Fei Pei, Li Chang, Wen Tong Chong, Zu Wang, and Song Pan. 2022. "Particulate Matter (PM2.5 and PM10) Concentration of Subway Transfer Stations in Beijing, China" Sustainability 14, no. 3: 1552. https://doi.org/10.3390/su14031552
APA StyleWang, X., Xia, L., Pei, F., Chang, L., Chong, W. T., Wang, Z., & Pan, S. (2022). Particulate Matter (PM2.5 and PM10) Concentration of Subway Transfer Stations in Beijing, China. Sustainability, 14(3), 1552. https://doi.org/10.3390/su14031552

