The Development of SF6 Green Substitute Gas
Abstract
1. Introduction
2. Saturated Vapor Pressure and Liquefaction Temperature
2.1. Calculated Model
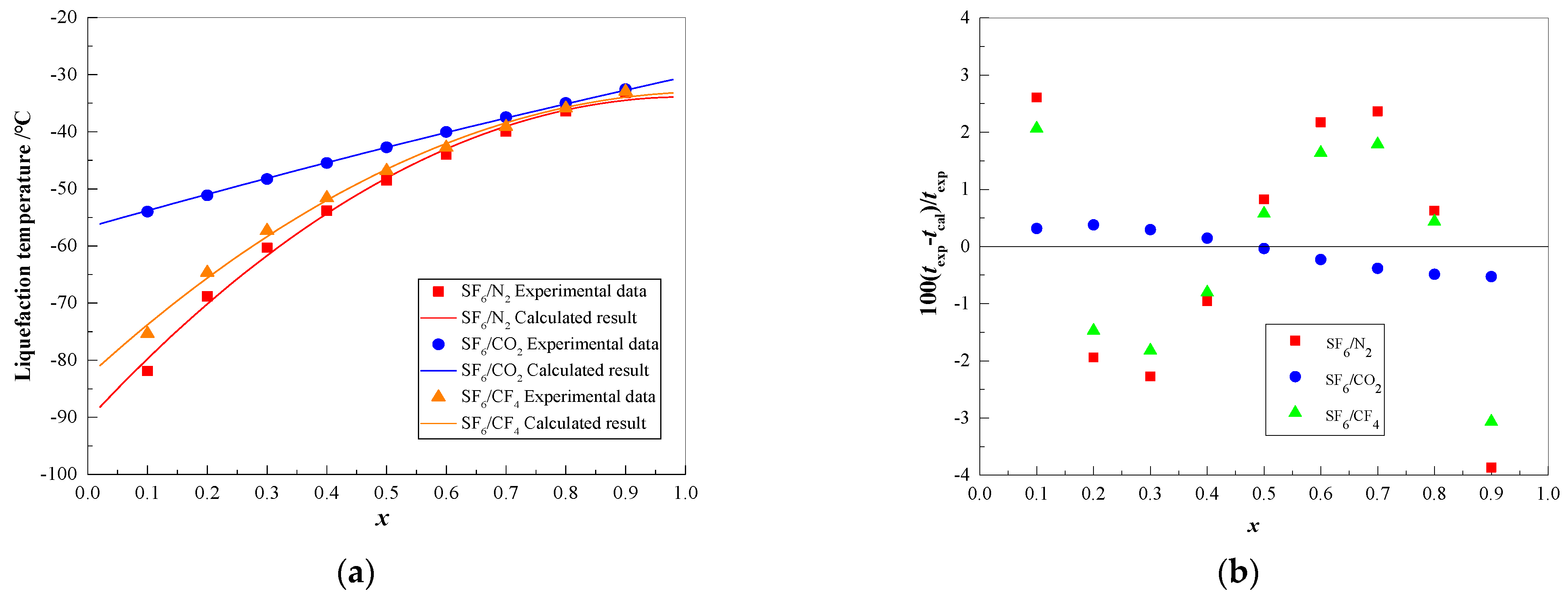
2.2. Calculated Results
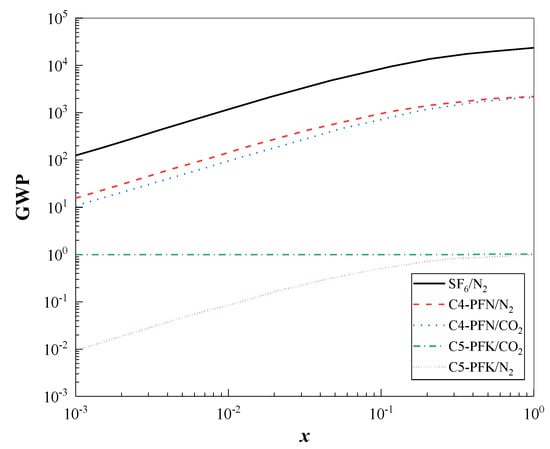
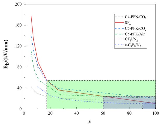
3. Critical Breakdown Field Strength and GWP Value
4. Conclusions
Author Contributions
Funding
Data Availability Statement
Conflicts of Interest
References
- Zhang, X.; Tian, S.; Xiao, S.; Li, W. Summary of research status of SF6 substitute gas. J. Electrotech. Technol. 2018, 12, 2883–2893. [Google Scholar]
- Yan, X.; Gao, K.; Zheng, Y.; Li, Z.; Wang, H.; He, J.; Liu, Y. Research progress of SF6 mixed gas and substitute gas. Power Grid Technol. 2018, 6, 1837–1844. [Google Scholar]
- Zhou, Z.; Han, D.; Zhao, M.; Zhang, G. Research review on the decomposition characteristics of SF6 substitute gas. Trans. Chin. Soc. Electr. Eng. 2020, 35, 4998–5014. [Google Scholar]
- Chen, Q.; Qiu, R.; Lin, L.; Cheng, S.; Zhang, C. Screening of SF6 Potential Alternative Gases Based on Density Functional Theory. High Volt. Technol. 2019, 45, 1026–1033. [Google Scholar]
- Li, X.; Zhao, H. Summary of research progress of SF6 substitute gas. High Volt. Technol. 2016, 6, 1695–1701. [Google Scholar]
- Rokunohe, T.; Yagihashi, Y.; Endo, F.; Oomori, T. Fundamental Insulation Characteristics of Air, N2, CO2, N2/O2 and SF6/N2 Mixed Gases. IEEE Trans. Power Energy 2005, 125, 619–625. [Google Scholar] [CrossRef][Green Version]
- Aanensen, N.S.; Jonsson, E.; Runde, M. Air-Flow Investigation for a Medium-Voltage Load Break Switch. IEEE Trans. Power Deliv. 2015, 30, 299–306. [Google Scholar] [CrossRef]
- Guo, X.; Zhao, H.; Li, X. Calculation and analysis of thermal properties and electric shock penetration characteristics of hot CO2 and its mixture with O2. High Volt. Technol. 2014, 40, 3085–3090. [Google Scholar]
- Yousfi, M.; Urquijo, J.D.; Juarez, A.; Basurto, E.; Hernandez-Avila, J.L. Electron swarm coefficients in CO2-N2 and CO2-O2 mixtures. IEEE Trans. Plasma Sci. 2009, 37, 764–772. [Google Scholar] [CrossRef]
- Hernández, J.L.; Basurto, E.; De Urquijo, J. Electron transport and swarm parameters in CO2 and its mixtures with SF6. J. Phys. D Appl. Phys. 2002, 35, 2264. [Google Scholar] [CrossRef]
- Lim, D.Y.; Bae, S. Study on oxygen/nitrogen gas mixtures for the surface insulation performance in gas insulated switchgear. IEEE Trans. Dielectr. Electr. Insul. 2015, 22, 1567–1576. [Google Scholar] [CrossRef]
- Pinheiro, M.J.; Loureiro, J. Effective ionization coefficients and electron drift velocities in gas mixtures of SF6 with He, Xe, CO2 and N2 from Boltzmann analysis. J. Phys. D Appl. Phys. 2002, 35, 3077. [Google Scholar] [CrossRef]
- Lee, A.; Frost, L.S. Interruption Capability of Gases and Gas Mixtures in a Puffer-Type Interrupter. Plasma Sci. IEEE Trans. 1980, 8, 362–367. [Google Scholar] [CrossRef]
- Wang, W.; Tu, X.; Mei, D.; Rong, M. Dielectric breakdown properties of hot SF6/He mixtures predicted from basic data. Phys. Plasmas 2013, 20, 1018–1029. [Google Scholar] [CrossRef]
- Zhao, H.; Li, X.; Tang, N.; Jiang, X.; Guo, Z.; Lin, H. Dielectric properties of fluoronitriles/CO2 and SF6/N2 mixtures as a possible SF6-substitute gas. IEEE Trans. Dielectr. Electr. Insul. 2018, 25, 1332–1339. [Google Scholar] [CrossRef]
- Wang, C.; Li, J.; Cao, Y.; Yu, L.; Cui, J. Research on the performance of C4F7N/CO2 mixed gas arc extinguishing. Electr. Appl. Energy Effic. Manag. Technol. 2021, 4, 1–6. [Google Scholar]
- Zhuo, R.; Ke, K.; Zhang, Y.; Fu, M.; Wang, D.; Xiang, J.; Zhang, X. Insulation characteristics of C5F10O/dry air and C5F10O/N2 under quasi-uniform electric field. Electr. Power Eng. Technol. 2021, 40, 159–165. [Google Scholar]
- Li, X.; Deng, Y.; Jiang, X.; Zhao, H.; Zhuo, R. Insulation performance and application of mixed gases of environmental protection gases C4F7N and C5F10O and CO2. High Volt. Technol. 2017, 43, 708–714. [Google Scholar]
- Simka, P.; Ranjan, N. Dielectric strength of C5 Perfluoroketone. In Proceedings of the 19th International Symposium on High Voltage Engineering, Pilsen, Czech Republic, 23–28 August 2015. [Google Scholar]
- Safar, Y.A.; Malik, N.H.; Qireshi, A.H. Impulse Breakdown Behavior of Negative Rod-Plane Gaps in SF6-N2, SF6-Air and SF6-CO2 Mixtures. IEEE Trans. Electr. Insul. 1982, 5, 441–450. [Google Scholar] [CrossRef]
- Hwang, C.H.; Lee, B.T.; Huh, C.S.; Kim, N.R.; Chang, Y.M. Breakdown characteristics of SF6/CF4 mixtures in 25.8 Kv. In Proceedings of the International Conference on Electrical Machines & Systems, Tokyo, Japan, 15–18 November 2009. [Google Scholar]
- Zhao, H.; Li, X.; Jia, S.; Liu, Z.; Dong, Q. Study on electrical breakdown characteristics of 50% SF6-50% CF4 mixed gas at 1 atmosphere. Chin. Soc. Electr. Eng. 2013, 19, 200–207. [Google Scholar]
- Yamamoto, O.; Takuma, T.; Hamada, S.; Yamakawa, Y.; Yashima, M. Applying a Gas Mixture Containing c-C[sub4]F[sub8] as an Insulation Medium. IEEE Trans. Dielectr. Electr. Insul. 2001, 6, 1075. [Google Scholar] [CrossRef]







| Mixture | SF6/N2 | SF6/CO2 | SF6/CF4 | |
|---|---|---|---|---|
| Parameter | ||||
| A | −40.25 | −37.97 | −41.35 | |
| B | −56.31 | −3.25 | −45.63 | |
| C | 90.36 | 85.81 | 93.74 | |
| D | 112.9 | 29.61 | 95.41 | |
| E | −125.6 | −90.15 | −119.4 | |
Publisher’s Note: MDPI stays neutral with regard to jurisdictional claims in published maps and institutional affiliations. |
© 2021 by the authors. Licensee MDPI, Basel, Switzerland. This article is an open access article distributed under the terms and conditions of the Creative Commons Attribution (CC BY) license (https://creativecommons.org/licenses/by/4.0/).
Share and Cite
Jiang, T.; Meng, X.; Wei, Q.; Jin, L.; Sun, Y. The Development of SF6 Green Substitute Gas. Sustainability 2021, 13, 9063. https://doi.org/10.3390/su13169063
Jiang T, Meng X, Wei Q, Jin L, Sun Y. The Development of SF6 Green Substitute Gas. Sustainability. 2021; 13(16):9063. https://doi.org/10.3390/su13169063
Chicago/Turabian StyleJiang, Tao, Xiangzhao Meng, Qiming Wei, Lijun Jin, and Yanjun Sun. 2021. "The Development of SF6 Green Substitute Gas" Sustainability 13, no. 16: 9063. https://doi.org/10.3390/su13169063
APA StyleJiang, T., Meng, X., Wei, Q., Jin, L., & Sun, Y. (2021). The Development of SF6 Green Substitute Gas. Sustainability, 13(16), 9063. https://doi.org/10.3390/su13169063
