Next Article in Journal
Optimization of Capacity Allocation Models with Effort Dependent Demand in Global Supply Chain
Previous Article in Journal
Korean EFL Students Building and Sustaining New Perspectives through Global Literary Texts
 
 
Font Type:
Arial Georgia Verdana
Font Size:
Aa Aa Aa
Line Spacing:
Column Width:
Background:
Article

Bond Behavior of Basalt Fiber Reinforced Polymer Bars in Recycled Coarse Aggregate Concrete

Department of Civil and Environmental Engineering, United Arab Emirates University, Al-Ain 15551, United Arab Emirates
*
Author to whom correspondence should be addressed.
Sustainability 2022, 14(3), 1374; https://doi.org/10.3390/su14031374
Submission received: 22 November 2021 / Revised: 26 December 2021 / Accepted: 12 January 2022 / Published: 25 January 2022
(This article belongs to the Special Issue Effect of Advanced Sustainable Material in Construction)

Abstract

:
This study is an experimental investigation of the bond stress–slip behavior of BFRP bars in recycled coarse aggregate concrete using the pull-out experiment. The experimental program contains twenty-three BFRP specimens and twelve specimens with GFRP bars. The pull-out test results of the BFRP and GFRP specimens in recycled coarse aggregate concrete are balanced to those of normal coarse aggregate concrete, which are used as a benchmark. In this study, the influence of major parameters on the BFRP bond performance are investigated: concrete strengths (30, 45, and 60 MPa), bar diameter (8, 10, and 12 mm), and bar bond length (5, 10, and 15d, where d is the diameter of the bar). The effect of the parameters considered is determined on the basis of the increase in the bond resistance. The test findings showed that the bond resistance of BFRP bars in recycled coarse aggregate concrete is highly comparable to that of normal aggregate concrete. In addition, the BFRP bar pull-out failure is not governing when a bar bond length of 10 or 15d, or high concrete strength of 45 or 60 MPa, is utilized. Theoretical equations from the literature that predict the bond resistance and bond stress–slip performance for FRP reinforced concrete are compared to the experimental results of this study. It is found that the equation described by Orangun and colleagues can accurately predict the bond resistance for BFRP bars in recycled coarse aggregate concrete with an average of 86% compared to the experimental results.

1. Introduction

Basalt fiber reinforced polymer (BFRP) is a fairly new concept to FRP and composites. Recently, BFRP bars emerged as an option to replace glass FRP (GFRP) bars in reinforced concrete. Although basalt fibers are manufactured using the same technology for E-glass fiber, its manufacturing technique uses less energy, and basalt rocks may be found all over the world. Basalt fibers are slightly stiffer and stronger than E-glass, environmentally safe, non-toxic, non-corrosive, nonmagnetic, and have high heat stability and insulating characteristics [1,2,3,4,5]. Basalt fibers are characterized by their high strength to alkalinity, which can be found in concrete [4], excellent resistance to high temperature and moisture conditions [4,6], high chemical stability [7,8], and outstanding fatigue resistance [9].
Although the BFRP has received broad acceptance by the engineering community, a limited number of research studies have been carried out to investigate the use of BFRP in structural applications [10,11,12,13,14,15,16,17,18,19,20,21,22,23]. The bond performance is an essential aspect that governs the capacity, serviceability, and ductility of concrete structures [24,25,26]. El Refai and colleagues [27] investigated the bond performance of BFRP bars in high concrete compressive strength using the direct pull-out test. The test parameters considered in their study included different bar diameters and bond lengths. Their test results were compared to GFRP bars under the same conditions. They concluded that the BFRP bond resistance is 75% of that for one of the GFRP bars. Shen and colleagues [28] conducted pull-out tests to examine the relationship between the BFRP bar diameter and concrete strength. They concluded that the bond resistance increased with the increase of bar diameter and concrete strength. High and colleagues [12] evaluated the bond performance of BFRP bars using beam-end specimens. The experimental results revealed that the bond force is similar for ribbed and dented BFRP bars. In addition, the development length for BFRP bars is 32 times the bar diameter, which is significantly less than the one suggested by the ACI 440-1R [29]. Wang et al. [20] investigated the bond performance of BFRP bars for a concrete with coarse aggregate that is implemented in ocean engineering. The study concluded that the BFRP bond performance improved with the increase of coarse aggregate concrete strength. Zhou and colleagues [21] utilized smart aggregate transducers to identify the cracking and failure position of concrete beams reinforced with BFRP bars. The transducers were able to accurately detect the cracking progress and deflection. Altalmas et al. [30], El Refai et al. [31], Dong et al. [32,33], Hassan et al. [34], Wang et al. [35], and Lu et al. [23] examined the bond durability of BFRP bars when fully immersed in an alkaline solution and subjected to elevated temperature. Hassan and colleagues [34] reported that after 1.5 months, the bond resistance increased by 25% for a temperature of 50 to 60 °C, whereas no significant effect on the bond performance was observed by El Refai and colleagues [31]. In addition, El Refai et al. [31], Hassan et al. [34] and Lu et al. [23] stated that the bond resistance deteriorated for the specimens exposed to alkaline conditions for 1.5 months and more. Bi et al. [36] and Li et al. [37] observed that the bond resistance of BFRP bars is higher than that of GFRP bars when exposed to elevated temperatures. The bond performance of BFRP bars exposed to the effects of freeze-thaw cycles (FT) was examined by Khanfour and El Refai [38]. Their pull-out test results showed that the FT cycles had a slight effect on the bond resistance. In addition, exposing the pull-out specimens to a low temperature of −20 °C resulted in a decrease of 10% in their bond resistance. Few experiments have been conducted to investigate the performance of BFRP reinforced concrete slabs [10,18,22]. It has been reported that when compared to steel reinforced slabs, the BFRP reinforced concrete slabs had greater deflections and wider cracks.
Recently, the use of recycled coarse aggregate has drawn attention in building construction. Coarse aggregates compose 65 percent of the weight of the concrete mix, while cement represents approximately 16 to 18 percent. The utilization of recycled coarse aggregate in concrete mixtures is profitable to environmental preservation since it decreases the carbon footprint of concrete [39]. Furthermore, the utilization of recycled coarse aggregates is an efficient way to reduce energy use and conserve the environment. A limited number of experimental studies have been carried out to investigate the influence of recycled coarse aggregates replacing normal aggregates at varying percentages. Poon et al. [40], Kou and Poon [41], Fonseca et al. [42], and Butler et al. [43] observed that the use of recycled coarse aggregate decreases the concrete compressive and tensile strengths as well as elastic modulus, while concrete compressive strength augmentation was observed by Mefteh et al. [44], Evangelista and Brito [45], Gomes and Brito [46], Kim and Yun [47], and Guerra et al. [48]. The disparity in concrete strength may be explained by the origin and nature of coarse aggregates, as well as the procedures used to prepare recycled coarse aggregates.
In the available literature, there is enough data describing the bond performance of FRP bars in normal aggregate concrete. In contrast, limited research has been conducted to examine the performance of recycled coarse aggregates in FRP reinforced members. In the literature, two studies have examined the pull-out performance of GFRP bars [49] and BFRP bars [50] in concrete made of recycled coarse aggregates. The earlier experimental study only looked at GFRP bars with varying percentages of recycled coarse materials, whereas the other study evaluated the bond resistance of BFRP bars in recycled coarse aggregate concrete for one diameter of BFRP bars (16 mm), one bond length (80 mm), and without comparing the BFRP bond findings to those in normal coarse aggregate concrete. In addition, Liu and colleagues [50] used chopped basalt fibers in their concrete mixes. Furthermore, there is no change in the GFRP bond performance in either normal or recycled coarse aggregate concrete [49]. According to the few studies available investigating the bond performance of GFRP and BFRP bars in recycled coarse aggregate concrete, the current experimental investigation aims to enrich the database of BFRP bar bond performance in recycled coarse aggregate concrete that can expand the life service of structures and reduce their cost of rehabilitation or replacement.

2. Research Objectives

To include BFRP as a reinforcing material in design guidelines, research studies on fundamental issues are prerequisites. The utilization of normal resources such as recycled aggregate is useful and offers a waste management method compared to normal resources. This study endeavors to determine the performance of the BFRP bars in recycled coarse aggregate concrete using the direct pull-out test, which is scarcely examined in the available literature. The outcomes of this investigation are anticipated to enhance the understanding of the bond performance of BFRP bars in recycled coarse aggregate concrete. Specimens with GFRP bars and normal aggregate concrete are used as a basis of comparison. Therefore, practical engineers can eliminate the bar pull-out failure mode and ensure the ultimate strength of reinforced concrete with BFRP bars. In this study, the theoretical equations are suggested to forecast the bond performance of BFRP bars in concrete made of recycled coarse aggregate.

3. Test Experiments

3.1. Material Specifications

All specimens were cast with 100 percent recycled coarse aggregates provided by a construction waste facility. The size of the coarse aggregate distribution was checked and found to be comparable to that of normal coarse aggregate, which shows the acceptability of the recycled coarse aggregate utilized in this study for concrete production. The particle size distribution curve of normal and recycled coarse aggregate is shown in Figure 1. The size of the recycled coarse aggregates varied from 5 to 20 mm and its surface was partially covered with mortar. An example of recycled coarse aggregate used in this study is shown in Figure 2. The water absorption rate of the coarse aggregates was 4.9%. In order to achieve workability, the recycled coarse aggregate was immersed in water 24 h prior to the concrete casting. The aggregate was dried to obtain a saturated dry surface condition. That was determined ahead of the mix preparation to ensure its workability [51]. This was attributed to the existence of mortar on the coarse aggregate. The testing program took into account three concrete strengths: 30, 45, and 60 N/mm2. The concrete strength parameter was rendered in the study to better understand the bond performance of high-strength concrete. In addition, this selection provides an answer to practitioners dealing with FRP high-strength concrete. The BS 8500 [52] was followed to prepare a concrete strength of 30 N/mm2. However, for a concrete strength of 45 N/mm2, a BS 8500 [52] concrete mix of 60 N/mm2 was used. To achieve a concrete strength of 60 N/mm2, the PCA [53] proportions for high concrete strength of 89 N/mm2 were employed. It should be emphasised that an appropriate energy for the compaction was required for all recycled coarse aggregate concrete mixes. On the other hand, a single concrete strength of 30 N/mm2 using normal coarse aggregate was set as a benchmark. This study only considered the 30 N/mm2 normal aggregate concrete strength due to the considerable research conducted on the bond performance of BFRP bars in normal aggregate concrete. Table 1 shows the ingredient composition for each concrete strength as well as the slump findings. Standard cubes with 100-mm sides were used to measure the concrete compressive strength. Curing for 28 days in a water tank was performed for the concrete cubes and pull-out specimens. The concrete compressive strength for the recycled coarse aggregate concrete resulted in mean values of 34, 47, and 63 N/mm2. The mean compressive strength for the normal coarse aggregate concrete was 37 N/mm2.
The effect of recycled coarse aggregates on concrete compressive strength can be explained by the presence of old mortar covering the surface of the recycled coarse aggregates and the water-to-cement ratio. In this study, the rate of water absorption was preserved throughout the recycled coarse aggregate concrete specimens. Many researchers highlighted the significant effect of the water-to-cement ratio on concrete strength. Conversely, the recycled coarse aggregate concrete has two surfaces of contact: (i) the new mortar of the recycled coarse aggregate and (ii) the old mortar of the recycled coarse aggregate. When high strength is desired, these contact surfaces were suggested to restrict the strength of the recycled coarse aggregate concrete. It is important to note that the failure of the concrete cubes was observed in similar planes to the ones of normal coarse aggregate concrete cubes. In both types of aggregates, the type of failure was observed on the mortar surrounding the aggregate.
Pultruded BFRP bars utilized in this study had various nominal diameters of 8, 10, and 12 mm. The BFRP results were compared using pultruded GFRP bars with a 12 mm diameter. The manufacturer’s mechanical properties of the bars are provided in Table 2. Tensile tests were conducted to distinguish the mechanical characteristics of the 12 mm diameter BFRB bar following the ASTM standard [54]. The ultimate elongation, elastic modulus, and ultimate strength were 48 GPa, 2.12%, and 1017 MPa, respectively, which validated the manufacturer’s characteristics. The surface of the BFRP bars was uniform, with consistent sand covering and tiny spiral indentations (Figure 3a), whereas the surface of the GFRP bars had a helical ribbed pattern (Figure 3b). It should be mentioned that these are the FRP bars’ surface textures available in the place of study. The BFRP and GFRP bars’ actual diameters were 2 mm bigger than their nominal ones because of the surface treatments.

3.2. Specimens Tested

Cubic, wooden molds with 200 mm-sides were manufactured to cast the bond test specimens. In this study, a total length of 1000 mm for both types of FRP bars was utilized (Figure 4a). For the BFRP bars, the bond length was considered as a parameter to verify its impact on the bond capacity. Plastic tape was wrapped around the FRP bars prior to casting to guarantee the desired bond length (Figure 4b). To avoid the bar from being crushed in the grip of the testing machine during the pull-out test, the FRP bar was placed into a steel pipe that had been cast with cement grout (Figure 4c). The FRP bars were centered in the steel pipes using typhlon caps, as shown in Figure 4d. Wooden plates were installed at the upper end of the molds to guarantee that the FRP bars were vertically concentric after concrete casting (Figure 5a,b).
Table 3 shows the experimental program for the tested specimens. This research took into account BFRP bars with nominal diameters of 8, 10, and 12 mm, as well as GFRP bars with nominal diameters of 12 mm. The recycled coarse aggregate concrete strengths in this investigation were 30, 45, and 60 N/mm2, whereas the normal coarse aggregate strength of the concrete was 30 N/mm2. For BFRP bars, three bond lengths as a multiplier of the bar diameter (5, 10, and 15d, where d is the bar diameter) were examined in this study. A 5d bond length was maintained for the GFRP bar specimens as a benchmark. The data available in the literature regarding GFRP bars bond performance influenced the selection of the parameters, which are the FRP bond length, concrete strength, and FRP bar diameter. To ensure the reliability of the results, three specimens were prepared for each set of parameters. Only two specimens were prepared for the 8 mm bar diameter. The configuration of the test specimens is presented in Figure 6a.
The following labels were applied to the specimens: the first item denotes the material type of the bar (B for basalt and G for glass), accompanied by the diameter of the bar; the second item denotes the concrete strength (RC for recycled coarse aggregate concrete and NC for normal coarse aggregate concrete), which is followed by the desired strength of concrete; the third item represents the bond length, while the last term denotes the specimen’s rank in the test. As an example, B10-RC60-L10-3 indicates a specimen of basalt FRP bar with a 10 mm diameter, in 60 MPa recycled coarse aggregate concrete strength, having a bond length of 10d, and it is the third specimen in this series.

3.3. Test Setup

The test specimens’ setup is depicted in Figure 6b. Pull-out testing was performed on all specimens in accordance with the ASTM standard [55]. The Baldwin testing machine was used and the experiments were conducted in a 1.2 mm/min displacement control technique to track the descending branch of the bond stress–slip curves. To capture the FRP-to-concrete slip performance, the bar was extended through the other side of the concrete block by 60 mm (Figure 6a). A linear variable displacement transducer (LVDT) was fixed at the extended end of the FRP bar to measure the slip. Throughout the test, the slip of the FRP from the concrete and the applied pull-out load was registered in the testing machine storage. When no increase in pull-out load was observed, the test was discontinued.

4. Experimental Results and Discussions

The experimental findings are presented in terms of ultimate pull-out load, bond stress–slip relationships, and failure mechanisms. The findings are analyzed to investigate the effect of various considered parameters. The maximum bond stress (τmax) represents bond resistance and it is computed as:
τ m a x = P u l t i m π d L d
where Pultim is the ultimate pull-out load and Ld is the FRP bar bonded length. In Equation (1), the bond resistance is calculated based on the nominal bar diameters. The slip between the FRP bar and the concrete is the variance in displacement opposite to the direction of pull-out load. In this study, the slip results are the LVDT measurements.
Table 3 presented the experimental results of the ultimate pull-out load, the slip corresponds to the ultimate pull-out load, the bond resistance, and the failure modes for the specimens tested in this study.

4.1. Bond Stress–Slip Relationships

Illustrative curves for the bond stress–slip relations for the BFRP and GFRP specimens examined in this study are shown in Figure 7. Figure 7a–d present the results in terms of concrete strength, FRP bar bond length, and diameter, respectively, to investigate the effect of the various parameters. The bond stress–slip performance of the BFRP and GFRP bars in recycled and normal coarse aggregate concrete is compared in Figure 7e,f. The slip was not fully recorded in specimens B12-RC45-L5 and B12-RC30-L10 due to the sudden cease of the LVDT, which is attributed to the sudden block splitting failure of the specimens. It should be mentioned that the sudden failure of the LVDT occurred only for these two specimens of the experimental program and, consequently, it did not affect the efficiency of the results.
The overall performance of the curves is described by a first rise in bond stress with negligible slip, referred to as the micro-slip phase. Once the ultimate bond load is achieved, the FRP bar tends to debond from the concrete substrate; thereafter, the applied pull-out load is resisted by the unloaded end of the FRP bar. As a result, the frequency of slippage increases as the applied pull-out load increases until the specimen fails. The bond stress–slip relationship for BFRP bars in recycled coarse aggregate concrete exhibits nonlinear performance until the ultimate load level is reached. At the ultimate pull-out load, the load stays constant for any subsequent slip increase. Bearing and friction are significant for the performance of BFRP bars in concrete, resulting in continuous bonds and increased slip. The GFRP bar performance is described by ascending till the ultimate pull-out bond is reached, followed by an immediate falling branch.
Figure 7a presents the bond stress–slip relations for BFRP specimens with a 12 mm diameter and in various concrete strengths (B12-NC30-L5, B12-RC30-L5, B12-RC45-L5, and B12-RC60-L5). The figure shows the performance of BFRP bars in various types of coarse aggregate and concrete strengths. For the identical strength of concrete, comparable bond stress–slip curves are produced, although different types of coarse aggregate are utilized (B12-NC30-L5 and B12-RC30-L5). Furthermore, a similar stiffness performance is observed in the two specimens before the initiation of debonding. The slip associated with the maximum bond stress is identical. In the B12-RC30-L5 specimen, continuous hardening is observed after the peak load is achieved. The hardening performance is attributed to the confinement action on the bar, which is produced as a result of high FRP-to-concrete bearing resistance. After reaching the bond resistance for the B12-RC45-L5 specimen, there is no slip reported as a result of the LVDT’s unexpected stopover (Figure 7a). This is due to the block splitting failure that occurred when the ultimate bond load was reached. The bond stress–slip relations for specimens with GFRP bars are depicted in Figure 7b, which is noticeably different from those with the BFRP bars. There is no slip hardening in the bond stress–slip curve for the GFRP specimens. The GFRP bars showed a similar response in normal and in recycled coarse aggregate concrete. This result matches what Baena and colleagues [49] observed, where the aggregate type does not affect the bond performance of GFRP bars.
The experimental test findings of BFRP bars in recycled coarse aggregate concrete revealed that the dominant performance for BFRP bars at the bar pull-out failure is characterized by slip hardening. In addition, the BFRP bars can maintain their bond resistance beyond the ultimate bond resistance. The steady slip performance of BFRP bars in recycled coarse aggregate concrete may be justified to the progress of FRP-to-concrete bearing resistance that is attributed to the indentation surface of BFRP bars, as well as the presence of old mortar on the recycled coarse aggregate.
The bond stress–slip relationships for specimens representing the effect of bond length are shown in Figure 7c. The bar slip in specimen B12-RC30-L10 was not accurately documented due to an unpredictable LVD failure. This performance is clearly seen in the figure since no slip values were recorded beyond the maximum bond stress. This phenomenon occurs because the failure mode is block splitting, as shown in Table 3. Figure 7c illustrated that the greater the bond length used, the lower bond resistance can be obtained. In addition, all curves have equal initial stage stiffness (Figure 7c); therefore, the bond length does not influence the early phase of the bond stress–slip profiles. The slippage that corresponds to the highest bond stress increases with the increase of bond length for the specimens with bond lengths of 10db and 15db.
Figure 7d depicts the bond stress–slip relationships for B8-RC30-L5, B10-RC30-L5, and B12-RC30-L5 specimens. The figure revealed that the slips coinciding with the ultimate bond stress exceed as the BFRP bar diameter enlarges and produces slip hardening performance. The constant slip beyond the maximum bond stress, slip hardening performance, is a result of the wedging action [28]. This action is found in BFRP bars with larger diameter, which increases the bearing resistance of FRP bars in recycled coarse aggregate concrete. This result is in agreement with the conclusion of Shen and colleagues [28], who stated that the increase of bar diameter enhances the bond performance.
The bond stress–slip relationships for B12-RC30-L5 and G12-RC30-L5 specimens are shown in Figure 7e. It has been found that the early stage of the two curves is almost equal and the nature of coarse aggregate and concrete strength has a negligible influence upon the early stiffness of the bond stress–slip profiles. However, various post-peak performances of the bar types (BFRP and GFRP) are explored due to the different surface treatments. It should be noted that, irrespective of the variation in bar type, the bar pull-out failure mode was recorded for the two specimens (Table 3). Figure 7f shows that specimen B12-NC30-L5 and G12-NC30-L5 have a similar behavior in terms of the bond stress–slip relation. This result confirms that the BFRP bars are an acceptable candidate in FRP reinforced concrete. In addition, it implies that the bond processes of GFRP and BFRP bars are comparable. Therefore, since bond development and degradation are similar, the BFRP bars may replace the GFRP ones.
The analysis of the pull-out test performance of BFRP bars presented in the figures indicates a noticeable difference in the bond stress–slip relationships. These results illustrate that, in comparison to normal aggregate concrete, recycled coarse aggregate concrete improves the pull-out bond resistance between the BFRP and concrete in terms of bond formation and hardening performance prior to failure. This can be explained by the difference in surface treatment between the BFRP bars (sand coated and spiral indentations) and GFRP bars (helical wrapping). In addition, the old mortar on the recycled coarse aggregate increases the bearing resistance compared to the normal aggregate concrete.

4.2. Failure Modes

Table 3 provides the failure modes observed during the pull-out tests. The experimental results demonstrate that the failure mode has been affected significantly by the concrete strength and FRP bond length. This conclusion is opposite from the one reported by Baena and colleagues [46]. They stated that the pull-out bond performance of GFRP bars is dependent on the surface treatment and the concrete strength does not influence the pull-out bond resistance. According to the experimental results obtained here, when sufficient bond length or concrete strength are provided, the pull-out failure mode can be avoided.
For all BFRP and GFRP bar specimens with 5d and 30 N/mm2 concrete strength, the pull-out failure mode is the governing failure and no cracks are detected on the surface of the concrete block upon splitting (Figure 8a,b). As shown in the figures, the exterior surface of the bars is peeled off and the bar has remained with a smooth surface. At failure, no concrete pieces are appended to the surface of the FRP bar. This indicates that the shear at the surface layers of the FRP bar is controlling the performance with no effect to the FRP-to-concrete shear performance.
Block splitting is the frequent type of failure for BFRP bars with 45 and 60 N/mm2 strengths and 10d bond length. In this type of failure, the block of concrete is broken at the vicinity of the FRP bar (Figure 8c,d). This type of failure is brittle and no alarms of failure are observed ahead of failure. The block splitting failure indicates that the BFRP bar and the concrete are properly bonded and preventing the pull-out failure. In certain tests, the BFRP bars are connected to the concrete next to the block splitting failure mode. As shown in Figure 8e,f, the failure mode for BFRP specimens with a bond length of 15d is FRP rupture. The results exhibit that when a sufficient bond length is secured, the FRP bar rupture can be obtained. The location of FRP rupture occurred along the contact length between the FRP bar and the concrete. These results are aligned to those found in normal aggregate concrete for pull-out bond performance [12,14,30,34].
Table 3 reports the mean slippage obtained at the opposite end of the bars at the ultimate bond stress. The slippage emerges at the bond failure between the FRP bar and the concrete. In this case, the bond mechanism is controlled by the friction between the bar surface and concrete. According to Achillides and Pilakoutas [56], regardless of its fiber material, the bond of FRP bars is determined by the diameter of the bar. Table 3 reveals that the mean slip data for BFRP bars in 30, 45, and 60 N/mm2 are 4.19, 9.08, and 1.02 mm, respectively, whereas 2.17, 2.01, and 3.34 N/mm2 are reported for GFRP bars, respectively. These findings indicate that the higher slippage encountered by BFRP bars in recycled coarse aggregate concrete is larger than that obtained by GFRP bars. In normal aggregate concrete, the ultimate slip for the BFRP and GFRP bars drops to 2.86 and 2.21 mm, respectively. No clear conclusion can be drawn out of the slip results obtained for the FRP bar diameter.

4.3. Parameters That Influence Bond Resistance

4.3.1. Strength of Concrete

The bond resistance is affected by the strength of the concrete that correspondingly rises as the strength of the concrete increases [57]. El Refai and colleagues [27] found that the bond resistance of BFRP bars in normal aggregate concrete is unaffected by the elevated concrete strength. The bond resistance findings in concrete strengths of 30, 45, and 60 N/mm2 are evaluated to investigate its effect on the bond resistance.
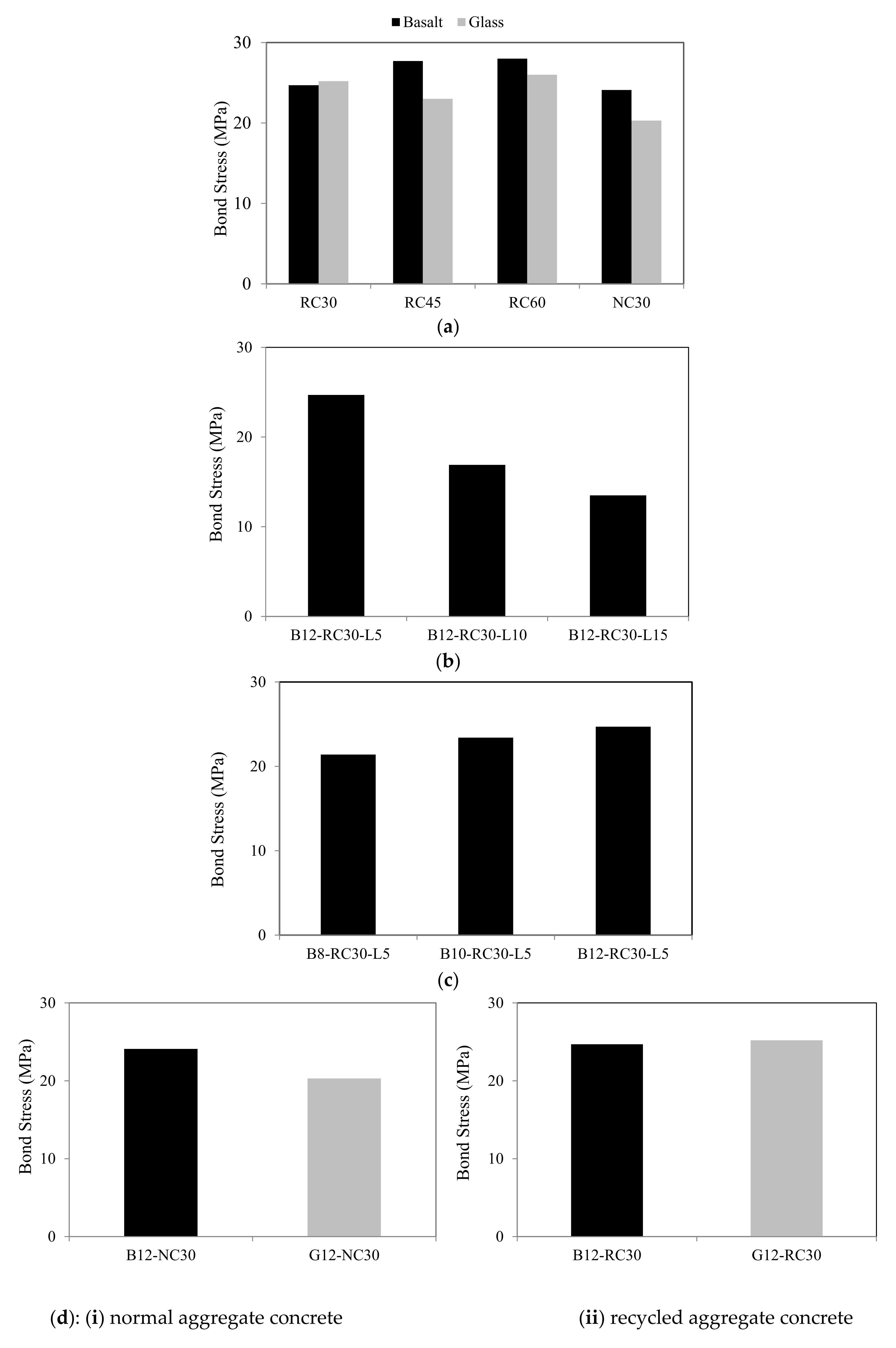
For BFRP and GFRP bars, the correlations between the different concrete strengths are depicted in Figure 9a. The figure compares the bond resistance in normal aggregate concrete to the mean bond resistance achieved for the three investigated recycled coarse aggregate concrete strengths. For a concrete strength of 30 N/mm2, the figures show a nearly identical BFRP bars bond resistance in the recycled coarse aggregate and normal aggregate concrete strength. This demonstrates that using recycled coarse aggregate concrete has no effect on the bond behavior and also provides a similar bond performance as normal aggregate concrete. The bond resistance is enhanced with higher recycled coarse aggregate concrete strengths. For BFRP bars, as the concrete strength increases from 30 to 45 N/mm2, the bond stress rises by 12%. In contrast, a smaller percentage of increase in the bond resistance is found once the strength of the concrete is enhanced from 45 to 60 N/mm2. This reveals that increasing the concrete strength does not result in a significant increase in bond resistance. For lower concrete strength (30 N/mm2), the FRP bar pull-out is the failure mode, whereas block splitting was the failure mode as the concrete compressive strength increased (45 and 60 N/mm2). It is the same conclusion obtained by El Refai and colleagues [27].
The recycled coarse aggregate concrete strength does not affect the bond resistance of GFRP bars. Figure 9a presents that increasing the strength of the recycled coarse aggregate concrete has no effect on bond resistance. This may be attributed to the fact that since the FRP bar pull-out was the most common failure mode, the bond resistance is determined by the shear strength contact of the GFRP bar. This observation is consistent with that proposed by Baena and colleagues [49]. Eventually, the findings of this study prove that the concrete strength affects the bond resistance of the BFRP bars, which rises with an increase of concrete compressive strength.

4.3.2. Bond Length

Relationships for the effect of different bond lengths on the BFRP bars bond resistance are provided in Figure 9b. The effect of FRP bond length is considered only for the 12 mm bar diameter. From the figure, it can be seen that an inversely proportional relationship is observed between the bond resistance and the FRP bar bond length. Clearly, increasing the BFRP bond length to 10d and 15d leads to a 31.6 and 45.3% drop in bond resistance, respectively, compared to the specimen with 5d. El Refai and colleagues [27] as well as Achillides and Pilakoutas [56] had previously confirmed that the bond resistance decrease as FRP bond length increases. The nonlinear distribution of bond stress along the bond length, which increases with the increase of the bond length, is assumed to be the cause of this performance. The bond load near the ultimate strength of the bar as the length rises and FRP rupture is a possible mode of failure.
The slip behavior of B12-RC30-L5 and B12-RC30-L15 specimens confirms the conclusion of Moreno et al. [58] and Kang et al. [59], where the slip at failure decreases with the increase of FRP bond length. It should be mentioned that the slip behavior of B12-RC30-L10 specimen is not complete due to the sudden splitting failure mode, where the slip was not fully recorded.

4.3.3. BFRP Bar Diameter

The previous experimental studies that have been carried out to study the influence of GFRP bar diameter on bond resistance of normal aggregate concrete demonstrated that an increase in bar diameter causes a decrease in bond resistance [60]. This was related to the asymmetric tensile stress that occurred along the FRP bar that increased as the bar diameters increased [61].
Figure 9c depicts the bond resistance at the same bond length (5d) for bar diameters of 8, 10, and 12 mm and recycled coarse aggregate concrete strength (30 MPa). It can be observed that a higher bond stress is reported as the FRP bar diameter increase. The BFRP bars with 10 mm and 12 mm diameters show higher bond stress by 9.3% and 15.4%, respectively, compared to the 8 mm bar diameter. The increase in surface contact between the FRP and concrete enhances the FRP bar’s bond resistance to the imposed pulling force. This explains the increase of the bond resistance with the increase of bar diameter. The findings obtained here follow the conclusion of Hu and colleagues [62], who claim that FRP bars with large diameters develop high bond resistance.

4.3.4. FRP Elastic Modulus

According to the available literature, the elastic modulus considerably affects the bond resistance for FRP bars [27,56]. It is reported that the nature of the FRP fibers and polymers used has a significant influence on the tensile characteristics, and hence the pull-out resistance. Figure 9d presents the influence of the FRP bar mechanical property on bond resistance based on mean findings. According to this research, although there is a difference in the elastic modulus of the two FRP bars, the bond resistance of the BFRP and GFRP bars in recycled coarse aggregate concrete produced almost identical bond resistance. Note that the BFRP bars have a lower elastic modulus (48 GPa) compared to that of GFRP bars (57 GPa). The surface deformations of the two materials can explain the identical bond resistance results for the BFRP and GFRP bars. This research considered BFRP bars with sand-coated surfaces, whereas the treatment for GFRP bars was a ribbed surface. Epoxy and vinylester polymers were utilized in BFRP and GFRP bars, respectively. The failure took place at the outer surface layer of the bar in the specimens with 30 N/mm2 recycled coarse aggregate concrete and 5d bond length, as previously mentioned, and no influence is noticed in the core of the bar. This implies that the surface coating, rather than the fiber type, governs the bond resistance of BFRP and GFRP bars. Furthermore, this study demonstrates the effectiveness of the sand coating with indentation treatment over the one with a helical ribbed surface.

4.3.5. Bond Energy

The bond energy represents the area under the bond stress–slip curves. The bond energy can be utilized to estimate the bond resistance of FRP bars to pull-out force for both ascending and descending branches. The increase of bond energy indicates that the bond resistance is enhanced [63]. In this study, the bond energy is calculated for the area under ascending branches (E1) and the area under the descending branch (E2). The total bond energy (Etot) corresponds to the area under both the ascending and descending branches, which is taken as (E1+E2).
Table 4 compares the bond energy of the BFRP and GFRP specimens for various recycled coarse aggregate concrete strengths compared to the normal aggregate ones. The energy is evaluated based on the ratio between the ascending energy (E1) and descending energy (E2) to total energy (Etot). Test results show that both BFRP and GFRP bars exhibit similar ascending/total bond energy ratios (E1/Etot). It should be mentioned that for B10-RC30-L5 and B12-RC45-L5, the bar failed at the maximum stress with no post-peak slip behaviour. High descending/total energy ratio (E2/Etot) is obtained for the BFRP bars compared to the GFRP ones when casted in recycled coarse aggregate concrete. This can be attributed to the friction resistance of the BFRP bars, which is mainly based on the surface treatment. GFRP bar specimens showed similar ascending and descending/total energy ratios, except for the G12-RC60-L5 specimen. The bond energy ratio for the BFRP and GFRP bars in normal coarse aggregate concrete is comparable.

5. Theoretical Predictions

This section reviews the existing literature on the bond resistance as well as the bond stress relationship of FRP reinforced concrete, including the predictability of each model towards experimental results. The theoretical equations provided hereafter attempt to predict the bond performance of BFRP bars in recycled coarse aggregate concrete.

5.1. Bond Resistance

Following the experimental findings reported here, the bond resistance of FRP reinforced concrete was found to be dependent on specific parameters as follows: concrete strength, bar diameter, and concrete cover. The square root of the concrete compressive strength was considered by some researchers to affect the FRP bond resistance [64,65,66]. The accuracy of the models proposed by fib [64], Orangun et al. [65], and Darwin et al. [66] to estimate the FRP bond resistance are examined in this study. The three studies presented the bond resistance in terms of maximum bond stress (τmax).
The fib [64] proposed two various equations to estimate the FRP bond resistance for two possible modes of failure: (i) block splitting failure and (ii) pull-out failure. For the first failure mode, the following equation is implemented to calculate bond resistance:
τ m a x = 2.5 f c
For the failure mode of pull-out, the bond resistance is calculated as:
τ m a x = 1.25 f c
The fib [64] does not consider the FRP rupture failure as a possible failure mode.
The equation proposed by Orangun et al. [65] included the effect of the concrete cover and bar diameter in addition to the concrete strength to calculate the bond resistance. Note that the equation is developed for the bond resistance of steel bars in normal aggregate concrete as:
τ m a x = 0.083045 f c 1.2 + 3 C d b + 50 d b l b
where C is the mean of Cs and Cb, and Cs is the smallest half-clear distance between the steel bars or side cover of the steel bars; Cb is the cover of concrete for steel bars; db is the diameter of steel bar; and lb is the bar bond length. In order to adopt the Cb for this study, it is considered equal to the half-dimension of the concrete block width. Equation (4) was adjusted by Darwin et al. [66] as:
τ m a x = 0.083045 f c 1.06 + 2.12 C d b 0.92 + 0.08 C m a x C m i n + 75 d b l b
where Cmin is taken as the lesser of Cx, Cy, and Cs/2; Cmax is the larger of Cx, Cy, and Cs/2; Cx is half the block width; Cy is the bottom bar cover; and Cs is taken as the bars’ spacing. The Cmax/Cmin ratio in Equation (5) is taken as 1.0 due to the concentric bar location in the concrete block.
Figure 10a–c presents the comparison between the experimental results and the predictions found through Equations (2)–(5). To apply Equations (2) and (3), the failure mode of the B12-RC30-L15 specimen is assumed to be block splitting failure. Figure 10a shows that lower analytical predictions are obtained when using the fib equations (Equations (2) and (3)). The equations revealed a mean bond resistance of 50% of the test results. The analytical results had a standard deviation of 0.27. The inconsistency of expectation produced by Equations (2) and (3) and the experimental results is attributed to the fact that these equations do not consider other parameters (FRP bond length and FRP bar diameter). In addition, lower predictions may be attributed to the additional reduction factors frequently suggested in design guidelines. Therefore, Equations (2) and (3) require emendation to account for various parameters that influence the FRP bond performance.
Equations (4) and (5), as presented in Figure 10b,c, respectively, show the theoretical predictions compared to the experimental results because these equations take into account several additional parameters to estimate the bond resistance, including concrete strength, FRP bar bond length, and diameter. Equation (4) reveals a mean bond resistance prediction of 86% compared to the experimental findings with a standard deviation of 0.12, while Equation (5) showed a mean bond resistance prediction of 74% relative to the experimental measurements with a standard deviation of 0.09. Figure 10b shows that Equation (4) estimates the experimental results with very good predictions. The accuracy of the analytical predictions are found to be lower for BFRP bars with a concrete strength, bar diameter, and bond length of 30 MPa, 12 mm and 5db, respectively. Equation (4) is accurate to predict the bond resistance and can be recommended to estimate the FRP bar’s bond resistance in recycled coarse aggregate concrete.

5.2. Bond Stress–Slip Analytical Approaches

Numerous bond stress–slip models have been proposed in the literature to describe the bond behavior of the FRP in normal coarse aggregate concrete. In this study, the theoretical models used are the ones recommended by the fib [62]. This investigation calibrated the experimental bond stress–slip relationships using two-bond stress–slip analytical approaches suggested by other researchers to characterize the FRP bond response in normal aggregate concrete. The Cosenza et al. [67] approach contains an equation to describe the FRP bond behavior (CMR model). This analytical approach is a modification to the one of Eligehausen, Popov, and Bertero (BPE model). The BPE analytical approach includes two separate equations for the ascending-and-descending nature of the bond response. The ascending-and-descending branches of the BPE model are expressed as:
τ τ m a x = ( s s m a x ) α
τ τ m a x = 1 p s s m a x / s m a x
where smax is the slip that corresponds to the maximum bond stress and α and p are curve-fitting variables. The CMR analytical approach uses one expression to describe the overall bond stress–slip relations as:
τ τ m a x = ( 1 e s s r ) β
where sr and β are curve-fitting variables.
This research implemented the suggestions of Cosenza et al. [67] for the curve-fitting variables. Cosenza et al. [67] mentioned that the surface treatment is the main influence on these variables that are affected by the bar’s outer layer. Cosenza et al. [67] proposed 0.145 and 1.870 for α and p for smooth-surfaced bars, respectively. Higher values for α and p were proposed for sand-coated bars relative to smooth-surfaced bars because such bars exhibit stiffer bond stress–slip performance.
For the analytical predictions, this research proposes different curve-fitting parameters than those given by Cosenza et al. [67] for the bond stress–slip relationships of recycled concrete. This is done to reduce the gap between the analytical predictions and experimental results. The calibration initiated with the curve-fitting values of Cosenza et al. [67] and continued with other suggestions to minimize the divergence between the two curves. It should be noted that some curve-fitting variable values are proposed independent of the bar surface treatment or bar material type. For the BPE model, it is suggested that α and p are 0.1 and 0.025, respectively. For the Cosenza et al. model, 0.8 and 0.5 are the appropriate suggestions for sr and β, respectively, for both types of bars used in this study. Using nonlinear regression analysis, a general equation can be predicted to describe the bond stress–slip performance for both types of FRP bars. Although, this may reduce the accuracy of the analytical bond stress–slip curves as compared to the experimental ones.
Figure 11a–d show the theoretical predictions compared to the experimental data for the BFRP and GFRP bars utilizing the modified BPE and CMR analytical approaches. It can be noted that the comparison only applies to the ascending branch of the bond stress–slip relations. These figures clearly illustrate that the BPE model exhibits a performance that is comparable to the experimental data. The inclusion of the two curve-fitting variables to define the bond stress–slip relationships is a benefit of the BPE model since it shows, in some cases, similar results to the experimental measurements. There are few changes in the curves of the bond stress–slip relations in slip hardening. On the other hand, there is reasonable agreement between the experimental data and the CMR model.

6. Conclusions

Experimental tests were performed to better understand the bond behavior of BFRP bars in recycled coarse concrete. In this investigation, some parameters reported to have a significant impact on the FRP bond behavior were examined: concrete strength, FRP bar bond length, and FRP bar diameter. The bond performance of BFRP bars in normal aggregate concrete and GFRP bars were used as a basis of comparison. The bond resistance of FRP bars in recycled coarse aggregate concrete was analytically estimated employing various formulae provided in the literature. To explain the bond stress–slip graphs of BFRP and GFRP bars in recycled concrete, new curve-fitting variables were suggested for the BPE and the CMR analytical expressions. The following conclusions may be highlighted based on the findings of this investigation:
  • In general, using recycled coarse aggregate concrete does not have a detrimental effect on the pull-out bond performance of the BFRP bar. Equal results were obtained for both the early stage stiffness and ultimate bond stress for normal and recycled aggregate concrete;
  • Increasing the concrete strength or giving a longer bond length enhances the bond resistance and avoids the pull-out failure mode. When a sufficient bond length is supplied, the experimental results emphasize the bar’s tendency to fail via rupture;
  • The introduction of BFRP bars in recycled coarse aggregate concrete caused a fluctuation in the bond stress–slip relation beyond the ultimate stress magnitude. In contrast, BFRP bars with larger diameters (12 mm) demonstrated greater bond resistance than those with lower diameters (8 mm);
  • The experimental findings revealed that the surface treatment had a considerable impact on the FRP bond resistance rather than the fiber type. This is because the bar pull-out failure mechanism is detected at the contact of the bar’s outer surface layer and no failure is found inside the bar;
  • In recycled coarse aggregate concrete, Orangun et al. equation’s accurately predicted the bond resistance for BFRP and GFRP bars; reasonable precision findings were achieved when implementing the CMR and BPE analytical approaches to predict the bond stress–slip relationships for BFRP and GFRP bars in recycled coarse aggregate concrete. The curve fitting parameters sr, β, α, and ρ are suggested to be 0.8, 0.5, 0.1, and 0.025, respectively. The bond stress–slip models proposed in this study can be used in finite element analysis to simulate the bar/concrete interfacial behavior of basalt reinforced concrete flexural members. However, these models can not be suggested for real practitioners because of the limited number of data on this subject;
This investigation studied the use of recycled coarse aggregate to substitute normal aggregate in FRP reinforced concrete. The suggested models in this study represent an initial step towards a robust model to simulate the performance of basalt FRP reinforced concrete flexural members. Other forms of surface treatments for BFRP and GFRP bars should be considered with caution.

Author Contributions

Conceptualization, A.G.; methodology, A.G., E.A., N.A.T., H.A. and S.A.; software, A.G., E.A., N.A.T., H.A. and S.A.; validation, A.G., E.A., N.A.T., H.A. and S.A.; formal analysis, A.G., E.A., N.A.T., H.A. and S.A.; investigation, A.G., E.A., N.A.T., H.A. and S.A.; resources, A.G.; data curation, A.G., E.A., N.A.T., H.A. and S.A.; writing—original draft preparation, A.G., E.A., N.A.T., H.A. and S.A.; writing—review and editing, A.G., E.A. and N.A.T.; visualization, A.G.; supervision, A.G.; project administration, A.G.; funding acquisition, A.G. All authors have read and agreed to the published version of the manuscript.

Funding

This research was funded by RESEARCH AFFAIRS OFFICE at the UNITED ARAB EMIRATES UNIVERSITY, grant number #G00003194.

Institutional Review Board Statement

Not applicable.

Informed Consent Statement

Not applicable.

Data Availability Statement

All data, models, and code generated or used during the study appear in the submitted article.

Acknowledgments

The collaboration of Eng. Abdelrahman Alsallamin, Faisal Abdulwahab (technician), and Al Hoty-Stanger Laboratories in Abu-Dhabi in conducting the test is acknowledged.

Conflicts of Interest

The authors declare no conflict of interest. The funders had no role in the design of the study; in the collection, analyses, or interpretation of data; in the writing of the manuscript, or in the decision to publish the results.

References

  1. Faza, S.; GangaRao, H. Glass FRP reinforcing bars for concrete. In Fiber Reinforced Plastic (FRP) for Concrete Structures: Properties and Applications; Elsevier Science: Amsterdam, The Netherlands, 1993; pp. 167–188. [Google Scholar]
  2. Ehsani, M.R. Glass-fiber reinforcing bars. In Alternative Materials for the Reinforcement and Prestressing of Concrete; Blackie Academic & Professional: London, UK, 1993; pp. 35–54. [Google Scholar]
  3. Mallic, P.K. Fiber-Reinforced Composites: Materials, Manufacturing, and Design, 3rd ed.; CRC Press: New York, NY, USA, 2007. [Google Scholar]
  4. Palmieri, A.; Matthys, S.; Tierens, M. Basalt fibers: Mechanical properties and applications for concrete structures. In Proceedings of the International Conference on Concrete Solutions, Padua, Italy, 22–25 June 2009; CRC Press: London, UK, 2009; pp. 165–169. [Google Scholar]
  5. Nanni, A.; De Luca, A.; Zaded, H.J. Reinforced Concrete with FRP Bars: Mechanics and Design; CRC Press: New York, NY, USA, 2014. [Google Scholar]
  6. Militky, J.; Kovacic, V.; Rubnerova, J. Influence of thermal treatment on tensile failure of basalt fibers. Eng. Fract. Mech. 2002, 69, 1025–1033. [Google Scholar] [CrossRef]
  7. Wei, B.; Cao, H.; Song, S. Tensile behavior contrast of basalt and glass fibers after chemical treatment. Mater. Des. 2010, 31, 4244–4250. [Google Scholar] [CrossRef]
  8. Wei, B.; Cao, H.; Song, S. Degradation of basalt fiber and glass fiber/epxy resin composites in seawater. Corros. Sci. 2011, 53, 426–431. [Google Scholar] [CrossRef]
  9. Wu, Z.; Wang, X.; Iwashita, K.; Sasaki, T.; Hamaguchi, Y. Tensile fatigue behavior of FRP and hybrid FRP sheets. Compos. Part B 2010, 41, 396–402. [Google Scholar] [CrossRef]
  10. Mahroug, M.; Ashour, A.; Lam, D. Experimental response and code modelling of continuous concrete slabs reinforced with BFRP bars. Compos. Struct. 2014, 107, 664–674. [Google Scholar] [CrossRef]
  11. Ge, W.; Zhang, J.; Cao, D.; Tu, Y. Flexural behaviors of hybrid concrete beams reinforced with BFRP bars and steel bars. Constr. Build. Mater. 2015, 87, 28–37. [Google Scholar] [CrossRef]
  12. High, C.; Seliem, H.M.; Rizkallal, S.H. Use of basalt fibers for concrete structures. Constr. Build. Mater. 2015, 96, 37–46. [Google Scholar] [CrossRef]
  13. Wang, H.; Sun, X.; Peng, G.; Luo, Y.; Ying, Q. Experimental study on bond behavior between BFRP bar and engineered cementitious composite. Constr. Build. Mater. 2015, 95, 448–456. [Google Scholar] [CrossRef]
  14. Elgabbas, F.; Vincent, P.; Ahmed, E.A.; Benmokrane, B. Experimental testing of basalt-fiber-reinforced polymer bars in concrete beams. Compos. Part B 2016, 91, 205–218. [Google Scholar] [CrossRef]
  15. El Refai, A.; Abed, F. Concrete contribution to shear strength of beams reinforced with basalt fiber-reinforced bars. Compos. Constr. 2016, 20, 04015082. [Google Scholar] [CrossRef]
  16. Hamad, R.; Johari, M.A.; Haddad, R. Mechanical properties and bond characteristics of different fiber reinforced polymer rebars at elevated temperatures. Constr. Build. Mater. 2017, 142, 521–535. [Google Scholar] [CrossRef]
  17. Li, L.; Hou, B.; Lu, Z.; Liu, F. Fatigue behavior of sea sand concrete beams reinforced with basalt fiber-reinforced polymer bars. Constr. Build. Mater. 2018, 179, 160–171. [Google Scholar] [CrossRef]
  18. Zheng, Y.; Zhou, L.; Xia, L.; Luo, Y.; Taylor, S. Investigation of the behavior of SCC bridge deck slabs reinforced with BFRP bars under concentrated loads. Eng. Struct. 2018, 171, 500–515. [Google Scholar] [CrossRef]
  19. Zhu, H.; Zhao, S.; Gao, D.; Neaz, S.; Li, C. Flexural behavior of partially fiber-reinforced high-strength concrete beams reinforced with FRP bars. Compos. Struct. 2018, 161, 587–597. [Google Scholar] [CrossRef]
  20. Wang, L.; Song, Z.; Yi, J.; Li, J.; Fu, F.; Qian, K. Experimental studies on bond performance of BFRP bars reinforced coral aggregate concrete. Int. J. Concr. Struct. Mater. 2019, 13, 52. [Google Scholar] [CrossRef]
  21. Zhou, L.; Zheng, Y.; Song, G.; Chen, D.; Ye, Y. Identification of flexural damage mechanism of BFRP bars reinforced concrete beams using smart transducers based on time reversal method. Constr. Build. Mater. 2019, 220, 615–627. [Google Scholar] [CrossRef]
  22. Gao, Y.; Zhou, Y.; Kong, X.; Zhang, B.; Liu, S.; Feng, J.; Zhu, N.; Fan, H.; Jin, F. Blast response of one-way sea-sand seawater concrete slabs reinforced with BFRP bars. Constr. Build. Mater. 2020, 232, 117254. [Google Scholar] [CrossRef]
  23. Lu, Z.; Su, L.; Xian, G.; Lu, B.; Xie, J. Durability study of concrete-covered basalt fiber-reinforced polymer (BFRP) bars in marine environment. Compos. Struct. 2020, 234, 111650. [Google Scholar] [CrossRef]
  24. Chao, S.H.; Naaman, A.E.; Parra-Montesinos, G.J. Bond behavior of reinforcing bars in tensile strain-hardening fiber-reinforced cement composites. ACI Struct. J. 2009, 106, 897–906. [Google Scholar]
  25. Bandelt, M.J.; Billington, S.L. Bond behavior of steel reinforcement in high-performance fiber-reinforced cementitious composite flexural memebrs. Mater. Struct. 2016, 49, 71–86. [Google Scholar] [CrossRef]
  26. Bandelt, M.J.; Billington, S.L. Simulation of deformation capacity in reinforced high-performnace fiber-reinforced cementitious composite flexural members. J. Struct. Eng. 2018, 144, 04018188. [Google Scholar] [CrossRef]
  27. El Refai, A.; Ammar, M.; Masmoudi, R. Bond performance of basalt fiber-reinforced polymer bars to concrete. Compos. Constr. 2015, 19, 04014050. [Google Scholar] [CrossRef]
  28. Shen, D.; Ojha, B.; Shi, X.; Zhang, H.; Shen, J. Bond stress–slip relationship between basalt fiber-reinforced polymer bars and concrete using a pull-out test. Reinf. Plast. Compos. 2016, 35, 747–763. [Google Scholar] [CrossRef]
  29. ACI Committee. Guide for the Design and Construction for Structural Concrete Reinforced with FRP Bars; Report No. 440 1R-15; American Concrete Institute: Framington Hills, MI, USA, 2015. [Google Scholar]
  30. Altalmas, A.; El Refai, A.; Abed, F. Bond degradation of basalt fiber-reinforced polymer (BFRP) bars exposed to accelerated aging conditions. J. Constr. Build. Mater. 2015, 81, 162–171. [Google Scholar] [CrossRef]
  31. El Refai, A.; Abed, F.; Altalmas, A. Bond durability of basalt fiber-reinforced polymer bars embedded in concrete under direct pullout conditions. Compos. Constr. 2015, 19, 04014078. [Google Scholar] [CrossRef]
  32. Dong, Z.; Wu, G.; Xu, B.; Wang, X.; Taerwe, L. Bond durability of BFRP bars embedded in concrete under seawater conditions and long-term bond strength prediction. Mater. Des. 2016, 92, 552–562. [Google Scholar] [CrossRef]
  33. Dong, Z.; Wu, G.; Zhao, X.L.; Zhu, H.; Lian, J.L. Durability test on the flexural performance of seawater sea-sand concrete beams completely reinforced with FRP bars. Constr. Build. Mater. 2018, 192, 671–682. [Google Scholar] [CrossRef]
  34. Hassan, M.; Benmokrane, B.; Elsafty, A.; Fam, A. Bond durability of basalt-fiber-reinforced (BFRP) bars embedded in concrete in aggressive environments. Compos. Part B 2016, 106, 262–272. [Google Scholar] [CrossRef]
  35. Wang, Z.; Zhao, X.L.; Xian, G.; Wu, G.; Singh, R.K.; Al-Saadi, S.; Haque, A. Long-term durability of basalt- and glass-fiber reinforced polymer (BFRP/GFRP) bars in seawater and sea sand concrete environment. Constr. Build. Mater. 2017, 139, 467–489. [Google Scholar] [CrossRef]
  36. Bi, Q.; Wang, Q.; Wang, H. Study on bond properties of BFRP bars to basalt fiber reinforced concrete. Adv. Mater. Res. 2010, 163–167, 1251–1256. [Google Scholar] [CrossRef]
  37. Li, C.; Gao, D.; Wang, Y.; Tang, J. Effect of high temperature on the bond performance between basalt fiber reinforced polymer (BFRP) bars and concrete. Constr. Build. Mater. 2017, 141, 44–51. [Google Scholar] [CrossRef]
  38. Khanfour, M.A.; El Refai, A. Effect of freez-thaw cycles on concrete reinforced with basalt-fiber reinforced polymers (BFRP) bars. Constr. Build. Mater. 2017, 145, 135–146. [Google Scholar] [CrossRef]
  39. Sonawane, T.R.; Pimplikar, S.S. Use of recycled aggregate concrete. In Proceedings of the Second International Conference on Emerging Trends in Engineering (ICETET-09), Nagpur, India, 16–18 December 2009. [Google Scholar]
  40. Poon, C.S.; Shui, Z.H.; Lam, L.; Fok, H.; Kou, S.C. Influence of moisture states of natural and recycled aggregates on the slump and compressive strength of concrete. Cem. Concr. Res. 2004, 34, 31–36. [Google Scholar] [CrossRef]
  41. Kou, S.C.; Poon, C.S. Long-term mechanical and durability properties of recycled aggregate concrete prepared with the incorporation of fly ash. Cem. Concr. Compos. 2013, 37, 12–19. [Google Scholar] [CrossRef]
  42. Fonseca, N.; Brito, J.; Evangelista, L. The influence of curing conditions on the mechanical performance of concrete made with recycled concrete waste. Cem. Concr. Compos. 2011, 33, 637–643. [Google Scholar] [CrossRef]
  43. Butler, L.; West, J.S.; Tighe, S.L. The effect of recycled concrete aggregate properties on the bond strength between RCA concrete and steel reinforcement. Cem. Concr. Res. 2011, 41, 1037–1049. [Google Scholar] [CrossRef]
  44. Mefteh, H.; Kebaïli, O.; Oucief, H.; Berredjem, L.; Arabi, N. Influence of moisture conditioning of recycled aggregates on the properties of fresh and hardened concrete. J. Clean Prod. 2013, 54, 282–288. [Google Scholar] [CrossRef]
  45. Evangelista, L.; Brito, J. Mechanical behaviour of concrete made with fine recycled concrete aggregates. Cem. Concr. Compos. 2007, 29, 397–401. [Google Scholar] [CrossRef]
  46. Gomes, M.; Brito, J. Structural concrete with incorporation of coarse recycled concrete and ceramic aggregates: Durability performance. Mater. Struct. 2009, 42, 663–675. [Google Scholar] [CrossRef]
  47. Kim, S.W.; Yun, H.D. Evaluation of the bond behavior of steel reinforcing bars in recycled fine aggregate concrete. Cem. Concr. Compos. 2014, 46, 8–18. [Google Scholar] [CrossRef]
  48. Guerra, M.; Ceia, F.; Brito, J.; Júlio, E. Anchorage of steel rebars to recycled aggregates concrete. Constr. Build. Mater. 2014, 72, 113–123. [Google Scholar] [CrossRef]
  49. Baena, M.; Torres, L.; Turon, A.; Llorens, M.; Barris, C. Bond behaviour between recycled aggregate concrete and glass fibre reinforced polymer bars. Constr. Build. Mater. 2016, 106, 449–460. [Google Scholar] [CrossRef] [Green Version]
  50. Liu, H.; Yang, J.; Wang, X. Bond behavior between BFRP bars and recycled aggregate concrete reinforced with basalt fiber. Constr. Build. Mater. 2017, 135, 477–483. [Google Scholar] [CrossRef] [Green Version]
  51. American Concrete Institute. ACI E1-16; Aggregate for Concrete, ACI Committee E-701; American Concrete Institute: Farmington Hills, MI, USA, 2016. [Google Scholar]
  52. British Standards Institution. BS 8500-1 Complementary British Standard to BS EN206; Part 1-Methods of Specifying and Guidance for the Specifier; British Standards Institution: London, UK, 2015. [Google Scholar]
  53. PCA. High-Performance Concrete, 16th ed.; Design and Control of Concrete Mixtures; PCA: Washington, DC, USA, 2016. [Google Scholar]
  54. ASTM. ASTM Standard D7205/D7205M; Standard Test Method for Tensile Properties of Fiber Reinforced Polymer Matrix Composite Bars; ASTM: West Conshohocken, PA, USA, 2016. [Google Scholar]
  55. ASTM. ASTM Standard D7913/D7913M; Bond Strength of Fiber-Reinforced Polymer Matrix Composite Bars to Concrete by Pullout Testing; ASTM: West Conshohocken, PA, USA, 2014. [Google Scholar]
  56. Achillides, Z.; Pilakoutas, K. Bond behavior of fiber reinforced polymer bars under direct pullout conditions. Compos. Constr. 2004, 2, 173–181. [Google Scholar] [CrossRef]
  57. Godat, A.; L’Hady, A.; Chaallal, O.; Neale, K.W. Bond behavior of the ETS FRP bar shear-strengthening method. Compos. Constr. 2012, 16, 529–539. [Google Scholar] [CrossRef]
  58. Moreno, D.M.; Trono, W.; Jen, G.; Ostertag, C.; Billington, S.L. Tension stiffening in reinforced high performance fiber reinforced cement-based composites. Cem. Concr. Compos. 2014, 50, 36–46. [Google Scholar] [CrossRef]
  59. Kang, S.B.; Tan, K.H.; Zhou, X.H.; Yang, B. Influence of reinforcement ratio on tension stiffening of reinforced engineered cementitious composites. Eng. Struct. 2017, 141, 251–262. [Google Scholar] [CrossRef]
  60. Benmokrane, B.; Xu, H.; Bellavance, E. Bond strength of cement grouted glass fibre reinforced plastic (GFRP) anchor bolts. Int. J. Rock Mech. Min. Sci. Geomech. 1996, 3, 455–465. [Google Scholar] [CrossRef]
  61. Arias, J.P.; Vazquez, A.; Escobar, M.M. Use of sand coating to improve bonding between GFRP bars and concrete. J. Compos. Mater. 2012, 46, 2271–2278. [Google Scholar] [CrossRef]
  62. Hu, Z.; Shah, Y.I.; Yao, P. Experimental and Numerical Study on Interface Bond Strength and Anchorage Performance of Steel Bars within Prefabricated Concrete. Materials 2021, 14, 3713. [Google Scholar] [CrossRef]
  63. Mousavi, S.S.; Guizani, L.; Ouellet-Plamondon, C.M. On bond-slip response and development length of steel bars in pre-cracked concrete. Constr. Buidling Mater. 2019, 199, 560–573. [Google Scholar] [CrossRef]
  64. International Federation for Structural Concrete. Fib (CEB-FIB); Model Code 10—Fib Bulletin No. 65; Final Draft; International Federation for Structural Concrete: Lausanne, Switzerland, 2010. [Google Scholar]
  65. Orangun, C.O.; Jirsa, J.O.; Breen, J.E. A reevaluation of test data on development length and splices. J. Am. Concr. Inst. 1977, 74, 114–122. [Google Scholar]
  66. Darwin, D.; McCabe, S.L.; Idun, E.K.; Schoenekase, S.P. Development length criteria: Bars not confined by transverse reinforcement. ACI Struct. J. 1992, 89, 709–720. [Google Scholar]
  67. Cosenza, E.; Manfredi, G.; Realfonzo, R. Behavior and modeling of bond of FRP rebars to concrete. J. Compos. Constr. 1997, 1, 40–51. [Google Scholar] [CrossRef]
Figure 1. Particle size distribution curve of the normal and recycled coarse aggregate.
Figure 1. Particle size distribution curve of the normal and recycled coarse aggregate.
Sustainability 14 01374 g001
Figure 2. Recycled coarse aggregates.
Figure 2. Recycled coarse aggregates.
Sustainability 14 01374 g002
Figure 3. FRP bars: (a) BFRP and (b) GFRP.
Figure 3. FRP bars: (a) BFRP and (b) GFRP.
Sustainability 14 01374 g003
Figure 4. FRP bars used in concrete casting: (a) preparation of BFRP bars; (b) FRP bar bond length using plastic tape; (c) steel pipes for loading grip; and (d) typhlon caps.
Figure 4. FRP bars used in concrete casting: (a) preparation of BFRP bars; (b) FRP bar bond length using plastic tape; (c) steel pipes for loading grip; and (d) typhlon caps.
Sustainability 14 01374 g004
Figure 5. Pull-out test specimens: (a) concrete casting and (b) vertical positioning of FRP bars.
Figure 5. Pull-out test specimens: (a) concrete casting and (b) vertical positioning of FRP bars.
Sustainability 14 01374 g005
Figure 6. Pull–out test: (a) diagram of the specimens and (b) a specimen in the testing machine.
Figure 6. Pull–out test: (a) diagram of the specimens and (b) a specimen in the testing machine.
Sustainability 14 01374 g006
Figure 7. Bond stress–slip relationships: (a) concrete strength effect on BFRP bars; (b) concrete strength effect on GFRP bars; (c) bond length effect on BFRP bars; (d) diameter effect on BFRP bars; (e) BFRP vs. GFRP bars in recycled coarse aggregate concrete; and (f) BFRP vs. GFRP bars in normal coarse aggregate concrete.
Figure 7. Bond stress–slip relationships: (a) concrete strength effect on BFRP bars; (b) concrete strength effect on GFRP bars; (c) bond length effect on BFRP bars; (d) diameter effect on BFRP bars; (e) BFRP vs. GFRP bars in recycled coarse aggregate concrete; and (f) BFRP vs. GFRP bars in normal coarse aggregate concrete.
Sustainability 14 01374 g007aSustainability 14 01374 g007b
Figure 8. Failure modes of experimental tests: (a) pull-out failure of BFRP bars; (b) pull-out failure of GFRP bars; (c) block splitting failure of BFRP bars; (d) block splitting failure of GFRP bars; (e) BFRP rupture failure, and (f) BFRP bar after FRP rupture failure.
Figure 8. Failure modes of experimental tests: (a) pull-out failure of BFRP bars; (b) pull-out failure of GFRP bars; (c) block splitting failure of BFRP bars; (d) block splitting failure of GFRP bars; (e) BFRP rupture failure, and (f) BFRP bar after FRP rupture failure.
Sustainability 14 01374 g008aSustainability 14 01374 g008b
Figure 9. Influence of different factors on bond resistance: (a) concrete strength; (b) bond length; (c) bar diameter; and (d) elastic modulus.
Figure 9. Influence of different factors on bond resistance: (a) concrete strength; (b) bond length; (c) bar diameter; and (d) elastic modulus.
Sustainability 14 01374 g009
Figure 10. Analytical versus experimental bond resistance findings: (a) fib equations; (b) Orangun et al. equation; and (c) Darwin et al. equation.
Figure 10. Analytical versus experimental bond resistance findings: (a) fib equations; (b) Orangun et al. equation; and (c) Darwin et al. equation.
Sustainability 14 01374 g010
Figure 11. Analytical and experimental bond stress–slip relationships.
Figure 11. Analytical and experimental bond stress–slip relationships.
Sustainability 14 01374 g011aSustainability 14 01374 g011b
Table 1. Components used in, and slump measurements for, the recycled coarse and normal coarse aggregates.
Table 1. Components used in, and slump measurements for, the recycled coarse and normal coarse aggregates.
Mix StrengthRecycled Concrete 30Recycled Concrete 45Recycled Concrete 60Normal Concrete 30
Cement (Kg/m3)448600500448
Water (Kg/m3)203210135203
Sand (Kg/m3)610517700610
Aggregate (Kg/m3)1073107311001073
Silica fume (Kg/m3)--30-
Water plasticizer (Kg/m3)--14-
Retarder (L/m3)--1.8-
Slump (mm)35201595
Table 2. Mechanical characteristics of the FRP bars.
Table 2. Mechanical characteristics of the FRP bars.
Bar MaterialTensile Strength
(N/mm2)
Ultimate Strain
(%)
Elastic Modulus
(kN/mm2)
BFRP10172.1248
GFRP12702.257
Table 3. Pull-out experimental program and findings.
Table 3. Pull-out experimental program and findings.
SpecimenType of ConcreteConcrete Strength
(MPa)
Ultimate Bond Load
(kN)
Mean Bond Load
(kN)
Mean Bond Strength
(N/mm2)
Ultimate Slip (mm)Mode of Failure
B8-RC30-L5-1Recycled-coarse aggregate concrete3022.021.521.42.29Bar pull-out
B8-RC30-L5-220.9Bar pull-out
B10-RC30-L5-13033.636.823.420.09Bar pull-out
B10-RC30-L5-239.4Bar pull-out
B10-RC30-L5-337.3Bar pull-out
B12-RC30-L5-13057.755.924.74.19Bar pull-out
B12-RC30-L5-257.0Bar pull-out
B12-RC30-L5-352.9Bar pull-out
B12-RC45-L5-14561.662.727.79.08Block splitting
B12-RC45-L5-262.9Block splitting
B12-RC45-L5-363.7Block splitting
B12-RC60-L5-16064.763.328.01.02Block splitting
B12-RC60-L5-263.7Block splitting
B12-RC60-L5-361.6Block splitting
B12-RC30-L10-13077.376.616.92.90Block splitting
B12-RC30-L10-280.3Block splitting
B12-RC30-L10-372.3Block splitting
B12-RC30-L15-13093.491.513.54.64FRP rupture
B12-RC30-L15-298.0FRP rupture
B12-RC30-L15-383.2Block splitting
G12-RC30-L5-13058.557.125.22.17Bar pull-out
G12-RC30-L5-251.8Bar pull-out
G12-RC30-L5-361.0Bar pull-out
G12-RC45-L5-14556.152.023.02.01Bar pull-out
G12-RC45-L5-249.0Bar pull-out
G12-RC45-L5-351.0Bar pull-out
G12-RC60-L5-16064.658.826.03.34Block splitting
G12-RC60-L5-259.2Block splitting
G12-RC60-L5-352.6Bar pull-out
B12-NC30-L5-1Normal-aggregate concrete3052.954.524.12.86Bar pull-out
B12-NC30-L5-253.5Bar pull-out
B12-NC30-L5-357.0Bar pull-out
G12-NC30-L5-13049.545.920.32.21Bar pull-out
G12-NC30-L5-242.2Bar pull-out
G12-NC30-L5-346.1Bar pull-out
Table 4. Bond energy of FRP bars in normal and recycled coarse aggregate concrete.
Table 4. Bond energy of FRP bars in normal and recycled coarse aggregate concrete.
SpecimenE1 (N/mm)E2 (N/mm)Etot (N/mm)E1/EtotE2/Etot
B8-RC30-L540.26105.81146.070.280.72
B10-RC30-L5377.470377.471.000.00
B12-RC30-L586.04300.13386.170.220.78
B12-RC45-L5181.740181.741.000.00
B12-RC60-L530.02358.64388.660.080.92
B12-RC30-L1035.4627.2262.680.570.43
B12-RC30-L1532.397.0939.480.820.18
G12-RC30-L552.44121.65174.090.300.70
G12-RC45-L549.97122.31172.280.290.71
G12-RC60-L574.0962.30136.390.540.46
B12-NC30-L567.5239.25106.770.460.54
G12-NC30-L535.4856.9392.410.380.62
Publisher’s Note: MDPI stays neutral with regard to jurisdictional claims in published maps and institutional affiliations.

Share and Cite

MDPI and ACS Style

Godat, A.; Alghafri, E.; Al Tamimi, N.; Aljaberi, H.; Aldaweela, S. Bond Behavior of Basalt Fiber Reinforced Polymer Bars in Recycled Coarse Aggregate Concrete. Sustainability 2022, 14, 1374. https://doi.org/10.3390/su14031374

AMA Style

Godat A, Alghafri E, Al Tamimi N, Aljaberi H, Aldaweela S. Bond Behavior of Basalt Fiber Reinforced Polymer Bars in Recycled Coarse Aggregate Concrete. Sustainability. 2022; 14(3):1374. https://doi.org/10.3390/su14031374

Chicago/Turabian Style

Godat, Ahmed, Ebtesam Alghafri, Noura Al Tamimi, Hamda Aljaberi, and Shaima Aldaweela. 2022. "Bond Behavior of Basalt Fiber Reinforced Polymer Bars in Recycled Coarse Aggregate Concrete" Sustainability 14, no. 3: 1374. https://doi.org/10.3390/su14031374

APA Style

Godat, A., Alghafri, E., Al Tamimi, N., Aljaberi, H., & Aldaweela, S. (2022). Bond Behavior of Basalt Fiber Reinforced Polymer Bars in Recycled Coarse Aggregate Concrete. Sustainability, 14(3), 1374. https://doi.org/10.3390/su14031374

Note that from the first issue of 2016, this journal uses article numbers instead of page numbers. See further details here.

Article Metrics

Back to TopTop