How Can China Resolve the NIMBY Dilemma in a Network Society? Government and Society-Negotiated Decisions Based on Evolutionary Game Analysis
Abstract
:1. Introduction
2. Multi-Interest Appeals in Public Decision Making
3. Evolutionary Game Model of Negotiation and Decision Making between the Government and Society
3.1. Evolutionary Game Model
3.2. Equilibrium Point of Evolution
3.3. Stability Analysis of Equilibrium Points
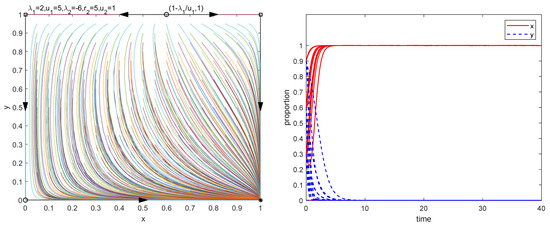
3.4. Analysis of Evolutionary Game Results
3.4.1. Situation 1:
3.4.2. Situation 2:
3.5. Discussion of Evolutionary Game Results
4. Case Study
4.1. Case 1: Yuhang Waste Incineration Project
4.2. Case 2: Chaonan Waste Incineration Project
4.3. Case Study
5. Public Decision-Making Mechanism Optimisation Strategy
5.1. Innovation and Implementation of the Negotiation Decision-Making Model
5.2. Improving Public Decision-Making Ability
5.3. Optimising the Comprehensive Coordination Mechanism of Interests
5.4. Building a Public Decision-Making Service Platform
6. Conclusions
Author Contributions
Funding
Conflicts of Interest
References
- Van Dijk, J. The Network Society: Social Aspects of New Media; Sage Publications Ltd.: London, UK, 2006; pp. 19–20. [Google Scholar]
- Castells, M. The Information Age: Economy, Society, and Culture Volume I: The Rise of the Network Society; John Wiley & Sons: Chichester, UK, 2010; pp. 60–61. [Google Scholar]
- Castells, M. Informationalism, networks, and the network society: A theoretical blueprint. In The Network Society: Across-Cultural Perspective; Castells, M., Ed.; Edward Elgar: Northampton, MA, USA, 2004; pp. 3–45. [Google Scholar]
- Castells, M.; Cardoso, G. The Network Society: From Knowledge to Policy; Johns Hopkins Center for Transatlantic Relations: Washington, DC, USA, 2005; pp. 4–16. [Google Scholar]
- Zheng, Z.Y.; He, M.S. Analysis of the Concept of “Network Society”. Sociol. Study 2004, 1, 13–21. [Google Scholar]
- He, Z. Basic Features of Network Society and Its Public Governance Strategy. Gov. Res. J. Gansu Adm. Inst. 2014, 3, 56–66. [Google Scholar]
- O’Hare, M. Not on My Block You Don’t—Facility Siting and the Strategic Importance of Compensation. Public Policy 1977, 4, 407–458. [Google Scholar]
- Walsh, E.; Smith, R.W.C. Backyards, NIMBYs, and Incinerator Sitings: Implications for Social Movement Theory. Soc. Probl. 1993, 1, 25–38. [Google Scholar] [CrossRef]
- Lober, D.J.; Green, D.P. NIMBY or NIABY: A Logit Model of Opposition to Solid-waste-disposal Facility Siting. J. Environ. Manag. 1994, 1, 33–50. [Google Scholar] [CrossRef]
- Gibson, T.A. NIMBY and the civic good. City Community 2005, 4, 381–401. [Google Scholar] [CrossRef]
- Greenberg, C. Liberal NIMBY: American jews and civil rights. J. Urban Hist. 2012, 3, 452–466. [Google Scholar] [CrossRef]
- Dear, M. Understanding and overcoming the NIMBY syndrome. J. Am. Plan. Assoc. 1992, 3, 288–302. [Google Scholar] [CrossRef]
- Sakai, T. Fair waste pricing: An axiomatic analysis to the NIMBY problem. Econ. Theory 2012, 2, 499–521. [Google Scholar] [CrossRef]
- Hou, G.H.; Wang, Y.D. Why NIMBY crisis evolutes—An integrated attribution model. J. Public Manag. 2014, 3, 80–92. [Google Scholar]
- Zhang, L.; Tong, X. Social generative mechanism for “NIMBY” actions. J. Jiangsu Adm. Inst. 2013, 1, 64–70. [Google Scholar]
- Zhu, Z.W.; Wang, Q.; Wu, J. The occurrence and evolution logic of nimby conflict: Based on the empirical investigation of the local people of a coal mine facilities. Nanjing Soc. Sci. 2017, 3, 81–89. [Google Scholar]
- Tang, H.H. NIMBY effect: The compensation mechanisms and citizen participation in public works projects. China Public Adm. 2011, 7, 111–114. [Google Scholar]
- Yang, Q.; Zhu, Y.X.; Liu, X.X.; Fu, L.M.; Guo, Q.Q. Bayesian-based NIMBY crisis transformation path discovery for municipal solid waste incineration in China. Sustainability 2019, 11, 2364. [Google Scholar] [CrossRef] [Green Version]
- Zhang, L.; Tong, X. The policy dilemmas in the “NIMBY” conflict management and solutions. China Public Adm. 2014, 4, 109–113. [Google Scholar]
- Wong, S.H.; Ye, X.Y. An analysis on the government response to internet political participation for decision-making: Taking protest-against px in ningbo as an example. J. Public Manag. 2013, 4, 26–36. [Google Scholar]
- Zhou, Y.Y.; Zhou, P.F.; Yu, H.S. The analysis on the site selection decision for NIMBY facilities. Zhejiang Soc. Sci. 2016, 6, 89–94. [Google Scholar]
- Corin, S.E.; McNeill, A.; Atapattu, A. Democracy and risk-based decision-making: The next step in public involvement. J. Risk Res. 2012, 8, 1021–1026. [Google Scholar] [CrossRef]
- Zeng, Z.M.; Li, L. The theoretical construction of public reason decision-making model. J. Public Manag. 2014, 2, 1–12. [Google Scholar]
- Huang, Z.W. “Semi-public decision-making model”—governments’ strategy on responding to NIMBY conflict. J. Hunan Univ. 2015, 4, 132–136. [Google Scholar]
- Irvin, R.A.; Stansbury, J. Citizen participation in decision-making: Is it worth the effort? Public Adm. Rev. 2004, 1, 55–65. [Google Scholar] [CrossRef]
- Willrich, M. The energy-environment conflict: Siting electric power facilities. Va. Law Rev. 1972, 2, 257–336. [Google Scholar] [CrossRef]
- Simon, H.A. Bounded rationality. In Utility and Probability; Eatwell, J., Milgate, M., Newman, P., Eds.; The Macmillan Press Limited: London, UK, 1990; pp. 15–18. [Google Scholar]
- Jin, S.; Du, J.G.; Sheng, Z.H. Evolutionary game analysis of regional environmental protection programme. Syst. Eng.-Theory Pract. 2015, 12, 3107–3118. [Google Scholar]
- Smith, J.M.; Price, G.R. The logic of animal conflict. Nature 1973, 5427, 15–18. [Google Scholar] [CrossRef]
- Taylor, P.D.; Jonker, L.B. Evolutionarily stable strategies and game dynamics. Math. Biosci. 1978, 1, 145–156. [Google Scholar] [CrossRef]
- Gintis, H. The Bounds of Reason: Game Theory and the Unification of the Behavioral Sciences; Princeton University Press: Princeton, NJ, USA, 2009; pp. 1–2. [Google Scholar]
- Jörgen, W. Evolutionary Game Theory; The MIT Press: Cambridge, MA, USA, 1995; pp. 9–13. [Google Scholar]
- Li, Y.L.; Ding, Y. Research on social trust repair of public crisis governance under network public opinion—Based on an empirical analysis of evolutionary game of animal epidemic public crisis. J. Public Manag. 2017, 4, 91–101. [Google Scholar]
- Xia, Z.Q.; Luo, S.C. Divergence and Evolution: Game Analysis of NIMBY Conflict. Expand. Horiz. 2015, 5, 67–73. [Google Scholar]
- Yan, Y.G.; Yao, Q.X.; Liu, R.; Li, H. Evolutionary Game Analysis of Public Participation Behavior in the Planning of Pollution NIMBY Facilities. Urban Dev. Stud. 2017, 24, 91–97. [Google Scholar]
- Qian, K.; Huang, Z.Q.; Liu, X.F. Environmental Compensation of NIMBY Facility Based on Evolutionary Game Theory. Syst. Eng. 2017, 3, 88–94. [Google Scholar]
- Zhou, Y.A.; Feng, X.Y.; Zhao, J.Y. Local governments’ competition and reconstruction of market order. Soc. Sci. China 2004, 1, 56–65. [Google Scholar]
- Jin, T.J. From administering administrative divisions to regional public administration: A game analysis of evolution in the pattern of governance by the government. Soc. Sci. China 2008, 4, 48–62. [Google Scholar] [CrossRef]
- Oates, W.E. Searching for leviathan: An empirical study. Am. Econ. Rev. 1985, 4, 748–757. [Google Scholar]
- Smelser, N.J. Theory of Collective Behavior; Free Press: New York, NY, USA, 1962; pp. 15–17. [Google Scholar]
- Zhang, K.Z.; Xiang, Y.Q. Construction of Policy Issues in Cyberspace. Soc. Sci. China 2015, 2, 123–138. [Google Scholar]











| Symbol | Definition |
|---|---|
| the proportion of society choosing the Agree strategy | |
| the proportion of the government choosing the Agree strategy | |
| the society benefits change brought by the plan implementation | |
| the government benefits change brought by the plan implementation | |
| the cost of the government organising public decision-making | |
| the cost of society choosing strategy p | |
| the reputation loss of the government when society chooses strategy and the government chooses strategy | |
| the reputation loss of the government when society chooses strategy and the government chooses the strategy | |
| the probability of public policy plan modification | |
| the cost of public policy plan modification | |
| the increase in social benefits by modifying the decision plan | |
| changes in government revenue by modifying the decision plan |
| Game Players and Their Strategies | Government | ||
|---|---|---|---|
| society | |||
| ) | |||
| Equilibrium Points | Det J | Tr J |
|---|---|---|
| (0, 0) | ||
| (0, 1) | ||
| (1, 0) | ||
| (1, 1) | ||
| 0 | ||
Publisher’s Note: MDPI stays neutral with regard to jurisdictional claims in published maps and institutional affiliations. |
© 2022 by the authors. Licensee MDPI, Basel, Switzerland. This article is an open access article distributed under the terms and conditions of the Creative Commons Attribution (CC BY) license (https://creativecommons.org/licenses/by/4.0/).
Share and Cite
Tian, C.; Han, C. How Can China Resolve the NIMBY Dilemma in a Network Society? Government and Society-Negotiated Decisions Based on Evolutionary Game Analysis. Sustainability 2022, 14, 1308. https://doi.org/10.3390/su14031308
Tian C, Han C. How Can China Resolve the NIMBY Dilemma in a Network Society? Government and Society-Negotiated Decisions Based on Evolutionary Game Analysis. Sustainability. 2022; 14(3):1308. https://doi.org/10.3390/su14031308
Chicago/Turabian StyleTian, Cui, and Chuanfeng Han. 2022. "How Can China Resolve the NIMBY Dilemma in a Network Society? Government and Society-Negotiated Decisions Based on Evolutionary Game Analysis" Sustainability 14, no. 3: 1308. https://doi.org/10.3390/su14031308
APA StyleTian, C., & Han, C. (2022). How Can China Resolve the NIMBY Dilemma in a Network Society? Government and Society-Negotiated Decisions Based on Evolutionary Game Analysis. Sustainability, 14(3), 1308. https://doi.org/10.3390/su14031308
