Pochonia chlamydosporia Is the Most Prevalent Fungal Species Responsible for Meloidogyne Suppression in Sustainable Vegetable Production Systems
Abstract
1. Introduction
2. Materials and Methods
2.1. Fluctuations in RKN Densities and Egg Parasitism in Field Conditions
2.2. Soil Suppressiveness to RKN in Pot Experiments
2.3. Statistical Analyses
3. Results
3.1. Fluctuation in RKN Densities and Egg Parasitism in Field Conditions
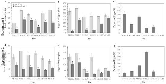
3.2. Soil Suppressiveness against RKN in Pot Tests
4. Discussion
5. Conclusions
Author Contributions
Funding
Institutional Review Board Statement
Informed Consent Statement
Data Availability Statement
Acknowledgments
Conflicts of Interest
References
- Jones, J.T.; Haegeman, A.; Danchin, E.G.; Gaur, H.S.; Helder, J.; Jones, M.G.; Kikuchi, T.; Manzanilla-Lopez, R.; Palomares-Rius, E.; Wesemael, W.; et al. Top 10 plant-parasitic nematodes in molecular plant pathology. Mol. Plant Pathol. 2013, 14, 946–961. [Google Scholar] [CrossRef] [PubMed]
- Hallmann, J.; Meressa, B.H. Nematode Parasites of Vegetables. In Plant Parasitic Nematodes in Subtropical and Tropical Agriculture, 3rd ed.; Sikora, R.A., Coyne, D., Hallmann, J., Timper, P., Eds.; CABI: Boston, MA, USA, 2018; pp. 346–410. [Google Scholar]
- Expósito, A.; Pujolà, M.; Achaerandio, I.; Giné, A.; Escudero, N.; Fullana, A.M.; Cunquero, M.; Loza-Alvarez, P.; Sorribas, F.J. Tomato and melon Meloidogyne resistant rootstocks improve crop yield but melon fruit quality is influenced by the cropping season. Front. Plant Sci. 2020, 11, 560024. [Google Scholar] [CrossRef] [PubMed]
- Giné, A.; Sorribas, F.J. Quantitative approach for the early detection of selection for virulence of Meloidogyne incognita on resistant tomato in plastic greenhouses. Plant Pathol. 2017, 66, 1338–1344. [Google Scholar] [CrossRef]
- Shukla, N.; Yadav, R.; Kaur, P.; Rasmussen, S.; Goel, S.; Agarwal, M.; Jannath, A.; Gupta, R.; Kumar, A. Transcriptome analysis of root-knot nematode (Meloidogyne incognita)-infected tomato (Solanum lycopersicum) roots reveals complex gene expression profiles and metabolic networks of both host and nematode during susceptible and resistance responses. Mol. Plant Pathol. 2018, 19, 615–633. [Google Scholar] [CrossRef]
- Sikora, R.A. Management of the antagonistic potential in agricultural ecosystems for the biological control of plant parasitic nematodes. Annu. Rev. Phytopathol. 1992, 30, 245–270. [Google Scholar] [CrossRef]
- Stirling, G.R. Biological Control of Plant Parasitic Nematodes: Progress, Problems and Prospects; CABI: Wallingford, UK, 1991. [Google Scholar]
- Giné, A.; Carrasquilla, M.; Martínez-Alonso, M.; Gaju, N.; Sorribas, F.J. Characterization of soil suppressiveness to root-knot nematodes in organic horticulture in plastic greenhouse. Front. Plant Sci. 2016, 7, 164. [Google Scholar] [CrossRef]
- Baker, K.F.; Cook, R.J. Biological Control of Plant Pathogens; W.H. Freeman and Company: San Francisco, CA, USA, 1974. [Google Scholar]
- Stirling, G.R. Biological Control of Plant-Parasitic Nematodes: An Ecological Perspective, a Review of Progress and Opportunities for Further Research. In Biological Control of Plant-Parasitic Nematodes, 1st ed.; Davies, K., Spiegel, Y., Eds.; Springer: Dordrecht, The Netherlands, 2011; Volume 11, pp. 1–38. [Google Scholar] [CrossRef]
- Weller, D.M.; Raaijmakers, J.M.; Gardener, B.B.M.; Thomashow, L.S. Microbial populations responsible for specific soil suppressiveness to plant pathogens. Annu. Rev. Phytopathol. 2002, 40, 309–348. [Google Scholar] [CrossRef]
- Garbeva, P.V.; Van Veen, J.A.; Van Elsas, J.D. Microbial diversity in soil: Selection of microbial populations by plant and soil type and implications for disease suppressiveness. Annu. Rev. Phytopathol. 2004, 42, 243–270. [Google Scholar] [CrossRef]
- Pyrowolakis, A.; Westphal, A.; Sikora, R.A.; Becker, J.O. Identification of root-knot nematode suppressive soils. Appl. Soil Ecol. 2002, 19, 51–56. [Google Scholar] [CrossRef]
- Adam, M.; Westphal, A.; Hallmann, J.; Heuer, H. Specific microbial attachment to root knot nematodes in suppressive soil. Appl. Environ. Microbiol. 2014, 80, 2679–2686. [Google Scholar] [CrossRef]
- Topalović, O.; Heuer, H.; Reineke, A.; Zinkernagel, J.; Hallmann, J. Antagonistic role of the microbiome from a Meloidogyne hapla-suppressive soil against species of plant-parasitic nematodes with different life strategies. Nematology 2020, 22, 75–86. [Google Scholar] [CrossRef]
- Verdejo Lucas, S.; Español, M.; Ornat, C.; Sorribas, F.J. Occurrence of Pasteuria spp. in the northeastern Spain. Nematol. Mediterr. 1997, 25, 109–112. [Google Scholar]
- Verdejo-Lucas, S.; Ornat, C.; Sorribas, F.J.; Stchiegel, A. Species of root-knot nematodes and fungal egg parasites recovered from vegetables in Almería and Barcelona, Spain. J. Nematol. 2002, 34, 405–408. [Google Scholar]
- Verdejo-Lucas, S.; Blanco, M.; Talavera, M.; Stchigel, A.M.; Sorribas, F.J. Fungi recovered from root-knot nematodes infecting vegetables under protected cultivation. Biocontrol Sci. Technol. 2013, 23, 277–287. [Google Scholar] [CrossRef]
- Olivares-Bernabeu, C.M.; López-Llorca, L.V. Fungal egg-parasites of plant-parasitic nematodes from Spanish soils. Rev. Iberoam. Micol. 2002, 19, 104–110. [Google Scholar]
- Giné, A.; Bonmatí, M.; Sarro, A.; Stchiegel, A.; Valero, J.; Ornat, C.; Fernández, C.; Sorribas, F.J. Natural occurrence of fungal egg parasites of root-knot nematodes, Meloidogyne spp. in organic and integrated vegetable production systems in Spain. Biocontrol 2013, 58, 407–416. [Google Scholar] [CrossRef]
- Elhady, A.; Giné, A.; Topalovic, O.; Jacquiod, S.; Sørensen, S.J.; Sorribas, F.J.; Heuer, H. Microbiomes associated with infective stages of root-knot and lesion nematodes in soil. PLoS ONE 2017, 12, e0177145. [Google Scholar] [CrossRef] [PubMed]
- Jenkins, W. A rapid centrifugal-flotation technique for separating nematodes from soil. Plant Dis. Rep. 1964, 48, 692. [Google Scholar]
- Zeck, W.M. Rating scheme for field evaluation of root-knot nematode infestations. Pflanzenschutz Nachr. 1971, 24, 141–144. [Google Scholar]
- Lopez-Llorca, L.V.; Duncan, J.M. New media for the estimation of fungal infection in eggs of the cereal cyst nematode, Heterodera avenae Woll. Nematologica 1986, 32, 486–489. [Google Scholar] [CrossRef]
- Hussey, R.; Barker, K. Comparison of methods of collecting inocula of Meloidogyne spp., including a new technique. Plant Dis. Rep. 1973, 57, 1025–1028. [Google Scholar]
- Whitehead, A.G.; Hemming, J.R. A comparison of some quantitative methods of extracting small vermiform nematodes from soil. Ann. Appl. Biol. 1965, 55, 25–38. [Google Scholar] [CrossRef]
- Ferris, H.; Roberts, P.A.; Thomason, I.J. Nematodes. In Integrated Pest Management for Tomatoes; University of California. Statewide Integrated Pest Management Project, Ed.; Division of Agriculture and Natural Resources, University of California: Oakland, CA, USA, 1985; pp. 60–65. [Google Scholar]
- Dos Santos, M.C.V.; Horta, J.; Moura, L.; Pires, D.V.; Conceicao, I.; Abrantes, I.; Costa, S.R. An integrative approach for the selection of Pochonia chlamydosporia isolates for biocontrol of potato cyst and root knot nematodes. Phytopathol. Mediterr. 2019, 58, 1–217. [Google Scholar]
- Topalović, O.; Elhady, A.; Hallmann, J.; Richert-Pöggeler, K.R.; Heuer, H. Bacteria isolated from the cuticle of plant-parasitic nematodes attached to and antagonized the root-knot nematode Meloidogyne hapla. Sci. Rep. 2019, 9, 11477. [Google Scholar] [CrossRef] [PubMed]
- Topalović, O.; Santos, S.S.; Heuer, H.; Nesme, J.; Kanfra, X.; Hallmann, J.; Sørensen, S.; Vestergård, M. Deciphering bacteria associated with a pre-parasitic stage of the root-knot nematode Meloidogyne hapla in nemato-suppressive and nemato-conducive soils. Appl. Soil Ecol. 2022, 172, 104344. [Google Scholar] [CrossRef]
- Ghahremani, Z.; Escudero, N.; Saus, E.; Gabaldón, T.; Sorribas, F.J. Pochonia chlamydosporia induces plant-dependent systemic resistance to Meloidogyne incognita. Front. Plant Sci. 2019, 10, 945. [Google Scholar] [CrossRef]
- Pocurull, M.; Fullana, A.M.; Ferro, M.; Valero, P.; Escudero, N.; Saus, E.; Gabaldón, T.; Sorribas, F.J. Commercial formulates of Trichoderma induce systemic plant resistance to Meloidogyne incognita in tomato and the effect is additive to that of the Mi-1.2 resistance gene. Front. Microbiol. 2020, 10, 3042. [Google Scholar] [CrossRef]
- Expósito, A.; García, S.; Giné, A.; Escudero, N.; Herranz, S.; Pocurull, M.; Lacunza, A.; Sorribas, F.J. Effect of molasses application alone or combined with Trichoderma asperellum T-34 on Meloidogyne spp. management and soil microbial activity in organic production systems. Agronomy 2022, 12, 1508. [Google Scholar] [CrossRef]
- Peralta, A.L.; Sun, Y.; McDaniel, M.D.; Lennon, J.T. Crop rotational diversity increases disease suppressive capacity of soil microbiomes. Ecosphere 2018, 9, e02235. [Google Scholar] [CrossRef]
- McDaniel, M.D.; Tiemann, L.K.; Grandy, A.S. Does agricultural crop diversity enhance soil microbial biomass and organic matter dynamics? A meta-analysis. Ecol. Appl. 2014 24, 560–570. [CrossRef]
- Tiemann, L.K.; Grandy, A.S.; Atkinson, E.E.; Marin-Spiotta, E.; McDaniel, M.D. Crop rotational diversity enhances belowground communities and functions in an agroecosystem. Ecol. Lett. 2015, 18, 761–771. [Google Scholar] [CrossRef] [PubMed]
- Harkes, P.; Van Steenbrugge, J.J.M.; Van Den Elsen, S.J.J.; Suleiman, A.K.A.; De Haan, J.J.; Holterman, M.H.M.; Helder, J. Shifts in the active rhizobiome paralleling low Meloidogyne chitwoodi densities in fields under prolonged organic soil management. Front. Plant Sci 2020, 10, 1697. [Google Scholar] [CrossRef] [PubMed]
- Wolfgang, A.; Taffner, J.; Guimarães, R.A.; Coyne, D.; Berg, G. Novel strategies for soil-borne diseases: Exploiting the microbiome and volatile-based mechanisms towards controlling Meloidogyne-based disease complexes. Front. Microbiol. 2019, 10, 1296. [Google Scholar] [CrossRef]

| Variable | Organic Farming | Integrated Production | ||||
|---|---|---|---|---|---|---|
| M10.16 | M10.41 | M10.55 | M10.56 | M10.43 | M10.45 | |
| Sand (%) | 50 | 33 | 68 | 53 | 75 | 67 |
| Silt (%) | 30 | 38 | 0 | 29 | 15 | 14 |
| Clay (%) | 20 | 29 | 32 | 18 | 10 | 19 |
| Soil texture (USDA) | Loam | Clay loam | Sandy clay loam | Sandy loam | Sandy loam | Sandy loam |
| pH | 8.3 | 8.2 | 8.1 | 8.3 | 8.1 | 7.8 |
| Organic matter (%) | 1.2 | 4.4 | 2.5 | 4.3 | 1.5 | 2.5 |
| Electric conductivity (µS/cm) | 300 | 516 | 1069 | 415 | 156 | 332 |
| B (ppm) | 2.6 | 5.3 | 1.1 | 1.2 | 2.8 | 0.8 |
| Exchangeable Ca (meq/100 g) | 14.2 | 14.9 | 18.2 | 15.9 | 7.2 | 10.0 |
| Available Ca (meq/100 g) | 15.7 | 14.7 | 19.0 | 17.0 | 8.1 | 10.7 |
| Lime (% CaCO3) | 6 | 4 | 4.1 | 5.1 | 1 | 3.8 |
| Cation exchange capacity (meq/100 g) | 26.8 | 14.1 | 25.7 | 22.9 | 9.1 | 12.2 |
| Cu (ppm) | 2.5 | 2.5 | 2.5 | 2.5 | 28.3 | 28.8 |
| Available P (ppm) | 118.3 | 247.5 | 75.8 | 80.2 | 57.9 | 86.9 |
| Fe (ppm) | 5 | 5 | 5 | 5 | 239.1 | 79.7 |
| Exchangeable Mg (meq/100 g) | 1.4 | 4.8 | 3.0 | 2.2 | 0.9 | 1.4 |
| Available Mg (meq/100 g) | 1.4 | 4.4 | 3.7 | 2.7 | 1.1 | 1.6 |
| Mn (ppm) | 55.5 | 92.4 | 2.5 | 2.5 | 92.2 | 54.3 |
| Total N (ppm) (Dumas method) | 522.9 | 2388.7 | 1497.7 | 2209.8 | 629.8 | 1824.9 |
| Exchangeable K (meq/100 g) | 0.6 | 1.5 | 0.67 | 0.6 | 0.2 | 0.4 |
| Available K (meq/100 g) | 0.8 | 1.7 | 0.7 | 1.1 | 0.2 | 0.4 |
| C/N | 13.4 | 10.6 | 9.7 | 11.3 | 13.9 | 7.9 |
| Exchangeable Na (meq/100 g) | 0.5 | 0.6 | 0.5 | 0.4 | 0.3 | 0.4 |
| Available Na (meq/100 g) | 0.4 | 1.9 | 3.2 | 0.6 | 0.4 | 0.5 |
| Zn (ppm) | 2.6 | 7.2 | 2.5 | 2.5 | 24.6 | 24.5 |
| Site | Crop | Date | Number of Juveniles 250 cm−3 soil | Galling Index | Eggs (×102) g−1 Root | Parasitized Eggs (%) | |
|---|---|---|---|---|---|---|---|
| Pi | Pf | ||||||
| Organic | |||||||
| M10.16 | Tomato | May 2015–November 2015 | 34 ± 21 | 0 ± 0 | 1.9 ± 0.5 | 8.3 ± 1.7 | 55.0 ± 13 |
| M10.41 | Zucchini | February 2015–July 2015 | 402 ± 59 | 16 ± 9 | 3 ± 0.2 | 56.1 ± 7.8 | 17.0 ± 3.2 |
| Chard | July 2015–November 2015 | 16 ± 9 | 9 ± 2 | 2.4 ± 0.2 | 0.14 ± 0.03 | Na | |
| Spinach | July 2015–November 2015 | 16 ± 9 | 4 ± 4 | 2 ± 0.2 | 0 ± 0 | Na | |
| Zucchini | March 2016–July 2016 | 8 ± 4 | 7 ± 6 | 2.8 ± 0.1 | 14.9 ± 0.9 | 11.2 ± 2.4 | |
| M10.55 | Eggplant | March 2015–July 2015 | 16 ± 6 | 20 ± 11 | 0.5 ± 0 | 3.1 ± 0.4 | 35.9 ± 4.4 |
| Lettuce | November 2015–February 2016 | 239 ± 63 | 118 ± 39 | 2.2 ± 0.2 | 0.5 ± 0.2 | Na | |
| Tomato | February 2016–July 2016 | 118 ± 39 | 35 ± 11 | 3.9 ± 0.1 | 41.4 ± 2.7 | 21.7 ± 2.8 | |
| M10.56 | Tomato | February 2015–July 2015 | 55 ± 18 | 42 ± 17 | 8.3 ± 0.2 | 31 ± 6.9 | 24.8 ± 5.5 |
| Radish | August 2015–November 2015 | 42 ± 17 | 24 ± 14 | 0.47 ± 0.1 | 1.5 ± 0.2 | Na | |
| Watermelon | March 2016–July 2016 | 24 ± 14 | 3 ± 2 | Np | Np | Na | |
| Integrated | |||||||
| M10.43 | French bean | May 2015–August 2015 | 123 ± 30 | 795 ± 182 | 4.5 ± 0.3 | 254.7 ± 22 | 16.5 ± 3.9 |
| French bean | August 2015–December 2015 | 795 ± 182 | 11 ± 5.4 | Np | Np | Na | |
| M10.45 | Zucchini | April 2015–August 2015 | 6 ± 2 | 0 ± 0 | 1.3 ± 0.2 | 2.5 ± 1 | 0.8 ± 0.7 |
| Faba bean | November 2015–June 2016 | 54 ± 18 | 24 ± 13 | Np | Np | Np | |
Publisher’s Note: MDPI stays neutral with regard to jurisdictional claims in published maps and institutional affiliations. |
© 2022 by the authors. Licensee MDPI, Basel, Switzerland. This article is an open access article distributed under the terms and conditions of the Creative Commons Attribution (CC BY) license (https://creativecommons.org/licenses/by/4.0/).
Share and Cite
Ghahremani, Z.; Escudero, N.; Marín, I.; Sanz, A.; García, S.; Expósito, A.; Giné, A.; Sorribas, F.J. Pochonia chlamydosporia Is the Most Prevalent Fungal Species Responsible for Meloidogyne Suppression in Sustainable Vegetable Production Systems. Sustainability 2022, 14, 16941. https://doi.org/10.3390/su142416941
Ghahremani Z, Escudero N, Marín I, Sanz A, García S, Expósito A, Giné A, Sorribas FJ. Pochonia chlamydosporia Is the Most Prevalent Fungal Species Responsible for Meloidogyne Suppression in Sustainable Vegetable Production Systems. Sustainability. 2022; 14(24):16941. https://doi.org/10.3390/su142416941
Chicago/Turabian StyleGhahremani, Zahra, Nuria Escudero, Ismael Marín, Anna Sanz, Sergi García, Alejandro Expósito, Ariadna Giné, and Francisco Javier Sorribas. 2022. "Pochonia chlamydosporia Is the Most Prevalent Fungal Species Responsible for Meloidogyne Suppression in Sustainable Vegetable Production Systems" Sustainability 14, no. 24: 16941. https://doi.org/10.3390/su142416941
APA StyleGhahremani, Z., Escudero, N., Marín, I., Sanz, A., García, S., Expósito, A., Giné, A., & Sorribas, F. J. (2022). Pochonia chlamydosporia Is the Most Prevalent Fungal Species Responsible for Meloidogyne Suppression in Sustainable Vegetable Production Systems. Sustainability, 14(24), 16941. https://doi.org/10.3390/su142416941

