Changes in Foxtail Millet (Setaria italica L.) Yield, Quality, and Soil Microbiome after Replacing Chemical Nitrogen Fertilizers with Organic Fertilizers
Abstract
1. Introduction
2. Materials and Methods
2.1. Growth Conditions and Plant Materials
2.2. Measurements
2.3. DNA Extraction
2.4. Polymerase Chain Reaction Amplification and Illumina MiSeq-Sequencing
2.5. Statistical Analysis
3. Results
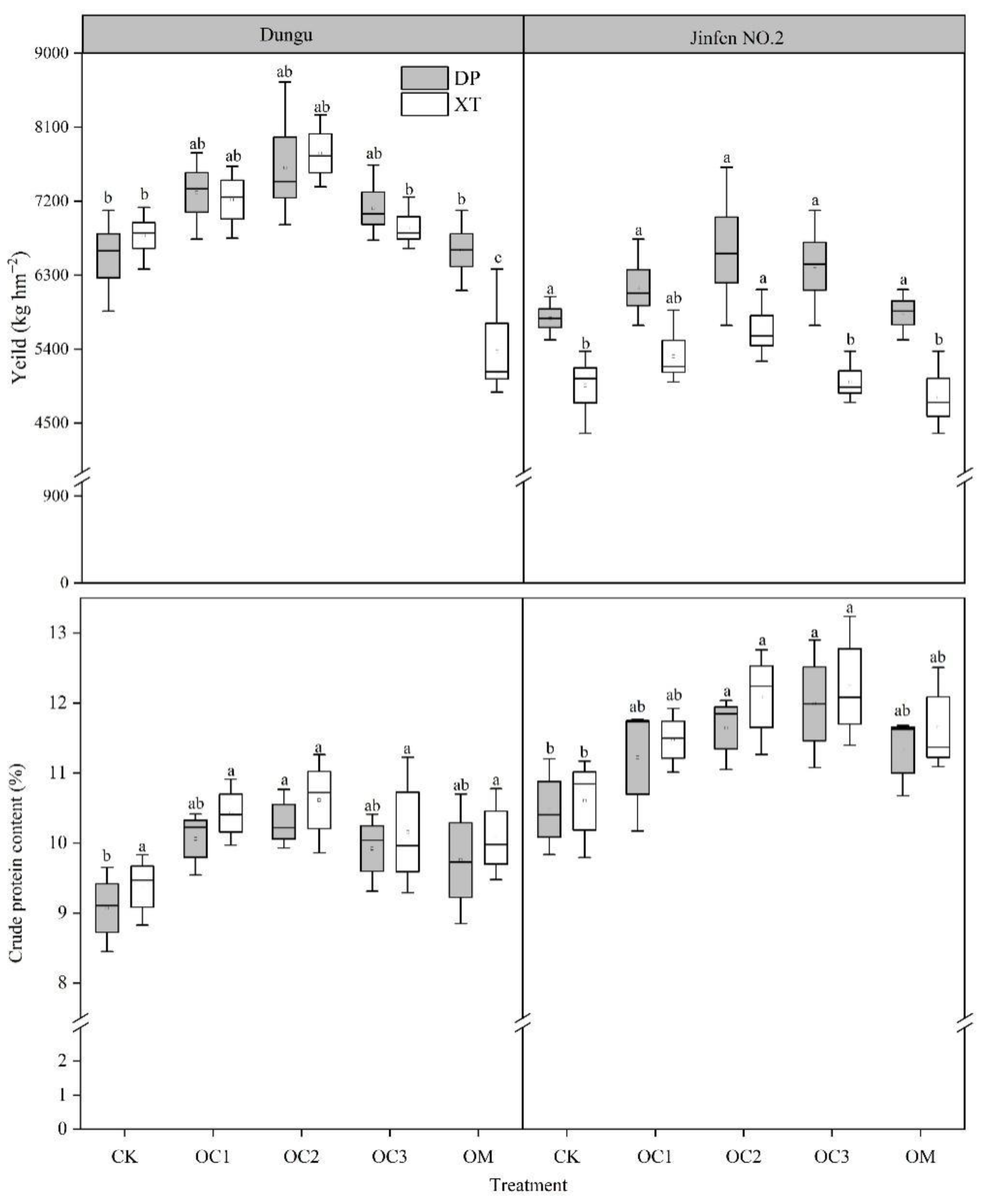
3.1. Crop Yields and Agronomic Traits
3.2. Appearance
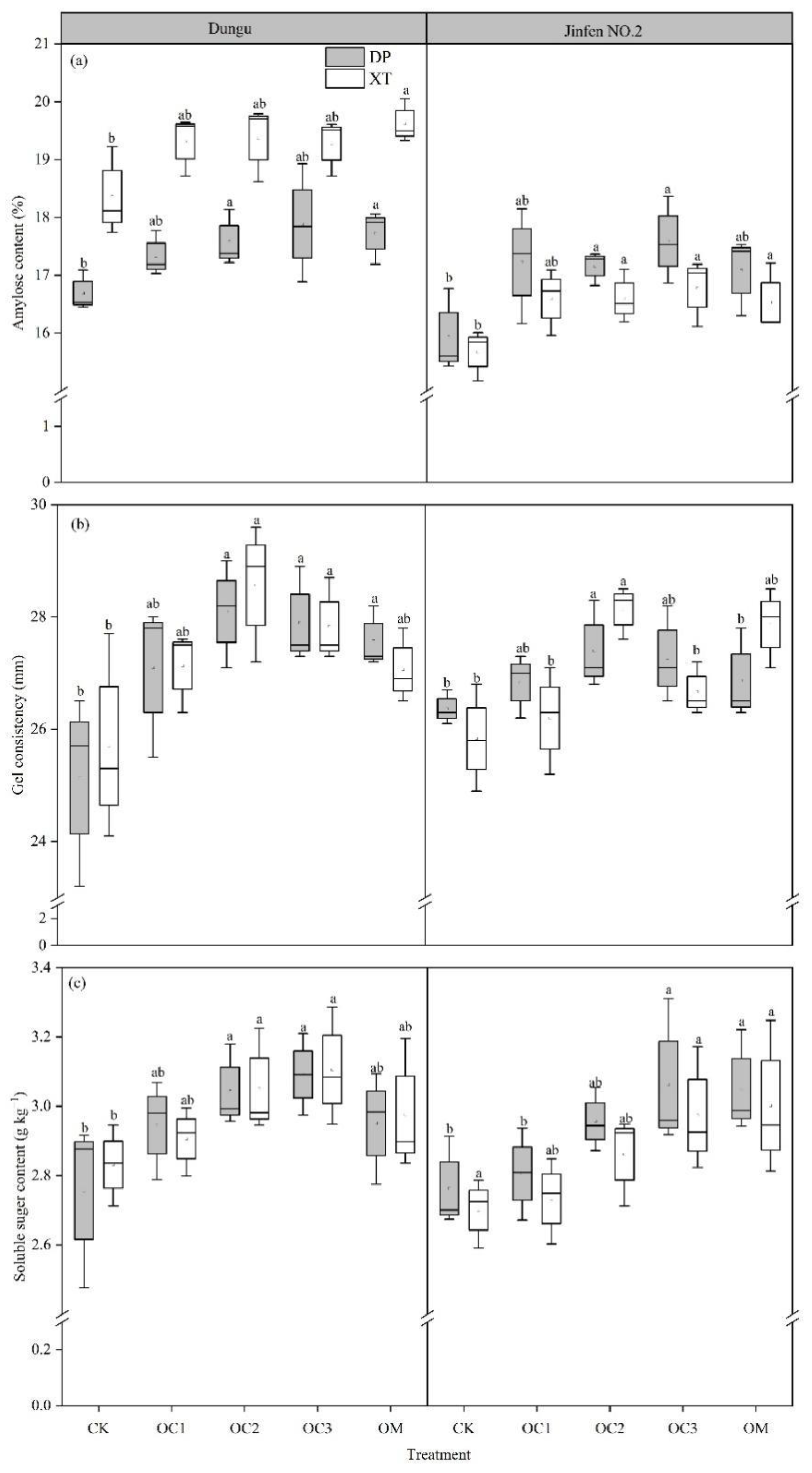
3.3. Eating Quality
3.4. Nutritional Quality
3.5. Comprehensive Evaluation of Foxtail Millet Quality
3.6. Soil pH and Soil Microbiome Composition
4. Discussion
4.1. Effects of Organic Fertilizer on Agronomic Traits and Foxtail Millet Quality
4.2. Effects of Organic Fertilizers on the Soil Microbiome
5. Conclusions
Supplementary Materials
Author Contributions
Funding
Informed Consent Statement
Conflicts of Interest
References
- Yang, Z.; Zhang, H.; Li, X.; Shen, H.; Gao, J.; Hou, S.; Zhang, B.; Mayes, S.; Bennett, M.; Ma, J.; et al. A mini foxtail millet with an Arabidopsis-like life cycle as a C4 model system. Nat. Plants 2020, 6, 1167–1178. [Google Scholar] [CrossRef] [PubMed]
- Kour, D.; Rana, K.L.; Yadav, A.N.; Sheikh, I.; Kumar, V.; Dhaliwal, H.S.; Saxena, A.K. Amelioration of drought stress in foxtail millet (Setaria italica L.) by P-solubilizing drought-tolerant microbes with multifarious plant growth promoting attributes. Environ. Sustain. 2020, 3, 23–34. [Google Scholar] [CrossRef]
- Amadou, I. Millet Based Functional Foods: Bio-Chemical and Bio-Functional Properties. Funct. Foods 2022, 303–329. [Google Scholar] [CrossRef]
- Kumar, A.; Metwal, M.; Kaur, S.; Gupta, A.K.; Puranik, S.; Singh, S.; Singh, M.; Gupta, S.; Babu, B.K.; Sood, S.; et al. Nutraceutical value of finger millet [Eleusine coracana (L.) Gaertn.], and their improvement using omics approaches. Front. Plant Sci. 2016, 7, 934. [Google Scholar] [CrossRef] [PubMed]
- Liang, K.; Liang, S.; Zhu, H. Comparative proteomics analysis of the effect of selenium treatment on the quality of foxtail millet. LWT 2020, 131, 109691. [Google Scholar] [CrossRef]
- Muthamilarasan, M.; Dhaka, A.; Yadav, R.; Prasad, M. Exploration of millet models for developing nutrient rich graminaceous crops. Plant Sci. 2016, 242, 89–97. [Google Scholar] [CrossRef]
- Xiang, J.; Zhang, M.; Apea-Bah, F.B.; Beta, T. Hydroxycinnamic acid amide (HCAA) derivatives, flavonoid C-glycosides, phenolic acids and antioxidant properties of foxtail millet. Food Chem. 2019, 295, 214–223. [Google Scholar] [CrossRef]
- Delgado, L.; Schuster, M.; Torero, M. Quantity and quality food losses across the value chain: A comparative analysis. Food Policy. 2021, 98, 101958. [Google Scholar] [CrossRef]
- Sun, M.; Kang, X.; Wang, T.; Fan, L.; Wang, H.; Pan, H.; Yang, Q.; Liu, H.; Lou, Y.; Zhuge, Y. Genotypic diversity of quality traits in Chinese foxtail millet (Setaria italica L.) and the establishment of a quality evaluation system. Food Chem. 2021, 353, 129421. [Google Scholar] [CrossRef]
- Vazquez, D.; Berger, A.; Prieto-Linde, M.L.; Johansson, E. Can nitrogen fertilization be used to modulate yield, protein content and bread-making quality in Uruguayan wheat? J. Cereal Sci. 2019, 85, 153–161. [Google Scholar] [CrossRef]
- He, H.; Peng, M.; Lu, W.; Hou, Z.; Li, J. Commercial organic fertilizer substitution increases wheat yield by improving soil quality. Sci. Total Environ. 2022, 851, 158132. [Google Scholar] [CrossRef] [PubMed]
- Xia, L.; Lam, S.K.; Yan, X.; Chen, D. How does recycling of livestock manure in agroecosystems affect crop productivity, reactive nitrogen losses, and soil carbon balance? Environ. Sci. Technol. 2017, 51, 7450–7457. [Google Scholar] [CrossRef]
- Wang, X.; Yang, Y.; Zhao, J.; Nie, J.; Zang, H.; Zeng, Z.; Olesen, J.E. Yield benefits from replacing chemical fertilizers with manure under water deficient conditions of the winter wheat—Summer maize system in the North China Plain. Eur. J. Agron. 2020, 119, 126118. [Google Scholar] [CrossRef]
- Ye, L.; Zhao, X.; Bao, E.; Li, J.; Zou, Z.; Cao, K. Bio-organic fertilizer with reduced rates of chemical fertilization improves soil fertility and enhances tomato yield and quality. Sci. Rep. 2020, 10, 177. [Google Scholar] [CrossRef]
- Lv, F.; Song, J.; Giltrap, D.; Feng, Y.; Yang, X.; Zhang, S. Crop yield and N2O emission affected by long-term organic manure substitution fertilizer under winter wheat-summer maize cropping system. Sci. Total Environ. 2020, 732, 139321. [Google Scholar] [CrossRef] [PubMed]
- Oliveira, A.B.; Moura, C.F.H.; Gomes-Filho, E.; Marco, C.A.; Urban, L.; Miranda, M.R. The impact of organic farming on quality of tomatoes is associated to increased oxidative stress during fruit development. PLoS ONE 2013, 8, e56354. [Google Scholar] [CrossRef] [PubMed]
- Das, A.; Patel, D.P.; Kumar, M.; Ramkrushna, G.I.; Mukherjee, A.; Layek, J.; Ngachan, S.V.; Buragohain, J. Impact of seven years of organic farming on soil and produce quality and crop yields in eastern Himalayas, India. Agric. Ecosyst. Environ. 2017, 236, 142–153. [Google Scholar] [CrossRef]
- Wang, J.; Song, Y.; Ma, T.; Raza, W.; Li, J.; Howland, J.G.; Huang, Q.; Shen, Q. Impacts of inorganic and organic fertilization treatments on bacterial and fungal communities in a paddy soil. Appl. Soil Ecol. 2017, 112, 42–50. [Google Scholar] [CrossRef]
- Seufert, V.; Ramankutty, N.; Foley, J.A. Comparing the yields of organic and conventional agriculture. Nature 2012, 485, 229–232. [Google Scholar] [CrossRef]
- Rossini, F.; Provenzano, M.E.; Sestili, F.; Ruggeri, R. Synergistic effect of sulfur and nitrogen in the organic and mineral fertilization of durum wheat: Grain yield and quality traits in the Mediterranean environment. Agronomy 2018, 8, 189. [Google Scholar] [CrossRef]
- Song, H.; Wang, J.; Zhang, K.; Zhang, M.; Hui, R.; Sui, T.; Yang, L.; Du, W.; Dong, Z.A. A 4-year field measurement of N2O emissions from a maize-wheat rotation system as influenced by partial organic substitution for synthetic fertilizer. J. Environ. Manag. 2020, 263, 110384. [Google Scholar] [CrossRef]
- Liu, H.; Fu, Y.; Hu, D.; Yu, J.; Liu, H. Effect of green, yellow and purple radiation on biomass, photosynthesis, morphology and soluble sugar content of leafy lettuce via spectral wavebands “knock out”. Sci. Hortic. 2018, 236, 10–17. [Google Scholar] [CrossRef]
- Keshavarz, H.; Modarres-Sanavy, S.A.M.; Mahdipour Afra, M. Organic and chemical fertilizer affected yield and essential oil of two mint species. J. Essent. Oil Bear. Plants 2018, 21, 1674–1681. [Google Scholar] [CrossRef]
- Hasan, M.R.; Solaiman, A.H.M. Efficacy of organic and organic fertilizer on the growth of Brassica oleracea L. (Cabbage). Int. J. Agric. Crop Sci. 2012, 4, 128–138. [Google Scholar]
- Zhang, B.; Liu, J.; Cheng, L.; Zhang, Y.; Hou, S.; Sun, Z.; Li, H.; Han, Y. Carotenoid composition and expression of biosynthetic genes in yellow and white foxtail millet [Setaria italica (L.) Beauv]. J. Cereal Sci. 2019, 85, 84–90. [Google Scholar] [CrossRef]
- Ning, N.; Yuan, X.Y.; Dong, S.Q.; Wen, Y.Y.; Gao, Z.P.; Guo, M.J.; Guo, P.Y. Increasing selenium and yellow pigment concentrations in foxtail millet (Setaria italica L.) grain with foliar application of selenite. Biol. Trace Elem. Res. 2016, 170, 245–252. [Google Scholar] [CrossRef]
- Iqbal, A.; Xie, H.; He, L.; Ahmad, S.; Hussain, I.; Raza, H.; Khan, A.; Wei, S.; Quan, Z.; Wu, K.; et al. Partial substitution of organic nitrogen with synthetic nitrogen enhances rice yield, grain starch metabolism and related genes expression under the dual cropping system. Saudi J. Biol. Sci. 2021, 28, 1283–1296. [Google Scholar] [CrossRef]
- Gu, J.; Chen, J.; Chen, L.; Wang, Z.; Zhang, H.; Yang, J. Grain quality changes and responses to nitrogen fertilizer of japonica rice cultivars released in the Yangtze River Basin from the 1950s to 2000s. Crop J. 2015, 3, 285–297. [Google Scholar] [CrossRef]
- White, P.J.; Brown, P.H. Plant nutrition for sustainable development and global health. Ann. Bot. 2010, 105, 1073–1080. [Google Scholar] [CrossRef]
- Liu, F.; Jensen, C.R.; Andersen, M.N. Drought stress effect on carbohydrate concentration in soybean leaves and pods during early reproductive development: Its implication in altering pod set. Field Crops Res. 2004, 86, 1–13. [Google Scholar] [CrossRef]
- Mukhopadhyay, M.; Datta, J.K.; Garai, T.K. Steps toward alternative farming system in rice. Eur. J. Agron. 2013, 51, 18–24. [Google Scholar] [CrossRef]
- Flagella, Z. Nutritional and technological quality of the durum wheat. Ital. J. Agron. 2006, 1, 203–239. [Google Scholar] [CrossRef]
- Tang, Y.; Wen, G.; Li, P.; Dai, C.; Han, J. Effects of Biogas Slurry Application on Crop Production and Soil Properties in a Rice–Wheat Rotation on Coastal Reclaimed Farmland. Water Air Soil Pollut. 2019, 230, 51. [Google Scholar] [CrossRef]
- Yang, Y.; Li, X.; Liu, J.; Zhou, Z.; Zhang, T.; Wang, X. Bacterial diversity as affected by application of manure in red soils of subtropical China. Biol. Fertil. Soils 2017, 53, 639–649. [Google Scholar] [CrossRef]
- Sorokin, D.Y.; Lücker, S.; Vejmelkova, D.; Kostrikina, N.A.; Kleerebezem, R.; Rijpstra, W.I.; Damsté, J.S.; Le Paslier, D.; Muyzer, G.; Wagner, M.; et al. Nitrification expanded: Discovery, physiology and genomics of a nitrite-oxidizing bacterium from the phylum Chloroflexi. ISME J. 2012, 6, 2245–2256. [Google Scholar] [CrossRef]
- Rao, M.P.N.; Luo, Z.H.; Dong, Z.Y.; Li, Q.; Liu, B.B.; Guo, S.X.; Nie, G.X.; Li, W.J. Metagenomic analysis further extends the role of Chloroflexi in fundamental biogeochemical cycles. Environ. Res. 2022, 209, 112888. [Google Scholar] [CrossRef]
- Tan, Y.; Wang, J.; He, Y.; Yu, X.; Chen, S.; Penttinen, P.; Liu, S.; Yang, Y.; Zhao, K.; Zou, L. Organic Fertilizers Shape Soil Microbial Communities and Increase Soil Amino Acid Metabolites Content in a Blueberry Orchard. Microb. Ecol. 2022, 1–15. [Google Scholar] [CrossRef]
- Wang, H.; Xu, J.; Liu, X.; Zhang, D.; Li, L.; Li, W.; Sheng, L. Effects of long-term application of organic fertilizer on improving organic matter content and retarding acidity in red soil from China. Soil Till. Res. 2019, 195, 104382. [Google Scholar] [CrossRef]
- Kanokratana, P.; Uengwetwanit, T.; Rattanachomsri, U.; Bunterngsook, B.; Nimchua, T.; Tangphatsornruang, S.; Plengvidhya, V.; Champreda, V.; Eurwilaichitr, L. Insights into the phylogeny and metabolic potential of a primary tropical peat swamp forest microbial community by metagenomic analysis. Microb. Ecol. 2011, 61, 518–528. [Google Scholar] [CrossRef]
- Zhang, J.; Bei, S.; Li, B.; Zhang, J.; Christie, P.; Li, X. Organic fertilizer, but not heavy liming, enhances banana biomass, increases soil organic carbon and modifies soil microbiota. Appl. Soil Ecol. 2019, 136, 67–79. [Google Scholar] [CrossRef]
- Li, N.; Shao, T.; Zhou, Y.; Cao, Y.; Hu, H.; Sun, Q.; Long, X.; Yue, Y.; Gao, X.; Rengel, Z. Effects of planting Melia azedarach L. on soil properties and microbial community in saline-alkali soil. Land Degrad. Dev. 2021, 32, 2951–2961. [Google Scholar] [CrossRef]






| DG | JF | ||||||||||
|---|---|---|---|---|---|---|---|---|---|---|---|
| CK | OC1 | OC2 | OC3 | OM | CK | OC1 | OC2 | OC3 | OM | ||
| DP | PH (cm) | 88.69 ± 9.08a | 98.56 ± 4.55a | 104.00 ± 3.95a | 102.81 ± 4.16a | 102.50 ± 10.29a | 121.88 ± 6.06b | 134.5 ± 1.96a | 135.81 ± 2.49a | 129.13 ± 1.32a | 130.31 ± 11.02a |
| SD (mm) | 6.32 ± 0.78a | 6.86 ± 0.9a | 7.23 ± 0.38a | 7.53 ± 0.9a | 6.30 ± 0.59a | 5.19 ± 0.65b | 6.96 ± 0.10a | 6.55 ± 0.36a | 5.41 ± 0.25ab | 6.04 ± 0.79ab | |
| LL (cm) | 34.44 ± 3.68a | 39.88 ± 3.35a | 41.31 ± 1.63a | 36.44 ± 1.99a | 36.5 ± 2.81a | 31.13 ± 2.93b | 40.25 ± 2.32a | 36.56 ± 0.45a | 34.19 ± 3.05ab | 34.19 ± 1.89ab | |
| LW (mm) | 17.74 ± 1.61a | 21.86 ± 2.3a | 20.22 ± 1.70a | 19.80 ± 0.78a | 18.80 ± 0.80a | 19.53 ± 1.29a | 20.52 ± 1.12a | 20.66 ± 0.92a | 18.38 ± 1.48a | 19.39 ± 1.24a | |
| SL (cm) | 13.15 ± 0.87a | 14.60 ± 0.36a | 15.00 ± 1.04a | 15.45 ± 0.90a | 13.65 ± 1.2a | 13.75 ± 0.28a | 12.7 ± 0.49a | 14.35 ± 0.78a | 13.35 ± 0.90a | 13.40 ± 1.29a | |
| SW (mm) | 18.33 ± 0.54a | 18.33 ± 0.91a | 20.52 ± 0.68a | 19.25 ± 1.20a | 17.43 ± 1.38a | 19.13 ± 0.91a | 19.01 ± 0.50a | 20.41 ± 0.67a | 19.36 ± 0.80a | 20.32 ± 2.02a | |
| XT | PH (cm) | 98.50 ± 4.31ab | 104.25 ± 1.83ab | 108.13 ± 3.88a | 95.38 ± 3.48b | 105.50 ± 1.7ab | 133.25 ± 3.80bc | 138 ± 3.86ab | 145.50 ± 3.65a | 128.00 ± 2.79bc | 126.5 ± 3.39c |
| SD (mm) | 8.41 ± 0.71ab | 8.40 ± 0.65ab | 9.30 ± 0.65a | 7.50 ± 0.53ab | 6.69 ± 0.43b | 7.09 ± 0.20b | 8.63 ± 0.14a | 8.82 ± 0.70a | 8.07 ± 0.54ab | 6.78 ± 0.13b | |
| LL (cm) | 36.00 ± 1.17ab | 35.25 ± 1.05ab | 38.13 ± 1.09a | 33.25 ± 0.97b | 33.38 ± 1.31b | 34.50 ± 0.54b | 40.63 ± 0.75a | 37.38 ± 1.01ab | 38.13 ± 0.77ab | 35.38 ± 2.07b | |
| LW (mm) | 1.84 ± 0.08a | 2.16 ± 0.13a | 2.03 ± 0.13a | 1.86 ± 0.06a | 1.54 ± 0.07b | 1.88 ± 0.07c | 2.32 ± 0.15ab | 2.44 ± 0.09a | 2.04 ± 0.13bc | 1.75 ± 0.06c | |
| SL (cm) | 19.6 ± 0.94a | 18.07 ± 1.38a | 20.33 ± 1.03a | 19.60 ± 0.11a | 20.00 ± 0.80a | 18.53 ± 1.61a | 20.73 ± 1.56a | 19.73 ± 0.29a | 18.20 ± 1.38a | 17.07 ± 1.04a | |
| SW (mm) | 23.42 ± 0.76a | 22.29 ± 1.85a | 23.25 ± 1.52a | 21.13 ± 0.90a | 23.35 ± 2.25a | 21.81 ± 1.34a | 22.39 ± 0.46a | 22.7 ± 1.17a | 21.57 ± 0.54a | 21.44 ± 0.79a | |
| DG | JF | ||||||||||
|---|---|---|---|---|---|---|---|---|---|---|---|
| CK | OC1 | OC2 | OC3 | OM | CK | OC1 | OC2 | OC3 | OM | ||
| DP | Thr | 6.26 ± 0.48b | 6.72 ± 0.71ab | 7.17 ± 0.3a | 6.87 ± 0.12ab | 7.48 ± 0.33a | 6.54 ± 0.62a | 6.3 ± 0.37a | 7.06 ± 0.78a | 6.49 ± 0.19a | 6.63 ± 0.33a |
| Val | 0.51 ± 0.15a | 0.52 ± 0.23a | 0.7 ± 0.06a | 0.65 ± 0.03a | 0.65 ± 0.04a | 0.56 ± 0.07a | 0.58 ± 0.05a | 0.65 ± 0.06a | 0.6 ± 0.01a | 0.65 ± 0.03a | |
| Ile | 3.85 ± 1.11a | 3.95 ± 1.5a | 4.98 ± 0.21a | 4.76 ± 0.11a | 5.25 ± 0.26a | 4.71 ± 0.47a | 4.74 ± 0.24a | 4.91 ± 0.31a | 4.79 ± 0.19a | 4.96 ± 0.09a | |
| Leu | 12.93 ± 2.07a | 13.52 ± 0.81a | 17.23 ± 0.56a | 16.41 ± 0.51a | 17.95 ± 0.77a | 15.55 ± 1.95a | 15.89 ± 0.88a | 16.71 ± 1.63a | 16.12 ± 0.5a | 16.28 ± 0.47a | |
| Phe | 5.19 ± 1.55a | 5.36 ± 2.12a | 6.7 ± 0.46a | 6.38 ± 0.07a | 6.82 ± 0.45a | 6.01 ± 0.78a | 6.21 ± 0.39a | 6.36 ± 0.33a | 6.23 ± 0.34a | 6.55 ± 0.3a | |
| Lys | 1.83 ± 0.61a | 1.86 ± 0.69a | 2.34 ± 0.09a | 2.19 ± 0.12a | 2.3 ± 0.28a | 1.97 ± 0.26a | 2.04 ± 0.03a | 2.13 ± 0.18a | 1.97 ± 0.1a | 1.95 ± 0.11a | |
| Pro | 10.1 ± 2.81a | 10.32 ± 4.08a | 13.3 ± 0.52a | 12.6 ± 0.63a | 13.51 ± 0.51a | 11.69 ± 1.18a | 11.89 ± 0.68a | 12.95 ± 1.19a | 12.27 ± 0.56a | 12.12 ± 0.85a | |
| XT | Thr | 4.58 ± 0.34c | 5.51 ± 0.07ab | 4.96 ± 0.1bc | 5.9 ± 0.49a | 4.83 ± 0.43c | 5.22 ± 0.56b | 5.47 ± 0.7b | 7.16 ± 0.35a | 7.02 ± 0.7a | 5.98 ± 0.7ab |
| Val | 0.35 ± 0.04b | 0.49 ± 0.04ab | 0.38 ± 0.09ab | 0.59 ± 0.21a | 0.42 ± 0.06ab | 0.52 ± 0.07b | 0.66 ± 0.04ab | 0.74 ± 0.08a | 0.76 ± 0.11a | 0.61 ± 0.09ab | |
| Ile | 3.08 ± 0.29b | 3.72 ± 0.2ab | 3.62 ± 0.05ab | 4.11 ± 0.93a | 3.72 ± 0.39ab | 4.15 ± 1.02a | 4.2 ± 0.3a | 5.28 ± 0.23a | 5.16 ± 0.58a | 4.46 ± 0.56a | |
| Leu | 9.38 ± 0.81b | 12.75 ± 0.46ab | 12.11 ± 0.21ab | 14.24 ± 3.75a | 11.81 ± 1.38ab | 13.15 ± 0.72b | 14.34 ± 0.66b | 17.67 ± 0.89a | 17.69 ± 2.33a | 15.01 ± 2.08ab | |
| Phe | 3.7 ± 1.01b | 5.13 ± 0.07a | 4.64 ± 0.08ab | 4.61 ± 0.5ab | 4.57 ± 0.49ab | 5.05 ± 0.48c | 5.32 ± 0.73c | 7.12 ± 0.31a | 6.73 ± 0.74ab | 5.89 ± 0.78bc | |
| Lys | 1.48 ± 0.26c | 2.02 ± 0.12a | 1.57 ± 0.05bc | 1.86 ± 0.26ab | 1.66 ± 0.06bc | 1.75 ± 0.22c | 1.89 ± 0.09bc | 2.28 ± 0.11a | 2.14 ± 0.1ab | 1.99 ± 0.19bc | |
| Pro | 8.99 ± 1.62a | 10.83 ± 0.37a | 9.51 ± 0.21a | 9.94 ± 1.37a | 9.31 ± 0.99a | 10.47 ± 1.07c | 10.83 ± 1.22c | 14.48 ± 0.55a | 13.99 ± 1.69ab | 11.98 ± 1.61bc | |
Publisher’s Note: MDPI stays neutral with regard to jurisdictional claims in published maps and institutional affiliations. |
© 2022 by the authors. Licensee MDPI, Basel, Switzerland. This article is an open access article distributed under the terms and conditions of the Creative Commons Attribution (CC BY) license (https://creativecommons.org/licenses/by/4.0/).
Share and Cite
Sun, M.-J.; Chao, Y.; He, W.; Kang, X.-R.; Yang, Q.-G.; Wang, H.; Pan, H.; Lou, Y.-H.; Zhuge, Y.-P. Changes in Foxtail Millet (Setaria italica L.) Yield, Quality, and Soil Microbiome after Replacing Chemical Nitrogen Fertilizers with Organic Fertilizers. Sustainability 2022, 14, 16412. https://doi.org/10.3390/su142416412
Sun M-J, Chao Y, He W, Kang X-R, Yang Q-G, Wang H, Pan H, Lou Y-H, Zhuge Y-P. Changes in Foxtail Millet (Setaria italica L.) Yield, Quality, and Soil Microbiome after Replacing Chemical Nitrogen Fertilizers with Organic Fertilizers. Sustainability. 2022; 14(24):16412. https://doi.org/10.3390/su142416412
Chicago/Turabian StyleSun, Ming-Jie, Ying Chao, Wei He, Xi-Rui Kang, Quan-Gang Yang, Hui Wang, Hong Pan, Yan-Hong Lou, and Yu-Ping Zhuge. 2022. "Changes in Foxtail Millet (Setaria italica L.) Yield, Quality, and Soil Microbiome after Replacing Chemical Nitrogen Fertilizers with Organic Fertilizers" Sustainability 14, no. 24: 16412. https://doi.org/10.3390/su142416412
APA StyleSun, M.-J., Chao, Y., He, W., Kang, X.-R., Yang, Q.-G., Wang, H., Pan, H., Lou, Y.-H., & Zhuge, Y.-P. (2022). Changes in Foxtail Millet (Setaria italica L.) Yield, Quality, and Soil Microbiome after Replacing Chemical Nitrogen Fertilizers with Organic Fertilizers. Sustainability, 14(24), 16412. https://doi.org/10.3390/su142416412

