Improving Barrier Properties of Xylan-Coated Food Packaging Papers with Alkyl Ketene Dimer
Abstract
1. Introduction
2. Materials and Methods
2.1. Materials
2.2. Methods
2.2.1. Surface Treatments (Coating) of Paper
2.2.2. Testing Methods for Coated Paper Samples
- FT-IR analysis
- SEM analysis
- Barrier properties
- Mechanical properties
3. Results and Discussions
3.1. The Structural Properties of Coated Paper Samples by SEM
3.2. The Structural Analysis by FT-IR
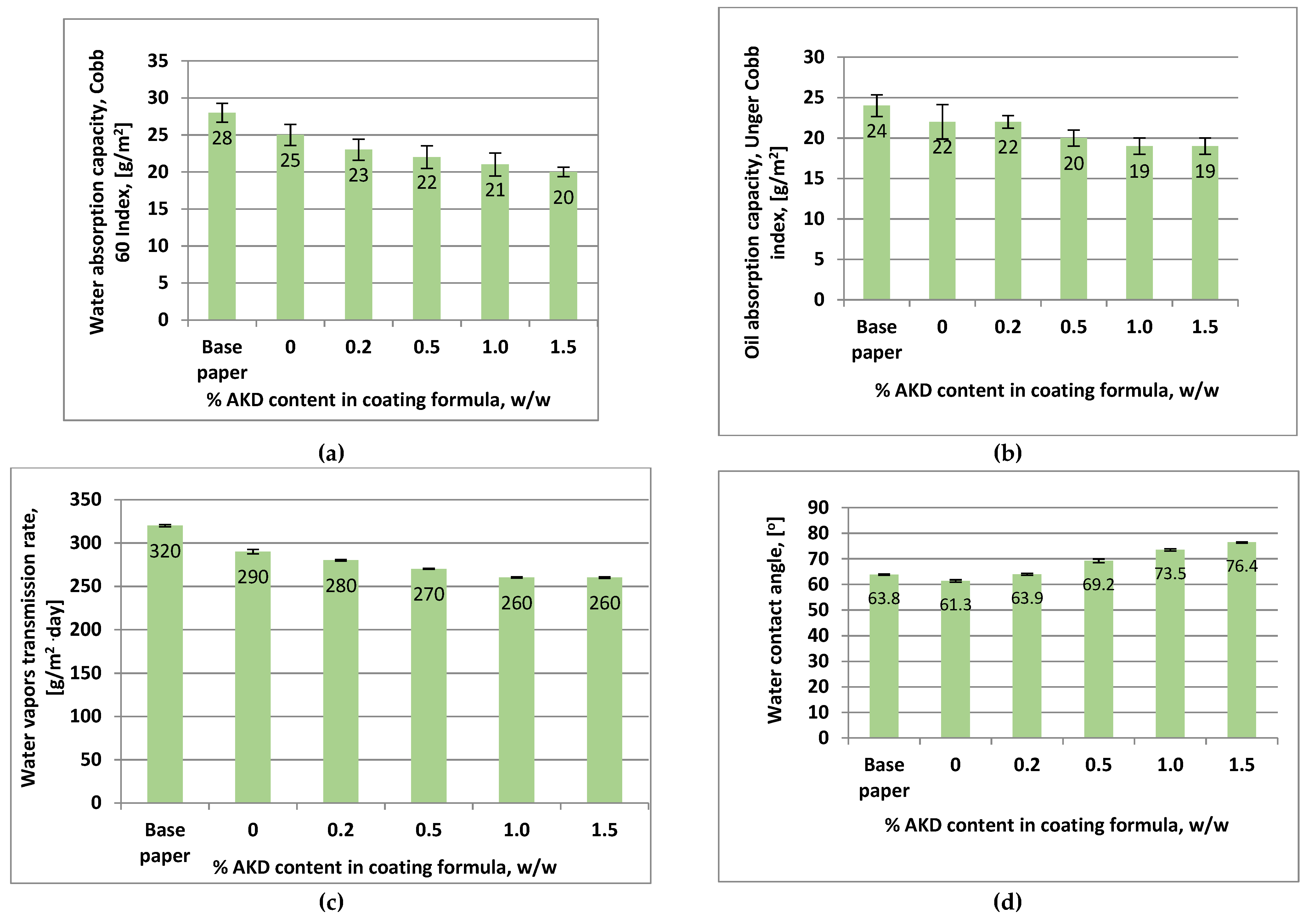
3.3. Water, Oil and Water Vapours Barrier Properties
3.4. Mechanical Strength Properties
3.5. Sub
4. Conclusions
Author Contributions
Funding
Institutional Review Board Statement
Informed Consent Statement
Data Availability Statement
Acknowledgments
Conflicts of Interest
References
- Johansson, C.; Brass, J.; Mondragon, I.; Nechita, P.; Plackett, D.; Simon, P.; Gregor Svetec, D.; Virtanen, S.; Baschetti, M.G.; Breen, C.; et al. Renewable fibers and bio-based materials for packaging applications—A review of recent developments. BioResources 2012, 7, 2506–2552. [Google Scholar] [CrossRef]
- Smithers, P. Global Biodegradable Packaging Market Growing at 18.05% CAGR to 2019. Food and Beverage Packaging, 15 May 2014. 2014. Available online: http://www.foodandbeveragepackaging.com/articles/87083-global-biodegradable-packagingmarket-growing-at-1805-cagr-to-2019 (accessed on 26 September 2022).
- Piselli, A.; Garbagnoli, P.; Alfieri, I.; Lorenzi, A.; Del Curto, B. Natural-based coatings for food paper packaging. Int. J. Des. Sci. Technol. 2014, 201, 55–78. [Google Scholar]
- Available online: https://www.cepi.org/wp-content/uploads/2022/07/Key-Statistics-2021-Final.pdf (accessed on 26 September 2022).
- Andersson, C. New ways to enhance the functionality of paperboard by surface treatment—A review. Packag. Technol. Sci. 2008, 21, 339–373. [Google Scholar] [CrossRef]
- Huang, T.; Qian, Y.; Wei, J.; Zhou, C. Polymeric Antimicrobial Food Packaging and Its Applications. Polymers 2019, 11, 560. [Google Scholar] [CrossRef]
- Weligama Thuppahige, V.T.; Karim, M.A. A comprehensive review on the properties and functionalities of biodegradable and semibiodegradable food packaging materials. Compr. Rev. Food Sci. Food Saf. 2022, 21, 689–718. [Google Scholar] [CrossRef]
- Lavoine, N.; Desloges, I.; Dufresne, A.; Bras, J. Microfibrillated cellulose—Its barrier properties and applications in cellulosic materials: A review. Carbohydr. Polym. 2012, 90, 735. [Google Scholar] [CrossRef]
- Mujtaba, M.; Lipponen, L.; Ojanen, M.; Puttonen, S.; Vaittinen, H. Trends and challenges in the development of bio-based barrier coating materials for paper/cardboard food packaging; A review. Sci. Total Environ. 2022, 851, 158328. [Google Scholar] [CrossRef]
- Kirwan, M.J. (Ed.) Handbook of Paper and Paperboard Packaging Technology, 2nd ed.; Wiley-Blackwell: Oxford, UK, 2005; pp. 88–101. [Google Scholar]
- Guillard, V.; Gaucel, S.; Fornaciari, C.; Angellier-Coussy, H.; Buche, P.; Gontard, N. The Next Generation of Sustainable Food Packaging to Preserve Our Environment in a Circular Economy Context. Front. Nutr. 2018, 5, 121. [Google Scholar] [CrossRef]
- Nechita, P.; Roman, M.; Ciolacu, F. Xylan Hemicellulose: A Renewable Material with Potential Properties for Food Packaging Applications. Sustainability 2021, 13, 13504. [Google Scholar] [CrossRef]
- Wissam, F. Investigation of Hemicellulose Biomaterial Approaches: The Extraction and Modification of Hemicellulose and Its Use in Valueadded Applications. Ph.D. Thesis, L’Université de Lyon, Lyon, France, Université Jean Monnet Saint-Etienne, Saint-Étienne, France, North Carolina State University, Raleigh, NC, USA, 2018. [Google Scholar]
- Qaseem, M.F.; Shaheen, H.; Wu, A.M. Cell wall hemicellulose for sustainable industrial utilization. Renew. Sustain. Energy Rev. 2021, 144, 110996. [Google Scholar] [CrossRef]
- Ebringerová, A.; Heinze, T. Xylan and xylan derivatives—Biopolymers with valuable properties, 1. Naturally occurring xylans structures, isolation procedures and properties. Macromol. Rapid Commun. 2000, 21, 542–556. [Google Scholar] [CrossRef]
- Chen, G.G.; Qi, X.M.; Guan, Y.; Peng, F.; Yao, C.L.; Sun, R.C. High strength hemicellulose-based nanocomposite film for food packaging applications. ACS Sustain. Chem. Eng. 2016, 4, 1985–1993. [Google Scholar] [CrossRef]
- Nechita, P.; Roman, M. Review on polysaccharides used in coatings for food packaging papers. Coatings 2020, 10, 566. [Google Scholar] [CrossRef]
- Cheng, H.N.; Biswas, A.; Sanghoon, K.; Carlucio, R.; Furtado, A.R. Synthesis and Characterization of Hydrophobically Modified Xylans. Polymers 2021, 13, 291. [Google Scholar] [CrossRef]
- Tanaka, R.; Meadows, J.; Williams, P.A.; Phillips, G.O. Interaction of hydrophobically modified hydroxyethyl cellulose with various added surfactants. Macromolecules 1992, 25, 1304–1310. [Google Scholar] [CrossRef]
- Cunha, A.G.; Gandini, A. Turning polysaccharides into hydrophobic materials: A critical review. Part 1. Cellulose. Cellulose 2010, 17, 875–889. [Google Scholar] [CrossRef]
- Cunha, A.G.; Gandini, A. Turning polysaccharides into hydrophobic materials: A critical review. Part 2. Hemicelluloses, chitin/chitosan, starch, pectin and alginates. Cellulose 2010, 17, 1045–1065. [Google Scholar] [CrossRef]
- Biswas, A.; Cheng, H.N.; Appell, M.; Furtado, R.F.; Bastos, M.S.R.; Alves, C.R. Preparation of Xylan Esters with the Use of Selected Lewis Acids. ACS Symp. Ser. 2020, 1347, 33–42. [Google Scholar]
- Ren, J.; Peng, X.; Feng, P.; Sun, R. A new strategy for acid anhydrides-modified xylans in ionic liquids. Fibers Polym. 2013, 14, 16–21. [Google Scholar] [CrossRef]
- Stepan, A.M.; King, A.W.T.; Kakko, T.; Toriz, G.; Kilpeläinen, I.; Gatenholm, P. Fast and highly efficient acetylation of xylans in ionic liquid systems. Cellulose 2013, 20, 2813–2824. [Google Scholar] [CrossRef]
- Ren, J.L.; Peng, X.W.; Zhong, L.X.; Peng, F.; Sun, R.C. Novel hydrophobic hemicelluloses: Synthesis and characteristic. Carbohydr. Polym. 2012, 89, 152–157. [Google Scholar]
- Jain, R.K.; Sjöstedt, M.; Glasser, W.G. Thermoplastic Xylan Derivatives with Propylene Oxide. Cellulose 2000, 7, 319–336. [Google Scholar] [CrossRef]
- Laine, C.; Harlin, A.; Hartman, J.; Hyvärinen, S.; Kammiovirta, K.; Krogerus, B.; Pajari, H.; Rautkoski, H.; Setälä, H.; Sievänen, J.; et al. Hydroxyalkylated xylans—Their synthesis and application in coatings for packaging and paper. Ind. Crop. Prod. 2013, 44, 692–704. [Google Scholar] [CrossRef]
- Yoshida, Y.; Isogai, A. Preparation and characterization of cellulose β-ketoesters prepared by homogeneous reaction with alkylketene dimers: Comparison with cellulose/fatty acid esters. Cellulose 2007, 14, 481–488. [Google Scholar] [CrossRef]
- Yan, Y.; Amer, H.; Rosenau, T.; Zollfrank, C.; Dörrstein, J.; Jobst, C.; Zimmermann, T.; Keckes, J.; Veigel, S.; Gindl-Altmutter, W.; et al. Dry, hydrophobic microfibrillated cellulose powder obtained in a simple procedure using alkyl ketene dimer. Cellulose 2016, 23, 1189–1197. [Google Scholar] [CrossRef]
- Song, X.; Chen, F.; Liu, F. Preparation and characterization of alkyl ketene dimer (AKD) modified cellulose composite membrane. Carbohydr. Polym. 2012, 88, 417–421. [Google Scholar] [CrossRef]
- Delgado-Aguilar, M.; Gonzalez, I.; Jimenez, A.M.; Tarres, Q.; Quintana, G.; Mutje, P. Cellulose nanofibers modified with alkyl ketene dimer for oil absorbent aerogels. Cellul. Chem. Technol. 2016, 50, 369–375. [Google Scholar]
- Missoum, K.; Bras, J.; Belgacem, N. Method for Forming a Hydrophobic Layer. WO Patent 2015011364A2, 29 January 2015. [Google Scholar]
- Russler, A.; Wieland, M.; Bacher, M.; Henniges, U.; Miethe, P.; Liebner, F.; Potthast, A.; Rosenau, T. AKD-Modification of bacterial cellulose aerogels in supercritical CO2. Cellulose 2012, 19, 1337–1349. [Google Scholar] [CrossRef]
- Lähteenmäki, M.; Känköhen, H.; Kloow, G.; Ruppert, O.; Leupin, J.A.; Gosselink, E.P. Modified Cellulose Ethers. U.S. Patent 6,600,033, 29 July 2003. [Google Scholar]
- Ashfaq, J.; Channa, I.A.; Shaikh, A.A.; Chandio, A.D.; Shah, A.A.; Bughio, B.; Birmahani, A.; Alshehri, S.; Ghoneim, M.M. Gelatin- and Papaya-Based Biodegradable and Edible Packaging Films to Counter Plastic Waste Generation. Materials 2022, 15, 1046. [Google Scholar] [CrossRef]
- Qiao, L.; Gu, Q.-M.; Cheng, H. Enzyme-catalyzed synthesis of hydrophobically modified starch. Carbohydr. Polym. 2006, 66, 135–140. [Google Scholar] [CrossRef]
- Dang, C.; Xu, M.; Yin, Y.; Pu, J. Preparation and Characterization of Hydrophobic Non-Crystal Microporous Starch (NCMS) and its Application in Food Wrapper Paper as a Sizing Agent. BioResources 2017, 12, 5775–5789. [Google Scholar] [CrossRef]
- Biswas, A.; Kim, S.; Buttrum, M.; Furtado, R.F.; Cheng, H.N. Preparation of hydrophobically modified cashew gum through reaction with alkyl ketene dimer. Green Polym. Chem. New Prod. Process. Appl. 2018, 1310, 137–146. [Google Scholar] [CrossRef]
- Shen, Z.; Kwon, S.; Oh, K.; Abhari, A.R.; Lee, H.L. Facile fabrication of hydrophobic cellulosic paper with good barrier properties via PVA/AKD dispersion coating. Nord. Pulp. Pap. Res. J. 2019, 34, 516–524. [Google Scholar] [CrossRef]
- Shen, Z.; Rajabi-Abhari, A.; Oh, K. Improving the barrier properties of packaging paper by polyvinyl alcohol based polymer coating–effect of the base paper and nanoclay. Polymer 2021, 13, 1334. [Google Scholar] [CrossRef] [PubMed]
- Nguyen, S.V.; Lee, B.K. Polyvinyl alcohol/alkyl ketene dimer films with excellent water resistance and water vapor barrier properties. Mater. Lett. 2022, 307, 131045. [Google Scholar] [CrossRef]
- Bildik, A.E.; Hubbe, M.A.; Gürboy, K.B. Alkyl ketene dimer (AKD) sizing of paper under simplified treatment conditions. Tappi J. 2016, 15, 545. [Google Scholar] [CrossRef]
- Bottorff, K.J. AKD sizing mechanism: A more definite description. Tappi J. 1994, 77, 105–116. [Google Scholar]
- Cheng, H.N.; Gu, Q.-M. Esterified Polysaccharide Products and β-lactone Ring Opened Ketene Dimer Products Containing the Compositions, and Process of Making the Same. U.S. Patent 6,624,298, 23 September 2003. [Google Scholar]
- Zeshan, T.; Zhang, R.; Liu, Y.; Xu, J.; Zhu, X.; Lei, T.; Li, K. Hemicellulose-based nanocomposites coating delays lignification of green asparagus by introducing AKD as a hydrophobic modifier. Renew. Energy 2021, 178, 1097–1105. [Google Scholar]
- Roberts, J.C.; Garner, D.N. The reaction of ketene dimer sizes with cellulose model substrates. Cellul. Chem. Technol. 1984, 18, 275. [Google Scholar]
- Dinica, R.M.; Sandu, C.; Dediu Botezatu, A.V.; Cazanevscaia Busuioc, A.; Balanescu, F.; Mihaila, M.D.; Dumitru, C.N.; Furdui, B.; Iancu, A.V. Allantoin from Valuable Romanian Animal and Plant Sources with Promising Anti-Inflammatory Activity as a Nutricosmetic Ingredient. Sustainability 2021, 13, 10170. [Google Scholar] [CrossRef]
- SR ISO 535: 2014; Paper and Board, Determination of Water Absorptiveness, Cobb method. Romanian Association of Standardisation—ASRO: Bucharest, Romania, 2014.
- ISO 2528:2018; Sheet Materials, Determination of Water Vapours Transmission Rate (WVTR), Gravimetric (Dish) Method). International Organization for Standardization: Geneva, Switzerland, 2018.
- ISO 5636-5:2013; Paper and Board, Determination of Air Permeance (Medium Range), Part 5: Gurley Method. International Organization for Standardization: Geneva, Switzerland, 2013.
- SR EN ISO 1924-2:2009; Paper and Board, Determination of Tensile Properties, Part 2: Constant Rate of Elongation Method. Romanian Association of Standardisation—ASRO: Bucharest, Romania, 2009.
- ISO 3781:2011; Paper and Board, Determination of Tensile Strength after Immersion in Water. International Organization for Standardization: Geneva, Switzerland, 2011.
- SR EN ISO 2758:2015; Paper, Determination of Bursting Strength. Romanian Association of Standardisation—ASRO: Bucharest, Romania, 2009.
- Li, Y.; Wu, R.; Shi, J.; Ma, L.; Liu, S.; Wang, G.; Lu, P. Hemicellulose β-ketoester prepared by reaction with alkyl ketene dimer and its self-emulsifying properties. Ind. Crops Prod. 2022, 188, 115600. [Google Scholar] [CrossRef]
- Chen, Z.; Hu, T.Q.; Jang, H.F.; Grant, E. Modification of Xylan in Alkaline Treated Bleached Hardwood Kraft Pulps as Classified by Attenuated Total-Internal-Reflection (ATR) FTIR Spectroscopy. Carbohydr. Polym. 2015, 127, 418–426. [Google Scholar] [CrossRef] [PubMed]
- Sharma, K.; Khaire, K.C.; Thakur, A.; Moholkar, V.S.; Goyal, A.; Goyal, A. Acacia Xylan as a Substitute for Commercially Available Xylan and Its Application in the Production of Xylooligosaccharides. ACS Omega 2020, 5, 13729–13738. [Google Scholar] [CrossRef]
- Seo, W.S.; Cho, N.S.; Ohga, S. Possibility of Hydrogen Bonding between AKD and Cellulose Molecules during AKD Sizing. J. Fac. Agric. Kyushu Univ. 2008, 53, 405–410. [Google Scholar] [CrossRef] [PubMed]
- Zhang, H.; Kannangara, D.; Hilder, M.; Ettl, R.; Shen, W. The Role of Vapour Deposition in the Hydrophobization Treatment of Cellulose Fibres Using Alkyl Ketene Dimers and Alkenyl Succinic Acid Anhydrides. Colloids Surf. A Physicochem. Eng. Asp. 2007, 297, 203–210. [Google Scholar] [CrossRef]
- Chen, F.-S.; Shang, X.-L.; Song, X.-M. Preparation and sizing performance of a new type of AKD emulsion. Chung-Kuo Tsao Chih/China Pulp. Pap. 2013, 32, 5–10. [Google Scholar]
- El-Tahlawy, K.; Venditti, R.; Pawlak, J. Effect of alkyl ketene dimer reacted starch on the properties of starch microcellular foam using a solvent exchange technique. Carbohydr. Polym. 2008, 73, 133–142. [Google Scholar] [CrossRef]
- Marton, J. TAPPI Papermakers Conference; Tappi Press: Atlanta, GA, USA, 1990; p. 417. [Google Scholar]
- Marton, J. Practical aspects of alkaline sizing-on kinetics of alkyl ketene dimer reactions: Hydrolysis of alkyl ketene dimer. Tappi J. 1990, 73, 139. [Google Scholar]
- Bordenave, N.; Grelier, S.; Coma, V. Hydrophobization and Antimicrobial Activity of Chitosan and Paper-Based Packaging Material. Biomacromolecules 2010, 11, 88–96. [Google Scholar] [CrossRef]
- Sheng, J.; Li, J.; Zhao, L. Fabrication of grease resistant paper with non-fluorinated chemicals for food packaging. Cellulose 2019, 26, 6291–6302. [Google Scholar] [CrossRef]










| Properties | Base Paper | Coated Paper Samples | ||||
|---|---|---|---|---|---|---|
| Xylan | Xylan + 0.2% AKD | Xylan + 0.5% AKD | Xylan + 1.0% AKD | Xylan + 1.5% AKD | ||
| Dry tensile index, N·m/g | 64 (sdv. 0.121) | 58 (sdv. 0.895) | 59 (sdv. 0.724) | 61 (sdv. 0.653) | 60 (sdv. 0.345) | 60 (sdv. 0.326) |
| Wet tensile index, kN·m/g | 9 (sdv. 0.545) | 9 (sdv. 0.795) | 9 (sdv. 0.698) | 9.3 (sdv. 0.594) | 9.5 (sdv. 0.659) | 9.6 (sdv. 0.428) |
| Bursting index, kPa·m2/g | 4.4 (sdv. 0.545) | 4.8 (sdv. 1.013) | 4.9 (sdv. 0.955) | 4.9 (sdv. 1.342) | 5.0 (sdv. 0.754) | 5.0 (sdv. 0.829) |
Publisher’s Note: MDPI stays neutral with regard to jurisdictional claims in published maps and institutional affiliations. |
© 2022 by the authors. Licensee MDPI, Basel, Switzerland. This article is an open access article distributed under the terms and conditions of the Creative Commons Attribution (CC BY) license (https://creativecommons.org/licenses/by/4.0/).
Share and Cite
Nechita, P.; Roman, M.; Cantaragiu Ceoromila, A.; Dediu Botezatu, A.V. Improving Barrier Properties of Xylan-Coated Food Packaging Papers with Alkyl Ketene Dimer. Sustainability 2022, 14, 16255. https://doi.org/10.3390/su142316255
Nechita P, Roman M, Cantaragiu Ceoromila A, Dediu Botezatu AV. Improving Barrier Properties of Xylan-Coated Food Packaging Papers with Alkyl Ketene Dimer. Sustainability. 2022; 14(23):16255. https://doi.org/10.3390/su142316255
Chicago/Turabian StyleNechita, Petronela, Mirela Roman, Alina Cantaragiu Ceoromila, and Andreea Veronica Dediu Botezatu. 2022. "Improving Barrier Properties of Xylan-Coated Food Packaging Papers with Alkyl Ketene Dimer" Sustainability 14, no. 23: 16255. https://doi.org/10.3390/su142316255
APA StyleNechita, P., Roman, M., Cantaragiu Ceoromila, A., & Dediu Botezatu, A. V. (2022). Improving Barrier Properties of Xylan-Coated Food Packaging Papers with Alkyl Ketene Dimer. Sustainability, 14(23), 16255. https://doi.org/10.3390/su142316255

