Thermal Conductivity of Coconut Shell-Incorporated Concrete: A Systematic Assessment via Theory and Experiment
Abstract
1. Introduction
2. Theoretical and Experimental Approaches
2.1. Design of Composite
2.2. Materials and Mix Design Preparation
2.3. TC Test
2.4. Prediction Using GEP Model
2.5. Prediction ANN Model
3. Results and Discussion
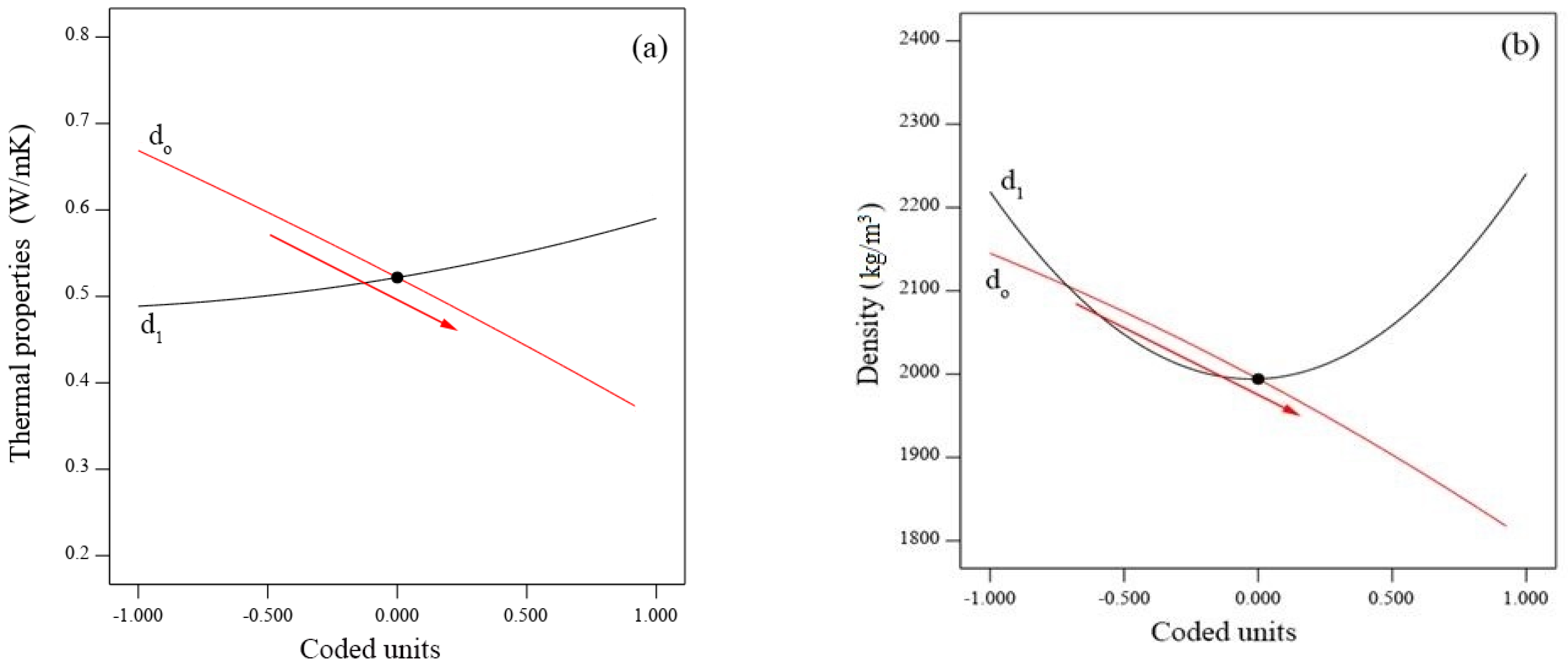
3.1. Informational Modeling Using RSM
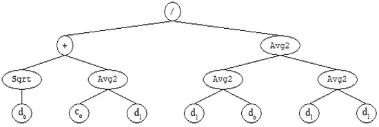
3.2. Informational Modeling Using GEP
3.3. Informational Modeling Using ANN
3.4. Parametric Analysis
4. Conclusions
- The optimum replacement percentage of fine aggregate by CA was 53% which produced a normal concrete with density of 2246 kg/m3. Beyond this content of CA, the concrete can be defined as lightweight because the density was below 2000 kg/m3.
- The TC of concrete containing 53% of CA (0.5903 W/mK) was lower compared to the control concrete (0.76 W/mK), indicating its suitability in the construction sectors.
- Incorporation of CA as partial replacement of fine aggregate (53%) in the proposed concrete can be beneficial for the creation of sustainable green concrete with lower greenhouse gases emission.
- The accuracy of the developed equation obtained from RSM was proven using ANOVA, in which the p-value was less than 0.0001, while the F-value was high (147.47).
- Error statistics parameters also proved the capability of the GEP model to accurately predict the thermal properties of concrete, in which RMSE < 0.038, RRSE < 0.609, RAE < 0.668, and MAE < 0.035 were obtained for both training and validation.
- Correlation and error statistics parameters for the ANN model reaffirmed that the relationship between the predicted and actual results were close, in which R2 > 0.91, while RASE < 0.0183 and SSE < 0.0050 were obtained for all data set.
Author Contributions
Funding
Institutional Review Board Statement
Informed Consent Statement
Data Availability Statement
Conflicts of Interest
References
- Kaish, A.; Odimegwu, T.C.; Zakaria, I.; Abood, M.M. Effects of different industrial waste materials as partial replacement of fine aggregate on strength and microstructure properties of concrete. J. Build. Eng. 2021, 35, 102092. [Google Scholar] [CrossRef]
- Althoey, F.; Hosen, M. Physical and mechanical characteristics of sustainable concrete comprising industrial waste materials as a replacement of conventional aggregate. Sustainability 2021, 13, 4306. [Google Scholar] [CrossRef]
- Steyn, Z.; Babafemi, A.; Fataar, H.; Combrinck, R. Concrete containing waste recycled glass, plastic and rubber as sand replacement. Constr. Build. Mater. 2021, 269, 121242. [Google Scholar] [CrossRef]
- Shah, S.N.; Mo, K.H.; Yap, S.P.; Yang, J.; Ling, T.-C. Lightweight foamed concrete as a promising avenue for incorporating waste materials: A review. Resour. Conserv. Recycl. 2021, 164, 105103. [Google Scholar] [CrossRef]
- Makul, N.; Fediuk, R.; Amran, M.; Zeyad, A.M.; Klyuev, S.; Chulkova, I.; Ozbakkaloglu, T.; Vatin, N.; Karelina, M.; Azevedo, A. Design Strategy for Recycled Aggregate Concrete: A Review of Status and Future Perspectives. Crystals 2021, 11, 695. [Google Scholar] [CrossRef]
- Zulkernain, N.H.; Gani, P.; Chuan, N.C.; Uvarajan, T. Utilisation of plastic waste as aggregate in construction materials: A review. Constr. Build. Mater. 2021, 296, 123669. [Google Scholar] [CrossRef]
- Wang, R.; Shi, Q.; Li, Y.; Cao, Z.; Si, Z. A critical review on the use of copper slag (CS) as a substitute constituent in concrete. Constr. Build. Mater. 2021, 292, 123371. [Google Scholar] [CrossRef]
- Agrawal, Y.; Gupta, T.; Sharma, R.; Panwar, N.L.; Siddique, S. A Comprehensive Review on the Performance of Structural Lightweight Aggregate Concrete for Sustainable Construction. Constr. Mater. 2021, 1, 39–62. [Google Scholar] [CrossRef]
- Saikia, N.; de Brito, J. Mechanical properties and abrasion behaviour of concrete containing shredded PET bottle waste as a partial substitution of natural aggregate. Constr. Build. Mater. 2014, 52, 236–244. [Google Scholar] [CrossRef]
- Mhaya, A.M.; Huseien, G.F.; Abidin, A.R.Z.; Ismail, M. Long-term mechanical and durable properties of waste tires rubber crumbs replaced GBFS modified concretes. Constr. Build. Mater. 2020, 256, 119505. [Google Scholar] [CrossRef]
- Mhaya, A.M.; Shahidan, S.; Zuki, S.S.M.; Huseien, G.F.; Azmi, M.A.M.; Ismail, M.; Mirza, J. Durability and Acoustic Performance of Rubberized Concrete Containing POFA as Cement Replacement. Sustainability 2022, 14, 15510. [Google Scholar] [CrossRef]
- Al-Fasih, M.Y.M.; Huseien, G.F.; bin Ibrahim, I.S.; Sam, A.R.M.; Algaifi, H.A.; Alyousef, R. Synthesis of rubberized alkali-activated concrete: Experimental and numerical evaluation. Constr. Build. Mater. 2021, 303, 124526. [Google Scholar] [CrossRef]
- Asadi, I.; Shafigh, P.; Hassan, Z.F.B.A.; Mahyuddin, N.B. Thermal conductivity of concrete–A review. J. Build. Eng. 2018, 20, 81–93. [Google Scholar] [CrossRef]
- Gupta, P.K.; Khaudhair, Z.A.; Ahuja, A.K. A new method for proportioning recycled concrete. Struct. Concr. 2016, 17, 677–687. [Google Scholar] [CrossRef]
- Mohammadhosseini, H.; Lim, N.H.A.S.; Sam, A.R.M.; Samadi, M. Effects of elevated temperatures on residual properties of concrete reinforced with waste polypropylene carpet fibres. Arabi J. Sci. Eng. 2018, 43, 1673–1686. [Google Scholar] [CrossRef]
- Martínez-Molina, A.; Tort-Ausina, I.; Cho, S.; Vivancos, J.-L. Energy efficiency and thermal comfort in historic buildings: A review. Renew. Sustain. Energy Rev. 2016, 61, 70–85. [Google Scholar] [CrossRef]
- Kazmi, S.M.S.; Munir, M.J.; Wu, Y.-F.; Lin, X.; Ahmad, M.R. Investigation of thermal performance of concrete incorporating different types of recycled coarse aggregates. Constr. Build. Mater. 2021, 270, 121433. [Google Scholar] [CrossRef]
- Du, Y.; Yang, W.; Ge, Y.; Wang, S.; Liu, P. Thermal conductivity of cement paste containing waste glass powder, metakaolin and limestone filler as supplementary cementitious material. J. Clean. Prod. 2021, 287, 125018. [Google Scholar] [CrossRef]
- Adesina, A. Overview of the influence of waste materials on the thermal conductivity of cementitious composites. Clean. Eng. Technol. 2021, 2, 100046. [Google Scholar] [CrossRef]
- Hewayde, E.; Kubba, Z. Mechanical Properties of Concrete Incorporating Pre-Treated Wastes Sawdust. Key Eng. Mater. 2021, 895, 147–156. [Google Scholar] [CrossRef]
- Alabduljabbar, H.; Huseien, G.F.; Sam, A.R.M.; Alyouef, R.; Algaifi, H.A.; Alaskar, A. Engineering properties of waste sawdust-based lightweight alkali-activated concrete: Experimental assessment and numerical prediction. Materials 2020, 13, 5490. [Google Scholar] [CrossRef] [PubMed]
- Marie, I. Thermal conductivity of hybrid recycled aggregate–Rubberized concrete. Constr. Build. Mater. 2017, 133, 516–524. [Google Scholar] [CrossRef]
- Mhaya, A.M.; Baghban, M.H.; Faridmehr, I.; Huseien, G.F.; Abidin, A.R.Z.; Ismail, M. Performance evaluation of modified rubberized concrete exposed to aggressive environments. Materials 2021, 14, 1900. [Google Scholar] [CrossRef] [PubMed]
- Wang, J.; Du, B. Experimental studies of thermal and acoustic properties of recycled aggregate crumb rubber concrete. J. Build. Eng. 2020, 32, 101836. [Google Scholar] [CrossRef]
- Selvaranjan, K.; Gamage, J.; De Silva, G.; Navaratnam, S. Development of sustainable mortar using waste rice husk ash from rice mill plant: Physical and thermal properties. J. Build. Eng. 2021, 43, 102614. [Google Scholar] [CrossRef]
- Ngohpok, C.; Sata, V.; Satiennam, T.; Klungboonkrong, P.; Chindaprasirt, P. Mechanical properties, thermal conductivity, and sound absorption of pervious concrete containing recycled concrete and bottom ash aggregates. KSCE J. Civ. Eng. 2018, 22, 1369–1376. [Google Scholar] [CrossRef]
- Yang, I.-H.; Park, J. A study on the thermal properties of high-strength concrete containing CBA fine aggregates. Materials 2020, 13, 1493. [Google Scholar] [CrossRef]
- Mhaya, A.M.; Baharom, S.; Huseien, G.F. Improved strength performance of rubberized Concrete: Role of ground blast furnace slag and waste glass bottle nanoparticles amalgamation. Constr. Build. Mater. 2022, 342, 128073. [Google Scholar] [CrossRef]
- Mhaya, A.M.; Fahim Huseien, G.; Faridmehr, I.; Razin Zainal Abidin, A.; Alyousef, R.; Ismail, M. Evaluating mechanical properties and impact resistance of modified concrete containing ground Blast Furnace slag and discarded rubber tire crumbs. Constr. Build. Mater. 2021, 295, 123603. [Google Scholar] [CrossRef]
- Lu, J.-X.; Yan, X.; He, P.; Poon, C.S. Sustainable design of pervious concrete using waste glass and recycled concrete aggregate. J. Clean. Prod. 2019, 234, 1102–1112. [Google Scholar] [CrossRef]
- Shen, P.; Zheng, H.; Liu, S.; Lu, J.-X.; Poon, C.S. Development of high-strength pervious concrete incorporated with high percentages of waste glass. Cem. Concr. Compos. 2020, 114, 103790. [Google Scholar] [CrossRef]
- Basha, S.I.; Ali, M.; Al-Dulaijan, S.; Maslehuddin, M. Mechanical and thermal properties of lightweight recycled plastic aggregate concrete. J. Build. Eng. 2020, 32, 101710. [Google Scholar] [CrossRef]
- Coppola, B.; Courard, L.; Michel, F.; Incarnato, L.; Scarfato, P.; Di Maio, L. Hygro-thermal and durability properties of a lightweight mortar made with foamed plastic waste aggregates. Constr. Build. Mater. 2018, 170, 200–206. [Google Scholar] [CrossRef]
- Baghban, M.H.; Mhaya, A.M.; Faridmehr, I.; Huseien, G.F. Carbonation Depth and Chloride Ion Penetration Properties of Rubberised Concrete Incorporated Ground Blast Furnace Slag. In Solid State Phenomena; Trans Tech Publications Ltd.: Zurich, Switzerland, 2022. [Google Scholar]
- Kanojia, A.; Jain, S.K. Performance of coconut shell as coarse aggregate in concrete. Constr. Build. Mater. 2017, 140, 150–156. [Google Scholar] [CrossRef]
- Palanisamy, M.; Kolandasamy, P.; Awoyera, P.; Gobinath, R.; Muthusamy, S.; Krishnasamy, T.R.; Viloria, A. Permeability properties of lightweight self-consolidating concrete made with coconut shell aggregate. J. Mater. Res. Technol. 2020, 9, 3547–3557. [Google Scholar] [CrossRef]
- Prakash, R.; Thenmozhi, R.; Raman, S.N.; Subramanian, C.; Divyah, N. An investigation of key mechanical and durability properties of coconut shell concrete with partial replacement of fly ash. Struct. Concr. 2021, 22, E985–E996. [Google Scholar] [CrossRef]
- Bari, H.; Salam, M.; Safiuddin, M. Fresh and hardened properties of brick aggregate concrete including coconut shell as a partial replacement of coarse aggregate. Constr. Build. Mater. 2021, 297, 123745. [Google Scholar] [CrossRef]
- Tomar, R.; Kishore, K.; Parihar, H.S.; Gupta, N. A comprehensive study of waste coconut shell aggregate as raw material in concrete. Mater. Today Proc. 2021, 44, 437–443. [Google Scholar] [CrossRef]
- Bari, H.; Safiuddin, M.; Salam, M. Microstructure of Structural Lightweight Concrete Incorporating Coconut Shell as a Partial Replacement of Brick Aggregate and Its Influence on Compressive Strength. Sustainability 2021, 13, 7157. [Google Scholar] [CrossRef]
- Tangadagi, R.B.; Manjunatha, M.; Preethi, S.; Bharath, A.; Reshma, T. Strength characteristics of concrete using coconut shell as a coarse aggregate–A sustainable approach. Mater. Today Proc. 2021, 47, 3845–3851. [Google Scholar] [CrossRef]
- Mhaya, A.M.; Baharom, S.; Baghban, M.H.; Nehdi, M.L.; Faridmehr, I.; Huseien, G.F.; Algaifi, H.A.; Ismail, M. Systematic Experimental Assessment of POFA Concrete Incorporating Waste Tire Rubber Aggregate. Polymers 2022, 14, 2294. [Google Scholar] [CrossRef]
- Mathew, S.P.; Nadir, Y.; Arif, M.M. Experimental study of thermal properties of concrete with partial replacement of coarse aggregate by coconut shell. Mater. Today Proc. 2020, 27, 415–420. [Google Scholar] [CrossRef]
- Baghban, M.H.; Tosee, S.V.R.; Valerievich, K.A.; Faridmehr, I.; Hassanipour, A. Mechanical Properties of Self-Compacting Lightweight Concrete Containing Organic Waste Ash. Eng. Sci. 2022, 20, 275–283. [Google Scholar]
- Hassan, W.N.F.W.; Ismail, M.A.; Lee, H.-S.; Meddah, M.S.; Singh, J.K.; Hussin, M.W.; Ismail, M. Mixture optimization of high-strength blended concrete using central composite design. Constr. Build. Mater. 2020, 243, 118251. [Google Scholar] [CrossRef]
- Hameed, M.M.; AlOmar, M.K.; Baniya, W.J.; AlSaadi, M.A. Prediction of high-strength concrete: High-order response surface methodology modeling approach. Eng. Comput. 2022, 38, 1655–1668. [Google Scholar] [CrossRef]
- Aslam, F.; Farooq, F.; Amin, M.N.; Khan, K.; Waheed, A.; Akbar, A.; Javed, M.F.; Alyousef, R.; Alabdulijabbar, H. Applications of gene expression programming for estimating compressive strength of high-strength concrete. Adv. Civ. Eng. 2020, 2020, 8850535. [Google Scholar] [CrossRef]
- Dao, D.V.; Ly, H.-B.; Vu, H.-L.T.; Le, T.-T.; Pham, B.T. Investigation and optimization of the C-ANN structure in predicting the compressive strength of foamed concrete. Materials 2020, 13, 1072. [Google Scholar] [CrossRef]
- Sharafati, A.; Naderpour, H.; Salih, S.Q.; Onyari, E.; Yaseen, Z.M. Simulation of foamed concrete compressive strength prediction using adaptive neuro-fuzzy inference system optimized by nature-inspired algorithms. Front. Struct. Civ. Eng. 2021, 15, 61–79. [Google Scholar] [CrossRef]
- Shahmansouri, A.A.; Yazdani, M.; Ghanbari, S.; Bengar, H.A.; Jafari, A.; Ghatte, H.F. Artificial neural network model to predict the compressive strength of eco-friendly geopolymer concrete incorporating silica fume and natural zeolite. J. Clean. Prod. 2021, 279, 123697. [Google Scholar] [CrossRef]
- Aneja, S.; Sharma, A.; Gupta, R.; Yoo, D.-Y. Bayesian regularized artificial neural network model to predict strength characteristics of fly-ash and bottom-ash based geopolymer concrete. Materials 2021, 14, 1729. [Google Scholar] [CrossRef]
- Prusty, J.K.; Pradhan, B. Multi-response optimization using Taguchi-Grey relational analysis for composition of fly ash-ground granulated blast furnace slag based geopolymer concrete. Constr. Build. Mater. 2020, 241, 118049. [Google Scholar] [CrossRef]
- Zhang, J.; Huang, Y.; Ma, G.; Sun, J.; Nener, B. A metaheuristic-optimized multi-output model for predicting multiple properties of pervious concrete. Constr. Build. Mater. 2020, 249, 118803. [Google Scholar] [CrossRef]
- Huang, J.; Duan, T.; Zhang, Y.; Liu, J.; Zhang, J.; Lei, Y. Predicting the permeability of pervious concrete based on the beetle antennae search algorithm and random forest model. Adv. Civ. Eng. 2020, 2020, 8863181. [Google Scholar] [CrossRef]
- Shojaei, S.; Ardakani, M.A.H.; Sodaiezadeh, H. Optimization of parameters affecting organic mulch test to control erosion. J. Environ. Manag. 2019, 249, 109414. [Google Scholar] [CrossRef] [PubMed]
- Sharma, S.; Simsek, H. Sugar beet industry process wastewater treatment using electrochemical methods and optimization of parameters using response surface methodology. Chemosphere 2020, 238, 124669. [Google Scholar] [CrossRef]
- Yusuf, H.A.; Hossain, S.Z.; Khamis, A.A.; Radhi, H.T.; Jaafar, A.S. Optimization of CO2 biofixation rate by microalgae in a hybrid microfluidic differential carbonator using response surface methodology and desirability function. J. CO2 Util. 2020, 42, 101291. [Google Scholar] [CrossRef]
- Habibi, A.; Ramezanianpour, A.M.; Mahdikhani, M.; Bamshad, O. RSM-based evaluation of mechanical and durability properties of recycled aggregate concrete containing GGBFS and silica fume. Constr. Build. Mater. 2021, 270, 121431. [Google Scholar] [CrossRef]
- Shahmansouri, A.A.; Nematzadeh, M.; Behnood, A. Mechanical properties of GGBFS-based geopolymer concrete incorporating natural zeolite and silica fume with an optimum design using response surface method. J. Build. Eng. 2021, 36, 102138. [Google Scholar] [CrossRef]
- Ferdosian, I.; Camões, A. Eco-efficient ultra-high performance concrete development by means of response surface methodology. Cem. Concr. Compos. 2017, 84, 146–156. [Google Scholar] [CrossRef]
- Oyebisi, S.; Ede, A.; Owamah, H.; Igba, T.; Mark, O.; Odetoyan, A. Optimising the Workability and Strength of Concrete Modified with Anacardium Occidentale Nutshell Ash. Fibers 2021, 9, 41. [Google Scholar] [CrossRef]
- Benghazi, Z.; Zeghichi, L.; Djellali, A.; Hafdallah, A. Predictive modeling and multi-response optimization of physical and mechanical properties of SCC based on sand’s particle size distribution. Arab. J. Sci. Eng. 2020, 45, 8503–8514. [Google Scholar] [CrossRef]
- Safiei, N.Z.; Alaudin, B.J.S. Optimization of Labisia pumila extract concentration via block freeze concentration assisted with centrifugation method. Mater. Today Proc. 2020, 31, A22–A26. [Google Scholar] [CrossRef]
- Mohammed, B.S.; Yen, L.Y.; Haruna, S.; Huat, S.; Lim, M.; Abdulkadir, I.; Al-Fakih, A.; Liew, M.; Zawawi, A.; Wan, N.A. Effect of Elevated Temperature on the Compressive Strength and Durability Properties of Crumb Rubber Engineered Cementitious Composite. Materials 2020, 13, 3516. [Google Scholar] [CrossRef]
- Esfe, M.H.; Hajmohammad, M.H.; Razi, P.; Ahangar, M.R.H.; Arani, A.A.A. The optimization of viscosity and thermal conductivity in hybrid nanofluids prepared with magnetic nanocomposite of nanodiamond cobalt-oxide (ND-Co3O4) using NSGA-II and RSM. Int. Commun. Heat Mass Transf. 2016, 79, 128–134. [Google Scholar] [CrossRef]
- Foroughi, M.; Rahmani, A.R.; Asgari, G.; Nematollahi, D.; Yetilmezsoy, K.; Samarghandi, M.R. Optimization of a three-dimensional electrochemical system for tetracycline degradation using box-behnken design. Fresenius Environ. Bull. 2018, 27, 1914–1922. [Google Scholar]
- Mukhopadhyay, T.; Dey, T.K.; Chowdhury, R.; Chakrabarti, A. Structural damage identification using response surface-based multi-objective optimization: A comparative study. Arab. J. Sci. Eng. 2015, 40, 1027–1044. [Google Scholar] [CrossRef]
- Dan, S.; Banivaheb, S.; Hashemipour, H. Synthesis, characterization and absorption study of chitosan-g-poly (acrylamide-co-itaconic acid) hydrogel. Polym. Bull. 2021, 78, 1887–1907. [Google Scholar] [CrossRef]
- Sargam, Y.; Wang, K.; Cho, I.H. Machine learning based prediction model for thermal conductivity of concrete. J. Build. Eng. 2021, 34, 101956. [Google Scholar] [CrossRef]
- Bahrar, M.; Djamai, Z.I.; Mankibi, M.E.; Larbi, A.S.; Salvia, M. Numerical and experimental study on the use of microencapsulated phase change materials (PCMs) in textile reinforced concrete panels for energy storage. Sustain. Cities Soc. 2018, 41, 455–468. [Google Scholar] [CrossRef]
- Javed, M.F.; Amin, M.N.; Shah, M.I.; Khan, K.; Iftikhar, B.; Farooq, F.; Aslam, F.; Alyousef, R.; Alabduljabbar, H. Applications of gene expression programming and regression techniques for estimating compressive strength of bagasse ash based concrete. Crystals 2020, 10, 737. [Google Scholar] [CrossRef]
- Das, S.; Mansouri, I.; Choudhury, S.; Gandomi, A.H.; Hu, J.W. A Prediction Model for the Calculation of Effective Stiffness Ratios of Reinforced Concrete Columns. Materials 2021, 14, 1792. [Google Scholar] [CrossRef] [PubMed]
- Ali Khan, M.; Zafar, A.; Akbar, A.; Javed, M.F.; Mosavi, A. Application of Gene Expression Programming (GEP) for the prediction of compressive strength of geopolymer concrete. Materials 2021, 14, 1106. [Google Scholar] [CrossRef] [PubMed]
- Mhaya, A.M.; Algaifi, H.A.; Shahidan, S.; Zuki, S.S.M.; Azmi, M.A.M.; Ibrahim, M.H.W.; Huseien, G.F. Systematic Evaluation of Permeability of Concrete Incorporating Coconut Shell as Replacement of Fine Aggregate. Materials 2022, 15, 7944. [Google Scholar] [CrossRef] [PubMed]
- Chen, B.; Yusuf, M.; Hashimoto, T.; Estandarte, A.K.; Thompson, G.; Robinson, I. Three-dimensional positioning and structure of chromosomes in a human prophase nucleus. Sci. Adv. 2017, 3, e1602231. [Google Scholar] [CrossRef] [PubMed]
- Colantuoni, C.; Purcell, A.E.; Bouton, C.M.; Pevsner, J. High throughput analysis of gene expression in the human brain. J. Neurosci. Res. 2000, 59, 1–10. [Google Scholar] [CrossRef]
- Ahmad, M.; Jung, L.T.; Bhuiyan, A.-A. From DNA to protein: Why genetic code context of nucleotides for DNA signal processing? A review. Biomed. Signal Process. Control 2017, 34, 44–63. [Google Scholar] [CrossRef]
- Jacques, M.; Hiam, D.; Craig, J.; Barrès, R.; Eynon, N.; Voisin, S. Epigenetic changes in healthy human skeletal muscle following exercise–a systematic review. Epigenetics 2019, 14, 633–648. [Google Scholar] [CrossRef]
- Shahmansouri, A.A.; Bengar, H.A.; Ghanbari, S. Compressive strength prediction of eco-efficient GGBS-based geopolymer concrete using GEP method. J. Build. Eng. 2020, 31, 101326. [Google Scholar] [CrossRef]
- Ly, H.-B.; Nguyen, T.-A.; Tran, V.Q. Development of deep neural network model to predict the compressive strength of rubber concrete. Constr. Build. Mater. 2021, 301, 124081. [Google Scholar] [CrossRef]
- Ashrafian, A.; Gandomi, A.H.; Rezaie-Balf, M.; Emadi, M. An evolutionary approach to formulate the compressive strength of roller compacted concrete pavement. Measurement 2020, 152, 107309. [Google Scholar] [CrossRef]
- Zhang, R.; Xue, X. A predictive model for the bond strength of near-surface-mounted FRP bonded to concrete. Compos. Struct. 2021, 262, 113618. [Google Scholar] [CrossRef]
- Iqbal, M.; Zhang, D.; Jalal, F.E.; Javed, M.F. Computational AI prediction models for residual tensile strength of GFRP bars aged in the alkaline concrete environment. Ocean Eng. 2021, 232, 109134. [Google Scholar] [CrossRef]
- Sultana, N.; Hossain, S.Z.; Alam, M.S.; Islam, M.; Al Abtah, M.A. Soft computing approaches for comparative prediction of the mechanical properties of jute fiber reinforced concrete. Adv. Eng. Softw. 2020, 149, 102887. [Google Scholar] [CrossRef]
- Alam, M.S.; Sultana, N.; Hossain, S.Z. Bayesian optimization algorithm based support vector regression analysis for estimation of shear capacity of FRP reinforced concrete members. Appl. Soft Comput. 2021, 105, 107281. [Google Scholar] [CrossRef]
- Feng, D.-C.; Liu, Z.-T.; Wang, X.-D.; Chen, Y.; Chang, J.-Q.; Wei, D.-F.; Jiang, Z.-M. Machine learning-based compressive strength prediction for concrete: An adaptive boosting approach. Constr. Build. Mater. 2020, 230, 117000. [Google Scholar] [CrossRef]
- Liu, Q.-f.; Iqbal, M.F.; Yang, J.; Lu, X.-y.; Zhang, P.; Rauf, M. Prediction of chloride diffusivity in concrete using artificial neural network: Modelling and performance evaluation. Constr. Build. Mater. 2021, 268, 121082. [Google Scholar] [CrossRef]
- Xi, X.; Yin, Z.; Yang, S.; Li, C.-Q. Using artificial neural network to predict the fracture properties of the interfacial transition zone of concrete at the meso-scale. Eng. Fract. Mech. 2021, 242, 107488. [Google Scholar] [CrossRef]
- Mohammed, B.S.; Khed, V.C.; Nuruddin, M.F. Rubbercrete mixture optimization using response surface methodology. J. Clean. Prod. 2018, 171, 1605–1621. [Google Scholar] [CrossRef]
- Carrillo, J.; Ramirez, J.; Lizarazo-Marriaga, J. Modulus of elasticity and Poisson's ratio of fiber-reinforced concrete in Colombia from ultrasonic pulse velocities. J. Build. Eng. 2019, 23, 18–26. [Google Scholar] [CrossRef]
- Gong, Y.; Song, J.; Lin, S.; Yang, J.; He, Y.; Tan, G. Design Optimization of Rubber-Basalt Fiber-Modified Concrete Mix Ratios Based on a Response Surface Method. Appl. Sci. 2020, 10, 6753. [Google Scholar] [CrossRef]
- Hou, D.; Chen, D.; Wang, X.; Wu, D.; Ma, H.; Hu, X.; Zhang, Y.; Wang, P.; Yu, R. RSM-based modelling and optimization of magnesium phosphate cement-based rapid-repair materials. Constr. Build. Mater. 2020, 263, 120190. [Google Scholar] [CrossRef]
- Nowak, A.; Rakoczy, A. Statistical model for compressive strength of lightweight concrete. Archit. Civ. Eng. Env. 2011, 4, 73–80. [Google Scholar]
- Khoshkenari, A.G.; Shafigh, P.; Moghimi, M.; Mahmud, H.B. The role of 0–2 mm fine recycled concrete aggregate on the compressive and splitting tensile strengths of recycled concrete aggregate concrete. Mater. Des. 2014, 64, 345–354. [Google Scholar] [CrossRef]
- Graybeal, B.; Lwin, M.M. Lightweight concrete in highway infrastructure. ASPIRE Spring 2013, 3, 44–45. [Google Scholar]
- Wongkvanklom, A.; Posi, P.; Khotsopha, B.; Ketmala, C.; Pluemsud, N.; Lertnimoolchai, S.; Chindaprasirt, P. Structural lightweight concrete containing recycled lightweight concrete aggregate. KSCE J. Civ. Eng. 2018, 22, 3077–3084. [Google Scholar] [CrossRef]
- Chung, S.-Y.; Abd Elrahman, M.; Stephan, D.; Kamm, P.H. The influence of different concrete additions on the properties of lightweight concrete evaluated using experimental and numerical approaches. Constr. Build. Mater. 2018, 189, 314–322. [Google Scholar] [CrossRef]
- Shah, M.I.; Memon, S.A.; Khan Niazi, M.S.; Amin, M.N.; Aslam, F.; Javed, M.F. Machine Learning-Based Modeling with Optimization Algorithm for Predicting Mechanical Properties of Sustainable Concrete. Adv. Civ. Eng. 2021, 2021, 6682283. [Google Scholar] [CrossRef]
- Khademi, F.; Akbari, M.; Nikoo, M. Displacement determination of concrete reinforcement building using data-driven models. Int. J. Sustain. Built Environ. 2017, 6, 400–411. [Google Scholar] [CrossRef]
- Mohamed, O.A.; Ati, M.; Najm, O.F. Predicting Compressive Strength of Sustainable Self-Consolidating Concrete Using Random Forest. In Key Engineering Materials; Trans Tech Publications Ltd.: Zurich, Switzerland, 2017; pp. 141–145. [Google Scholar]
- Tasdemir, C.; Sengul, O.; Tasdemir, M.A. A comparative study on the thermal conductivities and mechanical properties of lightweight concretes. Energy Build. 2017, 151, 469–475. [Google Scholar] [CrossRef]
- Khan, R.B.N.; Khitab, A. Enhancing Physical, Mechanical and Thermal Properties of Rubberized Concrete. Eng. Technol. Q. Rev. 2020, 3, 33–45. [Google Scholar]









| Run No. | Coded Value | Real Value | FC-CCD Division | ||
|---|---|---|---|---|---|
| Replaced CA (%) | Time (Days) | ||||
| 1 | −1 | −1 | 10 | 7 | Factorial points (2n) |
| 2 | 1 | −1 | 100 | 7 | |
| 3 | −1 | 1 | 10 | 28 | |
| 4 | 1 | 1 | 100 | 28 | |
| 5 | 1 | 0 | 10 | 17 | Axial points (2n) |
| 6 | −1 | 0 | 100 | 17 | |
| 7 | 0 | −1 | 55 | 7 | |
| 8 | 0 | 1 | 55 | 28 | |
| 9 | 0 | 0 | 55 | 17 | Centre points |
| Item | Second Polynomial Equations and Statistical Parameters | |||||
|---|---|---|---|---|---|---|
| TC | R = 0.995 | R2 = 0.9906 | 0.9839 | 0.905 | Adeq. Precision 41.028 | RMSE 0.011 |
| Density | R = 0.999 | R2 = 0.9986 | 0.997 | 0.986 | Adeq. Precision 104.47 | RMSE 6.652 |
| Item | TC | Density | ||||
|---|---|---|---|---|---|---|
| p-Value | F-Value | Sig. | p-Value | F-Value | Sig. | |
| Model 1 | <0.0001 | 147.47 | Y | <0.0001 | 994.33 | Y |
| do | <0.0001 | 660.32 | <0.0001 | 2539.3 | ||
| d1 | <0.0001 | 71.25 | 0.0155 | 10.11 | ||
| dod1 | 0.2173 | 1.84 | 0.5679 | 0.359 | ||
| 0.4017 | 0.796 | 0.0042 | 17.31 | |||
| 0.0874 | 3.94 | <0.0001 | 2201.8 | |||
| No. of Solution | CA Content (%) | TC (W/mK) | Density (kg/m3) |
|---|---|---|---|
| 1 | 100 | 0.4376 | 2045 |
| 2 | 93.1 | 0.4617 | 2077 |
| 3 | 90.8 | 0.4698 | 2088 |
| 4 | 82.4 | 0.4991 | 2126 |
| 5 | 68.11 | 0.5474 | 2188 |
| 6 | 53 | 0.5952 | 2246 |
| 7 | 47.6 | 0.6136 | 2268 |
| 8 | 38.26 | 0.643 | 2303 |
| 9 | 20.39 | 0.697 | 2362 |
| 10 | 10 | 0.7271 | 2394 |
| Item (W/kM) | Mathematical Equation and Related Statistical Validation Parameters | ||||||
|---|---|---|---|---|---|---|---|
| TC | Training | RAE = 0.265 | MAE = 0.022 | RMSE = 0.036 | RRSE = 0.334 | R = 0.964 | R2 = 0.93 |
| Validation | RAE = 0.668 | MAE = 0.035 | RMSE = 0.038 | RRSE = 0.609 | R = 0.973 | R2 = 0.946 | |
| Item (W/kM) | Mathematical Equation and Related Statistical Validation Parameters | ||||
|---|---|---|---|---|---|
| TCANN | Training | RASE = 0.0183 | SSE = 0.0050 | Mean Abs. Dev. = 0.0142 | R2 = 0.952 |
| Validation | RASE = 0.0320 | SSE = 0.0051 | Mean Abs. Dev. = 0.0268 | R2 = 0.915 | |
Publisher’s Note: MDPI stays neutral with regard to jurisdictional claims in published maps and institutional affiliations. |
© 2022 by the authors. Licensee MDPI, Basel, Switzerland. This article is an open access article distributed under the terms and conditions of the Creative Commons Attribution (CC BY) license (https://creativecommons.org/licenses/by/4.0/).
Share and Cite
Mhaya, A.M.; Shahidan, S.; Algaifi, H.A.; Zuki, S.S.M.; Benjeddou, O.; Ibrahim, M.H.W.; Huseien, G.F. Thermal Conductivity of Coconut Shell-Incorporated Concrete: A Systematic Assessment via Theory and Experiment. Sustainability 2022, 14, 16167. https://doi.org/10.3390/su142316167
Mhaya AM, Shahidan S, Algaifi HA, Zuki SSM, Benjeddou O, Ibrahim MHW, Huseien GF. Thermal Conductivity of Coconut Shell-Incorporated Concrete: A Systematic Assessment via Theory and Experiment. Sustainability. 2022; 14(23):16167. https://doi.org/10.3390/su142316167
Chicago/Turabian StyleMhaya, Akram M., Shahiron Shahidan, Hassan Amer Algaifi, Sharifah Salwa Mohd Zuki, Omrane Benjeddou, Mohd Haziman Wan Ibrahim, and Ghasan Fahim Huseien. 2022. "Thermal Conductivity of Coconut Shell-Incorporated Concrete: A Systematic Assessment via Theory and Experiment" Sustainability 14, no. 23: 16167. https://doi.org/10.3390/su142316167
APA StyleMhaya, A. M., Shahidan, S., Algaifi, H. A., Zuki, S. S. M., Benjeddou, O., Ibrahim, M. H. W., & Huseien, G. F. (2022). Thermal Conductivity of Coconut Shell-Incorporated Concrete: A Systematic Assessment via Theory and Experiment. Sustainability, 14(23), 16167. https://doi.org/10.3390/su142316167

