Next Article in Journal
Effects of Different Fertilization Methods on Double-Rice Yield and Bacterial Community in Paddy Soil
Next Article in Special Issue
Three-Party Stochastic Evolutionary Game Analysis of Supply Chain Finance Based on Blockchain Technology
Previous Article in Journal
Evolution of Global Crude Oil Trade Network Structure and Resilience
Previous Article in Special Issue
Governmental Anti-Pandemic and Subsidy Strategies for Blockchain-Enabled Food Supply Chains in the Post-Pandemic Era
 
 
Font Type:
Arial Georgia Verdana
Font Size:
Aa Aa Aa
Line Spacing:
Column Width:
Background:
Article

Information Sharing Game and Value Analysis for the Following Enterprise Applications of Blockchain Technology

1
School of Economics and Management, Lanzhou Jiaotong University, Lanzhou 730070, China
2
Northwest Transportation Economics Research Centre, Lanzhou 730070, China
*
Author to whom correspondence should be addressed.
Sustainability 2022, 14(23), 16060; https://doi.org/10.3390/su142316060
Submission received: 17 August 2022 / Revised: 10 October 2022 / Accepted: 16 November 2022 / Published: 1 December 2022
(This article belongs to the Special Issue Blockchain for Sustainable Supply Chains)

Abstract

To address the question of whether small and medium-sized enterprises (SMEs) should follow benchmark companies in establishing a blockchain-based information sharing platform, a two-tier supply chain decision-making problem dominated by retailers and containing two manufacturers of unequal status is analyzed, including the impact on the utility and social welfare of different game players in the supply chain and the supply chain as a whole, taking into account the fact that consumers are sensitive to both price and quality. For this purpose, traditional cooperation models, short-term and long-term models based on blockchain technology for information sharing were constructed and solved, respectively. The findings suggest that in the short term, the establishment of a blockchain technology-based information sharing platform will widen the status gap between manufacturers, making the strong stronger and the weak weaker, with retailers’ profits and social welfare suffering and no change in consumer surplus. In the long term, the quality improvement effect of information sharing will narrow the gap between manufacturers and increase members’ profits, with retailers and the entire supply chain experiencing a significant increase in profits after a short period of time, as well as an increase in consumer surplus and social welfare. In addition, when consumer price sensitivity and quality sensitivity are high, the establishment of a blockchain technology-based information sharing platform is beneficial for the stronger manufacturers, detrimental to the weaker manufacturers, and beneficial for the supply chain in the long term; otherwise, the absence of a blockchain technology-based information sharing platform is beneficial for the weaker manufacturers and the supply chain.

1. Introduction

The development of the digital economy and e-tailing has increased the randomness of consumer demand and requirements for products and services, which requires modern businesses to provide consumers with shorter receipt periods, higher levels of service, and faster response times, all of which rely on the accuracy, reliability, and validity of corporate information. As a result, information sharing along the supply chain is becoming increasingly important [1]. The development of big data technology and network data exchange capabilities has provided favorable conditions for supply chain enterprises to share information, and companies have established supply chain information sharing methods based on EDI, XML, the Internet or data warehouses. However, the above methods have poor risk response capability, data authenticity cannot be guaranteed, and the core enterprises have significant amount of control, which reduces the effectiveness of information sharing among supply chain enterprises.
Blockchain was first proposed by scholar Satoshi Nakamoto, mainly by consensus mechanism using cryptographic algorithms to achieve decentralized design and provide point-to-point transactions on this basis. Blockchain technology can well fit the requirements of supply chain information sharing due to its decentralization, immutability, as well as openness and transparency [2], overcoming the defects of existing information sharing methods and building reliable information transmission methods in a low-cost way, which gradually becomes a new breakthrough point for supply chain information sharing.
In December 2016, the “13th Five-Year Plan” issued by the State Council of China included blockchain technology as a strategic technology for the first time in China’s national development plan. According to the IBM Institute for Business Value (IBV) survey of 202 logistics executives in 16 countries and regions, 14% of respondents are using and investing in blockchain technology, 77% expect to use it in the next 3 years, and 77% of pioneers state that blockchain can help reduce cost, time, and risk in the supply chain [3]. In fact, a number of large enterprises have already applied blockchain technology to the supply chain. For example, Walmart joins major food retailers to build a transparent and traceable food supply chain using IBM blockchain technology, shipping giant Maersk has used blockchain technology to build a global digital trade platform to improve efficiency and transparency in shipping, and China’s Lenovo Group has used blockchain and the supply chain “double-chain fusion” has greatly improved the information sharing and process transparency between suppliers-factories-enterprises, proving that blockchain technology has great value in the supply chain sector.
This paper discusses whether enterprises should establish a blockchain-based information sharing platform, and analyzes the changes in the surplus and social welfare of suppliers, manufacturers, and consumers before and after the establishment of a blockchain-based information sharing platform. In addition, it discusses the value and challenges of blockchain technology for enterprises, and analyzes the decision-making process and related impacts of blockchain technology for enterprises. Furthermore, the paper verifies the application value of blockchain and the conclusions of the paper are presented through a mathematical derivation and actual cases of Walmart.

2. Research Review

2.1. Supply Chain Information Sharing

In order to deal with the problem of information silos in the supply chain, supply chain companies need to be more closely and frequently connected, and an important element of close coordination is information sharing [4]. To this end, scholars at home and abroad have explored information transfer and coordination among different types of supply chain enterprises in the form of contracts. For example, Khan et al. found that the introduction of information sharing in sustainable supply chains can also provide benefits to both buyers and sellers, including increased profits for sellers and lower prices for buyers [5]. Ding and Wang et al. verified that information sharing increases manufacturers’ profits and reduces sellers’ profits and consumer surplus in green supply chains [6]. Backstrand, J and Fredriksson, A proposed that in the construction supply chain, suppliers should be able to act as collectors of information and thus improve the performance of the construction supply chain, rather than only as receivers of information [7]. Xue et al. suggested that information sharing in the construction supply chain is conducive to improving the management and service level of general contractors [8]. Christensen, FMM et al. used a multi-case study approach to analyze how the environmental characteristics of food processors affect the sharing of information between supply chain members [9]. ZHOU et al. studied the mechanism to achieve coordination and information sharing of fresh produce under uncertainty of demand [10]. Safra et al. proposed an integrated production allocation method for apparel supply chains based on information sharing, showing that apparel supply chains based on sales information sharing can result in significant cost savings [11]. In low-carbon supply chains, Yang et al. studied the different information sharing strategies of low-carbon supply chain members in a blockchain scenario and concluded that retailers would decide whether to share information based on opaque information in the marketplace, such as the efficiency of value-added services [12].
In terms of research content, researchers have focused on the impact of vertical information sharing and corresponding strategies under the influence of different scenarios and factors. Cachon demonstrated the value of information sharing in vertical supply chains in terms of costs and benefits [13]. Mittendorf et al. argued that retailer information sharing can, in turn, increase the incentives for manufacturers to bear the costs of increased investment in order to boost retail demand, and therefore the incentives for retailers to share market information exist. Other scholars have incorporated different influencing factors into the vertical supply chain information sharing process, for example, Li and Yi et al. explored strategies for vertical information sharing under stochastic demand by taking into account government subsidies and consumer preferences [14]. Costantino et al. investigated the relationship between information sharing and ordering strategies to address the bullwhip effect of inventory variation [15]. Wu introduced capacity constraints into the information sharing strategy between manufacturers and argued that the price of supply affects the information sharing strategy, while capacity constraints reverse the sharing strategy [1].

2.2. Blockchain in the Supply Chain

The current use of blockchain technology in supply chains is mainly focused on the field of supply chain finance, including mechanism design, application optimization, and technology optimization. Thomas et al. have elaborated on the mechanism design of blockchain technology for supply chain applications [16]. Edvard Tijan et al. provided a comprehensive overview of the application and rising trend of blockchain technology in the supply chain, as well as the possible obstacles in the application of blockchain [17]. Babich et al. argued that blockchain technology has advantages for supply chain operations, but still suffers from the lack of standardization, privacy, and data validity [18]. Chod et al. developed an open-source blockchain protocol that provides supply chain companies with the ability to obtain favorable financing terms at a lower signal cost [19]. Through the study, it was found that blockchain technology has advantages mainly in solving information asymmetry in supply chain finance, enterprise supervision, improving settlement, and clearing efficiency and financial operation risks, etc. For the application of blockchain technology, other aspects of the supply chain are still under research. Kshetri proposed the application of blockchain technology in the supply chain to improve the transparency and accountability among supply chain enterprises [20]. Sily Johny and C. Priyadharsini argued that the application of blockchain technology can provide transparency, authenticity, and confidentiality in the supply chain, which is particularly important in the pharmaceutical supply chain, in the context of increasing risks to the security of IoT data [21]. Further research by Ifeyinwa Juliet Orji et al. identified the availability of specific blockchain tools, infrastructure, government policy, and support as key influences on the adoption of blockchain technology in the freight logistics industry [22]. Lixin Shen et al. argued that blockchain technology can be a good solution to the bottlenecks caused by traditional centralized data storage and can facilitate seamless operations and regulation of port cold chain logistics, but it is a challenging task to incentivize port cold chain companies to adopt blockchain technology [23]. Junjin Wang et al. argued that while blockchain technology has many benefits, such as improved efficiency of port logistics clearance and transparency of shipments, the key to being able to reap these benefits lies in the successful construction and application of blockchain technology, and the key to construction lies in the relationship between the operational costs of blockchain technology and the corresponding benefits [24]. Zhou Xingjian and Li Jizi analyzed the relationship between the power battery recycling supply chain and the characteristics of blockchain, and proposed a new blockchain-based recycling model that is higher than the traditional recycling model [25].
Furthermore, some researchers are cautious about the value of applying blockchain technology, such as Jeong-Han Yoon, who believed that it is difficult for logistics personnel to be clear about the benefits of blockchain, while professional consultants were concerned about the maturity of blockchain applications in the supply chain. Moreover, through the application of blockchain technology in port logistics, economic factors are still the core competitive advantage of port logistics [26].
Therefore, from the perspective that SMEs expect to emulate benchmark companies that have already adopted blockchain technology to establish a blockchain technology-based information sharing platform, this paper develops a game model containing two unequally positioned manufacturers and one dominant retailer. In addition, it discusses the establishment and non-establishment of a blockchain technology-based information sharing platform and the long-term demand, pricing strategy, and revenue distribution after establishment. Furthermore, the paper discusses the situation of consumer surplus and social welfare from a public perspective, thus informing the decision-making of small and medium-sized supply chain members and the public sector.

3. Problem Description and Assumptions

3.1. Blockchain-Based Supply Chain Information Sharing Process

Blockchain has the characteristics of decentralization, smart contracts, as well as transparency and traceability [2], which indicates that the application of blockchain technology can promote transparency and security in the supply of goods and information transfer in the supply chain, and advance the intelligence of product manufacturing and the platform of information sharing [3]. For manufacturers with competitive relationships, the choice to broadcast wholesale product information (wholesale price, quantity, lead time, etc.) to a common blockchain information platform and make it public after establishing a blockchain-based information sharing platform (see Figure 1) indicates that any member of the blockchain consortium will see the information made public by the manufacturer (including its competitors), at which point there is sufficient information in the consortium. Similarly, retailers will choose to upload market demand information from their own forecasts and research as well as their own inventory to the blockchain-based information sharing platform in order to ensure the stability and benefits of the alliance. Each time a manufacturer and retailer uploads information, it forms a block and is assigned a time parameter to ensure the authenticity of the information, and then is used as a basis for information traceability. At the same time, the retailer’s order request and the manufacturer’s shipping action will be automatically executed with the help of blockchain smart contract technology when the established conditions are met, greatly reducing the costs and errors caused by manual execution.

3.2. Description of the Problem

In this paper, we consider the existence of a few suppliers in the industry, i.e., an oligopolistic market. Assume a two-tier supply chain with two unequal manufacturers M 1 and M 2 and a dominant retailer R . The manufacturers compete with each other and supply the retailer at the same time, and consumer demand is influenced by both the quality of the product μ i ( i = 1 , 2 ) and the retailer’s selling price P r . The dominant retailer first determines the order quantity μ i ( i = 1 , 2 ) and selling price P r based on the wholesale market price W i ( i = 1 , 2 ) and consumer demand D r , and then determines different order quantities from the two manufacturers based on their preferences r ( r 1 ). The two manufacturers will determine the wholesale price based on the intensity of competition between competitors σ and the order quantity D i of sellers, respectively, and make a maximum profit. In order to coordinate the supply chain members and reduce costs and increase revenue, the traditional model without blockchain technology (N model) and the model with blockchain technology (B model) are formed based on the retailers’ decision whether to adopt blockchain technology to establish an information sharing platform (see Figure 2).
Model N: The traditional supply chain model of no information sharing between the retailer and the two manufacturers, where information on wholesale prices, demand, and delivery times is opaque, and the closure of information makes the two manufacturers work separately with the retailer using a decentralized decision-making model, where wholesale prices are negotiated and set separately between the manufacturer and the retailer, where the retailer wholesales products of quality μ 1 and μ 2 from the manufacturer at wholesale prices W 1 and W 2 , respectively, and where there is competition between manufacturers on both wholesale prices and product quality.
Model B: A blockchain technology-based information sharing platform is established between the retailer and the two manufacturers to share information, such as wholesale prices and inventory. With transparent information, the two manufacturers, as oligarchs, need to conspire to specify a uniform wholesale price to avoid falling into a vicious price competition, when the price is the same, W 1 = W 2 = W , the quality and price competition between manufacturers turns into a single quality competition, and the retailer wholesales products of quality μ 1 and μ 2 from manufacturers M 1 and M 2 at wholesale prices W , but manufacturers with poorer quality will suffer in terms of wholesale volume under the retailer’s quality preference.

3.3. Basic Assumptions

(a)
Retailers have different base preferences r for the two manufacturers. These preferences are based on a number of historical transactions between the retailer and the manufacturer, and are increased by smooth communication between the two parties, pleasant transactions, early delivery and payment, and represent the basis of cooperation between the retailer and the manufacturer and the established trust and transaction base. This indicates that despite slight differences in quality and price between the two manufacturers, it is possible to choose to work with a manufacturer of slightly lower quality (or slightly higher price), but with a certain trading base, if there is little deviation in quality and price. In general, this preference is reflected in supplier management in the form of a hierarchy of suppliers.
(b)
With the establishment of a blockchain-based information sharing platform, information transparency allows for the convergence of the two oligopolies of wholesale prices. In an oligopolistic market where there are only two competing manufacturers, the price of products is the same but there is a certain difference in quality. Although one party can lower its price to obtain a larger wholesale volume, after the establishment of a blockchain-based information sharing platform, the wholesale price of products is transparent and the other party is forced to follow the pressure of competition and survival to choose to lower the price, thus it may fall into a vicious circle of price wars. The best response is for both competing parties to stabilize their products at a suitable price through an unwritten agreement, and to move away from price as a form of competition and toward quality, brand, and service [27].
(c)
For the cost-sharing problem of establishing the information sharing platform, according to the general accounting cost-sharing principle of “Who uses who bear, who benefits who bear” [28], the retailer, as the supply chain leader, and the manufacturer each bear half of the construction cost 1 2 C B , and the construction cost is shared between the manufacturers according to the number of first wholesale products. The number of first wholesale products is related to the retailer’s initial preference for the manufacturer, thus the blockchain construction costs for both manufacturers can be expressed as 1 2 r C B and 1 2 ( 1 r ) C B . To ensure the security of key information about the business, manufacturers only share order information, including price, quantity, delivery and lead times, and retailers only share inventory information and order requirements.
(d)
The retailer determines the order quantity based on its own forecast of market demand and is influenced by the manufacturer’s quality, price, and preference for the manufacturer. In response to the problem of the accuracy of the market forecast, the actual order quantity of the retailer fluctuates θ , when the forecast is accurate θ ≠ 0, indicating that the retailer increases the order quantity, and when the forecast is inaccurate θ = 0, the retailer adopts a conservative strategy. In this case, the retailer’s order quantity and the manufacturer’s wholesale quantity can be expressed as [29,30,31]:
D 1 = r [ T ε P r s t 0 + η ( r μ 1 + ( 1 r ) μ 2 ) + θ ] + δ ( μ 1 μ 2 )
D 2 = ( 1 r ) [ T ε P r s t 0 + η ( r μ 1 + ( 1 r ) μ 2 ) + θ ] + δ ( μ 2 μ 1 )
D R = T ε P r s t 0 + η ( r μ 1 + ( 1 r ) μ 2 ) + θ
(e)
The price consumers expect for a good is positively related to the quality of the product and the calculation of social welfare is set as the sum of the surplus of sellers and buyers in the market, excluding government taxes. See Table 1 for a detailed description of the symbols.

4. Traditional Supply Chain Collaboration Model (N Model)

Retailers’ wholesale products of quality μ 1 and μ 2 from M 1 and M 2 at the wholesale price of W 1 and W 2 , respectively, and there is competition between M 1 and M 2 in terms of both quality and price. The profits of the manufacturer and the retailer can be expressed as:
M 1 N = D 1 ( W 1 C 1 t m s ) t f μ 1 2 2
M 2 N = D 2 ( W 2 C 2 t m s ) t f μ 2 2 2
R N = D 1 ( P r s t 0 g r s W 1 ) + D 2 ( P r s t 0 g r s W 2 )
In the traditional supply chain model, the optimal wholesale volumes and prices for manufacturers and maximum sale volumes and prices for the retailer are expressed as:
D 1 = r [ T + η ( r μ 1 + ( 1 r ) μ 2 ) + θ ] 4 + δ ( μ 1 μ 2 ) 4 ε r ( C 1 + t m + g r + 2 s ) 4
D 2 = ( 1 r ) [ T + η ( r μ 1 + ( 1 r ) μ 2 ) + θ ] 4 + δ ( μ 2 μ 1 ) 4 ε ( 1 r ) ( C 2 + t m + g r + 2 s ) 4
D R = T + η ( r μ 1 + ( 1 r ) μ 2 ) + θ 4 ε r C 1 + ε ( 1 r ) C 2 + ε ( t m + g r + 2 s ) 4
W 1 = T + η ( r μ 1 + ( 1 r ) μ 2 ) + θ 2 ε + δ ( μ 1 μ 2 ) 2 ε r + C 1 + t m g r 2
W 2 = T + η ( r μ 1 + ( 1 r ) μ 2 ) + θ 2 ε + δ ( μ 2 μ 1 ) 2 ε ( 1 r ) + C 2 + t m g r 2
P r s t 0 = 3 [ T + η ( r μ 1 + ( 1 r ) μ 2 ) + θ ] 4 ε + r C 1 + ( 1 r ) C 2 + t m + g r + 2 s 4
See Appendix A for proof.

5. Blockchain Technology-Based Information Sharing Platform Model (B Model)

5.1. Blockchain Technology-Based Information Sharing Platform Model Phase 1 (B Model Phase 1)

Traditional supply chains suffer from silos of information and doubtful authenticity. In order to obtain more transparent supply chain information, improve the efficiency of the supply chain and reduce costs, the retailer-led supply chain considers establishing an information sharing platform based on blockchain technology. Under this mechanism, order information is shared among supply chain members, two independent manufacturers in collusion provide a uniform wholesale price as a temporary single entity and cooperate with retailers. Therefore, the retailer wholesales products of quality μ 1 and μ 2 from manufacturers at the same wholesale price, and there is a competition between the manufacturers only for quality. In the short term, wholesale volumes of lower quality manufacturers are affected, then expressed as:
D 1 = r [ T ε P r s t 1 + η ( r μ 1 + ( 1 r ) μ 2 ) + θ ] + δ ( μ 1 μ 2 )
D 2 = ( 1 r ) [ T ε P r s t 1 + η ( r μ 1 + ( 1 r ) μ 2 ) + θ ] + δ ( μ 2 μ 1 )
Therefore, the retailer’s sales function can be expressed as:
D R = T ε P r s t 1 + η ( r μ 1 + ( 1 r ) μ 2 ) + θ
The profits of the manufacturers and the retailer R are then expressed as:
M 1 B 1 = D 1 ( W C 1 t m s ) t f μ 1 2 2 1 2 r C B
M 2 B 1 = D 2 ( W C 2 t m s ) t f μ 2 2 2 1 2 ( 1 r ) C B
R B 1 = D R ( P r s t 1 g r s W ) 1 2 C B
In order to simplify the transaction process between supply chain members and reduce transaction costs, the retailer-led supply chain considers building an information sharing platform based on blockchain technology to unify wholesale prices. After considering the blockchain construction costs, the optimal wholesale volumes and prices for the manufacturers and the maximum sale volumes and prices for the retailer are expressed as:
D 1 = Δ r 4 ε r 4 [ r C 1 + ( 1 r ) C 2 + t m + g r + 2 s ] + δ ( μ 1 μ 2 )
D 2 = Δ ( 1 r ) 4 ε ( 1 r ) 4 [ r C 1 + ( 1 r ) C 2 + t m + g r + 2 s ] + δ ( μ 2 μ 1 )
D R = Δ 4 ε 4 [ r C 1 + ( 1 r ) C 2 + t m + g r + 2 s ]
W = t m g r + r C 1 + ( 1 r ) C 2 2 + T + η ( r μ 1 + ( 1 r ) μ 2 ) + θ 2 ε
P r s t 1 = g r + 2 s + t m + r C 1 + ( 1 r ) C 2 4 + 3 [ T + η ( r μ 1 + ( 1 r ) μ 2 ) + θ ] 4 ε
where Δ = T + η ( r μ 1 + ( 1 r ) μ 2 ) + θ .
See Appendix A for proof.

5.2. Blockchain Technology-Based Information Sharing Platform Model Phase 2 (B Model Phase 2)

As there is competition between the manufacturers for quality only, consider that sellers will prefer the better quality manufacturer and reduce the purchase of products from the poorer quality manufacturer. Therefore, both manufacturers intend to gain a larger market by improving quality, and the lower quality manufacturer will invest more in improving quality in order not to be eliminated from the market. At this point, the retailer wholesales products of the quality of ( 1 + λ 1 ) μ 1 and ( 1 + λ 2 ) μ 2 from M 1 and M 2 at the same wholesale price.
In this case, the wholesale volumes of the two manufacturers and the maximum sale volumes of the retailer are expressed as:
D 1 = r [ T ε P r s t 1 + η ( r ( 1 + λ 1 ) μ 1 + ( 1 r ) ( 1 + λ 2 ) μ 2 ) + θ ] + δ ( ( 1 + λ 1 ) μ 1 ( 1 + λ 2 ) μ 2 )
D 2 = ( 1 r ) [ T ε P r s t 1 + η ( r ( 1 + λ 1 ) μ 1 + ( 1 r ) ( 1 + λ 2 ) μ 2 ) + θ ] + δ ( ( 1 + λ 2 ) μ 2 ( 1 + λ 1 ) μ 1 )
D R = T ε P r s t 1 + η ( r ( 1 + λ 1 ) μ 1 + ( 1 r ) ( 1 + λ 2 ) μ 2 ) + θ
The profits of the manufacturer and the retailer are then expressed as:
M 1 B 2 = D 1 ( W C 1 t m s ) t f ( 1 + λ 1 ) 2 μ 1 2 2
M 2 B 2 = D 2 ( W C 2 t m s ) t f ( 1 + λ 2 ) 2 μ 2 2 2
R B 2 = D R ( P r s t 2 g r s W )
After the two manufacturers have each improved the quality of their products, the optimal wholesale volumes and prices for the manufacturers and the maximum sale volumes and prices for the retailer are expressed as:
D 1 = r 2 [ T + η ( r ( 1 + λ 1 ) μ 1 + ( 1 r ) ( 1 + λ 2 ) μ 2 ) + θ ε ( g r + s + W ) ] + δ ( ( 1 + λ 1 ) μ 1 ( 1 + λ 2 ) μ 2 )
D 2 = 1 r 2 [ T + η ( r ( 1 + λ 1 ) μ 1 + ( 1 r ) ( 1 + λ 2 ) μ 2 ) + θ ε ( g r + s + W ) ] + δ ( ( 1 + λ 2 ) μ 2 ( 1 + λ 1 ) μ 1 )
D R = 1 2 [ T + η ( r ( 1 + λ 1 ) μ 1 + ( 1 r ) ( 1 + λ 2 ) μ 2 ) + θ ε ( g r + s + W ) ]
W = t m g r + r C 1 + ( 1 r ) C 2 2 + T + η ( r ( 1 + λ 1 ) μ 1 + ( 1 r ) ( 1 + λ 2 ) μ 2 ) + θ 2 ε
P r s t 2 = g r + 2 s + t m + r C 1 + ( 1 r ) C 2 4 + 3 [ T + η ( r ( 1 + λ 1 ) μ 1 + ( 1 r ) ( 1 + λ 2 ) μ 2 ) + θ ] 4 ε
See Appendix A for proof.

6. Consumer Surplus and Social Welfare

Consumer surplus U (shaded in Figure 3) is the difference between a consumer’s desired price P c for a given quantity of goods and the actual price P r of goods. Although it is not an increase in the consumer’s income, this positive psychological feeling can play an important role in increasing consumer satisfaction and happiness.

6.1. Consumer Surplus in the Traditional Supply Chain Information Collaboration Model

Based on the conclusions in Section 4 we can obtain the total market demand and the actual selling price of the commodity under the traditional supply chain information collaboration model as Equations (9) and (12), respectively. In addition, to obtain a clearer picture of the demand function, the total market demand can be expressed as a function of the actual selling price in the market, as follows:
D R N = T + η ( r μ 1 + ( 1 r ) μ 2 ) + θ ε P r s t 0
Therefore, the consumer’s desired price can be expressed as:
P c N = T + η ( r μ 1 + ( 1 r ) μ 2 ) + θ ε
Ultimately, the consumer surplus for the current demand situation can be obtained as follows:
U N = 1 2 ( P c P r s t 0 ) D R
U N = ε 2 ( [ T + η ( r μ 1 + ( 1 r ) μ 2 ) + θ ] 4 ε r C 1 + ( 1 r ) C 2 + t m + g r + 2 s 4 ) 2
See Appendix A for proof.

6.2. Consumer Surplus in the First Phase of Model B

At this stage, it is clear from the previous conclusions that the total market demand and the market selling price are the same for the traditional model and the first stage of the B model; therefore, their consumer surplus is the same. Following the conclusions in Section 5.1, the consumer surplus at the time when the blockchain technology-based information sharing platform is first established can be obtained, and the total market demand at that stage can be expressed as:
D R B 1 = T + η ( r μ 1 + ( 1 r ) μ 2 ) + θ ε P r s t 1
The expected consumer price under this stage can be expressed as:
P c B 1 = T + η ( r μ 1 + ( 1 r ) μ 2 ) + θ ε
Similarly, the consumer surplus in the current model can be expressed by the difference between the desired price and the actual price paid, as follows:
U B 1 = ε 2 ( [ T + η ( r μ 1 + ( 1 r ) μ 2 ) + θ ] 4 ε r C 1 + ( 1 r ) C 2 + t m + g r + 2 s 4 ) 2
See Appendix A for proof.

6.3. Consumer Surplus in the Second Stage of Model B

In the second stage of Model B, the total market demand and the selling price change, corresponding to a change in consumer surplus. The specific changes can be obtained from the conclusions in Section 5.2, where Equations (47) and (49) provide the total market demand expressed in terms of market selling prices, as follows:
D R B 2 = T + η [ r ( 1 + λ 1 ) μ 1 + ( 1 r ) ( 1 + λ 2 ) μ 2 ] + θ ε P r s t 2
Similarly to Section 6.1, the desired price for the consumer can be obtained as:
P c B 2 = T + η [ r ( 1 + λ 1 ) μ 1 + ( 1 r ) ( 1 + λ 2 ) μ 2 ] + θ ε
The final consumer surplus that can be obtained for the second stage of Model B is expressed as:
U B 2 = ε 2 ( T + η [ r ( 1 + λ 1 ) μ 1 + ( 1 r ) ( 1 + λ 2 ) μ 2 ] + θ 4 ε r C 1 + ( 1 r ) C 2 + t m + g r + 2 s 4 ) 2
See Appendix A for proof.

6.4. Representation of Social Welfare

Based on the above findings, calculations are made for different models and for different stages of the same model to obtain a picture of changes in social welfare. Social benefits under the traditional model are expressed as:
Γ N = D 1 ( P r s t 0 g r s W 1 ) + D 2 ( P r s t 0 g r s W 2 ) + 1 2 ( P c P r s t 0 ) D R
The social benefits in the first phase of Model B are expressed as:
Γ B 1 = D R ( P r s t 1 g r s W ) 1 2 C B + 1 2 ( P c P r s t 1 ) D R
The social benefits in Phase 2 of Model B are expressed as:
Γ B 2 = D R ( P r s t 2 g r s W ) + 1 2 ( P c P r s t 2 ) D R

7. The Impact of Blockchain Technology on Supply Chain Pricing Decisions and Its Value Analysis

Proposition 1.
With the establishment of an information sharing platform, manufacturers’ order volumes are affected, with higher and lower quality increasing and decreasing order volumes, respectively. As retailers are quality-sensitive, manufacturers with better quality will receive more orders and manufacturers with poorer quality will have fewer orders in the case of a flat price.
Proposition 2.
With the establishment of an information sharing platform, the total market demand will remain the same without any quality or promotional efforts by the manufacturer. This will all change the wholesale volume due to the change in retailer preference for different manufacturers, i.e., the change in order allocation between the two manufacturers.
Proposition 3.
With the establishment of the information sharing platform, the retailer’s selling price remains the same, but the new wholesale price will be lower than the better quality manufacturer’s wholesale price and higher than the poorer quality manufacturer’s wholesale price, i.e., the new wholesale price lies between the original two wholesale prices.
Proposition 4.
The establishment of an information sharing platform does not lead to an increase in total retailer profits in the short term, but rather to a decrease in retailer profits. The reason is that with information transparency, retailer will choose to wholesale products from higher quality manufacturers at the same price, even though this indicates higher wholesale prices and costs, which will also reduce their net profits. At the same time, with retailers’ quality preferences, the profits of better quality manufacturers increase while those of poorer quality manufacturers decrease. The reason is that retailers prefer better quality products, which results in more orders for higher quality manufacturers.
Proposition 5.
After the establishment of the information sharing platform, the demand of the manufacturer M 1 before and after the quality improvement is equal when λ 1 λ 2 = μ 2 μ 1 ( 1 η r η r 2 + 2 δ ) , and the demand of the manufacturer M 2 before and after the quality improvement is equal when λ 1 λ 2 = μ 2 μ 1 2 δ + η ( 1 r ) 2 2 δ η r ( 1 r ) . However, for total demand, the manufacturer’s quality improvement always results in an increase in total market demand.
Proposition 6.
When the level of competition among manufacturers is more intense, manufacturers will choose to improve the quality of their own products, while wholesale prices and retailer selling prices will increase slightly, with the magnitude of the increase being closely related to the manufacturer’s quality improvement efforts.
Proposition 7.
The profit profile of manufacturers is positively correlated with their quality and effort, and the distribution of profits between manufacturers is significantly and positively correlated with their effort. Although the initial quality of the manufacturer M 1 may be higher than the manufacturer M 2 , the profits of M 2 may exceed those of M 1 in the second stage after the quality effort is exerted, thus turning the dominant position of M 2 into a disadvantageous one. Since the manufacturer’s quality effort is beneficial for the retailer, the retailer’s profits always increase.
Namely, Π M 1 B 2 = Π M 1 B 1 when μ 1 2 = r C B λ 1 ( λ 1 + 1 ) and δ = 0 . In addition, Π M 2 B 2 = Π M 2 B 1 , when μ 1 2 = ( 1 r ) C B λ 2 ( λ 2 + 2 ) and δ = 0 , Π R B 2 is always greater than Π R B 1 .
Proposition 8.
At the beginning of building an information sharing platform based on blockchain technology, the consumer surplus of those who buy these products does not change since the costs and risks associated with the establishment of the blockchain-based information sharing platform are shared by the manufacturers; however, social welfare is lower than in the traditional model since the seller’s profit is compromised by the increase in wholesale costs. When the quality improvement effect of the producer kicks in, the product quality and retailer profits are simultaneously increased, which leads to a simultaneous increase in consumer surplus and social welfare.

8. Numerical Analysis

The following example analyzes the demand and profitability of two manufacturers and a retailer with or without a blockchain-based information sharing platform, and follows the quality and price sensitive changes of consumers. When η = 1 , ε = 2 , the maximum market size is assumed to be 500, let C 1 = 120 , C 2 = 100 , C B = 500 , g r = t m = s = 1 , t f = 10 , r = 0.6 , λ 1 = 0.2 , λ 2 = 0.4 , σ = 10 , θ = 5 , μ 1 and μ 2 are 0.9 and 0.8, respectively.
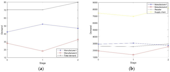
In Figure 4a, it can be seen that when the information sharing platform is first established, the retailer will prefer to wholesale products from the better quality manufacturer and the status gap between the two manufacturers intensifies. After a period of establishment, the status gap between the manufacturers will narrow due to their quality efforts and the total demand for that supply chain will expand, contributing to the increase in supply chain revenue. In Figure 4b, it can be seen that the establishment of an information sharing platform will have little impact on the retailer’s profit, but will cause the stronger manufacturer to be stronger and the weaker manufacturer to be weaker. With fierce competition and quality efforts, the weaker manufacturer will gradually regain its original supply chain position and may grab the manufacturer’s dominant position over time. In addition, there is a slight loss of profit for the retailer as the cost of quality improvement for the manufacturer is passed on to the retailer, but this change is beneficial for both the manufacturer and the entire supply chain.
When the quality and price sensitivity of consumers are not fixed, it can be seen in Figure 5a that the demand will not change for the whole supply chain with or without the establishment of a blockchain-based information sharing platform. However, in the long term, the establishment of the blockchain will provide competitive pressure to manufacturers, which will promote manufacturers’ efforts to improve quality and eventually increase the total demand. In Figure 5b, it can be seen that when consumer price sensitivity is negative and has a large value, manufacturer M 1 will gain more demand without information sharing, and when price is insensitive or positive, information sharing is the dominant strategy and quality has less impact on demand. In Figure 5c, it can be seen that for manufacturer M 2 , not sharing information is the dominant strategy only when consumers are extremely price sensitive to the product; otherwise, information sharing is the optimal strategy.
Figure 6a shows that when consumers are less influenced by price and quality (e.g., durable goods), no information sharing can maximize supply chain profits, while when price and quality are extremely sensitive and reversed, information sharing can only contribute to maximizing supply chain profits. Figure 6b shows that for the stronger manufacturer, information sharing is the preferred strategy in both the long and short term, as long as consumers are price and quality sensitive. Figure 6c shows that for weaker manufacturers, sharing information maximizes profits when consumers are less price and quality sensitive; otherwise, choosing not to share information is the preferred strategy.
With regard to consumer surplus and social welfare, it can be seen in Figure 6a that the establishment of a blockchain technology-based information sharing platform does not lead to changes in sales prices and market demand for consumers, but only changes the situation of members within the supply chain; therefore, consumer surplus is constant. With the establishment of a blockchain technology-based information sharing platform, the quality improvement resulting from the quality improvement effect will significantly increase the maximum acceptable price for consumers and cause an increase in market demand, ultimately enhancing consumer surplus. As can be seen in Figure 7b, in the first stage of Model B, with no change in consumer surplus, social welfare is also lost due to the reduction in retailer profits. However, in the second stage of Model B, consumer surplus and retailer profits are simultaneously increased, resulting in a significant increase in social welfare.

9. Discussion

In response to the increasing number of applications of blockchain technology in the supply chain, especially the successful application of blockchain technology by large benchmark companies, it has become a difficult decision for SMEs whether to follow the benchmark companies to establish or participate in the construction of a supply chain information sharing platform based on blockchain technology. On the basis of this background, this paper discusses the possibility and value of following benchmark companies in terms of the short-term and long-term value of establishing a blockchain technology-based information sharing platform, taking into account the price and quality sensitivity of consumers. Moreover, it considers the changes in consumer surplus and social welfare under different models from the perspective of consumers, in order to inform the decisions of producers, sellers, consumers, and governments. The main findings can be presented in the following ways:
In the short term: (1) The establishment of a blockchain-based information sharing platform will change the volume of orders from the retailer to both manufacturers, widening the gap between the positions of manufacturers, resulting in the stronger being stronger and the weaker being weaker. (2) Whether or not a blockchain-based information sharing platform is established will have little impact on the total demand in the supply chain, but will only change the power comparison and benefit distribution among manufacturers within the supply chain. (3) After the establishment of a blockchain-based information sharing platform, the new average price will be lower than the original wholesale price of the higher quality manufacturer and higher than the wholesale price of the lower quality manufacturer, i.e., somewhere in between. At the same time, as the retailer obtains more products at higher wholesale prices from manufacturers with higher quality products, the profits of the stronger manufacturers increase and the profits of the weaker manufacturers decrease significantly after the establishment of the blockchain technology-based information sharing platform, while the profits of retailer will decrease.
In the long term: (1) The quality effort effect resulting from information transparency after the establishment of a blockchain technology-based information sharing platform will narrow the demand gap between manufacturers and have a significant increase to the demand of the entire supply chain. (2) The establishment of a blockchain technology-based information sharing platform will significantly improve the quality of supply chain products, which will affect the profitability of retailers for a certain period of time, but will be beneficial for all manufacturers and the profitability of the entire supply chain. In addition, it will increase the profitability of retailers after a certain period of time.
From the perspective of consumers and society: (1) The establishment of a blockchain-based information sharing platform or not has no impact on consumer surplus, as it only leads to the distribution of benefits within the supply chain. However, the quality improvement effect resulting from the blockchain-based information sharing platform can promote manufacturers to improve product quality, thus indirectly increasing consumer surplus. (2) In a two-tier supply chain dominated by retailers, the establishment of a blockchain technology-based information sharing platform will have an adverse impact on social welfare since it will affect the profits of retailers without increasing consumer surplus. However, in the long term, the establishment of a blockchain technology-based information sharing platform will improve the profits of retailers and consumer surplus, which will greatly improve the total social welfare and has certain social significance and value.
Based on the findings in this paper, the following insights can be drawn for supply chain members and government decision-making.
  • For manufacturers.
When its own strength is stronger than its competitors and consumers are more sensitive to the price and quality of products, it is advantageous to establish a blockchain-based information sharing platform. Although it may affect the wholesale volume in the short term, it is more profitable than other models in the long term. When its own strength is weaker than its competitors and consumers are relatively less sensitive to price and quality, it is advantageous to choose to establish a blockchain-based information sharing platform. Meanwhile, when consumers are more price and quality sensitive, it is a better decision not to share information.
  • For retailers.
The establishment of an information sharing platform based on blockchain technology can significantly increase the total market demand and is a better decision. With consumers’ sensitivity to both price and quality, the total market demand and their own profits will be adversely affected in the short term, but beneficial in the long term.
  • For the supply chain.
The only optimal model is not to establish an information sharing platform based on blockchain technology when consumers are insensitive to both price and quality. Otherwise, after a short period of time, supply chain members will experience a significant increase in market demand and profit from the quality effort effect resulting from information sharing.
  • For consumers and governments.
The establishment of a blockchain technology-based information sharing platform by a consortium of producers and sellers can significantly improve the quality of products with a slight increase in price; therefore, it is beneficial for consumers within an acceptable range of price changes. Moreover, the establishment of a blockchain technology-based information sharing platform by supply chain members can be beneficial for both sellers and consumers, and can significantly increase social welfare. Therefore, the government can provide sellers with certain policy tilts, such as subsidies and tax incentives, to promote the development of the industry.

10. Conclusions

Through mathematical analysis and validation of whether companies in a two-tier supply chain should establish an information sharing platform based on blockchain technology, we have identified the benefits and challenges for companies to apply blockchain technology, and validated them in the blockchain technology-based food supply chain established by Walmart.

10.1. Cost Reduction

In addition to the costs of raw materials and sales, there are costs associated with ancillary services, such as inventory, research and development, fulfillment and transaction costs. Through the analysis of this paper, it is found that when enterprises establish an information sharing platform based on blockchain technology, the resulting real-time sharing of inventory information can allow for the execution of a small batch and high frequency replenishment plan by retailers as well as a replenishment of inventory in a timely manner, thus effectively reducing inventory occupancy and inventory costs. Moreover, smart contracts based on blockchain technology can help in the establishment of conditional and automatic execution contracts by manufacturers and retailers, which are extremely effective in the execution of replenishment and ordering plans of enterprises, as they can automatically send order requests to higher-level suppliers when the enterprise’s product or material inventory falls below a certain threshold, thus avoiding out-of-stock problems caused by untimely orders and avoiding the out-of-stock costs while reducing transaction costs. Finally, the communication between enterprises is not timely, the information exchange is not smooth nor is the information true, which often provides higher fulfillment and communication costs for enterprises, and even causes enterprises to suffer great loss due to false information. This ensures the authenticity and timeliness of information transmission, reduces communication costs, and avoids unnecessary losses.

10.2. Efficiency Improvement

In the transmission of logistics, capital flow, and information flow between supply chain enterprises, information flow is the key to coordinating inter-enterprise communication and cooperation and improving operational efficiency. In inter-enterprise communication, enterprises often miss business opportunities or experience delays in strategy implementation due to untimely communication or delayed information feedback. Blockchain technology helps in the establishment of 24/7 information sharing platform by companies, enabling real-time information sharing between manufacturers and retailers, which can significantly reduce barriers to inter-company communication and improve the efficiency of communication and strategy execution. Smart contract technology can automate a significant amount of the work, reducing errors and delays caused by manual execution, and reducing the need for requests, approvals, and feedback; therefore, improving the efficiency of business operations.

10.3. Increase the Stickiness of Cooperation

Despite the fact that companies can establish cooperative relationships with each other and that cooperation can significantly increase the benefits of their members, the nature of competition between companies can still influence the deepening of partnerships. On the one hand, enterprises need to share part of their information and resources to maintain the partnership. On the other hand, they may choose to conceal some information or pass on false information to gain an advantageous position and more bargaining chips in the cooperation; therefore, there is a mutual game relationship. One of the main features of blockchain technology is that it helps in the establishment of a consensus among multiple parties by means of a super ledger, while the setting of timestamps enables the tracing of information, thus ensuring the authenticity of the information passed between enterprises. Authentic information can significantly enhance trust between companies, thus helping them in building closer relationships. In addition, real-time information sharing can reduce the information silo effect caused by incomplete information transmission between enterprises and promote communication and contact between enterprises, thus increasing the stickiness between enterprises and facilitating the establishment of closer partnerships.

10.4. Walmart Food Supply Chain and Blockchain

In the food supply chain, there have been many food safety issues due to mismanagement or excessive pursuit of profit, such as the European food labeling fraud in 2013 [32] and the contaminated egg scandal in EU countries [33], making food quality and safety a major concern for consumers. As a result, traceability of the origin and production process of food products has become the most pressing requirement of the food supply chain. Food distribution is one of Walmart’s leading businesses and in the context of the growing Chinese market, Walmart and IBM have joined forces with Chinese online retail giant Jingdong to establish a blockchain-based food safety alliance to ensure food safety and transportation tracking, which includes two pilot projects, Pork Safety in China and Mango Safety in the US.
In both pilots, Walmart, as the leading food supply chain player, requires its upstream pork or mango suppliers to set up data collection systems, including electronic data tags and RFID, to match the blockchain information sharing platform. As the initiator and leader of the blockchain platform, Walmart will bear the majority of the construction costs, while its upstream suppliers will bear the infrastructure upgrade costs.
In the short term, Walmart has found that the costs it invests in the blockchain are greater than the benefits of the blockchain, which indicates that Walmart will have to bear significant upfront construction costs and a longer payback period. For Walmart’s pork or mango suppliers, until the positive market effects of improved food safety and quality result from the blockchain, there will be no significant change in the supplier market demand, but only a change in supply due to a change in Walmart’s attitude toward suppliers. This will be influenced by whether or not the pork or mango suppliers are willing to cooperate with Walmart in building the blockchain platform.
When the food safety and quality improvements resulting from the blockchain technology are perceived and accepted by consumers, the demand for pork and mangoes at Walmart will be significantly increased, which will not only provide positive benefits and reputation enhancement to Walmart, but also a significant profit increase to the upstream pork or mango suppliers of Walmart. In terms of consumers and society, the improvement in food quality and safety will also provide consumers with greater peace of mind and positive psychological perceptions of food consumption, reducing the negative social impact of food safety issues, which will have a significant impact on consumer surplus and social welfare. Therefore, for Walmart, the best strategy is to build a blockchain information platform to gain long-term benefits and build consumer trust. For suppliers, the additional short-term investment can provide long-term profits; therefore, it is the best choice to participate in the joint construction of a blockchain information platform if they can afford the short-term cost increase.
This article discusses the issue of whether enterprises should establish blockchain-based information sharing platforms in the context of the establishment of information sharing platforms based on blockchain technology by benchmarking enterprises, and the changes in social welfare from the perspectives of supply chain and society, respectively. Moreover, the paper uses Walmart’s blockchain-based food supply chain to validate the findings of the article, which can provide some reference for the formulation and implementation of corporate strategies, as well as government decisions. However, this paper only considers the game situation of the two-level supply chain, and does not take into account the incentive policies already implemented by the government to analyze the specific impact of government subsidies on the decision making of supply chain members.

Author Contributions

Conceptualization, H.L. and J.P.; modeling, J.P.; software, H.L.; validation, J.P.; writing—original draft preparation, J.P.; writing—review and editing, H.L.; supervision, H.L.; project administration, H.L. All authors have read and agreed to the published version of the manuscript.

Funding

This research was funded by the National Natural Science Foundation, China (No. 52062026); Humanities and Social Science Project of Ministry of Education, China (No. 15YJCZH107); and Lanzhou Jiaotong University-Tianjin University Joint Innovation Fund Project (No. 2022070).

Informed Consent Statement

Not applicable.

Data Availability Statement

Not applicable.

Conflicts of Interest

The authors declare no conflict of interest.

Appendix A

Proof for N model. 
Consider that the retailer’s profit consists of two components, the profit generated by the wholesale volume of manufacturers M 1 and M 2 , respectively. Calculate the inverse function of P r s t 0 with respect to D 1 and D 2 for Equations (1) and (2), respectively, and take the derivation of D 1 and D 2 to yield:
D 1 = r [ T + η ( r μ 1 + ( 1 r ) μ 2 ) + θ ] 2 + δ ( μ 1 μ 2 ) 2 ε r ( g r + s + W 1 ) 2 D 2 = ( 1 r ) [ T + η ( r μ 1 + ( 1 r ) μ 2 ) + θ ] 2 + δ ( μ 2 μ 1 ) 2 ε ( 1 r ) ( g r + s + W 2 ) 2
Substituting Equation (A1) into Equations (4) and (5), letting M 1 N W 1 = 0 and M 2 N W 2 = 0 yields:
W 1 * = T + η ( r μ 1 + ( 1 r ) μ 2 ) + θ 2 ε + δ ( μ 1 μ 2 ) 2 ε r + C 1 + t m g r 2 W 2 * = T + η ( r μ 1 + ( 1 r ) μ 2 ) + θ 2 ε + δ ( μ 2 μ 1 ) 2 ε ( 1 r ) + C 2 + t m g r 2
Substitute Equation (A2) into Equation (A1) to solve for D 1 and D 2 to yield:
D 1 * = r [ T + η ( r μ 1 + ( 1 r ) μ 2 ) + θ ] 4 + δ ( μ 1 μ 2 ) 4 ε r ( C 1 + t m + g r + 2 s ) 4 D 2 * = ( 1 r ) [ T + η ( r μ 1 + ( 1 r ) μ 2 ) + θ ] 4 + δ ( μ 2 μ 1 ) 4 ε ( 1 r ) ( C 2 + t m + g r + 2 s ) 4
From D R = D 1 + D 2 , we know the following:
D R = T + η ( r μ 1 + ( 1 r ) μ 2 ) + θ 4 ε r C 1 + ε ( 1 r ) C 2 + ε ( t m + g r + 2 s ) 4
As well as the following:
D R = T ε P r s t 0 + η ( r μ 1 + ( 1 r ) μ 2 ) + θ
Ultimately, the following can be found:
P r s t 0 * = 3 [ T + η ( r μ 1 + ( 1 r ) μ 2 ) + θ ] 4 ε + r C 1 + ( 1 r ) C 2 + t m + g r + 2 s 4
Proof for B Model Phase 1. 
The optimum P r s t 1 at which the retailer achieves the maximum profit is obtained when R B 1 P r s t 1 = 0 . For Equation (18), find the derivative function with respect to P r s t 1 , as follows:
P r s t 1 = g r + s + W 2 + T + η ( r μ 1 + ( 1 r ) μ 2 ) + θ 2 ε
From R B 1 2 P r s t 1 2 = 2 ε < 0 , it follows that there is a minimum value of the original function, i.e., there is an optimal price that maximizes the manufacturer’s profit. Substitute the resulting P r s t 1 into Equations (13)–(15) to yield:
D 1 * = r 2 [ T + η ( r μ 1 + ( 1 r ) μ 2 ) + θ ε ( g r + s + W ) ] + δ ( μ 1 μ 2 )
D 2 * = 1 r 2 [ T + η ( r μ 1 + ( 1 r ) μ 2 ) + θ ε ( g r + s + W ) ] + δ ( μ 2 μ 1 )
D R * = 1 2 [ T + η ( r μ 1 + ( 1 r ) μ 2 ) + θ ε ( g r + s + W ) ]
Considering that the wholesale prices of manufacturers M 1 and M 2 should satisfy the maximum total profit of the manufacturers, the specific profit distribution between the two manufacturers is determined according to their wholesale volume and cost control. Therefore, the total profit of manufacturers M 1 and M 2 is derived to obtain the wholesale prices under this stage, as follows:
W * = t m g r + r C 1 + ( 1 r ) C 2 2 + T + η ( r μ 1 + ( 1 r ) μ 2 ) + θ 2 ε
Solve for P r s t 1 by substituting Equation (A7):
P r s t 1 * = g r + 2 s + t m + r C 1 + ( 1 r ) C 2 4 + 3 [ T + η ( r μ 1 + ( 1 r ) μ 2 ) + θ ] 4 ε
Finally, the resulting P r s t 1 and W is substituted to solve for the manufacturer’s and retailer’s profits as follows:
M 1 B 1 = [ r 2 [ T + η ( r μ 1 + ( 1 r ) μ 2 ) + θ ε ( g r + s + W ) ] + δ ( μ 1 μ 2 ) ] ( W C 1 t m s ) t f μ 1 2 2 1 2 r C B
M 2 B 1 = [ 1 r 2 [ T + η ( r μ 1 + ( 1 r ) μ 2 ) + θ ε ( g r + s + W ) ] + δ ( μ 2 μ 1 ) ] ( W C 2 t m s ) t f μ 2 2 2 1 2 ( 1 r ) C B
R B 1 = [ T + η ( r μ 1 + ( 1 r ) μ 2 ) + θ 4 ε g r + 2 s + t m + r C 1 + ( 1 r ) C 2 4 ] 1 2 C B
The proof of Model B Phase 2 is the same as above, which is omitted here. □
Proof of Proposition 1. 
From D 1 B 1 D 1 N = 3 δ ( μ 1 μ 2 ) 4 + ε r 4 ( 1 r ) ( C 1 C 2 ) > 0 , D 1 B 1 > D 1 N . Similarly, from D 2 B 1 D 2 N = 3 δ ( μ 2 μ 1 ) 4 + ε ( 1 r ) 4 r ( C 2 C 1 ) < 0 , D 2 B 1 < D 2 N ; therefore, the theorem is proved. □
Proof of Proposition 2. 
From the above conclusion, it follows that D R B 1 = D R N = 1 4 [ Δ ε ( r C 1 + ( 1 r ) C 2 + t m + g r + 2 s ) ] , where Δ = T + η ( r μ 1 + ( 1 r ) μ 2 ) + θ ; therefore, the theorem is proved. □
Proof of Proposition 3. 
From the above conclusion, it follows that P r s t 0 = P r s t 1 = g r + 2 s + t m + r C 1 + ( 1 r ) C 2 4 + 3 Δ 4 ε , where Δ = T + η ( r μ 1 + ( 1 r ) μ 2 ) + θ , W W 1 = ( 1 r ) ( C 2 C 1 ) 2 δ ( μ 1 μ 2 ) 2 ε r < 0 , W W 2 = r ( C 1 C 2 ) 2 + δ ( μ 1 μ 2 ) 2 ε ( 1 r ) > 0 ; therefore, the theorem is proved. □
Proof of Proposition 4. 
From Π M 1 B 1 Π M 1 N = δ ( μ 1 μ 2 ) 2 Γ 1 + ( 1 r ) ( C 1 C 2 ) 2 Γ 2 > 0 , manufacturers with better quality M 1 experienced an increase in profits compared to before and after the information sharing platform was established, as shown by Π M 2 B 1 Π M 2 N = δ ( μ 1 μ 2 ) 2 Γ 3 + r ( C 1 C 2 ) 2 Γ 4 < 0 . Manufacturers with lower quality M 2 experienced a decrease in profits after the information sharing, as shown by Π R B 1 Π R N = D 1 ( δ ( μ 1 μ 2 ) 2 ε r ( 1 r ) ( C 2 C 1 ) 2 ) D 2 ( r ( C 1 C 2 ) 2 δ ( μ 1 μ 2 ) 2 ε ( 1 r ) ) < 0 . Retailers’ profits experienced a decrease in total profits after the information sharing platform was established, despite an overall increase in the quality of products purchased, as follows:
Γ 1 = Δ 2 ε + 2 g r 4 s 2 t m + ( 3 r 5 ) C 1 + ( 1 r ) C 2 4 δ ( μ 1 μ 2 ) 4 ε r Γ 2 = ε r ( 1 r ) ( C 2 C 1 ) 4 δ ( μ 1 μ 2 ) 4 Γ 3 = ( 3 r 2 ) Δ + δ ( μ 2 μ 1 ) 4 ε ( 1 r ) + 2 g r + 4 s + 2 t m 3 r C 1 + ( 3 r + 2 ) C 2 4 Γ 4 = Δ r 4 + δ ( μ 2 μ 1 ) 4 ε r ( 1 r ) ( C 1 C 2 ) 4 Δ = T + η ( r μ 1 + ( 1 r ) μ 2 ) + θ
Proof of Proposition 5. 
Let H 1 = D 1 B 2 D 1 B 1 , the calculation yields H 1 = ( η r 2 2 + δ ) ( λ 1 μ 1 λ 2 μ 2 ) + η r 2 λ 2 μ 2 , when λ 1 λ 2 = μ 2 μ 1 ( 1 η r η r 2 + 2 δ ) , H 1 = 0 . The same reasoning leads to H 2 = ( δ η r ( 1 r ) 2 ) ( λ 2 μ 2 λ 1 μ 1 ) + η r ( 1 r ) 2 λ 2 μ 2 , when λ 1 λ 2 = μ 2 μ 1 2 δ + η ( 1 r ) 2 2 δ η r ( 1 r ) , H 2 = 0 , let H 3 = D R B 2 D R B 1 , H 3 = η 2 [ r λ 1 μ 1 + ( 1 r ) λ 2 μ 2 ] ; therefore, it will always be greater than 0 and the theorem is proved. □
Proof of Proposition 6. 
W B 2 W B 1 = η Γ 2 ε > 0 , P r s t 2 P r s t 1 = 3 η Γ 4 > 0 , where Γ = r λ 1 μ 1 + ( 1 r ) λ 2 μ 2 ; therefore, the theorem is proved. □
Proof of Proposition 7. 
For Π M 1 B 2 = Π M 1 B 1 to hold, both D 1 B 2 = D 1 B 1 , W B 2 = W B 1 , and 1 2 r C B + μ 1 2 2 ( 1 + λ 1 ) 2 μ 1 2 2 = 0 are required. When μ 1 2 = r C B λ 1 ( λ 1 + 1 ) and δ = 0 , the above conditions are met. Similarly, Π M 2 B 2 = Π M 2 B 1 can be obtained when μ 1 2 = ( 1 r ) C B λ 2 ( λ 2 + 2 ) and δ = 0 .
For Π R B 2 Π R B 1 = ( D R B 2 D R B 1 ) ( P r g r s W ) + D R B 1 μ μ [ r λ 1 μ 1 + ( 1 r ) λ 2 μ 2 ] , since D R B 2 D R B 1 > 0 and P r > g r + s + W ; therefore, Π R B 2 Π R B 1 is always greater than 0 and the theorem is proved. □
Proof of Proposition 8. 
Propositions 3 and 4 show that the selling price at the beginning of the blockchain does not change and that consumer surplus does not change, as shown by U B 1 U N = 0 , while social welfare decreases without an increase in consumer surplus due to some loss of profit for the retailer.
Let U B = U B 2 U B 1 , U B = η [ λ 1 μ 1 + ( 1 r ) λ 2 μ 2 ] 4 > 0 . Despite the increase in the market price of the product, consumer surplus is increased at that stage since consumers receive a higher quality product as a result of the quality improvement effect. Moreover, from Proposition 7, it is clear that retailers’ profits always increase; therefore, social welfare always increases in the second stage of building a blockchain technology-based information sharing platform and the theorem is proved. □

References

  1. Wu, J.; Jiang, F. Information sharing strategy among competitive companies with capacity constraints in a supply chain. Chin. J. Manag. Sci. 2020, 28, 146–158. [Google Scholar]
  2. Zeng, S.Q.; Huo, R.; Huang, T.; Liu, J.; Wang, S.; Feng, W. Survey of blockchain: Principle, progress and application. J. Commun. 2020, 41, 134–151. [Google Scholar]
  3. Li, Y.; Li, T. Blockchain Empowers Supply Chain: Challenge, Implementation Path and Prospect. Nankai Bus. Rev. 2021, 24, 192–201. [Google Scholar]
  4. Li, L. Information Sharing in a Supply Chain with Horizontal Competition. Manag. Sci. 2002, 48, 1196–1212. [Google Scholar] [CrossRef]
  5. Khan, M.; Hussain, M.; Saber, H.M. Information sharing in a sustainable supply chain. Int. J. Prod. Econ. 2016, 181, 208–214. [Google Scholar] [CrossRef]
  6. Ding, J.; Wang, W. Information sharing in a green supply chain with promotional effort. Kybernetes 2020, 49, 2683–2712. [Google Scholar] [CrossRef]
  7. Bäckstrand, J.; Fredriksson, A. The role of supplier information availability for construction supply chain performance. Prod. Plan. Control 2022, 33, 863–874. [Google Scholar] [CrossRef]
  8. Xue, X.; Shen, Q.; Tan, Y.; Zhang, Y.; Fan, H. Comparing the value of information sharing under different inventory policies in construction supply chain. Int. J. Proj. Manag. 2011, 29, 867–876. [Google Scholar] [CrossRef]
  9. Christensen, F.M.; Jonsson, P.; Dukovska-Popovska, I.; Steger-Jensen, K. Information sharing for replenishment planning and control in fresh food supply chains: A planning environment perspective. Prod. Plan. Control 2021, 1–22. [Google Scholar] [CrossRef]
  10. Zhou, L.; Zhou, G.; Qi, F.; Li, H. Research on coordination mechanism for fresh agri-food supply chain with option contracts. Kybernetes 2019, 48, 1134–1156. [Google Scholar] [CrossRef]
  11. Safra, I.; Jebali, A.; Jemai, Z.; Bouchriha, H.; Ghaffari, A. The beneficial effect of information sharing in the integrated production-distribution planning of textile and apparel supply chain. Rairo-Oper. Res. 2021, 55, 1171–1195. [Google Scholar] [CrossRef]
  12. Yang, T.; Li, C.; Yue, X.; Zhang, B. Decisions for Blockchain Adoption and Information Sharing in a Low Carbon Supply Chain. Mathematics 2022, 10, 2233. [Google Scholar] [CrossRef]
  13. Cachon, G.P.; Fisher, M. Supply Chain Inventory Management and the Value of Shared Information. Manag. Sci. 2000, 46, 1032–1048. [Google Scholar] [CrossRef]
  14. Li, J.; Yi, Y.; Yang, H. Information Investment and Sharing in a Two-Echelon Supply Chain under Government Subsidy and Consumer Preference for Energy-Saving Products. Math. Probl. Eng. 2020, 2020, 3935762. [Google Scholar] [CrossRef]
  15. Costantino, F.; Di Gravio, G.; Shaban, A.; Tronci, M. The impact of information sharing on ordering policies to improve supply chain performances. Comput. Ind. Eng. 2015, 82, 127–142. [Google Scholar] [CrossRef]
  16. Thurner, T. Supply chain finance and blockchain technology—The case of reverse securitisation. Foresight 2018, 20, 447–448. [Google Scholar] [CrossRef]
  17. Tijan, E.; Aksentijević, S.; Ivanić, K.; Jardas, M. Blockchain Technology Implementation in Logistics. Sustainability 2019, 11, 1185. [Google Scholar] [CrossRef]
  18. Babich, V.; Hilary, G. OM Forum—Distributed Ledgers and Operations: What Operations Management Researchers Should Know About Blockchain Technology. Manuf. Serv. Oper. Manag. 2020, 22, 223–240. [Google Scholar] [CrossRef]
  19. Chod, J.; Trichakis, N.; Tsoukalas, G.; Aspegren, H.; Weber, M. On the Financing Benefits of Supply Chain Transparency and Blockchain Adoption. Manag. Sci. 2020, 66, 4378–4396. [Google Scholar] [CrossRef]
  20. Kshetri, N. 1 Blockchain’s roles in meeting key supply chain management objectives. Int. J. Inf. Manag. 2018, 39, 80–89. [Google Scholar] [CrossRef]
  21. Johny, S.; Priyadharsini, C. Investigations on the Implementation of Blockchain Technology in Supplychain Network. In Proceedings of the 2021 7th International Conference on Advanced Computing and Communication Systems (ICACCS), Coimbatore, India, 19–20 March 2021; pp. 1–6. [Google Scholar] [CrossRef]
  22. Orji, I.J.; Kusi-Sarpong, S.; Huang, S.; Vazquez-Brust, D. Evaluating the factors that influence blockchain adoption in the freight logistics industry. Transp. Res. Part E-Logist. Transp. Rev. 2020, 141, 102025. [Google Scholar] [CrossRef]
  23. Shen, L.; Yang, Q.; Hou, Y.; Lin, J. Research on information sharing incentive mechanism of China’s port cold chain logistics enterprises based on blockchain. Ocean. Coast. Manag. 2022, 225, 106229. [Google Scholar] [CrossRef]
  24. Wang, J.; Liu, J.; Wang, F.; Yue, X. Blockchain technology for port logistics capability: Exclusive or sharing. Transp. Res. Part B-Methodol. 2021, 149, 347–392. [Google Scholar] [CrossRef]
  25. Zhou, X.; Li, J.; Li, F. Recycling supply chain modeofnew energy vehicle power battery based on Blockchain technology. Comput. Integr. Manuf. Syst. 2022, 3, 1–15. [Google Scholar]
  26. Yoon, J.H.; Kim, J.S.; Park, H.G. A Study on the Priorities of Blockchain Adoption for Port Logistics in Korea Using AHP: Focused on Busan and Incheon Ports. J. Int. Trade Commer. 2020, 16, 1–24. [Google Scholar] [CrossRef]
  27. Mankiw, N.G. Principles of Economics; Cengage Learning: Boston, MA, USA, 2020. [Google Scholar]
  28. Zhao, X.; Wang, J.; Zhou, F.; Deng, L. Building a new type of power system requires comprehensive implementation of power demand response—A study based on the practice of power demand response in 11 provinces and cities. Macroecon. Manag. 2022, 52–60, 73. [Google Scholar] [CrossRef]
  29. Hayrutdinov, S.; Saeed, M.S.R.; Rajapov, A. Coordination of Supply Chain under Blockchain System-Based Product Lifecycle Information Sharing Effort. J. Adv. Transp. 2020, 2020, 1–10. [Google Scholar] [CrossRef]
  30. Chakraborty, T.; Chauhan, S.S.; Ouhimmou, M. Cost-sharing mechanism for product quality improvement in a supply chain under competition. Int. J. Prod. Econ. 2019, 208, 566–587. [Google Scholar] [CrossRef]
  31. Yu, J.; Ma, S. Impact of decision sequence of pricing and quality investment in decentralized assembly system. J. Manuf. Syst. 2013, 32, 664–679. [Google Scholar] [CrossRef]
  32. Levitt, T. Three Years on from the Horsemeat Scandal: 3 Lessons We Have Learned. Guardian. 2016. Available online: https://www.theguardian.com/sustainable-business/2016/jan/07/horsemeat-scandal-food-safety-uk-criminal-networks-supermarkets (accessed on 7 August 2022).
  33. Boffey, D.; Connolly, K. Egg Contamination Scandal Widens as 15 EU States, Switzerland and Hong Kong Affected. Guardian. 2017. Available online: Uhttps://www.theguardian.com/world/2017/aug/11/tainted-eggs-found-in-hong-kong-switzerland-and-15-eu-countries (accessed on 7 August 2022).
Figure 1. Blockchain-based supply chain information sharing model. The blocks in the figure contain only the key parts of the actual shared information.
Figure 1. Blockchain-based supply chain information sharing model. The blocks in the figure contain only the key parts of the actual shared information.
Sustainability 14 16060 g001
Figure 2. N-mode and B-mode structure diagram.
Figure 2. N-mode and B-mode structure diagram.
Sustainability 14 16060 g002
Figure 3. Representation of consumer surplus.
Figure 3. Representation of consumer surplus.
Sustainability 14 16060 g003
Figure 4. Determining demand and profitability under price and quality sensitivity. (a) Demand from supply chain members. (b) Profitability of supply chain members.
Figure 4. Determining demand and profitability under price and quality sensitivity. (a) Demand from supply chain members. (b) Profitability of supply chain members.
Sustainability 14 16060 g004
Figure 5. Demand for different models under price and quality sensitivity. (a) Manufacturer 1’s demand. (b) Manufacturer 1’s demand. (c) Manufacturer 2’s demand.
Figure 5. Demand for different models under price and quality sensitivity. (a) Manufacturer 1’s demand. (b) Manufacturer 1’s demand. (c) Manufacturer 2’s demand.
Sustainability 14 16060 g005
Figure 6. Profitability of different models under price and quality sensitivity. (a) Manufacturer 1’s profit. (b) Retailers’ profits. (c) Manufacturer 2’s profit.
Figure 6. Profitability of different models under price and quality sensitivity. (a) Manufacturer 1’s profit. (b) Retailers’ profits. (c) Manufacturer 2’s profit.
Sustainability 14 16060 g006
Figure 7. Consumer surplus and social welfare under different models. (a) Consumer surplus. (b) Social welfare at different stages.
Figure 7. Consumer surplus and social welfare under different models. (a) Consumer surplus. (b) Social welfare at different stages.
Sustainability 14 16060 g007
Table 1. Description of symbols.
Table 1. Description of symbols.
SymbolsDescription
M i Profit for manufacturer i
r Retailers’ profits
U Consumer surplus
Γ Total social welfare
C i Unit production costs for manufacturer i
C B Blockchain application costs
g r Unit inventory costs
t f Unit transport costs
s Unit order processing costs
T Maximum market size
ε Price sensitivity factor
η Quality sensitivity factor
r Manufacturer preference factor
λ i Manufacturer   i ’s quality improvement factor
σ Substitution factors between manufacturers
θ Fluctuations in actual order quantities
Publisher’s Note: MDPI stays neutral with regard to jurisdictional claims in published maps and institutional affiliations.

Share and Cite

MDPI and ACS Style

Luo, H.; Pan, J. Information Sharing Game and Value Analysis for the Following Enterprise Applications of Blockchain Technology. Sustainability 2022, 14, 16060. https://doi.org/10.3390/su142316060

AMA Style

Luo H, Pan J. Information Sharing Game and Value Analysis for the Following Enterprise Applications of Blockchain Technology. Sustainability. 2022; 14(23):16060. https://doi.org/10.3390/su142316060

Chicago/Turabian Style

Luo, Haiyan, and Junlin Pan. 2022. "Information Sharing Game and Value Analysis for the Following Enterprise Applications of Blockchain Technology" Sustainability 14, no. 23: 16060. https://doi.org/10.3390/su142316060

APA Style

Luo, H., & Pan, J. (2022). Information Sharing Game and Value Analysis for the Following Enterprise Applications of Blockchain Technology. Sustainability, 14(23), 16060. https://doi.org/10.3390/su142316060

Note that from the first issue of 2016, this journal uses article numbers instead of page numbers. See further details here.

Article Metrics

Back to TopTop