The Sustainable Development of Psychological Education in Students’ Learning Concept in Physical Education Based on Machine Learning and the Internet of Things
Abstract
1. Introduction
2. Theoretical Basis and Method Research
2.1. Integration Theory of Psychological Education and P.E
2.1.1. Theory of Positive Psychology and Sports Psychology
2.1.2. The Importance of Integrating P.E. and Psychological Education
2.1.3. Principles of Psycho-Educational-Model Construction
2.2. P.E. teaching Technology Based on the Internet of Things and Machine Learning
2.2.1. Design of P.E. Teaching Mode Based on the Internet of Things and Machine Learning
2.2.2. Deep-Learning Technology
2.3. Psychological Education Based on the Internet of Things and Machine Learning to Evaluate Students’ Learning Concepts
2.3.1. Evaluation Scale Design
2.3.2. Evaluation Method of College Teaching Mode Based on Deep-Learning Algorithm
2.3.3. Survey Method and Object
2.3.4. Reliability and Validity Test of Evaluation Index System
3. Results and Discussion
3.1. Research on the Psychological Quality of P.E. Students in CAUs
3.2. Analysis on the Evaluation Index of P.E. Students’ Learning Concept
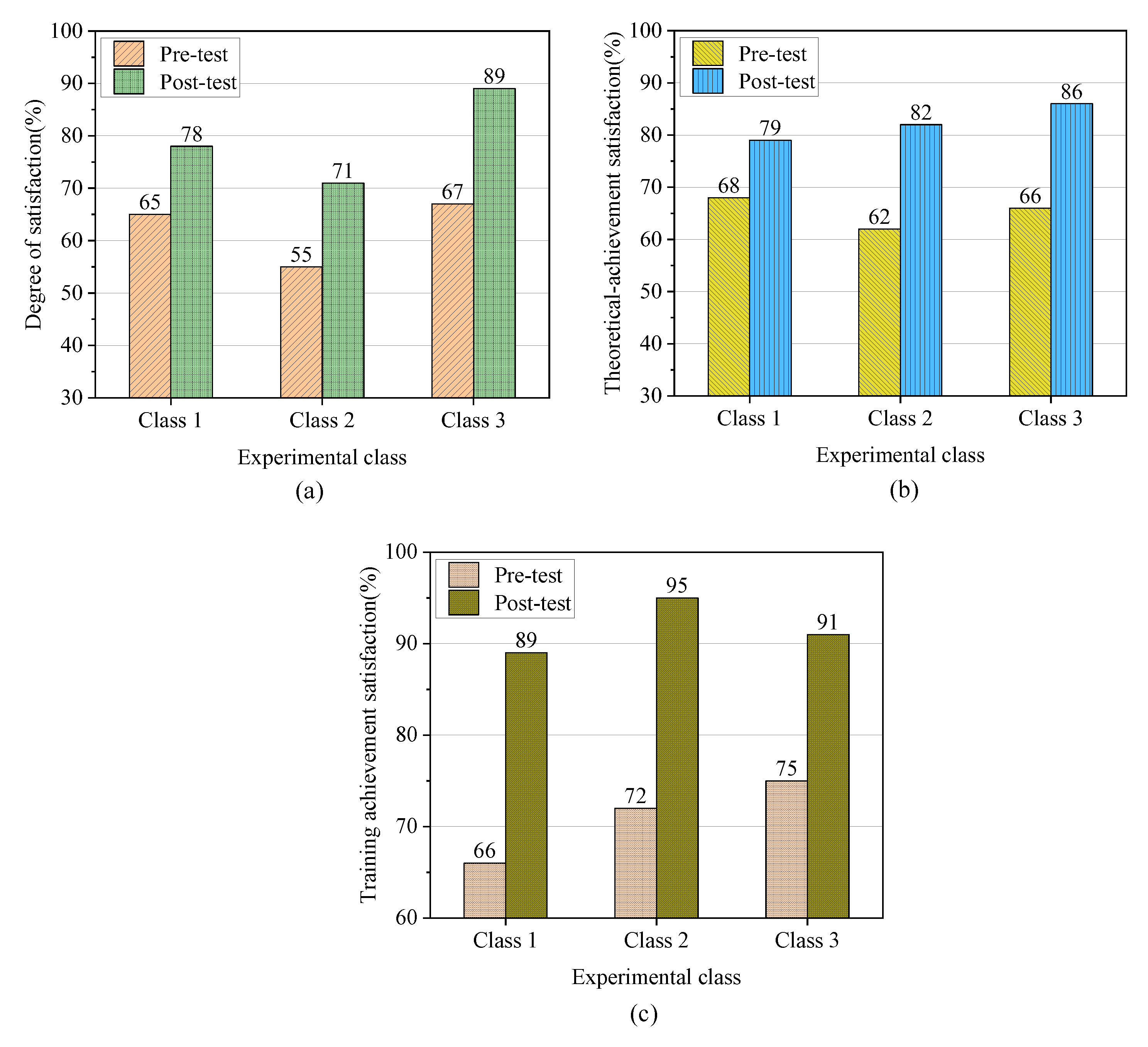
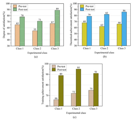
3.2.1. Evaluation and Analysis of Learning Performance Improvement
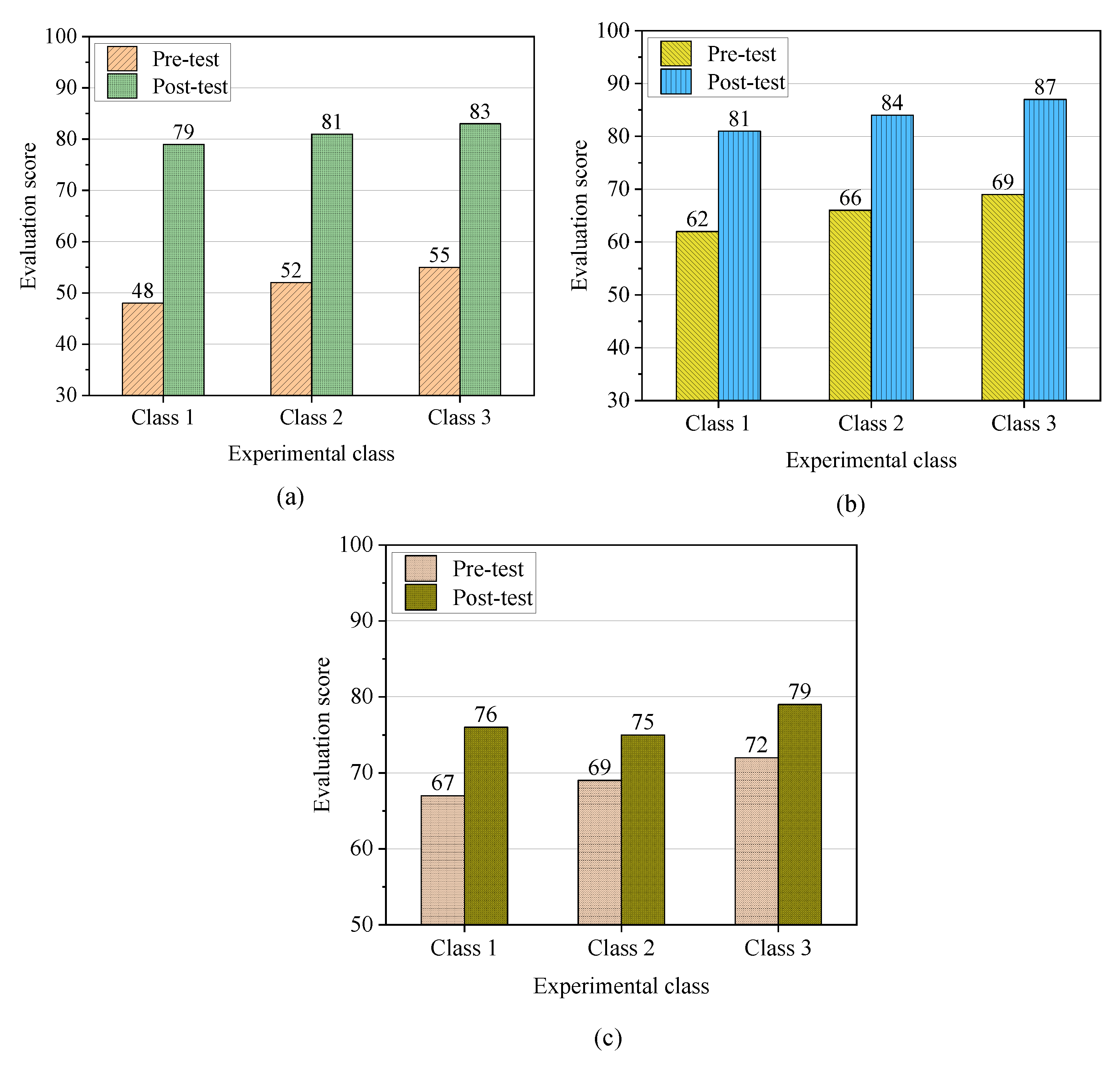
3.2.2. Evaluation and Analysis of Psychological Quality
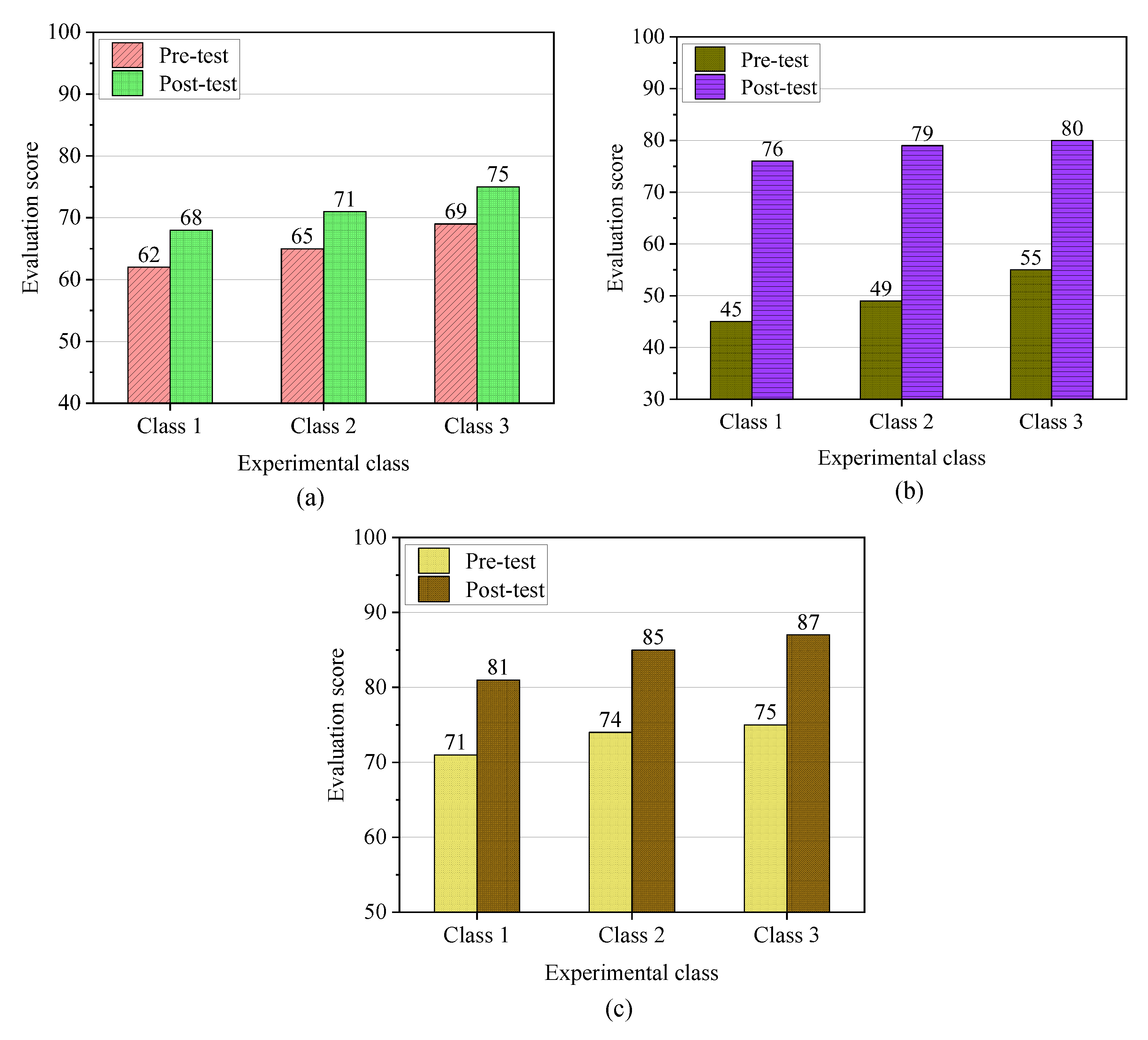
3.2.3. Deep-Learning-Ability Evaluation Analysis
3.3. Comparison of Different Model Evaluation Algorithms
4. Discussion
5. Conclusions
Author Contributions
Funding
Institutional Review Board Statement
Informed Consent Statement
Data Availability Statement
Conflicts of Interest
References
- Demchenko, I.; Maksymchuk, B.; Bilan, V.; Maksymchuk, I.; Kalynovska, I. Training future physical education teachers for professional activities under the conditions of inclusive education. Broad Res. Artif. Intell. Neurosci. 2021, 12, 191–213. [Google Scholar] [CrossRef]
- Calderón, A.; Scanlon, D.; MacPhail, A.; Moody, B. An integrated blended learning approach for physical education teacher education programmes: Teacher educators’ and pre-service teachers’ experiences. Phys. Educ. Sport Pedagog. 2021, 26, 562–577. [Google Scholar] [CrossRef]
- Zhang, S.; Su, P.; Liu, S. Fusion of cognitive information: Evaluation and evolution method of product image form. Comput. Intell. Neurosci. 2021, 2021, 5588650. [Google Scholar] [CrossRef] [PubMed]
- Malik, M.A.; Akkaya, B. Comparing the Academic Motivation of Conventional and Distance Education Students: A Study about a Turkish University. SJESR 2021, 4, 341–351. [Google Scholar] [CrossRef]
- Hu, D.; Zhou, S.; Crowley-McHattan, Z.; Liu, Z. Factors that influence participation in physical activity in school-aged children and adolescents: A systematic review from the social ecological model perspective. Int. J. Environ. Res. Public Health 2021, 18, 3147. [Google Scholar] [CrossRef]
- Lin, Z.; Fu, X.; Gu, B.; Fu, Z. RETRACTED ARTICLE: Groundwater pollution prevention based on improved particle swarm algorithm and sports training optimization. Arab. J. Geosci. 2021, 14, 1774. [Google Scholar] [CrossRef]
- Liu, H. Research on the Present Situation of Sports Club Teaching in Colleges and Universities of Shanxi Province. Front. Sport Res. 2021, 3, 34–42. [Google Scholar] [CrossRef]
- Cheng, J. Evaluation of physical education teaching based on web embedded system and virtual reality. Microprocess. Microsyst. 2021, 83, 103980. [Google Scholar] [CrossRef]
- Lin, Y.N.; Hsia, L.H.; Hwang, G.J. Fostering motor skills in physical education: A mobile technology-supported ICRA flipped learning model. Comput. Educ. 2022, 177, 104380. [Google Scholar] [CrossRef]
- Kattenborn, T.; Leitloff, J.; Schiefer, F.; Hinz, S. Review on Convolutional Neural Networks (CNN) in vegetation remote sensing. ISPRS J. Photogramm. Remote Sens. 2021, 173, 24–49. [Google Scholar] [CrossRef]
- Carr, A.; Cullen, K.; Keeney, C.; Canning, C.; Mooney, O.; Chinseallaigh, E.; O’Dowd, A. Effectiveness of positive psychology interventions: A systematic review and meta-analysis. J. Posit. Psychol. 2021, 16, 749–769. [Google Scholar] [CrossRef]
- Moskowitz, J.T.; Cheung, E.O.; Freedman, M.; Fernando, C.; Zhang, M.W.; Huffman, J.C.; Addington, E.L. Measuring positive emotion outcomes in positive psychology interventions: A literature review. Emot. Rev. 2021, 13, 60–73. [Google Scholar] [CrossRef]
- Grant, A.M.; Atad, O.I. Coaching psychology interventions vs. positive psychology interventions: The measurable benefits of a coaching relationship. J. Posit. Psychol. 2022, 17, 532–544. [Google Scholar] [CrossRef]
- Braunwalder, C.; Müller, R.; Glisic, M.; Fekete, C. Are positive psychology interventions efficacious in chronic pain treatment? A systematic review and meta-analysis of randomized controlled trials. Pain Med. 2022, 23, 122–136. [Google Scholar] [CrossRef] [PubMed]
- Bazargan-Hejazi, S.; Shirazi, A.; Wang, A.; Shlobin, N.A.; Karunungan, K.; Shulman, J.; Marzio, R.; Ebrahim, G.; Shay, W.; Slavin, S. Contribution of a positive psychology-based conceptual framework in reducing physician burnout and improving well-being: A systematic review. BMC Med. Educ. 2021, 21, 593. [Google Scholar] [CrossRef] [PubMed]
- Lee, J.H. Effect of sports psychology on enhancing consumer purchase intention for retailers of sports shops: Literature content analysis. J. Distrib. Sci. 2021, 19, 5–13. [Google Scholar]
- Almusawi, H.A.; Durugbo, C.M.; Bugawa, A.M. Innovation in physical education: Teachers’ perspectives on readiness for wearable technology integration. Comput. Educ. 2021, 167, 104185. [Google Scholar] [CrossRef]
- Sevil-Serrano, J.; Aibar, A.; Abós, Á.; Generelo, E.; García-González, L. Improving motivation for physical activity and physical education through a school-based intervention. J. Exp. Educ. 2022, 90, 383–403. [Google Scholar] [CrossRef]
- Wang, T.; Park, J. Design and implementation of intelligent sports training system for college students’ mental health education. Front. Psychol. 2021, 12, 634978. [Google Scholar] [CrossRef]
- De-kun, J.; Memon, F.H. Design of mobile intelligent evaluation algorithm in physical education teaching. Mob. Netw. Appl. 2022, 27, 527–534. [Google Scholar] [CrossRef]
- Wang, C.; Du, C. Optimization of physical education and training system based on machine learning and Internet of Things. Neural Comput. Appl. 2022, 34, 9273–9288. [Google Scholar] [CrossRef]
- Jacob, I.J.; Darney, P.E. Design of deep learning algorithm for IoT application by image based recognition. J. ISMAC 2021, 3, 276–290. [Google Scholar] [CrossRef]
- Chen, M.; Liu, Q.; Huang, S.; Dang, C. Environmental cost control system of manufacturing enterprises using artificial intelligence based on value chain of circular economy. Enterp. Inf. Syst. 2022, 16, 1268–1287. [Google Scholar]
- Mao, W.-L.; Chen, W.-C.; Wang, C.-T.; Lin, Y.-H. Recycling waste classification using optimized convolutional neural network. Resour. Conserv. Recycl. 2021, 164, 105132. [Google Scholar] [CrossRef]
- Wang, Y.; Li, Y.; Song, Y.; Rong, X. The influence of the activation function in a convolution neural network model of facial expression recognition. Appl. Sci. 2020, 10, 1897. [Google Scholar] [CrossRef]
- Kader, I.A.E.; Xu, G.; Shuai, Z.; Saminu, S.; Javaid, I.; Ahmad, I.S. Differential deep convolutional neural network model for brain tumor classification. Brain Sci. 2021, 11, 352. [Google Scholar] [CrossRef]
- Hu, J. Teaching evaluation system by use of machine learning and artificial intelligence methods. Int. J. Emerg. Technol. Learn. 2021, 16, 87–101. [Google Scholar] [CrossRef]
- Villaluz, G.D.C. Activity Preferences of Generation Z Students for Tertiary Physical Education: Implications for Curriculum Enhancement. Multidiscip. J. Educ. Soc. Technol. Sci. 2021, 8, 92–106. [Google Scholar]











| Category | Number of People | Proportion | |
|---|---|---|---|
| Gender | Male | 117 | 65% |
| Female | 63 | 35% | |
| Grade | Freshman | 63 | 35% |
| Sophomore | 54 | 30% | |
| Junior | 45 | 25% | |
| Senior | 18 | 10% | |
Publisher’s Note: MDPI stays neutral with regard to jurisdictional claims in published maps and institutional affiliations. |
© 2022 by the authors. Licensee MDPI, Basel, Switzerland. This article is an open access article distributed under the terms and conditions of the Creative Commons Attribution (CC BY) license (https://creativecommons.org/licenses/by/4.0/).
Share and Cite
Zong, X.; Lipowski, M.; Liu, T.; Qiao, M.; Bo, Q. The Sustainable Development of Psychological Education in Students’ Learning Concept in Physical Education Based on Machine Learning and the Internet of Things. Sustainability 2022, 14, 15947. https://doi.org/10.3390/su142315947
Zong X, Lipowski M, Liu T, Qiao M, Bo Q. The Sustainable Development of Psychological Education in Students’ Learning Concept in Physical Education Based on Machine Learning and the Internet of Things. Sustainability. 2022; 14(23):15947. https://doi.org/10.3390/su142315947
Chicago/Turabian StyleZong, Xingxing, Mariusz Lipowski, Taofeng Liu, Meng Qiao, and Qi Bo. 2022. "The Sustainable Development of Psychological Education in Students’ Learning Concept in Physical Education Based on Machine Learning and the Internet of Things" Sustainability 14, no. 23: 15947. https://doi.org/10.3390/su142315947
APA StyleZong, X., Lipowski, M., Liu, T., Qiao, M., & Bo, Q. (2022). The Sustainable Development of Psychological Education in Students’ Learning Concept in Physical Education Based on Machine Learning and the Internet of Things. Sustainability, 14(23), 15947. https://doi.org/10.3390/su142315947

