Next Article in Journal
The Sustainable Development of Psychological Education in Students’ Learning Concept in Physical Education Based on Machine Learning and the Internet of Things
Previous Article in Journal
Trend of Vegetation and Environmental Factors and Their Feedback in the Karst Regions of Southwestern China
 
 
Font Type:
Arial Georgia Verdana
Font Size:
Aa Aa Aa
Line Spacing:
Column Width:
Background:
Article

Effects of Corn Straw and Biochar Returning to Fields Every Other Year on the Structure of Soil Humic Acid

College of Resource and Environmental Science, Jilin Agricultural University, Changchun 130118, China
*
Author to whom correspondence should be addressed.
Sustainability 2022, 14(23), 15946; https://doi.org/10.3390/su142315946
Submission received: 3 November 2022 / Revised: 15 November 2022 / Accepted: 18 November 2022 / Published: 29 November 2022

Abstract

Returning straw and biochar to the fields can change the structure of humic acid in soil and affect the content of soil organic matter. However, returning straw and biochar to the fields in successive years also increases the insect pests of crops and causes nitrogen competition, thus increasing the soil burden. Therefore, to provide a theoretical basis for the study of the time effect of returning fields, three treatments were set in this paper to study the effects of straw and biochar returning every other year on the soil organic matter and humic acid (HA) structure. Elements, Fourier transform infrared spectroscopy (FTIR), thermogravimetric spectroscopy (TG), three-dimensional fluorescence spectroscopy, and solid state 13C-NMR spectroscopy were used to comprehensively investigate the structural characteristics of humic acid in soil. The results showed that after straw and biomass charcoal are returned to the field every other year, compared with 2018, after planting in 2020, the average content of soil organic carbon will increase by 29.49% and 36.14%, respectively. HA showed a phenomenon of increased aliphatic property and decreased aromaticity; aromatic carbon of HA decreased, while alkyl carbon and alkoxy carbon increased; the molecular structure of HA developed toward simplification. In the short term, the effect of biomass charcoal returning was more significant. This study can be used as a reference for the research on the time effect of returning straw and biomass carbon to the fields, and can also provide a basis for the research on the composition of humus after returning organic materials to the fields.

1. Introduction

Soil organic carbon (SOC) contributes significantly to soil physical, chemical, and biological properties and plays a crucial role in maintaining soil productivity [1]. Studies have shown that adding organic matter such as crop residues to soil can increase soil organic carbon content and improve agricultural sustainability [2,3,4]. Straw returning can improve soil water content [5], increase the stability of soil aggregates [6], and increase soil organic carbon content [7]. Furthermore, it can improve soil structure [8], increase the species abundance and activity of soil microorganisms [9], and increase crop yield [10]. Sodhi G P S et al. [11] showed that straw returning combined with fertilizer application could increase the percentage of large aggregate content in the soil and significantly increase the average soil diameter. Glaser B et al. [12] also showed that the application of straw to the soil improved the physical structure and chemical properties of the soil, as well as the bulk density, porosity, and other physical properties of the soil, thus improving the supply capacity of soil water, fertilizer, gas, and heat, and increasing the crop yield [13].
The addition of biochar to soil can increase the pH value, organic carbon, exchangeable cations, and nitrogen use efficiency of soil to varying degrees [14]. At the same time, it is beneficial to maintain soil moisture, increase soil porosity [15], promote the growth of crops and increase root exudates, increase organic cementing materials around the soil, and promote the formation of large aggregates with soil water stability [16]. In addition, it can improve soil health and fertility [17]. The study of Brodowski S et al. [18] showed that the physical and chemical properties of soil were improved after the application of biochar. Kimetu J M et al. [19] showed that biomass charcoal returning to the fields could reduce soil bulk density and improve soil structure.
Humus is the main part of soil organic carbon [20], which occupies 70% of soil organic matter [21,22]. Humic substances are mainly composed of humic acid (HA), fulic acid (FA), and humin (Hu) [23]. Humic acid is an important component of humus, and its composition, structure, and properties are related to the fertilizer preservation and supply capacity of soil [20]. Studies have shown that the application of straw and biochar in soil can change the structure of humic acid in soil [24,25], affecting crop fertilizer utilization.
Buurman et al. [26] believe that HA is a substitute substance for soil organic matter. In addition, in the evolution process of soil organic matter, the composition of HA functional groups can be used to reflect the degree of humification [27], so it is of great significance for the structure analysis of HA. Zhu Qingtang et al. [28] showed that the application of organic materials could weaken the aromatic degree of humic acid structure and enhance its aliphatic properties, thus causing the “dehydration” process of soil humus. Meng Fanrong et al. [29] studied the effect of different amounts of biochar applied on the structure of humic acid (HA) and the humus component of black soil. The results showed that the application of biochar could improve the condensation degree of HA, reduce the oxidation degree of HA, and enhanced the aliphatic and aromatic properties of HA.
When straw is returned to the soil, the decomposition process is mainly divided into two stages: rapid and slow decomposition. In the first stage, cellulose, amino acid, and other organic matter are decomposed [30]. However, the decomposition process in the second stage is slower, lasting 2–3 years [31]. Therefore, this paper studies the effects of straw and biochar returning every other year on soil organic matter and humic acid (HA) structure. Straw and biochar returning every other year is conducive to the complete decomposition of straw, and the influence of soil HA is also more thorough, so the research significance is greater on the time effect of returning straw and biomass carbon to the fields.

2. Materials and Methods

2.1. Site Description

The soil of this experiment was selected from the continuous cropping farmland (43°48′43.5″ N, 125°23′38.50″ E) of the experimental station of Jilin Agricultural University. The experimental fields is located in Jingyue District of Changchun City, Jilin Province, which belongs to the north temperate continental subhumid climate type. The sunshine time can reach 2688 h. The annual rainfall is 550–670 mm, mostly in July and August. The summer rainfall accounts for more than 60% of the annual precipitation. The annual average temperature is 23 °C, the frost-free period is 145–160 days, the annual accumulated temperature is about 2980 °C, and the altitude is 350 m. The soil type is semi-wet-temperature semi-eluvial subclass black soil, which is equivalent to the American systematic classification of Argiudolls. Soil nutrient content was stable. Before planting and fertilization, soil samples were taken and analyzed, and the results are shown in Table 1.

2.2. Organic Amendments Preparation

The organic materials tested were corn stover (including leaves) at mature stage and biochar prepared from the corn stover. The straw was collected from the same experimental fields as the test soil on 5 October 2016. It was dried in an oven at 80 °C for 12 h and crushed to 3–5 cm pieces. The pulverized straw prepared by the above steps is then rinsed with clean water, soaked in distilled water, dried (105 °C, about 2.5 h) in a muffle furnace at 500 °C for 2.5 h to prepare biochar, and after natural cooling, mashed through a 40 mesh screen for use. The basic properties of tested organic materials are shown in Table 2.

2.3. Experimental Design

There are three treatments in this experiment: (1) CK (control); (2) CKS (20–40 cm soil layer +10 t/ha crushed corn stover mixed returning); (3) CKB (20–40 cm soil layer +12 t/ha biochar mixture returned to the fields), with three replicates for each treatment. The experimental plot was divided into nine plots and numbered. The length, width, and depth of each plot were 1.5 m, 1.2 m, and 0.2 m respectively, and the area of the plot was 1.3 m × 1.5 m = 1.95 m2. About 80 cm of horizontal and vertical distance should be left for each plot as a protection line.
This experiment was an alternate year returning experiment, and the returning times were 9 October 2016, 8 October 2018, and 9 October 2020, respectively. The sowing times were 23 April 2017, 25 April 2018, 19 April 2019, and 22 April 2020, respectively. The sampling times of the design experiment in this paper are 4 October 2018, 7 October 2019, and 2 October 2020. The maize seed type is “Xiangyu 998”. There were two ridges in each plot, and five seeds were placed in each ridge. Fertilizer application rate was N: 225 kg/ha, P2O5:120 kg/ha, K2O: 60 kg/ha per year. After the corn was mature, soil 0–20 cm in the top layer and 20–40 cm in the subsurface layer were taken for testing, and furrow planting was performed the next year. The specific experimental design is shown in Table 3.

2.4. Sample Collection

Three points were randomly selected for each plot, and the soil drill was screwed into each of the selected points to insert the soil drill completely into the soil. For each layer of soil, it is necessary to remove the soft soil at the top of the soil drill (the surface layer is affected by human trampling, and the sub surface layer is affected by surface soil scattering), and then evenly mix the soil at 3 points randomly selected from the surface layer and sub surface layer, put them in prepared plastic bags, record the treatment and plot number, and bring them back to the laboratory. A certain amount of fresh soil was placed in the refrigerator for ammonium nitrogen and nitrate nitrogen determination. The rest of the soil samples were air-dried and ground in a mortar, and passed through 20 mesh, 60 mesh, 100 mesh sieve for experimental analysis.

2.5. Laboratory Analysis

The various methods and techniques used are as follows:
  • Soil organic carbon content: Potassium dichromate heating method [32].
  • Soil HA sample extraction: IHSS (International Humic Substances Society) method [33] was used for extraction and purification.
  • The element composition of HA was determined by the element analyzer VARIO EL III made in Germany under the mode of C\H\N. The contents of C, H, and N elements of HA were measured, and the element calculation was then divided by the mole number respectively.
  • Infrared spectrum analysis of HA: KBr tablet method was used, and the IR data were recorded using the American Nicolet-AV360 infrared spectrometer (Thermo Scientific, Waltham, MA, USA), and the test range was 4000–500 cm−1.
  • Differential thermal analysis of HA: A German thermal resynchronization analyzer (NETZSCH STA 2500 Regulus (NETZSCH, Selb, Germany)) was used to measure the sample volume of HA by 5–8 mg, and the heating rate is set at 15 °C·min−1.
  • Fluorescence analysis of HA: Soil HA samples were dissolved in ultrapure water at room temperature, and a standard solution of soil HA concentration of 20 mg L−1 was prepared and adjusted to pH = 8 with 0.05 mol L−1 NaHCO3. FL6500 fluorescence spectrometer (PekinElmer, Waltham, MA, USA) was used with excitation light source power of 40 kW, PMT voltage of 550 V, and both incident and outgoing slits of 10 nm, with blanks deducted. The simultaneous fluorescence spectra of humic acid were obtained by setting ∆λ = 18 nm and ∆λ = 55 nm, and the scanning band was in the range of 300–650 nm. Three-dimensional fluorescence spectra were obtained by scanning at an emission wavelength of 200–700 nm and excitation wavelength of 200–550 nm, and the scanning rate was 2400 nm min−1.
  • NMR analysis of HA: Solid state 13C-NMR spectroscopy was performed using a BrukerAV400 NMR instrument (The NMR Laboratory, University of Delaware, Newark, DE, USA). The cross-polarized magic spin (CPMAS) technique was used. The 13C resonance frequency was 100.57 MHz, the magic spin frequency was 5 kHz, the contact time was 2 ms, the sampling time was 34 ms, the cycle delay time was 5 s, the data points were 2048, and the chemical shift was 2. The integrated area of 2-dimethyl-2-silpentane-5-sulfonate (DSS) correction was automatically given by the instrument. The relative content of each type of carbon was expressed as the percentage of the integrated area of a chemical shift interval in the total integrated area, and the rotating sidebands were modified according to [34]. The ratios of aliphatic C/aromatic C, alkyl C/alkoxy C, hydrophobic C/hydrophilic C, and aromaticity of HA were changed regularly with the change of relative proportions of different types of C. Studies have shown that the aliphatic C/aromatic C ratio reflects the complexity of the molecular structure of humic substances, and the higher the ratio is, the less aromatic nuclear structure, the more aliphatic side chains, the lower the condensation degree, and the simpler the molecular structure of humic substances [35].

2.6. Statistical Analysis and Calculations

The test data were sorted by Excel 2013 software and analyzed by SPSS22.0 software (TA Universal Analysis 2000, MestReNova 14). The least significant method (LSD) was used to test the significance level of the test data (p < 0.05). The infrared spectrum was processed by Origin 2018 software, and the peaks needed were selected for labeling, and the absorption peaks of different wave numbers were analyzed semi-quantitatively. The TG and DTA curves of each sample were analyzed using TA Universal Analysis 2000 software, and the peak areas were recorded by semi-quantitative analysis, and the spectrograms were processed by Origin 2018 software. Perkin Elmer FL 6500 fluorescence spectroscopy was used to record the spectra and Origin 2018 software was used to process the spectra. The NMR data were processed by MestReNova 14 and plotted by Origin 2018 software.

3. Results

3.1. Changes in Soil Organic Carbon

The changes in soil organic carbon content in the field experiment after the planting period from 2018 to 2020 are shown in Figure 1. For CK treatment, soil organic carbon content showed a downward trend after planting in 2018, 2019, and 2020, while for other treatments, it showed a trend of first increasing and then slightly decreasing, with the maximum value in 2019 and the minimum value in 2018. Soil organic carbon content in different soil layers showed that 0–20 cm soil layer was greater than 20–40 cm soil layer. For different soil layers in different years the organic carbon content of each treatment has a similar change pattern, which is shown as CKB > CKS > CK, and the difference is significant. The organic carbon content varied from 9.32 g/kg to 14.56 g/kg during the planting period in these years. The minimum value was the organic carbon content in the 20–40 cm soil layer of CK in 2020, and the maximum value appeared in the 20–40 cm soil layer of CKB in 2019. Compared with CK, after planting in 2018, 2019, and 2020, CKB treatment in 20–40 cm soil layer increased the most, increasing by 35.93%, 52.21%, and 54.31%, respectively. This indicated that the addition of straw and biochar increased soil organic carbon content, and the effect of biochar was better compared to that of straw.

3.2. Elemental Analysis of HA

The changes in HA element content in soil after three consecutive years of sowing from 2018 to 2020 are shown in Table 4. As can be seen from the table, the changes in C, H, N content and H/C ratio of HA in each treatment in the same soil layer after planting in each year were generally consistent, specifically CKB > CKS > CK, and the changes in (O+S)/C ratio and (O+S) content were the same but opposite. After planting in 2020, the H/C ratio of HA treated with soil surface CKS and CKB increased by 0.25% and 0.72% compared to CK, and the (O+S)/C ratio decreased by 5.97% and 8.92%, respectively. The values of subsurface layer were 3.98%, 4.68% and 7.93%, 12.27%, respectively. It indicates that the oxidation degree and condensation degree of HA structure decreased and simplified after adding straw and biochar to the soil, and the effect of adding biochar was more obvious.

3.3. Infrared Spectroscopic Analysis of HA

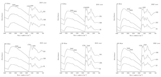
After planting from 2018 to 2020, the HA infrared spectra of the soil surface and subsurface of each treatment are shown in Figure 2, and the relative intensity (semi-quantitative) changes in the main absorption peaks of the HA infrared spectrum are shown in Table 5. As can be seen from the figure that there are different degrees of differences in the absorption intensity of some characteristic peaks of HA, such as 3400 cm−1, 2920 cm−1, 2850 cm−1, 1720 cm−1, 1620 cm−1, and 1230 cm−1. These results indicate that O-H (N-H) extension or hydrogen bond association, CH2 extension, C-H extension of aliphatic group, C=O stretching vibration of carboxyl group, and aromatic C=C stretching vibration change in HA aliphatic group, and the number of structural units and functional groups of HA also change. It can be seen from the table that in the same planting year, there was no obvious pattern in the change of peak values of each treatment. The ratio of I2920/I1720 and I2920/I1620 had the same change pattern, with the surface layer being larger than the subsurface layer. For different planting years of the same treatment, the peak value and the ratio of I2920/I1720 and I2920/I1620 had no obvious pattern. There was no obvious pattern of peak values in different soil layers in different years, but the ratios of I2920/I1720 and I2920/I1620 were roughly the same, and the specific pattern was CKB > CKS > CK. After planting in 2019, the 2920/1620 ratio of surface soil CKS and CKB treatment increased by 10.41% and 18.26%, respectively, compared with CK, and the value of subsurface soil increased by 5.36% and 6.80%, respectively. It indicates that the aromatic degree of HA molecule is weakened and the molecular structure tends to be simplified after the addition of straw and biochar in soil, and the effect of biochar mixture returning to the fields is obvious.

3.4. Thermal Stability Analysis of HA

The heat release and weight loss curves of HA at medium-high temperature in each treatment in the fields experiment from 2018 to 2020 are shown in Figure 3. The figure showed the mesophilic exothermic temperature of HA samples from different soil layers in each treatment during thermal decomposition after planting in each year. For example, after the planting period in 2019, the mesophilic heat release temperatures of HA in surface soil treated by CK, CKS, and CKB were 347 °C, 348 °C, and 320 °C, respectively. The high-temperature exothermic temperatures are 540 °C, 554 °C, and 459 °C, respectively. The mesothermal exothermic temperatures of the subsurface layer are 338 °C, 343 °C, and 322 °C, respectively. The high-temperature exothermic temperatures are 546 °C, 553 °C, and 473 °C, respectively.
According to the changes in soil HA heat release and weight loss after planting in 2018, 2019, and 2020 (Table 6), it can be seen that the changes in HA high/medium heat ratio and high/medium weight loss ratio in different soil layers under different treatments in the same year are basically the same, which are shown as CKB.
After the planting period in 2018, the caloric high/medium ratio and weight loss high/medium ratio in the 0–20 cm soil layer under CKS and CKB treatment decreased by 7.10%, 17.09%, and 0.42%, 0.52%, respectively, compared with CK, while the values in the 20–40 cm soil layer were 19.89%, 34.69%, and 6.71%, 16.29%, respectively. These results indicated that the aromatic carbon content of HA decreased, aliphatic property increased, and HA structure was simplified and developed after the addition of straw and biochar. The effect of mixed subsurface layer was remarkable.

3.5. Fluorescence Spectrum Analysis of HA

The three-dimensional fluorescence of soil HA after planting from 2018 to 2020 is shown in Figure 4. The fluorescence spectra of HA in all treatments showed three peaks: A, B, and C. The position of A peak is Ex/Em: 370/500–530 nm, B peak is 460/520–540 nm, C peak is 290/500–540 nm.
The intensity of peak A, B, and C of HA in each treatment showed a certain pattern in different planting years (Table 7), which is shown as CKB > CKS > CK. After planting in 2018, the intensity values at peak A of HA in the 0–20 cm soil layer treated by CKS and CKB increased by 32.02% and 57.59% compared with CK, and the values in the 20–40 cm soil layer were 67.50% and 69.76%, respectively. The changes after planting were similar in 2019 and 2020. There was no obvious variation in HA peak intensity between different soil layers in the same planting year and different soil layers in the same planting year. This indicated that the HA structure developed to simplification after the addition of straw and biochar.

3.6. Analysis of HA Solid-State 13C-NMR Spectroscopy

After planting from 2018 to 2020, the 13C CPMAS NMR spectrum was obtained by analyzing the HA solid-state NMR of each treatment (Figure 5). Figure 5 shows that the maps of each treatment are similar in each year, but the intensity of absorption peak is different. The relative proportions of different types of carbon in HA were obtained by regionally integrating the spectrograms (Table 8). As can be seen from the table, aromatic carbon occupies the largest proportion in HA structure, accounting for more than 45%, while alkoxy carbon, carbonyl carbon, and alkyl carbon occupy similar proportions. After planting in 2018, compared with CK, the proportion of total aliphatic carbon in HA treated with CKS and CKB increased, and the proportion of aromatic carbon decreased. The pattern was the same after planting in 2019 and 2020, indicating that the addition of corn stover and biochar in soil reduced the oxygen-containing functional groups and oxidized degree in HA structure.
According to Table 8, after planting in 2018, compared with CK, the ratio of aliphatic C to aromatic C in HA treated with CKS and CKB increased by 8.75% and 9.98%, respectively. The pattern was the same after planting in 2019 and 2020. It indicates that the addition of straw and biochar in soil is beneficial to the formation of aliphatic structure of HA molecule and the reduction of aromatic chain hydrocarbons, and the molecular structure tends to be simplified. As can be seen from the table, after planting in 2019, the alkylC/alkoxy C ratio of CKS and CKB treatments decreased by 19.41% and 64.89% compared with CK, respectively. The pattern was the same after planting in 2018 and 2020. This indicates that the addition of straw and biochar in the soil makes the HA structure easy to decompose. After planting in 2020, the hydrophobic C/hydrophilic C ratio of HA treated with CKS and CKB decreased by 14.84% and 35.25% compared with CK, respectively. The pattern was the same after planting in 2018 and 2019. This indicated that the hydrophobicity of HA was weakened by adding straw and biochar to the soil. After planting in 2018, the aromaticity of HA treated with CKS and CKB decreased by 3.45% and 3.91%, respectively, compared with CK. The pattern was the same after planting in 2019 and 2020. These results indicated that the addition of straw and biochar in the soil weakened the aromatic degree of HA molecule and simplified the molecular structure.

4. Discussion

4.1. Changes in Soil Organic Carbon after Returning Straw and Biochar to the Fields

This study shows that the content of soil organic matter increased after returning straw and biochar to the fields (Figure 1). This may be due to the decomposition of straw by microorganisms after returning straw and biochar to the fields, and the straw gradually releases its own nutrients into the soil [36,37], thus increasing the nutrient residues in the soil. At the same time, the application of straw and biochar increased the C/N ratio of soil [38], thus promoting the activity of soil microorganisms [39,40], accelerating the mineralization rate of soil available nutrients, and then increasing the content of soil organic matter and available nutrients.

4.2. Elemental Analysis of HA after Returning Straw and Biochar to the Fields

This study also shows that after straw and biochar were returned to the fields, the H/C ratio of HA increased (Table 4), and the ratio of peak areas at 2920/1720 and 2920/1620 of infrared spectrum increased (Table 5). The condensation degree, oxidation degree, and aromaticity of HA molecule decreased, and the structure became simpler. This may be because the application of straw and biochar improves the soil large-grain content, thus improving the occurrence effect of soil organic matter, and further increasing the content of organic matter, which is conducive to the formation of soluble organic carbon. When a large amount of this kind of carbon accumulates, a variety of lipid compounds will be formed. HA is relatively high aliphatic [1,41]. In addition, the application of straw and biochar increased the activity of soil microorganisms [42], increased microbial biomass and mineral nutrition, and thus promoted the decomposition of microorganisms [43]. Microorganisms utilize lignin and complex molecular compounds as energy sources of carbon during decomposition [44], while lignin does not contain a high proportion of aromatic carbon structures [45], thus, simple aliphatic carbohydrates are retained [46], which made HA simpler. Fan W et al. [47] studied the effects of different straw returning methods on humus composition and humic acid (HA) structure of maize. The results showed that straw returning accelerated the accumulation of soil organic C and humus components, increased the ratio of alkyl C and fatty C to aromatic C, and significantly improved soil HA structure. The study of Song G X et al. [48] also showed that the hydrophilicity of humus components was enhanced and aromatic properties were decreased after corn stover was applied to the soil.

4.3. Atlas Analysis of HA after Returning Straw and Biochar to the Fields

From the differential thermal analysis (Table 6), it can be seen that after the addition of straw and biochar, the ratio of heat release and weight loss of soil HA at high temperature decreased, indicating that the proportion of aromatic structure of HA molecules decreased. From the fluorescence spectra (Figure 3) and intensity analysis table (Table 7), it can be seen that straw and biochar returning to the fields simplified the structure of soil HA. This is mainly because the input of organic exogenous materials promotes the decarboxylation of HA peripheral functional groups [49] and the decomposition of unstable structures in HA [50]. Moreover, the decomposition of straw itself increases the contents of aromatic polycondensation [51], hydroxyl and alkoxy in the soil, while higher contents of hydroxyl, alkoxy, methoxy, and amino groups are associated with higher fluorescence intensity [52]. According to the study of Zhou Ying et al. [53], the precursors of humus (such as polyphenols, quinones, and other complex compounds) will combine and transform into humus structure when corn stover decomposes. Wu J G et al. [54] used spectral method to study humic acid in soil applied to corn stover. The results showed that after corn stover was applied to the soil, the aliphatic components of soil humic acid (HA) increased, the aromatic components decreased, and the degree of HA oxidation was inhibited.

4.4. Analysis of HA Solid-State 13C-NMR Spectroscopy after Returning Straw and Biochar to the Fields

The hydrophobic C/hydrophilic C ratio can reflect the hydrophobic degree of humic substances [55], which is closely related to the stability of soil organic carbon and aggregates, and the ratio is positively related to the stability of soil organic carbon and aggregates [27]. Alkyl C/alkoxy C ratio reflects the degree of alkylation of humic substances, and it is usually used as an indicator of the degree of organic carbon decomposition [56]. Aromaticity reflects the degree of aromatization of HA structure, and it is generally believed that the higher the value, the more complex the HA structure is [55]. Solid state 13C CPMAS NMR analysis of soil HA showed that the hydrophobicity and aromatics of HA structure weakened after straw and biochar were applied to soil, and the molecules tended to be simplified (Table 8). This is mainly because after the straw is applied into the soil, the microbial activity is increased, under the action of microorganisms, part of the original complex structure of HA is decomposed, resulting in the reduction of HA condensation degree and oxidation degree. At the same time, some new HA may be formed, and the newly formed HA has lower relative content of carboxyl carbon and aromatic carbon, that is, the oxidation degree, condensation degree, and thermal stability are low. Thus, the structure of HA becomes simpler and younger [57]. The structure of HA in soil changed significantly after biochar application compared with straw application, which was mainly due to the size exclusion phenomenon in micropores of biochar, resulting in easier adsorption of smaller aliphatic molecules than large aromatic molecules [58]. In addition, biochar developed porosity and huge specific surface area [59], so more aliphatic molecules are adsorbed, which leads to simpler molecular structure of HA. Shao M J et al. [60] used nuclear magnetic technology to study the structure of humic acid after straw returning to the fields and also showed that the HA structure was easy to decompose, and showed weakened hydrophobicity and enhanced activity after straw returning to the fields. In addition, during tillage, the surface soil is more disturbed, so that its air permeability, water permeability, and microbial activity are higher than those of the subsurface soil. However, when the soil is deeper than the subsurface soil, the air permeability is lower and the soil is less disturbed. At the same time, the roots are less extended to the subsurface soil. Organic matter has a high degree of oxidation and condensation [61]. Tingting Cui et al. [62] studied the effect of straw depth on the content of soil humus components, and extracted soil humic acid solid samples for structural characterization. The results showed that straw depth also contributed to the accumulation of organic carbon content in surface soil and its humus components WSS, HA, FA, and Hu, and the stability of HA aliphatic structure in subsurface soil was enhanced.

5. Conclusions

Both straw and biochar returned to the fields every other year could significantly reduce the degree of condensation and oxidation of soil HA structure, leading to the development of simplified HA structure. After planting in 2019, the 2920/1620 ratio of topsoil treated with CKS and CKB increased by 10.41% and 18.26%, respectively, compared with CK, while the subsurface increased by 5.36% and 6.80%, respectively. After planting in 2018, the aromaticity of HA on CKS and CKB was reduced by 3.45% and 3.91%, respectively, compared with CK. The pattern is the same after planting in the remaining planting years. For the above changes, compared with straw returning, the effect of biochar addition on the simplification of HA structure was more obvious.
This study can be used as a reference for the research on the time effect of returning straw and biomass carbon to the fields, and can also to provide a basis for the research on the composition of humus after returning organic materials to the fields.

Author Contributions

S.D. contributed to the conception of the study; X.L. performed the experiment and performed the data analyses, wrote the manuscript, and translated the language of the manuscript. S.Z. checked the manuscript. All authors have read and agreed to the published version of the manuscript.

Funding

The study was supported by the National Key Research and Development Program of China (2016YFD0200304).

Institutional Review Board Statement

Not applicable.

Informed Consent Statement

Not applicable.

Data Availability Statement

Not applicable.

Conflicts of Interest

The authors declare no conflict of interest.

References

  1. Lal, R.; Lorenz, K.; Hüttl, R.; Schneider, B.; von Braun, J. Ecosystem Services and Carbon Sequestration in the Biosphere; Springer: Dordrecht, The Netherlands, 2013. [Google Scholar]
  2. Ghimire, R.; Lamichhane, S.; Acharya, B.S.; Bista, P.; Sainju, U.M. Tillage, crop residue, and nutrient management effects on soil organic carbon in rice-based cropping systems: A review. J. Integr. Agric. 2017, 16, 1–15. [Google Scholar] [CrossRef]
  3. West, T.O.; Post, W.M. Soil organic carbon sequestration rates by tillage and crop rotation: A global data analysis. Soil Sci. Soc. Am. J. 2002, 66, 1930–1946. [Google Scholar] [CrossRef]
  4. Vanden Bygaart, A.J.; Gregorich, E.G.; Angers, D.A. Influence of agricultural management on soil organic carbon: A compendium and assessment of Canadian studies. Can. J. Soil Sci. 2003, 83, 363–380. [Google Scholar] [CrossRef]
  5. Singh, B.; Malhi, S.S. Response of soil physical properties to tillage and residue managementon two soils in a cool temperate environment. Soil Tillage Res. 2006, 85, 143–153. [Google Scholar] [CrossRef]
  6. Blanco-Canqui, H.; Lal, R. Corn stover removal impacts on micro-scale soil physical properties. Geoderma 2008, 145, 335–346. [Google Scholar] [CrossRef]
  7. Florian, A.; Stefan, P.; Jutta, G.; Peter, D.; Karlheinz, W.; Stephen, N. Evaluierung der Nachhaltig Positiven Wirkung von Kompost auf die Fruchtbarkeit und Produktivität von Böden; Bundesministerium für Land-und Forstwirtschaft, Umwelt und Wasserwirtschaft: Vienna, Austria, 2006. [Google Scholar]
  8. Perucci, P. Enzyme activity and microbial biomass in a fields soil amended with municipal refuse. Biol. Fertil. Soils 1992, 14, 54–60. [Google Scholar] [CrossRef]
  9. Rottmann, N.; Dyckmans, J.; Joergensen, R.G. Microbial use and decomposition of maize leaf straw incubated in packed soil columns at different depths. Eur. J. Soil Biol. 2010, 46, 27–33. [Google Scholar] [CrossRef]
  10. Suriyagoda, L.; De Costa, W.A.J.M.; Lambers, H. Growth and phosphorus nutrition of rice when inorganic fertiliser application is partly replaced by straw under varying moisture availability in sandy and clay soils. Plant Soil 2014, 384, 53–68. [Google Scholar] [CrossRef]
  11. Sodhi, G.P.S.; Beri, V.; Benbi, D.K. Soil aggregation and distribution of carbon and nitrogen in different fractions under long-term application of compost in rice-wheat system. Soil Tillage Res. 2009, 103, 412–418. [Google Scholar] [CrossRef]
  12. Glaser, B.; Lehmann, J.; Zech, W. Ameliorating physical and chemical properties of highly weathered soils in the tropics with charcoal: A review. Biol. Fertil. Soils 2002, 35, 219–230. [Google Scholar] [CrossRef]
  13. Jiménez, M.N.; Pinto, J.R.; Ripoll, M.A. Impact ofstrawand rock-fragment mulches onsoilmoisture and early growth of holm oaks in a semiarid area. Catena 2017, 152, 198–206. [Google Scholar] [CrossRef]
  14. Devêvre, O.C.; Horwáth, W.R. Decomposition of rice straw and microbial carbon use efficiency under different soil temperatures and moistures. Soil Biol. Biochem. 2000, 32, 1773–1785. [Google Scholar] [CrossRef]
  15. Suliman, W.; Harsh, J.B.; Abu-Lail, N.I.; Fortuna, A.-M.; Dallmeyer, I.; Garcia-Pérez, M. The role of biochar porosity and surface functionality in augmenting hydrologic properties of a sandy soil. Sci. Total Environ. 2017, 574, 139–147. [Google Scholar] [CrossRef]
  16. Jones, D.L.; Rousk, J.; Edwards-Jones, G.; DeLuca, T.H.; Murphy, D.V. Biochar-mediated changes in soil quality and plant growth in a three year fields trial. Soil Biol. Biochem. 2012, 45, 113–124. [Google Scholar] [CrossRef]
  17. Solaiman, Z.M.; Anawar, H.M. Application of biochars for soil constraints: Challenges and solutions. Pedosphere 2015, 25, 631–638. [Google Scholar] [CrossRef]
  18. Brodowski, S.; John, B.; Flessa, H.; Amelung, W. Aggregate-occluded black carbon in soil. Eur. J. Soil Sci. 2006, 57, 539–546. [Google Scholar] [CrossRef]
  19. Kimetu, J.M.; Lehmann, J. Stability and stabilisation of biochar and green manure in soil with different organic carbon contents. Aust. J. Soil Res. 2010, 48, 577–585. [Google Scholar] [CrossRef]
  20. Vergnoux, A.; Guiliano, M.; Di Rocco, R.; Domeizel, M.; Théraulaz, F.; Doumenq, P. Quantitative and mid-infrared changes of humic substances from burned soils. Environ. Res. 2011, 111, 205–214. [Google Scholar] [CrossRef]
  21. Gramss, G.; Ziegenhagen, C.; Sorge, S. Degradation of soil humus extract by wood-and soil eassociated fungi, bacteria and commercial enzymes. Microb. Ecol. 1999, 37, 140–151. [Google Scholar] [CrossRef]
  22. Grinhut, T.; Hadar, Y.; Chen, Y. Degradation and transformation of humic substances by saprotrophic fungi: Processes and mechanisms. Fungal Biol. Rev. 2007, 21, 179–189. [Google Scholar] [CrossRef]
  23. Song, X.Y.; Liu, S.T.; Liu, Q.H.; Zhang, W.J.; Hu, C.G. Carbon sequestration in soil Humic substances under long-term fertilization in a wheat-maize system from north China. J. Integr. Agric. 2014, 13, 562–569. [Google Scholar] [CrossRef]
  24. Faiyz, Y. CPMAS 13C NMR characterization of humic acids from composted agricultural Saudi waste. Arab. J. Chem. 2012, 29, 1878–5352. [Google Scholar]
  25. Qualls, R.G. Biodegradabukuty of humic substances and other fractions of decomposing leaf litter. Soil Sci. Soc. Am. J. 2004, 68, 1705–1712. [Google Scholar] [CrossRef]
  26. Buurman, P.; Nierop, K.G.J.; Kaal, J.; Senesi, N. Analytical pyrolysis and thermally assisted hydrolysis and methylation of EUROSOIL humic acid samples-A key to their source. Geoderma 2009, 150, 10–22. [Google Scholar] [CrossRef]
  27. Spaccini, R.; Mbagwu, J.S.C.; Conte, P.; Piccolo, A. Changes of humic substances characteristics from forested to cultivated soils in Ethiopia. Geoderma 2006, 132, 9–19. [Google Scholar] [CrossRef]
  28. Zhu, Q.T.; Shen, L.Y.; Qian, L.H.; Guo, S.W.; Dai, J.Y. Effects of organic materials on the structure of Humic acid in white soil. Plant Nutr. Fertil. Sci. 2015, 02, 396–403. (In Chinese) [Google Scholar]
  29. Meng, F.R.; Dou, S.; Yin, X.B.; Zhang, G.; Zhong, S.L. Effects of corn stover biochar on humus composition and humic acid structure in black soil. J. Agro-Environ. Sci. 2016, 35, 122–128. (In Chinese) [Google Scholar]
  30. Jiang, C.S.; Yang, J.H.; Xie, D.T.; Qu, M. Decay of organic materials in newly-weathered purple rock fragments and its adjustment. J. Southwest Univ. (Nat. Sci.) 2001, 23, 463–467. [Google Scholar]
  31. Dai, Z.G. Study on Nutrient Release Characteristics of Crop Residue and Effect of Crop Residue Returning on Crop Yield and Soil Fertility. Master’s Thesis, Huazhong Agricultural University, Wuhan, China, 2009. [Google Scholar]
  32. Lu, R.K. Methods for Agricultural Chemical Analysis of Soil; China Agricultural Science and Technology Press: Beijing, China, 2000; pp. 22–36. (In Chinese) [Google Scholar]
  33. FAO-ISRIC. Guidelines for Soil Description, Thirded, Revised, Food and Agricultural Organization; FAO: Rome, Italy, 1990. [Google Scholar]
  34. Conte, P.; Piccolo, A.; van Lagen, B.; Buurman, P.; de Jager, P.A. Quantitative differences in evaluating soil humic substanves by liquid and solid-state 13C-NMR spectroscopy. Geoderma 1997, 80, 339–352. [Google Scholar] [CrossRef]
  35. Lim, B.; Cachier, H. Determination of black carbon by chemical oxidation and thermal treatment in recent marine and lake sediments and Cretaceous-Tertiary clays. Chem. Geol. 1996, 131, 143–154. [Google Scholar] [CrossRef]
  36. Dang, J.Y.; Pei, X.X.; Zhang, D.Y.; Wang, J.A.; Zhang, J. Effects of nitrogen application mode under Straw Returning on Growth and Fertilizer utilization of Winter Wheat. J. Wheat Wheat Crops 2014, 34, 1552–1558. (In Chinese) [Google Scholar]
  37. Zhao, S.C.; Cao, C.Y.; Li, K.J.; Qiu, S.J.; Zhou, W.; He, P. Effects of long-term straw returning on Soil fertility, nitrogen pool composition and Crop yield in North China. Chin. J. Plant Nutr. Fertil. 2014, 20, 1441–1449. (In Chinese) [Google Scholar]
  38. Chen, H.X.; Du, Z.L.; Guo, W.; Zhang, Q.-Z. Effects of biochar application on soil bulk density, cation exchange capacity and particulate organic matter content in intensive cropland in North China. Chin. J. Appl. Ecol. 2011, 22, 2930–2934. (In Chinese) [Google Scholar]
  39. Zhou, M.; Xiao, Y.; Liu, X.B. Spectral analysis of soil active organic matter components and its application. Soil 2020, 52, 1093–1104. (In Chinese) [Google Scholar]
  40. Topoliantz, S.; Ponge, J.F.; Ballof, S. Manioc peel and charcoal: A potential organic amendment for sustainable soil fertility in the tropics. Biol. Fertil. Soils 2005, 41, 15–21. [Google Scholar] [CrossRef]
  41. Klaus, L.; Rattan, L. The Depth Distribution of Soil Organic Carbon in Relation to Land Use and Management and the Potential of Carbon Sequestration in Subsoil Horizons. Adv. Agron. 2005, 88, 35–66. [Google Scholar]
  42. Ashagrie, Y.; Zech, W.; Guggenberger, G. Transformation of a Podocarpus falcatus dominated natural forest into a monoculture Eucalyptus globulus plantation at Munesa, Ethiopia: Soil organic C, N and S dynamics in primary particle and aggregate-size fractions. Agric. Ecosyst. Environ. 2005, 106, 89–98. [Google Scholar] [CrossRef]
  43. Valdrighi, M.M.; Pera, A.; Scatena, S.; Agnolucci, M.; Vallini, G. Effects of humic acids extracted from mined lignite or composted vegetable residues on plant growth and soil microbial populations. Compost. Sci. Util. 1995, 3, 30–38. [Google Scholar] [CrossRef]
  44. Spaccini, R.; Piccolo, A.; Conte, P.; Haberhauer, G.; Gerzabek, M.H. Increased soil organic carbon sequestration through hydrophobic protection by humic substances. Soil Biol. Biochem. 2002, 34, 1839–1851. [Google Scholar] [CrossRef]
  45. Spaccini, R.; Alessandro, A. Soil Organic Carbon stabilization in compost amended soils. In Proceedings of the Global Symposium on Soil Organic Carbon 2017, Rome, Italy, 21–23 March 2017. [Google Scholar]
  46. Jimenez-Gonzalez, M.A.; Álvarezb, A.M.; Pilar, C.; Gonzalo, A. Chemometric assessment of soil organic matter storage and quality from humic acid infrared spectra. Sci. Total Environ. 2019, 685, 1160–1168. [Google Scholar] [CrossRef]
  47. Fan, W.; Wu, J.G.; Li, J.M.; Hu, J. Comparative effects of different maize straw returning modes on soil humus composition and humic acid structural characteristics in Northeast China. Chem. Ecol. 2018, 34, 355–370. [Google Scholar] [CrossRef]
  48. Song, G.X.; Novotny Etelvino, H.; Mao, J.D.; Hayes Michael, H.B. Characterization of transformations of maize residues into soil organic matter. Sci. Total Environ. 2017, 579, 1843–1854. [Google Scholar] [CrossRef] [PubMed]
  49. Dou, S.; Zhang, J.J.; Li, K. Effect of organic matter applications on 13C-NMR spectra of humic acids of soil. Eur. J. Soil Sci. 2008, 59, 532–539. [Google Scholar] [CrossRef]
  50. Giovanela, M.; Crespo, J.S.; Antunes, D.S.; Adamatti, D.S.; Fernandes, A.N.; Barison, A.; da Silva CW, P.; Guégan, R.; Motelica-Heino, M.; Sierra, M.M.D. Chemical and spectroscopic characterization of humic acids extracted from the bottom sediments of a Brazilian subtropical microbasin. J. Mol. Struct. 2010, 981, 111–119. [Google Scholar] [CrossRef]
  51. Nicola, S.; Teodoro, M.; Maria, P.; Gennaro, B. Characterization, differentiation, and classification of humic substances by fluorescence spectroscopy. Soil Sci. 1991, 152, 259–271. [Google Scholar]
  52. Senesi, N.; D’Orazio, V.; Ricca, R. Humic acids in the first generation of EUROSOILS. Geoderma 2003, 116, 325–344. [Google Scholar] [CrossRef]
  53. Zhou, Y.; Ammaiyappan, S.; Wong, W.C. Evaluation of humic substances during co-composting of food waste, sawdust and Chinese medicinal herbal residues. Bioresour. Technol. 2014, 168, 229–234. [Google Scholar] [CrossRef]
  54. Wu, J.G.; Wang, M.H.; Jiang, Y.M.; Xu, Y. Humic acids in the soil applied with corn stalk by spectroscopy measurements. Sci. Agric. Sin. 2005, 38, 1394–1400. [Google Scholar]
  55. Piccolo, A.; Mbagwu, J.S.C. Role of hydrophobic components of soil organic matter in soil aggregate stability. Soil Sci. Soc. Am. J. 1999, 63, 1801–1810. [Google Scholar] [CrossRef]
  56. Ussiri, D.A.N.; Johnson, C.E. Characterization of organic matter in a northern hardwood forest soil by 13C NMR spectroscopy and chemical methods. Geoderma 2003, 111, 123–149. [Google Scholar] [CrossRef]
  57. Zhu, S.; Dou, S.; Chen, L.Z. Effect of straw depth on structural characteristics of Humic acid in soil aggregates. Acta Pedoica Sin. 2015, 52, 747–758. (In Chinese) [Google Scholar]
  58. Smebye, A.; Alling, V.; Vogt, R.D.; Gadmar, T.C.; Mulder, J.; Cornelissen, G.; Hale, S.E. Biochar amendment to soil changes dissolved organic matter content and composition. Chemosphere 2016, 142, 100–105. [Google Scholar] [CrossRef]
  59. James, E.A.; Joseph, S. Characteristics of biochar: Microchemical properities. In Biochar for Environmental Management; Routledge: London, UK, 2009; pp. 33–52. [Google Scholar]
  60. Shao, M.J. Effect of Continuous Addition of Corn Stover and Its Decomposition and Carbonization Materials on Humus of Black Soil; Jilin Agricultural University: Changchun, China, 2018. (In Chinese) [Google Scholar]
  61. Cordula, V.; Doreen, B.; Geertje, J.P.; Heister, K.; Smalla, K.; Kögel-Knabner, I. Establishment of macro-aggregates and organic matter turnover by microbial communities in long-term incubated artificial soils. Soil Biol. Biochem. 2014, 79, 57–67. [Google Scholar]
  62. Cui, T.; Li, Z.; Wang, S. Effects of in-situ straw decomposition on composition of humus and structure of humic acid at different soil depths. J. Soils Sediments Vol. 2017, 1, 2391–2399. [Google Scholar] [CrossRef]
Figure 1. Changes in soil organic carbon content in 2018, 2019, 2020. CK stands for control soil; CKS represents 20–40 cm soil layer +10 t/ha crushed corn straw mixture returning to fields; CKB represents 20–40 cm soil layer +12 t/ha biochar mixture returning to fields. Small letters (a,b) in the figure represent standard error (SE), the same letter represents no significant difference (p < 0.05). The same below.
Figure 1. Changes in soil organic carbon content in 2018, 2019, 2020. CK stands for control soil; CKS represents 20–40 cm soil layer +10 t/ha crushed corn straw mixture returning to fields; CKB represents 20–40 cm soil layer +12 t/ha biochar mixture returning to fields. Small letters (a,b) in the figure represent standard error (SE), the same letter represents no significant difference (p < 0.05). The same below.
Sustainability 14 15946 g001
Figure 2. Changes in infrared spectrum of soil HA in 2018, 2019, 2020.
Figure 2. Changes in infrared spectrum of soil HA in 2018, 2019, 2020.
Sustainability 14 15946 g002
Figure 3. Changes in DTA and TG curves of soil HA in 2018, 2019, 2020.
Figure 3. Changes in DTA and TG curves of soil HA in 2018, 2019, 2020.
Sustainability 14 15946 g003
Figure 4. The excitation/emission matrices fluorescence spectra of soil HA in 2018, 2019, 2020.
Figure 4. The excitation/emission matrices fluorescence spectra of soil HA in 2018, 2019, 2020.
Sustainability 14 15946 g004
Figure 5. 13C CPMAS NMR spectra of soil HA in 2018, 2019, 2020.
Figure 5. 13C CPMAS NMR spectra of soil HA in 2018, 2019, 2020.
Sustainability 14 15946 g005
Table 1. Basic properties of the tested soil.
Table 1. Basic properties of the tested soil.
SampleLayerpHMoisture ContentBulk DensityOrganic Carbon ContentAvailable NAvailable PAvailable K0.053–2 mm Aggregate Component ContentCorn Yield
(cm)(%)(g/cm3)(g/kg)(mg/kg)(mg/kg)(mg/kg)(%)(kg/ha)
CK0–206.4615.121.2114.7481.819.392.369.829057
20–406.4314.961.2313.8673.218.785.664.23
Note: CK stands for untreated control soil with only fertilizer, the data were the mean values of 3 replicates.
Table 2. Basic properties of tested organic materials.
Table 2. Basic properties of tested organic materials.
Organic AmendmentspHOrganic Carbon
(g/kg)
Total Nitrogen
(g/kg)
Total Phosphorus
(g/kg)
C/N
Corn straw (CS)7.02302.46.563.5138.4
Biochar (Bc)7.07418.15.981.3149.5
Table 3. Design of fields experiment.
Table 3. Design of fields experiment.
TreatmentType of Material Addition Returning WayPlant and Number
(Plant)
Amount of Organic AmendmentsN FertilizerP2O5K2O
(t/ha)(kg/ha)
CKNoneNoneCorn 1022512060
CKSCS20–40 cm layer mixture returned every other yearCorn 11022512060
CKBBc20–40 cm layer mixture returned every other yearCorn 11222512060
Table 4. Changes of HA element content in 2018, 2019, 2020.
Table 4. Changes of HA element content in 2018, 2019, 2020.
YearTreatmentSoil Layer
(cm)
N
(%)
C
(%)
H
(%)
O+S
(%)
H/C(O+S)/CC/N
2018CK0–203.00 56.75 4.13 36.13 0.873 0.478 22.10
CKS3.83 60.70 4.53 30.93 0.896 0.382 18.50
CKB3.71 60.41 4.48 31.40 0.891 0.390 19.00
CK20–402.92 56.23 4.08 36.77 0.871 0.490 22.43
CKS3.77 60.25 4.56 31.42 0.908 0.391 18.67
CKB3.80 60.29 4.65 31.26 0.925 0.389 18.49
2019CK0–202.93 52.99 3.87 40.20 0.878 0.569 21.09
CKS3.05 53.27 3.94 39.75 0.887 0.560 20.40
CKB3.10 53.38 3.95 39.58 0.887 0.556 20.12
CK20–402.49 49.47 3.58 44.46 0.869 0.674 23.22
CKS2.92 53.30 4.21 39.57 0.948 0.557 21.29
CKB3.05 53.35 4.34 39.26 0.977 0.552 20.43
2020CK0–202.87 49.30 3.93 43.89 0.958 0.668 20.04
CKS3.00 50.59 4.05 42.35 0.960 0.628 19.64
CKB3.03 51.27 4.12 41.58 0.965 0.608 19.77
CK20–402.85 48.88 3.89 44.37 0.955 0.681 19.98
CKS2.98 50.57 4.18 42.26 0.993 0.627 19.78
CKB2.99 51.61 4.30 41.10 1.000 0.597 20.11
Note: CK stands for control soil; CKS represents 20–40 cm soil layer +10 t/ha crushed corn straw mixture returning to fields; CKB represents 20–40 cm soil layer +12 t/ha biochar mixture returning to fields. The same below.
Table 5. The relative intensity (semi-quantitative) changes of the main absorption peaks of soil HA infrared spectrum in 2018, 2019, 2020.
Table 5. The relative intensity (semi-quantitative) changes of the main absorption peaks of soil HA infrared spectrum in 2018, 2019, 2020.
YearTreatmentLayerRelative Intensity (%)Ratio
(cm)2920 cm−12850 cm−11720 cm−11620 cm−1I2920/I1720I2920/I1620
2018CK0–203.177 0.417 51.66 44.75 0.061 0.071
CKS4.023 0.476 46.52 48.99 0.086 0.082
CKB4.989 1.400 34.55 59.07 0.144 0.084
CK20–400.309 0.590 16.15 82.95 0.019 0.004
CKS2.332 0.893 8.08 88.70 0.289 0.026
CKB2.603 0.988 4.27 92.14 0.610 0.028
2019CK0–201.983 0.232 68.58 29.21 0.029 0.068
CKS3.170 0.266 54.28 42.29 0.058 0.075
CKB4.465 0.455 39.48 55.60 0.113 0.080
CK20–404.001 0.284 55.12 40.60 0.073 0.099
CKS5.083 0.524 45.45 48.95 0.112 0.104
CKB5.600 0.572 40.63 53.20 0.138 0.105
2020CK0–202.277 0.111 65.18 32.43 0.035 0.070
CKS4.597 0.376 41.22 53.81 0.112 0.085
CKB5.880 0.468 33.58 60.07 0.175 0.098
CK20–402.837 0.276 58.40 38.48 0.049 0.074
CKS5.386 0.543 33.79 60.28 0.159 0.089
CKB6.589 0.546 21.35 71.51 0.309 0.092
Table 6. Changes in DTA and TG curves of soil HA in 2018, 2019, 2020.
Table 6. Changes in DTA and TG curves of soil HA in 2018, 2019, 2020.
YearTreatmentLayer
(cm)
Exothermic Heat (kJ/g)Exothermic Heat Ratio of Moderate and High TemperatureMass Loss (mg/g)Mass Loss Ratio of Moderate and High Temperature
ModerateHighModerate High
TemperatureTemperature
2018CK0–200.0647 4.635 71.605 1751 5179 2.958
CKS0.0703 4.674 66.524 1770 5213 2.945
CKB0.0821 4.876 59.369 1787 5258 2.942
CK20–400.0626 5.017 80.144 1660 5062 3.049
CKS0.0946 6.075 64.204 1900 5405 2.845
CKB0.1240 6.490 52.339 2130 5437 2.553
2019CK0–200.0621 3.532 56.913 1144 4384 3.832
CKS0.0672 3.769 56.120 1558 4919 3.157
CKB0.0931 3.823 41.081 1589 5012 3.154
CK20–400.0512 2.580 50.400 834 4018 4.819
CKS0.2676 4.458 16.659 1429 4727 3.308
CKB0.3540 6.381 18.025 1461 4825 3.303
2020CK0–200.0188 5.893 313.541 1394 4290 3.077
CKS0.0257 6.011 234.256 1472 4500 3.057
CKB0.0615 7.173 116.710 1674 5088 3.039
CK20–400.0110 7.458 679.235 1653 6024 3.644
CKS0.0353 8.164 231.406 1947 6113 3.140
CKB0.0471 8.469 180.000 1978 6174 3.121
Table 7. Excitation (Ex)/emission (Em) wavelength and fluorescence intensity (FI) of peaks of soil HA in 2018, 2019, 2020.
Table 7. Excitation (Ex)/emission (Em) wavelength and fluorescence intensity (FI) of peaks of soil HA in 2018, 2019, 2020.
YearTreatmentLayer (cm)Peak APeak BPeak C
Ex/EmFI (a.u.)Ex/EmFI (a.u.)Ex/EmFI (a.u.)
2018CK0–20370/51295.4 460/529105.6 290/5051064.8
CKS370/507126.0 460/533139.4 290/5151555.3
CKB370/520150.4 460/531194.7 290/5171705.9
CK20–40370/50794.5 460/53399.7 290/514958.0
CKS370/519158.3 460/527202.9 290/5211875.6
CKB370/516160.4 460/527205.9 290/5311908.0
2019CK0–20370/504145.1 460/534185.6 290/5161634.8
CKS370/512149.2 460/530192.3 290/5271640.0
CKB370/513150.2 460/529196.8 290/5191657.3
CK20–40370/50997.7 460/53092.3 290/514967.1
CKS370/509150.2 460/526195.9 290/5201662.1
CKB370/517154.9 460/534199.5 290/5251700.0
2020CK0–20370/517121.5 460/534144.1 290/5151330.4
CKS370/513124.8 460/525165.6 290/5111428.8
CKB370/505128.2 460/529165.8 290/5201455.3
CK20–40370/523117.0 460/531143.7 290/5281070.1
CKS370/515135.9 460/518173.5 290/5161436.0
CKB370/520137.2 460/528176.9 290/5211540.5
Table 8. Relative contents of various types of carbon in 13C CPMAS NMR spectra of soil HA in 2018, 2019, 2020.
Table 8. Relative contents of various types of carbon in 13C CPMAS NMR spectra of soil HA in 2018, 2019, 2020.
YearLayer
(cm)
TreatmentAlkyl C
(0–50 ppm)
O-Alkyl C
(50–110 ppm)
Aromatic C
(110–60 ppm)
Carbonyl C
(160–230 ppm)
Aliphatic C
(0–110 ppm)
Aliphatic C/Aromatic CAlkyl C/O-Alkyl CHydrophobic C/Hydrophilic CAromaticity
201820–40CK0.241 0.117 0.520 0.121 0.359 0.689 2.063 3.194 59.20
CKS0.204 0.166 0.494 0.136 0.370 0.750 1.224 2.305 57.16
CKB0.187 0.157 0.454 0.202 0.344 0.758 1.191 1.786 56.88
2019CK0.129 0.042 0.591 0.239 0.171 0.289 3.082 2.567 77.55
CKS0.138 0.056 0.576 0.230 0.194 0.337 2.484 2.497 74.80
CKB0.131 0.121 0.518 0.231 0.252 0.486 1.082 1.843 67.28
2020CK0.100 0.105 0.614 0.181 0.205 0.333 0.952 2.497 75.00
CKS0.092 0.110 0.588 0.210 0.202 0.344 0.842 2.127 74.39
CKB0.153 0.223 0.465 0.159 0.376 0.808 0.686 1.617 55.32
Publisher’s Note: MDPI stays neutral with regard to jurisdictional claims in published maps and institutional affiliations.

Share and Cite

MDPI and ACS Style

Liu, X.; Dou, S.; Zheng, S. Effects of Corn Straw and Biochar Returning to Fields Every Other Year on the Structure of Soil Humic Acid. Sustainability 2022, 14, 15946. https://doi.org/10.3390/su142315946

AMA Style

Liu X, Dou S, Zheng S. Effects of Corn Straw and Biochar Returning to Fields Every Other Year on the Structure of Soil Humic Acid. Sustainability. 2022; 14(23):15946. https://doi.org/10.3390/su142315946

Chicago/Turabian Style

Liu, Xin, Sen Dou, and Shuang Zheng. 2022. "Effects of Corn Straw and Biochar Returning to Fields Every Other Year on the Structure of Soil Humic Acid" Sustainability 14, no. 23: 15946. https://doi.org/10.3390/su142315946

APA Style

Liu, X., Dou, S., & Zheng, S. (2022). Effects of Corn Straw and Biochar Returning to Fields Every Other Year on the Structure of Soil Humic Acid. Sustainability, 14(23), 15946. https://doi.org/10.3390/su142315946

Note that from the first issue of 2016, this journal uses article numbers instead of page numbers. See further details here.

Article Metrics

Back to TopTop