Effects of Warming on Microbial Community Characteristics in the Soil Surface Layer of Niaodao Wetland in the Qinghai Lake Basin
Abstract
1. Introduction
2. Materials and Methods
2.1. Overview of the Study Area
2.2. Research Methodology
2.2.1. Sample Plot Setup and Warming Treatment
2.2.2. Soil DNA Extraction and Library Construction
2.2.3. Data Pre-Processing
2.2.4. Metagenomic Assembly and Quality Assessment
2.2.5. Data Analysis
2.2.6. Determination of Soil Physical and Chemical Properties
3. Results
3.1. Effects of Warming on Soil Microbial Community Composition in NLW
3.2. Effect of Warming on Microbial Diversity in NLW
3.2.1. Effect of Warming on Microbial α-Diversity
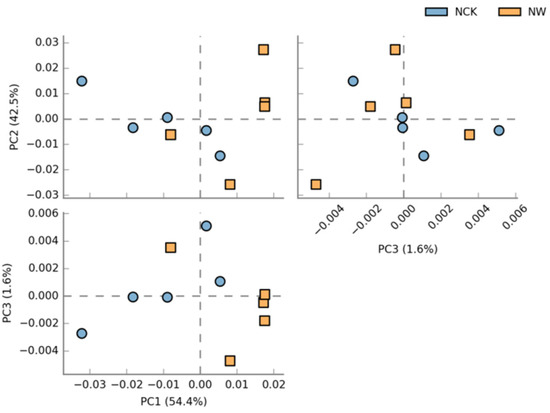
3.2.2. Effect of Warming on Microbial β-Diversity
3.3. Differential Analysis of Warming on Soil Microorganisms in NLW
3.4. Effect of Warming on Soil Microbial Pathways
3.5. Analysis of the Relationship between Soil Environmental Factors and Microbial Community Composition under Warming and Natural Control Conditions
4. Discussion
5. Conclusions
Supplementary Materials
Author Contributions
Funding
Institutional Review Board Statement
Informed Consent Statement
Data Availability Statement
Acknowledgments
Conflicts of Interest
References
- IPCC. Climate Change 2022: Mitigation of Climate Change; Cambridge University Press: Cambridge, UK; New York, NY, USA; IPCC: Geneva, Switzerland, 2022. [Google Scholar]
- Lin, Y.; Hu, H.; Qiu, L.; Lin, S.; He, Z.; Zhang, Y.; Huang, Z.; Huang, X. Surface soil microbial biomass and its influencing factors of three plantations in coastal sandy land. J. Northeast. For. Univ. 2017, 45, 85–90. [Google Scholar]
- Oshoma, C.; Igbeta, B.; Omonigho, S. Analysis of microbiological and physiochemical properties of top soil from municipal dumpsites in Benin City. J. Appl. Sci. Environ. Manag. 2017, 21, 985. [Google Scholar] [CrossRef][Green Version]
- Liu, Y.; Tian, H.; Li, J.; Wang, H.; Liu, S.; Liu, X. Reduced precipitation neutralizes the positive impact of soil warming on soil microbial community in a temperate oak forest. Sci. Total Environ. 2022, 806, 150957. [Google Scholar] [CrossRef] [PubMed]
- Yin, H.; Zhang, Z.; Liu, Q. Root exudates and their ecological consequences in forest ecosystems: Problems and perspective. Chin. J. Plant Ecol. 2018, 42, 1055–1070. [Google Scholar] [CrossRef]
- Zhalnina, K.; Louie, K.; Zhao, H.; Mansoori, N.; Rocha, U.; Shi, S.; Cho, H.; Karaoz, U.; Loqué, D.; Bowen, B.; et al. Dynamic root exudate chemistry and microbal substrate preferences drive patterns in rhizosphere microbal community assembly. Nat. Microbiol. 2018, 3, 470–480. [Google Scholar] [CrossRef] [PubMed]
- Yergeau, E.; Bokhorst, S.; Kang, S.; Zhou, J.; Greer, C.; Aerts, R.; Kowalchuk, G. Shifts in soil microorganisms in response to warming are consistent across a range of Antarctic environments. ISME J. 2012, 6, 692. [Google Scholar] [CrossRef] [PubMed]
- Zhou, J.; Xue, K.; Xie, J.; Deng, Y.; Wu, L.; Cheng, X.; Fei, S.; Deng, S.; He, Z.; Nostrand, J.; et al. Microbial mediation of carbon-cycle feedbacks to climate warming. Nat. Clim. Chang. 2012, 2, 106–110. [Google Scholar] [CrossRef]
- Fey, S.; Drijler, R.; Smith, H.; Melillo, J. Microbal biomass, functional capacity, and community stnucture afier 12 years of soil warming. Soil Biol. Biochem. 2008, 40, 2904–2907. [Google Scholar]
- Ma, Z.; Zhao, W.; Zhao, C.; Wang, D.; Liu, M.; Li, D.; Liu, Q. Plants reguiate the effects of experimental waming on the soil microbial community in an alpine scrub ecosystem. PLoS ONE 2018, 13, e0195079. [Google Scholar]
- Hu, M.; Zhao, J.; Wang, X.; Xiong, X.; Zhang, H.; Chu, G.; Meng, Z.; Zhang, D. Effects of natural warming on soil microorganisms communities and functional genes of soil organic carbon metabolism in subtropical forests. Acta Ecol. Sin. 2022, 42, 359–369. [Google Scholar]
- Xu, J.; Su, X.; Jia, Z.; Du, M. Effects of warming on soil nitrogen transformation rates, microbial biomass carbon and nitrogen enzyme activity in crust-covered soil system. Acta Pedol. Sin. 2021, 58, 788–797. [Google Scholar]
- Wang, X.; Gao, Q.; Wang, C.; Yu, M. Spatiotemporal patterns of vegetation phenology change and relationships with climate in the two transects of East China. Glob. Ecol. Conserv. 2017, 10, 206–219. [Google Scholar] [CrossRef]
- Pries, C.; Castanha, C.; Porras, R.; Torn, M. The whole-soil carbon flux in response to warming. Science 2017, 355, 1420–1423. [Google Scholar] [CrossRef]
- Cui, Q.; He, Y.; Li, Z. Spatial-temporal variation of vegetation water use efficiency and its relationship with climate factors over the Qinghai-Tibetan Plateau, China. Chin. J. Appl. Ecol. 2022, 33, 1525–1532. [Google Scholar]
- Li, J.; Wang, C.; Fang, Z.; Tang, X.; Wan, B.; Zheng, Y. Probe to the soil microbial community composition and influencing factors in the NamCo and Yamzho Yumco wetlands on Qinghai-Tibet Plateau. J. Arid. Land Resour. Environ. 2021, 35, 171–176. [Google Scholar]
- Yang, Y.; Zhang, N.; Jiang, L.; Chen, K. Effects of simulated precipitation on soil edaphic physicochemical factors and microbial community characteristics in bird island of Qinghai Lake on the Tibetan Plateau. Acta Agrestia Sin. 2021, 29, 1043–1052. [Google Scholar]
- Jiang, X.; Niu, K. Effects of grass mixed-sowing on soil microbial diversity in the Qingzang (Tibetan) Plateau. Chin. J. Plant Ecol. 2021, 45, 539–551. [Google Scholar] [CrossRef]
- Xu, R.; Tan, M.; Zhu, J.; Liu, Z. The response of soil microbial diversity to the difference of N deposition concentration in alpine wetland. Chin. J. Biol. 2021, 38, 75–81. [Google Scholar]
- Li, J.; Cao, P.; Liu, Y.; Zhao, N.; Chen, S.; Liu, X. Study on bacterial diversity in rhizosphere soil of astragalus heydei in Qinghai-Tibet plateau. Environ. Ecol. 2020, 2, 18–24. [Google Scholar]
- Chen, J.; Cao, J.; Wei, Y.; Zhang, B.; Zhu, B.; Ma, Z. Primary study on the allocation pattern of grassland biomass under soil water gradient of Bird island in Qinghai Lake. Agric. Res. Arid. Areas 2014, 32, 202–208. [Google Scholar]
- Jiang, L.; Chen, K.; Zhu, J.; Xie, B.; Yang, Y.; Yang, Z. Responses of greenhouse gas fluxes of the Bird island wetland in Qinghai Lake to simulated precipitation changes. J. Lanzhou Univ. 2021, 57, 591–599+607. [Google Scholar]
- Yang, Z.; Che, Z.; Liu, F.; Chen, K. Precipitation gradient influence on daily greenhouse gas emission fluxes from a Qinghai Lake wetland. Arid. Zone Res. 2022, 39, 754–766. [Google Scholar]
- Zhou, J.; Bruns, M.; Tiedje, J. DNA recovery from soils of diverse composition. Appl. Environ. Microbiol. 1996, 62, 316–322. [Google Scholar] [CrossRef] [PubMed]
- Liu, P.; Zhang, T.; Zheng, Y.; Li, Q.; Liang, Q.; Qi, Q. Screening and genome analysis of a Pseudomonas stutzeri that degrades PET monomer terephthalate. J. Microbiol. 2022, 62, 200–212. [Google Scholar]
- Qu, D.; Feng, L. Comparative genomics of defense system in Shewanella baltica isolated from large yellow croaker. J. Microbiol. 2022, 62, 1876–1891. [Google Scholar]
- Li, Y. Establishment and Application of Automatic Analysis Process for Metagenomic Virus Identification on the Whole Platform. Ph.D. Thesis, Chinese Center for Disease Control and Prevention, Beijing, China, 2021. [Google Scholar]
- Wang, X. Preliminary Development of a New Method for the Analysis of Endophytic Microorganisms and Investigation on the Microbiome of Maize Roots under Cadmium Stress. Ph.D. Thesis, Anhui Agricultural University, Hefei, China, 2021. [Google Scholar]
- Parks, D.; Tyson, G.; Hugenholtz, P.; Beiko, R. STAMP: Statistical analysis of taxonomic and functional profiles. Bioinformatics 2014, 30, 3123–3124. [Google Scholar] [CrossRef]
- Liang, Y.; Tang, Z.; Li, L.; Qiao, F.; Wu, W.; Wu, K.; Wang, Z. Effect of tryptanthrin on intestinal flora in mice with ulcerative colitis based on high-throughput sequencing. Chin. J. Microecol. 2021, 33, 380–387+393. [Google Scholar]
- Guo, R.; Guan, R.; Lin, H. Diversity analysis and characteristic of fungal community in rhizosphere soil of Panax quinquefolium L. in different cropping years. Chin. J. Tradit. Chin. Med. 2022, 37, 4731–4736. [Google Scholar]
- Tian, L.; Jing, Y.; Zheng, B.; Peng, X.; Gong, J.; Wu, T.; Li, Z.; Li, Z.; Tian, X.; Zhou, Q.; et al. Analysis of microbial diversity of aged tobacco leaves in Liuyang Cave. Chin. J. Tob. 2022, 28, 98–107. [Google Scholar]
- Chen, M.; Zhu, Y.; Liu, B.; Wang, J.; Liu, X.; Yang, W. Diversity research of the soil bacterial jasminum sambac ait based on metagenome. J. Agric. Biotechnol. 2018, 26, 1480–1493. [Google Scholar]
- Yang, Y.; Chen, K.; Zhang, N.; Jiang, L. Responses of soil microbial community to different precipitation gradients in the alpine wetlands of Qinghai Lake Basin. J. Appl. Environ. Biol. 2022, 28, 290–299. [Google Scholar]
- Dirlrman, W.; Vicca, S.; Dijkstra, F.; Hagedorn, F.; Hovenden, M.; Larsen, K.; Morgan, J.; Volder, A.; Beier, C.; Dukes, J.; et al. Simple additive effects are rare: A quantitative review of plant biomass and soil process responses to combined manipulations of CO2 and temperature. Glob. Chang. Biol. 2012, 671, 2681–2693. [Google Scholar]
- Lange, M.; Habekost, M.; Eisenhauer, N.; Roscher, C.; Bessler, H.; Engels, C.; Oelmann, Y.; Scheu, S.; Wilcke, W.; Schulze, E.; et al. Biotic and abiotic properties mediating plant diversity effects on soil microbial communties in an experimtntal grassland. PLoS ONE 2014, 9, e96182. [Google Scholar] [CrossRef] [PubMed]
- Falkowski, P.; Fenchel, T.; Delong, E. The microbial engines that drive Earth’s biogeochemical cycles. Science 2008, 320, 1034–1039. [Google Scholar] [CrossRef]
- Zhang, N.; Chen, K.; Wang, H.; Yang, Y. Effect of simulated warming on soil microorganism of Bird island of Qinghai Lake. Bull. Microbiol. 2021, 48, 722–732. [Google Scholar]
- Zeng, H.; Bai, W.; Fang, J.; Xu, L.; Shang, G. Effects of simulated warming on soil bacterial communities of alpine swamp meadow in the Qinghai-Tibet Plateau. Environ. Sci. Technol. 2022, 45, 164–172. [Google Scholar]
- Wang, J.; Liu, C.; Lei, L.; Li, X.; Yao, M. Asymbiotic nitrogen-fixing bacteria and their nitrogen fixation potential. J. Microbiol. 2022, 62, 2861–2878. [Google Scholar]
- Rui, J.; Li, J.; Wang, S.; An, J.; Liu, W.; Lin, Q.; Yang, Y.; He, Z.; Li, X. Responses of bacterial communities to simulated climate changes in alpine meadow soil of the Qinghai-Tibet plateau. Appl. Environ. Microbiol. 2015, 81, 6070–6077. [Google Scholar] [CrossRef]
- Rösch, C.; Mergel, A.; Bothe, H. Biodiversity of denitrifying and dinitrogen-fixing bacteria in an acid forest soil. Appl. Environ. Microbiol. 2002, 68, 3818–3829. [Google Scholar] [CrossRef]
- George, P. Populations, Biocommunities, Ecosystems: A Relview of Controversies in Eoological Thinking; Bentham Science Publishers: Dubai, United Arab Emirates, 2012; pp. 46–92. [Google Scholar]
- Liu, T.; Li, R.; Dong, F.; Zheng, Y.; Li, Y. Research progress on metabolic transformations of pesticides in plants and microorganisms. Mod. Pestic. 2022, 21, 1–11. [Google Scholar]
- Zhang, Q.; Shamis, I.; Xu, D.; Wang, G.; Lin, X.; Jilani, G.; Hussain, N.; Chaudhry, A. Chemical fertilizer and organic manure inputs in soil exhibit a vice versa pattern of microbial community structure. Appl. Soil Ecol. 2012, 57, 1–8. [Google Scholar] [CrossRef]
- Lin, C.; Li, X.; Zhang, Y.; Sun, H.; Li, C.; Jin, L.; Yang, X.; Liu, K. Responses of different degradation stages of alpine wetland on soil microbial community in the Yellow River source zone. Environ. Sci. 2021, 42, 3971–3984. [Google Scholar]
- Wang, Z.; Jiang, X. Contrasting Responses of the Microbial Community Structure and Functional Traits to Soil pH in Purple Soils. Environ. Sci. 2022, 43, 3876–3883. [Google Scholar]
- Zhang, K.; Bao, K.; Yang, B.; Hu, B. The effects of understory vegetation on soil microbial community composition and structure. J. Appl. Environ. Biol. 2017, 23, 1178–1184. [Google Scholar]
- Qu, Y.; Song, Q.; Yang, H.; Zhao, K.; Zhao, M.; Liu, Y.; Wang, D.; Rong, Y. The Influence of Different Utilization Methods of Hulunbuir Grassland on the Structure of Soil Microbial Clusters. J. Grassl. 2021, 29, 1621–1627. [Google Scholar]









| Name | Natural Conditions (NCK) | Warming Conditions (NW) |
|---|---|---|
| Number of clean reads (pairs) | 37,141,761.40 ± 1,483,577.17 | 37,798,109.20 ± 12,939.17 |
| Classified reads (%) | 30.10 ± 0.6 | 30.4 ± 0.3 |
| Chordate reads (%) | 6.50 ± 0.1 | 6.50 ± 0.1 |
| Unclassified reads (%) | 69.90 ± 0.6 | 69.60 ± 0.3 |
| Microbial reads (%) | 23.49 ± 0.5 | 23.81 ± 0.25 |
| Bacterial reads (%) | 15.63 ± 0.42 | 16.40 ± 0.54 |
| Viral reads (%) | 0.10 ± 0.00 | 0.01 ± 0.00 |
| Fungal reads (%) | 1.20 ± 0.10 | 1.1 ± 0.00 |
| Protozoan reads (%) | 0.2 ± 0.00 | 0.2 ± 0.00 |
| Factors | NW | NCK |
|---|---|---|
| pH | 9.19 ± 0.07 * | 8.99 ± 0.06 |
| EC | 191.82 ± 4.5 ** | 164.92 ± 7.99 |
| ST | 16.74 ± 0.43 * | 15.56 ± 0.36 |
| TC | 27.33 ± 1.70 | 26.26 ± 3.07 |
| TN | 1.06 ± 1.10 | 2.22 ± 0.49 |
| SMC (%) | 24 ± 0.5 | 24.6 ± 0.1 |
Publisher’s Note: MDPI stays neutral with regard to jurisdictional claims in published maps and institutional affiliations. |
© 2022 by the authors. Licensee MDPI, Basel, Switzerland. This article is an open access article distributed under the terms and conditions of the Creative Commons Attribution (CC BY) license (https://creativecommons.org/licenses/by/4.0/).
Share and Cite
Che, Z.; Yu, D.; Chen, K.; Wang, H.; Yang, Z.; Liu, F.; Wang, X. Effects of Warming on Microbial Community Characteristics in the Soil Surface Layer of Niaodao Wetland in the Qinghai Lake Basin. Sustainability 2022, 14, 15255. https://doi.org/10.3390/su142215255
Che Z, Yu D, Chen K, Wang H, Yang Z, Liu F, Wang X. Effects of Warming on Microbial Community Characteristics in the Soil Surface Layer of Niaodao Wetland in the Qinghai Lake Basin. Sustainability. 2022; 14(22):15255. https://doi.org/10.3390/su142215255
Chicago/Turabian StyleChe, Zihan, Deyong Yu, Kelong Chen, Hengsheng Wang, Ziwei Yang, Fumei Liu, and Xia Wang. 2022. "Effects of Warming on Microbial Community Characteristics in the Soil Surface Layer of Niaodao Wetland in the Qinghai Lake Basin" Sustainability 14, no. 22: 15255. https://doi.org/10.3390/su142215255
APA StyleChe, Z., Yu, D., Chen, K., Wang, H., Yang, Z., Liu, F., & Wang, X. (2022). Effects of Warming on Microbial Community Characteristics in the Soil Surface Layer of Niaodao Wetland in the Qinghai Lake Basin. Sustainability, 14(22), 15255. https://doi.org/10.3390/su142215255

