Next Article in Journal
Eco-Innovation in New Energy Vehicle Supply Chains under Government Subsidies
Previous Article in Journal
Pesticide Use Practices among Female Headed Households in the Amhara Region, Ethiopia
 
 
Font Type:
Arial Georgia Verdana
Font Size:
Aa Aa Aa
Line Spacing:
Column Width:
Background:
Article

Assessing Open Space in Scotland: Reliability and Construct Validity of the Open Space Scale

by
Andrew Yu
1,* and
Stephanie Kwan Nga Lam
2
1
College of Arts, Humanities & Social Sciences, The University of Edinburgh, Edinburgh EH8 9JU, UK
2
Faculty of Social Sciences, Hong Kong Baptist University, Kowloon Tong, Hong Kong
*
Author to whom correspondence should be addressed.
Sustainability 2022, 14(22), 15203; https://doi.org/10.3390/su142215203
Submission received: 22 October 2022 / Revised: 11 November 2022 / Accepted: 14 November 2022 / Published: 16 November 2022
(This article belongs to the Section Sustainable Urban and Rural Development)

Abstract

The design of open spaces is the subject of interest when searching for solutions to promote well-being and a better quality of life for dwellers, especially those who live in urban areas. A user-friendly open space that meets the needs of an area has become a major concern in sustainable city design, environmental health, and psychological health. Thus, a universal scale that can be applied in different places is needed to study the different needs of different areas. This study systematically adapted the Open Space Scale previously developed in Hong Kong and assessed the reliability and constructed validity of the adapted version in Scotland; 535 samples from Edinburgh and Glasgow completed the revised version of the scale. The Confirmatory Factor Analysis indicated a good model fit and factor loadings in the revised scale. Overall, the Open Space Scale-Revised demonstrated satisfactory measurement properties. In the future, this scale can be used with other scales for further analysis and more complex structural equation models. This scale can also be used in conjunction with other scales for various types of policy analysis to provide policymakers and urban planners with substantial data. For example, one can measure the influence of open spaces on physical and psychological health in an area, such as well-being and sense of belonging, to decide if it is required to improve or expand the proportion of open spaces in that area.

1. Introduction

The design of open spaces is often considered a vital part of town planning as open spaces provide chances for recreation, socialisation, and interaction [1]. Over the last few years, town planners have argued that satisfactory open spaces can enhance the sense of attachment of people in their communities [2]. Open spaces have been revealed to have a positive influence on people’s mental and physical health through numerous studies. For example, Topcu claimed that open spaces such as parks and gardens are essential to physical and social well-being networks [3]. A study by Scotland’s Nature Agency published in 2020 found that nearly 70 per cent of people believe that spending time outdoors in open spaces helps them reduce stress; 56 per cent of people agreed that open spaces have improved their physical health [4]. A study at the University of Edinburgh revealed that green spaces were related to lower stress levels among university students [5]. Another study in Sheffield found that the primary users of parks are children—many parents bring their children to parks to play, socialise, exercise, and connect with nature [6]. For older adults, previous studies have found that open spaces are associated with older adults’ mental health and thus their chances of achieving a successful retirement [7,8,9,10,11]. The research has also found that open spaces are crucial in promoting active ageing [12,13,14,15].
There are some points to consider when planning open spaces. The World Health Organisation suggested that eleven elements should be considered when planning open space, including services, environment, security, green space, outdoor seating, sidewalks, paths, road traffic, cycle lanes, buildings, and lavatories [16]. Moreover, some researchers have proposed the consideration of environment, facilities, location, and accessibility in planning open spaces [2]. These elements are vital because the environment, security, and amenities in an open space affect the health and social interactions of users of open spaces [17]; while location and accessibility are associated with the use of open spaces [18].
Many countries and localities define open space and specify the criteria that should be considered when planning open spaces. For example, in Hong Kong, an open space is a ‘statutory land use area that provides open space and recreational facilities for the public’, according to the Hong Kong Planning Standards and Guidelines [19]. Based on this definition, open spaces can be parks, gardens, rest areas, coastal walks, recreational areas, children’s play areas, and jogging trails in Hong Kong [19]. The Planning Standards and Guidelines were first published in 1990 when Hong Kong was still a British colony and they are still in use today.
However, there is no uniform definition of open space in the United Kingdom regarding size, quality, or description. Nor is there a general or statutory understanding of what is meant by open spaces. Traditionally, many of today’s open spaces were enclosed land in the past, often surrounding palaces or mansions for deer protection and landscaping for the entertainment and recreation of monarchs or landowners. Iron railings in most open spaces and parks were not removed until the Second World War [20]. The first legal explanation of open space is listed in Section 20 of the Open Spaces Act 1906, which states that open space is any land that is used as a garden, recreational area, or uninhabited [20]. For park, it was only defined in Section 15 of the Local Government Finance Act 1988 for council tax rating purposes [20]. Currently, the primary definition of open spaces is based on a passage in the Town and Country Planning Act 1990, which has a similar definition to Section 20 of the Open Spaces Act 1906 [21].
The British government basically has no clear requirements for the standards that should be considered when planning open spaces. In the National Planning Policy Framework, only Articles 98 and 100 refer to planning standards for open spaces [22]. Articles 98 and 100 only focus on the needs of facilities and public rights of access [22]. Apart from that, there is no clear standard requirement for open spaces. The provisions also simply require planners to conduct an assessment based on local situations and decide how to plan open spaces based on the information obtained from the assessment. Therefore, planning open spaces in the United Kingdom is often the responsibility of local councils. Since local councils in the United Kingdom have a certain degree of autonomy and political wrestling, each local council has different planning urban standards, which leads to some counties having enough open spaces, while some counties cannot meet the psychological and physical needs of residents [23]. For example, an ethnographic study in London in 2022 found that policy and planning interventions aimed at increasing green space use often led to unplanned consequences, including a decrease in actual use in some cases [23].
The characteristics of open spaces are the subject of interest when searching for solutions to foster well-being and a better quality of life for dwellers, especially those who live in urban areas. A user-friendly open space that caters to an area’s needs has become a major concern in sustainable urban planning, environmental health, and psychological health. Understanding the different needs and expectations of different communities regarding the use of open spaces is essential, especially in the post-COVID-19 era, when many studies found that open spaces are important for people to recover from COVID-19. In a recent study, 90 per cent of British respondents said that open spaces had enhanced their quality of life throughout the pandemic [24]. A report in the United States of America showed that woodland in green areas improved mental health during the pandemic [25]. One study also found that residents of Perth in Australia and Moscow in Russia appreciate and rely on open-air green areas to support their well-being, particularly during the pandemic [26].
However, in understanding people’s needs for open space, we have lacked effective measurement tools or scales to understand the needs of people in different regions. Urban planners often can only rely on their own experience or refer to the experience of other regions to design open spaces (especially in the case of the United Kingdom), which frequently leads to the inability to meet the needs of residents. Thus, a universal scale that can be applied in different places is needed to study the different needs of different areas. This study adapted the scale developed by Yu, who previously used the scale in Hong Kong and assessed the construct validity of the scale for Scottish adults [27].

2. Materials and Methods

2.1. Design and Participants

This study is quantitative and cross-sectional. The sample was collected in Edinburgh and Glasgow, two major cities in Scotland. A face-to-face survey was conducted in Glasgow Green and the Meadows in the summer of 2021. The selected locations are, respectively, the primary public open space in Glasgow city centre and Edinburgh city centre. The participants were asked to rate different open space attributes. A convenience sample of 535 was obtained. The recruited participants were aged 18 years and over and were in a good physical and mental state to complete the questionnaire.

2.2. Instruments

In this study, open spaces were measured by the Quality of Open Space Scale developed by Yu [27]. This is a 4-point Likert scale with 12 questions related to different open space attributes (Table 1). The original scale had acceptable reliability (Cronbach’s α = 0.805) and four factors were suggested in the study: which were (1) Social and Recreational Facility, (2) Environment, (3) Location, and (4) Entrance [27].

2.3. Data Processing and Analysis

The questionnaire data were analysed with JASP version 0.16.13 [28]. Since the scale has been used for exploratory factor analysis and published before, this study directly conducted Confirmatory Factor Analysis to examine the fit of the data to different models (Table 2). The analysis started with a baseline model (null model), reflecting the null theory that the latent construct of open space is constituted of numerous independent factors. Then, the single-factor model was examined, which evaluated the measured variables as a single latent factor. This model assumed that the twelve measurement variables of the Open Space Scale measure only one common factor rather than some individual factors. If this pattern is supported, the scale presents only a single dimension of the construct. The third model assumed that the Open Space Scale has some different factors that are independent of each other. If this pattern is supported, the scale can be divided into different factors, but the factors belong to different constructs that are uncorrelated. On the contrary, the fourth model allowed the correlation of latent constructs. This model assumed that the Open Space Scale has some different factors that are related to each other. This model, if supported, indicates that the scale can distinguish some distinct factors and implies the possibility of a hierarchical model. Finally, a single second-order model was tested. This model assumes that the Open Space Scale has some different factors and that a higher-order factor can cover these distinct factors. If this pattern holds, it means that the scores for these distinct factors can be summed up into a single factor score that is meaningful and interpretable.
Estimating methods such as the Maximum Likelihood method and the Generalised Least Square method are prominently affected by the distribution of variables. If the value of skewness of variables is more than 3 or the value of kurtosis is more than 10, it is deemed problematic [29]. Furthermore, the Maximum Likelihood is not appropriate for ordinal variables as it assumes that the observed variables adhere to a normal distribution. Since the Likert scale is technically an ordinal measurement, this study used the Diagonally Weighted Least Squares method instead of the Maximum Likelihood method, as the former is suitable for the ordinal data [29]. Although the Diagonally Weighted Least Squares method has no assumptions regarding the distribution of the observed variables, it assumes a normal latent distribution for every categorical variable [29].
This study would eliminate items with low loadings (λ < 0.4) to enhance the proportion of variance explained in constituent variables of the factors according to the recommendations by Nunnally and Bernstein [30]. Apart from factor loadings, the following indicators for evaluating the model fit were employed. First, the minimum fit function (χ2) was employed. A chi-square and degree of freedom ratio between 2 and 5 was considered satisfactory [31]. Nevertheless, the chi-square test is sensitive to the sample size and will easily generate a poor fit result with a large sample size (>200). Therefore, Hair et al. recommended that additional goodness-of-fit statistics should be used [32]:
  • For absolute fit, a Standardised Root Mean Square Residual (SRMR) value of no more than 0.08 was deemed as a good fit [33]; a Root Mean Square Error of Approximation (RMSEA) between 0.05 and 0.08 was deemed as a good fit and below 0.05 was deemed as the best fit. A Goodness of Fit Index (GFI) of no less than 0.90 was deemed a good fit model [33].
  • For the relative fit, the Comparative Fit Index (CFI) and Tucker–Lewis index (TLI) values of no less than 0.90 were deemed a good fit [33].
  • Other indicators such as Normed Fit Index (NFI), Non-normed Fit Index (NNFI), Relative Fit Index (RFI), Incremental Fit Index (IFI), and Relative Non-centrality Index (RNI) were also used to determine the relative fit, although they were not always necessary. Only these indices of no less than 0.90 are deemed a model of good fit.
  • The scale’s reliability was assessed through its internal consistency with Cronbach’s α. A Cronbach’s α of no less than 0.70 indicates a good internal consistency.
  • Convergent validity, discriminant validity, and factorial validity were then tested, respectively, using composition reliability (CR), average variation extraction (AVE), and Kaiser-Mayer-Olkin (KMO) and Bartlett’s tests.

3. Results

3.1. Characteristics of the Respondents

A total of 535 samples were collected for the study; 272 of them were collected in Edinburgh and 263 were collected in Glasgow. The male respondents (n = 275; 51.4%) slightly outnumbered the female respondent (n = 260; 49.6%). Fifteen per cent of respondents (n = 81) were retired. Over two-thirds of the sample had university degrees (n = 363; 67.85%). The mean age was 36.94 (SD = 6.33; range = 18–72) (Table 3).

3.2. Model Fit Indices

Table 4 presents the results of comparative analyses of fit. The test started with the baseline model with χ2 valued at 509.34 (df = 66). The one-factor model was first tested. The result indicated that this model was a poor fit, with χ2 (135.40)/54 = 2.51, p < 0.001, CFI = 0.816, GIF = 0.912, NNFI/TLI = 0.776, SRMR = 0.066, RMSEA = 0.081.
The following model was based on the four factors model suggested by Yu (2021). The result reported the model was unfit in this sample according to the cut-off adopted in the study, with χ2 (82.54)/48 = 1.72, p < 0.001, CFI = 0.922, GIF = 0.945, NNFI/TLI = 0.893, SRMR = 0.052, RMSEA = 0.056. The value of NNFI/TLI was slightly lower than the 0.9 cut-offs. While this study adopted the cut-off of 0.9, as suggested by Hu and Bentler [33], Hopper et al. have suggested that the cut-off score of NFI and NNFI could be as low as 0.8 due to the complexity of the formula [34]. Although this model could be legitimately deemed as a marginal fit, this study considered this model unfit as stricter criteria were used [33]. It was believed that a better model could be formed. Furthermore, the RFI of this model was also unfit.
In order to obtain a better model, this study then revised the scale based on the literature and combined Location and Entry as Accessibility. This was the result of careful consideration as combining Location and Entrance as Accessibility would cause the model to be more straightforward and concise. This study also moved V3 (Walking Pathway) to Environment. The Social and Recreational Facility was also renamed as Facility to better reflect the items on the scale. Model 4 was the modified three factors model and assumed that there was no correlation between each factor. This model reported a poor fit, with no indicator passing the cut-off (χ2 (202.80)/54 = 3.76, p < 0.001, CFI = 0.664, GIF = 0.871, NNFI/TLI = 0.590, SRMR = 0.165, RMSEA = 0.109). The result suggested that the factors did not belong to different constructs that were independent of each other.
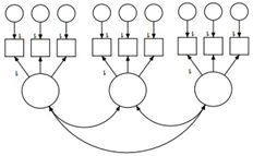
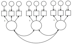
Model 5 was the modified three factors model and assumed a correlation between each factor. This model reported an excellent fit, with χ2 (98.57)/51 = 1.93, p < 0.001, CFI = 0.971, GIF = 0.976, NNFI/TLI = 0.962, SRMR = 0.054, RMSEA = 0.058. The only problem with this model was the χ2, the value of which should not be significant for a good fit. However, this test can be ignored when the sample size is more than 200, as the low p-value was possible due to the large sample size. Hence, this model was deemed a good fit, implying the suggested three factors were correlated.
Model 6 was the second-order model (hierarchical model), assuming three distinct open space factors could be summed up into a single factor. This model reported an excellent fit, with all indicators the same as Model 5 (χ2 (98.57)/51 = 1.93, p < 0.001, CFI = 0.971, GIF = 0.976, NNFI/TLI = 0.962, SRMR = 0.054, RMSEA = 0.058). Therefore, whether one should use the first-order correlated model or second-order model subjects to the research objectives. The first-order correlated model allows one to study the relationship between three open space factors (Accessibility, Environment, and Facility). The hierarchical model can be used to assess the open space factors as an independent or dependent variable.

3.3. Factor Loadings

This study used Model 5 to check the factor loadings, covariances, and validity. Model 5 reported a good fit and the factor loading of each variable also passed the 0.4 threshold with p < 0.001 (Table 5). Some scholars such as Bogozzi and Yi suggested that factor loading should be at least 0.5 and not be larger than 1 [35]. It was noted that the factor loading of V8 did not pass this stricter threshold (λ = 0.493). However, this study decided not to delete this item as the factor loading was very close to 0.5 and this study adopted the 0.4 thresholds suggested by Nunnally et al. and Phinney and Ong [30,36].
Table 6 shows the factor covariances of the model. Three factors had a strong effect, implying they were highly correlated with each other (Environment and Facility: ψ = 0.713, p < 0.001; Environment and Accessibility: ψ = 0.566, p < 0.001; Accessibility and Facility: ψ = 0.647, p < 0.0.001).

3.4. Convergent Validity (Construct Validity)

Convergent validity can be determined from composition reliability (CR) and average variation extraction (AVE). The composition reliability (CR) can be considered as the internal consistency of the constructs. Fornell and Larcker recommended that the CR of the latent variables should be higher than 0.6 [37]. Basically, CR is similar to Cronbach’s α, but due to the minor difference in the formula, the value of CR will be slightly higher than Cronbach’s α. Thus, this study adopted Cronbach’s α to check the internal consistency of the full scale and subscales. The Cronbach’s α of the full scale was 0.93, which was higher than the initial study in Hong Kong. The three subscales also showed an assuring internal consistency, with Environment = 0.833, Facility = 0.814, and Accessibility = 0.796.
The Average Variation Extraction (AVE) is a measure of the amount of variance that can explain the latent variable. Fornell and Larcker advised that the AVE should be higher than 0.5 [37]. However, if the value of AVE is higher than 0.5, the factor load must be higher than 0.7. Since factor loadings may not always be above 0.7 in actual situations, it is therefore acceptable that the value of AVE can be low as 0.36 [37]. The subscales reported satisfying AVE values, with Environment = 0.746, Facility = 0.730, and Accessibility = 0.706.

3.5. Discriminant Validity

Fornell and Larcker and also Gaski and Nevi proposed three criteria for discriminant validity [37,38]. First, the correlation coefficient between constructs should be smaller than one. Second, the correlation coefficient between constructs should be less than Cronbach’s α. Third, the correlation coefficient between constructs should not be more than the square root of the AVE. The model met all criteria, implying that the scale has discriminant validity (Table 7).

3.6. Factorial Validity

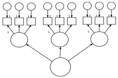
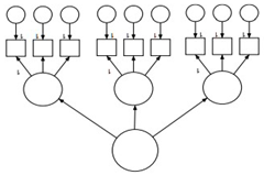
The Kaiser-Mayer-Olkin (KMO) test and Bartlett’s test were performed to indicate the factorial validity and to ensure the factor distributions of the revised Open Space Scale were similar to the original scale. A KMO of no less than 0.70 implies a factorial and valid scale. The KMO value of this study was 0.752, which was comparable to the original version (0.781). Thus, it affirmed the factorial validity of the revised Open Space Scale. The finalised model of the Open Space Scale-Revised is shown in Figure 1.

4. Discussion

This study examines the reliability and construct validity of a scale for measuring open spaces in Scotland. The four-factor Open Space Scale was simplified to a robust and concise three-factor scale following a Confirmatory Factor Analysis on the Scottish sample. Factor 1 is Environment, Factor 2 is Facility, and Factor 3 is Accessibility. The scale was named Open Space Scale-Revised. The three factors represent the essential elements related to open spaces. The internal consistency score for the Open Space Scale-Revised showed that the retained factors are correlated, meaning that the three subscales are unique and different facets of the same underlying construct.
In the original study by Yu, the Walking Pathway was categorised in Entrance as the result of statistical analysis and the enclosed layout of open spaces in Asia [27]. The reserved factors may be more reflective of the actual situation and design of open spaces in most countries as the merging of Location and Entrance resulted after considering the actual situation and design of open spaces in the United Kingdom. In metropolitan areas in Asia, it is typical for open spaces to be surrounded by iron railings or walls. These open spaces, as a result, have a clear entrance, such as gates, in conjunction with walking pathways. However, in the United Kingdom (as well as many non-Asian cities), it is not always the case that open spaces have an entrance or gate as people can entry the open space from anywhere, as long as they can step into the green. Therefore, this study moved V3 to Environment as walking pathways are less related to entrances outside Asia.
This three-factor scale also reflects that environment, facilities, and accessibility are important elements of a good open space. This is also consistent with the analysis of Yung et al. [2]. However, previous studies in Britain have focused less on facilities, especially those that benefit the elderly, children, and socialisation [6]. Much of recent research in Britain has mainly focused on how green spaces affect health, stress relief, and even eye protection, especially during COVID-19 [4,5,24]. British legislation and planning guidelines also focus on greening and location and less emphasis on facilities [20,21]. This is understandable because most European and American countries have more urban green spaces than Asian countries and their development density is relatively low [39]. However, in Asia, there are more concrete buildings in cities such as Hong Kong, Tokyo, and Singapore [27,40]. The structure generated in this study reflects that the open space facilities are equally important. The respondents of this study also attach great importance to the facilities in open spaces as facilities in open spaces are highly related to the environment and accessibility. In fact, facilities can affect the interaction and health of open space users [17]. Future urban studies in Britain should pay more attention to the facilities of open spaces.

5. Conclusions

This study examined the reliability and construct validity of the new scale to evaluate open spaces in Scotland. The newly validated revised version of the Open Space Scale (Open Space Scale-Revised) is a more straightforward instrument with a balanced quantity of variables shared across the three factors. The Confirmatory Factor Analysis indicated a satisfactory model fit and factor loadings in the revised scale. According to the results, the revised subscales (facility, environment, and accessibility) were correlated. Overall, the revised scale demonstrated satisfactory measurement properties. The factor loadings and reliability scores also show the robustness of the instrument. In the future, this scale can be used with other urban planning related scales for further analysis and more complex structural equation models, such as the Neighbourhood Environment Walkability Scale [41]. This revised version of the Open Space Scale can also be used in conjunction with other scales for various types of policy analysis to provide policymakers and urban planners with substantial data. For example, one can measure the influence of open spaces on physical and psychological health in an area, such as well-being, attachment, and sense of belonging, by using the Sense of Community Scale to decide if it is required to improve or expand the proportion of open spaces in that area [27].

Author Contributions

Conceptualization, A.Y.; Methodology, A.Y.; Software, S.K.N.L.; Formal analysis, A.Y.; Data curation, A.Y.; Writing—original draft, A.Y. and S.K.N.L.; Writing—review & editing, A.Y.; Visualization, S.K.N.L.; Project administration, S.K.N.L. All authors have read and agreed to the published version of the manuscript.

Funding

This research received no external funding.

Institutional Review Board Statement

The study was conducted according to the guidelines of the Declaration of Helsinki and was approved by the Ethics Committee of the University of Edinburgh.

Informed Consent Statement

Informed consent was obtained from all subjects involved in the study.

Data Availability Statement

The data are not publicly available due to privacy and ethics approval approved by the Institutional Review Board.

Conflicts of Interest

The author declared no conflict of interest.

References

  1. Omar, D.; Ibrahim, F.; Mohamad, N. Human Interaction in Open Spaces. Procedia Soc. Behav. Sci. 2015, 201, 352–359. [Google Scholar] [CrossRef]
  2. Yung, E.; Conejos, S.; Chan, E. Public open spaces planning for the elderly: The case of dense urban renewal districts in Hong Kong. Land Use Policy 2016, 59, 1–11. [Google Scholar] [CrossRef]
  3. Topcu, U. Reflections of gender on the urban green space. Archnet-IJAR Int. J. Archit. Res. 2019, 14, 70–76. [Google Scholar] [CrossRef]
  4. Scotland Nature Agency. Covid Drives Huge Increase in Use of Urban Greenspace. Available online: https://www.nature.scot/covid-drives-huge-increase-use-urban-greenspace (accessed on 15 May 2022).
  5. Zhao, S.; Patuano, A. International Chinese Students in the UK: Association between Use of Green Spaces and Lower Stress Levels. Sustainability 2022, 14, 89. [Google Scholar] [CrossRef]
  6. Irvine, K.N.; Warber, S.L.; Devine-Wright, P.; Gaston, K.J. Understanding Urban Green Space as a Health Resource: A Qualitative Comparison of Visit Motivation and Derived Effects among Park Users in Sheffield, UK. Int. J. Environ. Res. Public Health 2013, 10, 417–442. [Google Scholar] [CrossRef]
  7. Yu, A. Walkable environment and community well-being: A case from the city of Kwun Tong. Open House Int. 2020, 46, 162–172. [Google Scholar] [CrossRef]
  8. Phillips, D.; Siu, O.; Yeh, A.; Cheng, K. The impacts of dwelling conditions on older persons’ psychological well-being in Hong Kong: The mediating role of residential satisfaction. Soc. Sci. Med. 2005, 60, 2785–2797. [Google Scholar] [CrossRef]
  9. Chou, K.; Chow, N.; Chi, I. Leisure participation amongst Hong Kong Chinese older adults. Ageing Soc. 2004, 24, 617–629. [Google Scholar] [CrossRef]
  10. Magaziner, J.; Cadigan, D. Community Resources and Mental Health of Older Women Living Alone. J. Aging Health 1989, 1, 35–49. [Google Scholar] [CrossRef]
  11. Kweon, B.; Sullivan, W.; Wiley, A. Green Common Spaces and the Social Integration of Inner-City Older Adults. Environ. Behav. 1998, 30, 832–858. [Google Scholar] [CrossRef]
  12. Kellett, J.; Rofe, M. Creating Active Communities: How Can Open and Public Spaces in Urban and Suburban Environments Support Active Living? A Literature Review; University of South Australia: Magill, Australia, 2009. [Google Scholar]
  13. Kwok, J.; Ng, K. User friendly living environmental research and design for older people. In Designing Inclusive Futures; Langdon, P., Clarkson, P., Robinson, P., Eds.; Springer: London, UK, 2008; pp. 261–272. [Google Scholar]
  14. Pasaogullari, N.; Doratli, N. Measuring accessibility and utilisation of public spaces in Famagusta. Cities 2004, 21, 225–232. [Google Scholar] [CrossRef]
  15. Labus, A. Concepts of urban renewal in an ageing society in the XXI century—Case studies in Polish cities. In Real Corp 2012; Tagungsband: Schwechat, Austria, 2012. [Google Scholar]
  16. World Health Organisation. Global Age-Friendly Cities: A Guide from World Health Organization. Available online: http://www.who.int/ageing/publications/Global_age_friendly_cities_Guide_English.pdf (accessed on 1 August 2022).
  17. Arnberger, A.; Eder, R. The influence of green space on community attachment of urban and suburban residents. Urban For. Urban Green. 2012, 11, 41–49. [Google Scholar] [CrossRef]
  18. Ujang, N.; Moulay, A.; Zakariya, K. Sense of Well-Being Indicators: Attachment to public parks in Putrajaya, Malaysia. Procedia Soc. Behav. Sci. 2015, 202, 487–494. [Google Scholar] [CrossRef]
  19. Hong Kong Planning Department. Chapter 4 Recreation, Open Space and Greening. Available online: http://www.pland.gov.hk/pland_en/tech_doc/hkpsg/full/ch4/ch4_text.htm (accessed on 1 August 2022).
  20. British Parliament. Memorandum by the Open Spaces Society. Available online: https://publications.parliament.uk/pa/cm199899/cmselect/cmenvtra/477/477mem23.htm (accessed on 1 August 2022).
  21. British Government. Town and Country Planning Act 1990. Available online: https://www.legislation.gov.uk/ukpga/1990/8/section/336 (accessed on 1 August 2022).
  22. British Government. National Planning Policy Framework. Available online: https://www.gov.uk/government/publications/national-planning-policy-framework--2 (accessed on 1 August 2022).
  23. Salvia, G.; Pluchinotta, I.; Tsoulou, I.; Moore, G.; Zimmermann, N. Understanding Urban Green Space Usage through Systems Thinking: A Case Study in Thamesmead, London. Sustainability 2022, 14, 2575. [Google Scholar] [CrossRef]
  24. Crossley, A.J.; Russo, A. Has the Pandemic Altered Public Perception of How Local Green Spaces Affect Quality of Life in the United Kingdom? Sustainability 2022, 14, 7946. [Google Scholar] [CrossRef]
  25. Wortzel, J.D.; Wiebe, D.J.; DiDomenico, G.E.; Visoki, E.; South, E.; Tam, V.; Greenberg, D.M.; Brown, L.A.; Gur, R.C.; Gur, R.E.; et al. Association Between Urban Greenspace and Mental Wellbeing During the COVID-19 Pandemic in a U.S. Cohort. Front. Sustain. Cities 2021, 3, 686159. [Google Scholar] [CrossRef]
  26. Dushkova, D.; Ignatieva, M.; Hughes, M.; Konstantinova, A.; Vasenev, V.; Dovletyarova, E. Human Dimensions of Urban Blue and Green Infrastructure during a Pandemic. Case Study of Moscow (Russia) and Perth (Australia). Sustainability 2021, 13, 4148. [Google Scholar] [CrossRef]
  27. Yu, A. Open space and sense of community of older adults: A study in a residential area in Hong Kong. Archnet-IJAR Int. J. Archit. Res. 2021, 15, 539–554. [Google Scholar] [CrossRef]
  28. Love, J.; Selker, R.; Marsman, M.; Jamil, T.; Dropmann, D.; Verhagen, J.; Ly, A.; Gronau, Q.F.; Smíra, M.; Epskamp, S.; et al. JASP: Graphical Statistical Software for Common Statistical Designs. J. Stat. Softw. 2019, 88, 1–17. [Google Scholar] [CrossRef]
  29. Li, C. Confirmatory factor analysis with ordinal data: Comparing robust maximum likelihood and diagonally weighted least squares. Behav. Res. Methods 2015, 48, 936–949. [Google Scholar] [CrossRef]
  30. Nunnally, J.; Bernstein, I. Psychometric Theory; McGraw-Hill: New York, NY, USA, 2008. [Google Scholar]
  31. Tabachnick, B.; Fidell, L.; Ullman, J. Using Multivariate Statistics, 7th ed.; Pearson: London, UK, 2019. [Google Scholar]
  32. Hair, J.F.; Ortinau, D.J.; Harrison, D.E. Essentials of Marketing Research; McGraw-Hill: New York, NY, USA, 2010. [Google Scholar]
  33. Hu, L.; Bentler, P. Cutoff criteria for fit indexes in covariance structure analysis: Conventional criteria versus new alternatives. Struct. Equ. Model. A Multidiscip. J. 1999, 6, 1–55. [Google Scholar] [CrossRef]
  34. Hooper, D.; Couglan, J.; Mullen, M. Structural equation modelling: Guidelines for determining model fit. Electron. J. Bus. Res. Methods 2008, 6, 53–60. [Google Scholar]
  35. Bagozzi, R.; Yi, Y. On the evaluation of structural equation models. J. Acad. Mark. Sci. 1988, 16, 74–94. [Google Scholar] [CrossRef]
  36. Phinney, J.; Ong, A. Conceptualization and measurement of ethnic identity: Current status and future directions. J. Couns. Psychol. 2007, 54, 271–281. [Google Scholar] [CrossRef]
  37. Fornell, C.; Larcker, D. Evaluating Structural Equation Models with Unobservable Variables and Measurement Error. J. Mark. Res. 1981, 18, 39–50. [Google Scholar] [CrossRef]
  38. Gaski, J.; Nevin, J. The Differential Effects of Exercised and Unexercised Power Sources in a Marketing Channel. J. Mark. Res. 1985, 22, 130–142. [Google Scholar] [CrossRef]
  39. Bertram, C.; Rehdanz, K. The role of urban green space for human well-being. Ecol. Econ. 2015, 120, 139–152. [Google Scholar] [CrossRef]
  40. Lu, S.; Oh, W.; Ooka, R.; Wang, L. Effects of Environmental Features in Small Public Urban Green Spaces on Older Adults’ Mental Restoration: Evidence from Tokyo. Int. J. Environ. Res. Public Health 2022, 19, 5477. [Google Scholar] [CrossRef]
  41. Sallis, J.F.; Kerr, J.; Carlson, J.A.; Norman, G.J.; Saelens, B.E.; Durant, N.; Ainsworth, B.E. Evaluating a brief self-report measure of neighborhood environments for Physical Activity Research and surveillance: Physical Activity Neighborhood Environment Scale (PANES). J. Phys. Act. Health 2010, 7, 533–540. [Google Scholar] [CrossRef]
Figure 1. Open Space Scale-Revised in visual form. Notes. Env = Environment; Fcl = Facility; Acc = Accessibility; estimates were standardised.
Figure 1. Open Space Scale-Revised in visual form. Notes. Env = Environment; Fcl = Facility; Acc = Accessibility; estimates were standardised.
Sustainability 14 15203 g001
Table 1. Quality of open space scale developed by Yu [27].
Table 1. Quality of open space scale developed by Yu [27].
No.ItemFactor
V1Are located at a safe locationLocation
V2Are near the residential areaLocation
V3Have enough walking pathwaysEntrance
V4Have adequate lightingEnvironment
V5Have easily identifiable entrancesEntrance
V6Have adequate green areasEnvironment
V7Have satisfactory maintenance and managementEnvironment
V8Have adequate barrier-free designsSocial and Recreational Facility
V9Have different types of recreational facilitiesSocial and Recreational Facility
V10Have adequate seatingSocial and Recreational Facility
V11Are easily accessible to all peopleEntrance
V12Have enough space for social activitiesSocial and Recreational Facility
Note. Questions start with “I think open spaces in my town/city”.
Table 2. Comparison of five models.
Table 2. Comparison of five models.
IllustrationDiagram
No common factor model (null hypothesis)Sustainability 14 15203 i001
Single-factor modelSustainability 14 15203 i002
Uncorrelated model (no correlation between factors)Sustainability 14 15203 i003
Correlated model (correlation between factors)Sustainability 14 15203 i004
Second-order model/hierarchical modelSustainability 14 15203 i005
Table 3. Sociodemographic of respondents (N = 535).
Table 3. Sociodemographic of respondents (N = 535).
n%
Sex
  Male27551.4
  Female26048.6
City
  Edinburgh27250.8
  Glasgow26349.2
Employment status
  Retired8115.1
Education level
  Degree or above36367.9
Age
  Mean36.94
  Standard deviation6.33
  Range18–72
Table 4. Model fit.
Table 4. Model fit.
Cut-OffBaselineOne FactorYu (2021)Three Factors UncorrelatedThree Factors CorrelatedSecond Order Model
Absolute fit
χ2 509.336135.39582.538202.80098.57198.571
df 66.00054.00048.00054.00051.00051.000
p≥0.05 0.0010.0010.0010.0010.001
GFI≥0.90 0.9120.9450.8710.9760.976
SRMR≤0.08 0.0660.0520.1650.0540.054
RMSEA≤0.08 0.0810.0560.1090.0580.058
Relative fit
NFI≥0.90 0.7340.8380.6020.9420.942
NNFI/TLI≥0.90 0.7760.8930.5900.9620.962
RFI≥0.90 0.6750.7770.5130.9240.924
IFI≥0.90 0.8210.9250.6730.9710.971
RNI≥0.90 0.8160.9220.6640.9710.971
CFI≥0.90 0.8160.9220.6640.9710.971
Parsimony fit
PNFI≥0.50 0.6010.6090.4920.7280.728
χ2/df≤37.7172.5071.7203.7561.9331.933
Notes. df = Degrees of freedom; GFI = Goodness of fit index; SRMR = Standardised root mean square residual; RMSEA = Root mean square error of approximation; NFI = Normed Fit Index; NNFI = Non-normed Fit Index; TLI = Tucker–Lewis Index; RFI = Relative Fit Index; IFI = Incremental Fit Index; RNI = Relative Noncentrality Index; CFI = Comparative Fit Index; PNFI = Parsimony Normed Fit Index; Underlined figure = unfit.
Table 5. Factor loadings.
Table 5. Factor loadings.
95% CI
FactorIndicatorEstimate (λ)SEpLowerUpperR2
EnvironmentV40.6950.047<0.0010.6030.7870.483
V60.8450.043<0.0010.760.9290.713
V70.7010.045<0.0010.6130.790.492
V30.7320.044<0.0010.6460.8170.535
FacilityV80.4930.051<0.0010.3940.5930.243
V90.6730.046<0.0010.5840.7630.453
V100.8250.05<0.0010.7270.9230.681
V120.8690.055<0.0010.7620.9760.756
Accessibility V10.6770.061<0.0010.5570.7980.459
V20.830.061<0.0010.710.9490.688
V50.5680.053<0.0010.4640.6730.323
V110.7230.062<0.0010.6010.8460.523
Notes. SE = standard error; CI = confidence interval; estimates were standardised.
Table 6. Factor covariances.
Table 6. Factor covariances.
95% CI
Estimate (ψ)SEpLowerUpper
EnvironmentFacility0.7130.069<0.0010.5780.849
EnvironmentAccessibility 0.5660.085<0.0010.4000.732
AccessibilityFacility0.6470.080<0.0010.4890.804
Notes. SE = standard error; CI = confidence interval; estimates were standardised.
Table 7. Matrix of the correlation coefficient, CR, and AVE between constructs.
Table 7. Matrix of the correlation coefficient, CR, and AVE between constructs.
1.  Environment2.  Facility3.  Accessibility
1CR/AVE = 0.833/0.746
20.713CR/AVE = 0.814/0.730
30.5660.647CR/AVE = 0.796/0.706
Publisher’s Note: MDPI stays neutral with regard to jurisdictional claims in published maps and institutional affiliations.

Share and Cite

MDPI and ACS Style

Yu, A.; Lam, S.K.N. Assessing Open Space in Scotland: Reliability and Construct Validity of the Open Space Scale. Sustainability 2022, 14, 15203. https://doi.org/10.3390/su142215203

AMA Style

Yu A, Lam SKN. Assessing Open Space in Scotland: Reliability and Construct Validity of the Open Space Scale. Sustainability. 2022; 14(22):15203. https://doi.org/10.3390/su142215203

Chicago/Turabian Style

Yu, Andrew, and Stephanie Kwan Nga Lam. 2022. "Assessing Open Space in Scotland: Reliability and Construct Validity of the Open Space Scale" Sustainability 14, no. 22: 15203. https://doi.org/10.3390/su142215203

APA Style

Yu, A., & Lam, S. K. N. (2022). Assessing Open Space in Scotland: Reliability and Construct Validity of the Open Space Scale. Sustainability, 14(22), 15203. https://doi.org/10.3390/su142215203

Note that from the first issue of 2016, this journal uses article numbers instead of page numbers. See further details here.

Article Metrics

Back to TopTop