Impact of Water Retention Practices in Forests on the Biodiversity of Ground Beetles (Coleoptera: Carabidae)
Abstract
1. Introduction
- implementation of hydro-technical modifications in the analyzed forest subdistrict will increase the abundance and species diversity of Carabidae and changes shares of ecological groups of Carabidae;
- improved moisture relations in the habitat, in the long term, will induce changes in the composition of ground beetles by raising the share of valuable hygrophilous fauna;
- lasting modifications to the water relations in the habitat will lead to changes in the carabid beetle assemblages caused by changes in dominant species.
2. Materials and Methods
2.1. Study Area
2.2. Data Collection
2.3. Data Analysis
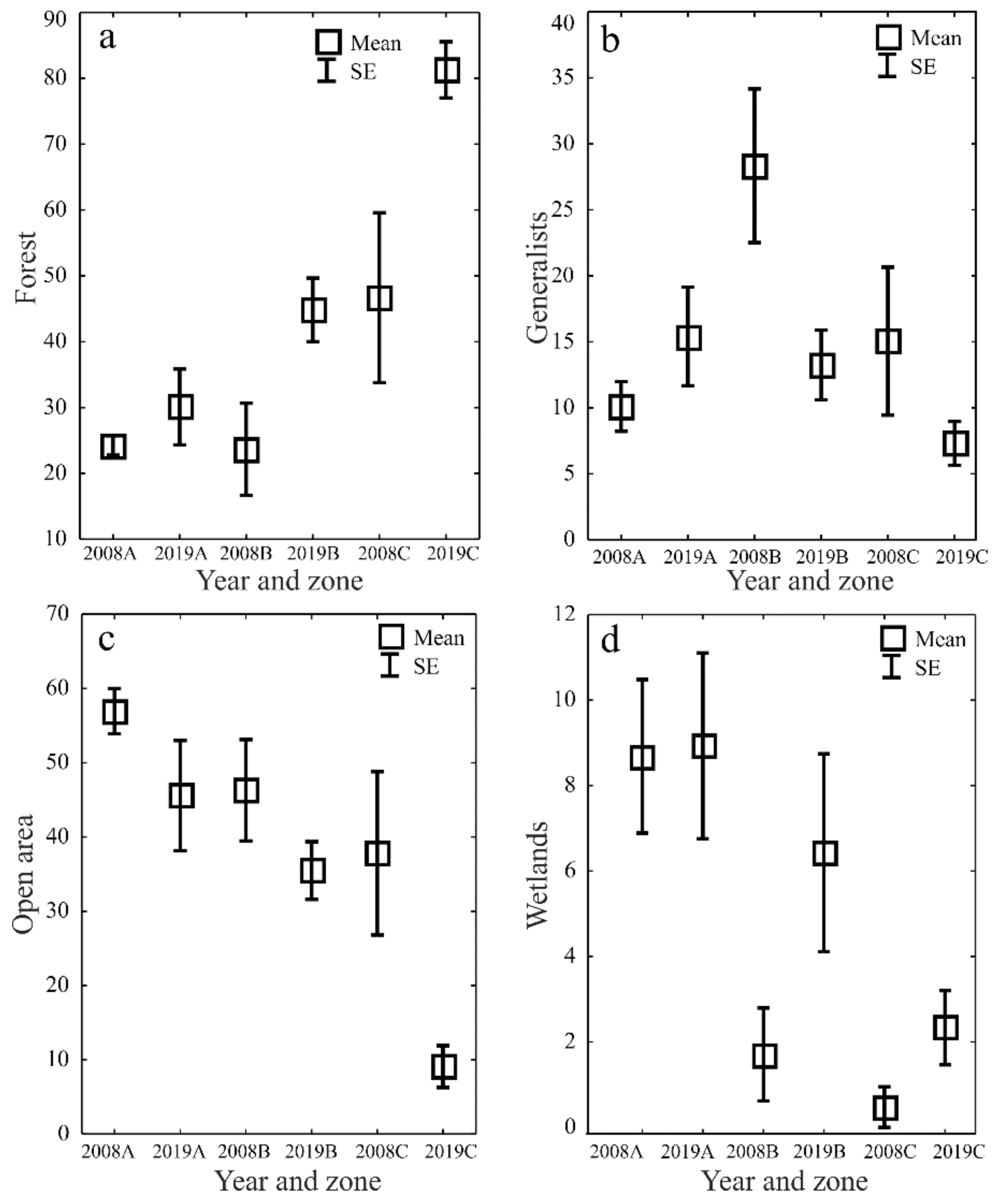
3. Results
4. Discussion
5. Conclusions
Author Contributions
Funding
Institutional Review Board Statement
Informed Consent Statement
Data Availability Statement
Acknowledgments
Conflicts of Interest
References
- Vandecasteele, I.; Marí i Rivero, I.; Baranzelli, C.; Becker, W.; Dreoni, I.; Lavalle, C.; Batelaan, O. The Water Retention Index: Using Land Use Planning to Manage Water Resources in Europe. Sustain. Dev. 2018, 26, 122–131. [Google Scholar] [CrossRef]
- Mensah, J. Sustainable Development: Meaning, History, Principles, Pillars, and Implications for Human Action: Literature Review. Cogent Soc. Sci. 2019, 5, 1653531. [Google Scholar] [CrossRef]
- World Health Organization Health. Environment and Climate Change; WHO: Geneva, Switzerland, 2019; Volume 19, pp. 1–20. [Google Scholar]
- European Environment Agency. European Waters Assessment of Status and Pressures 2018; European Environment Agency: Copenhagen, Denmark, 2018. [Google Scholar] [CrossRef]
- Czerniak, A.; Grajewski, S.; Krysztofiak-Kaniewska, A.; Kurowska, E.E.; Okoński, B.; Górna, M.; Borkowski, R. Engineering Methods of Forest Environment Protection against Meteorological Drought in Poland. Forests 2020, 11, 614. [Google Scholar] [CrossRef]
- Futter, M. Commentary: A (Mostly) Hydrological Commentary on the Small Retention Programs in the Polish Forests. In Nature-Based Flood Risk Management on Private Land; Hartmann, T., Slavíková, L., McCarthy, S., Eds.; Springer: Cham, Switzerland, 2019; pp. 39–44. ISBN 9783030238414. [Google Scholar]
- Matczak, P.; Takacs, V.; Gożdzik, M. Reversing the Current: Small Scale Retention Programs in Polish Forests. In Nature-Based Flood Risk Management on Private Land; Hartmann, T., Slavíková, L., McCarthy, S., Eds.; Springer: Cham, Switzerland, 2019; pp. 23–38. ISBN 9783030238414. [Google Scholar]
- Szalinska, E. Water Quality and Management Changes Over the History of Poland. Bull. Environ. Contam. Toxicol. 2018, 100, 26–31. [Google Scholar] [CrossRef] [PubMed]
- Central Statistical Office in Poland Rocznik Statystyczny Leśnictwa. In Rocznik Statystyczny Leśnictwa; Statistics Poland: Warszawa, Poland, 2019; pp. 36–37.
- Boczoń, A.; Kowalska, A.; Dudzińska, M.; Wróbel, M. Drought in Polish Forests in 2015. Polish J. Environ. Stud. 2016, 25, 1857–1862. [Google Scholar] [CrossRef]
- Kowalewski, Z. Actions for Small Water Retention Undertaken in Poland. J. Water L. Dev. 2008, 12, 155–167. [Google Scholar] [CrossRef][Green Version]
- National Forests/Lasy Państwowe P Rogram. Program Zwiększania Możliwości Retencyjnych Oraz Przeciwdziałanie Powodzi i Suszy w Ekosystemach Leśnych na Terenach Nizinnych; Mioduszewski, W., Pierzgalski, E., Eds.; Centrum Koordynacji Projektów Środowiskowych: Warszawa, Poland, 2009; Volume III, pp. 1–75. [Google Scholar]
- Liberacki, D.; Korytowski, M.; Stasik, R. No TitleOcena Zdolności Retencyjnych Mokradeł w Małej Zlewni Leśnej. Inżynieria Ekol. 2015, 43, 146–152. [Google Scholar] [CrossRef][Green Version]
- Díaz, S.; Settele, J.; Brondízio, E.S.; Ngo, H.T.; Agard, J.; Arneth, A.; Balvanera, P.; Brauman, K.A.; Butchart, S.H.M.; Chan, K.M.A.; et al. Pervasive Human-Driven Decline of Life on Earth Points to the Need for Transformative Change. Science 2019, 366, eaax3100. [Google Scholar] [CrossRef]
- Sushko, G. Beetles (Coleoptera) of Raised Bogs in North-Western Belarus (Belarusian Land O’Lakes). Balt. J. Coleopterol. 2007, 7, 207–214. [Google Scholar]
- Obidzinski, A. Zaburzenie Jako Element Dynamiki Lasu. Sylwan 2001, 19, 51–59. [Google Scholar]
- Sunday, J.M. The Pace of Biodiversity Change in a Warming Climate. Nature 2020, 580, 460–461. [Google Scholar] [CrossRef]
- Chapin, F.S.; Matson, P.A.; Mooney, H.A. Principles of Terrestrial Ecosystem Ecology; Springer-Verlag: New York, NY, USA, 2002; ISBN 9781441995032. [Google Scholar]
- Schindler, S.; O’Neill, F.H.; Biró, M.; Damm, C.; Gasso, V.; Kanka, R.; van der Sluis, T.; Krug, A.; Lauwaars, S.G.; Sebesvari, Z.; et al. Multifunctional Floodplain Management and Biodiversity Effects: A Knowledge Synthesis for Six European Countries. Biodivers. Conserv. 2016, 25, 1349–1382. [Google Scholar] [CrossRef]
- Skłodowski, J.; Zdzioch, P. Biegaczowate (Coleoptera: Carabidae) w Drugim Roku Spontanicznej Sukcesji Regeneracyjnej Zniszczonych Przez Huragan Drzewostanów Puszczy Piskiej. Wiadomości Entomol. 2006, 25, 97–110. [Google Scholar]
- Beudert, B.; Bässler, C.; Thorn, S.; Noss, R.; Schröder, B.; Dieffenbach-Fries, H.; Foullois, N.; Müller, J. Bark Beetles Increase Biodiversity While Maintaining Drinking Water Quality. Conserv. Lett. 2015, 8, 272–281. [Google Scholar] [CrossRef]
- Turić, N.; Temunović, M.; Radović, A.; Vignjević, G.; Sudarić Bogojević, M.; Merdić, E. Flood Pulses Drive the Temporal Dynamics of Assemblages of Aquatic Insects (Heteroptera and Coleoptera) in a Temperate Floodplain. Freshw. Biol. 2015, 60, 2051–2065. [Google Scholar] [CrossRef]
- Spangenberg, J.H. Biodiversity Pressure and the Driving Forces Behind. Ecol. Econ. 2007, 61, 146–158. [Google Scholar] [CrossRef]
- Johnson, C.N.; Balmford, A.; Brook, B.W.; Buettel, J.C.; Galetti, M.; Guangchun, L.; Wilmshurst, J.M. Biodiversity Losses and Conservation Responses in the Anthropocene. Science 2017, 356, 270–275. [Google Scholar] [CrossRef]
- Forister, M.L.; Pelton, E.M.; Black, S.H. Declines in Insect Abundance and Diversity: We Know Enough to Act Now. Conserv. Sci. Pract. 2019, 1, 1–8. [Google Scholar] [CrossRef]
- Global Assessment Report on Biodiversity and Ecosystem Services of the Intergovernmental Science. Available online: https://ipbes.net/global-assessment-report-biodiversity-ecosystem-services (accessed on 27 September 2022).
- Hallmann, C.A.; Sorg, M.; Jongejans, E.; Siepel, H.; Hofland, N.; Schwan, H.; Stenmans, W.; Müller, A.; Sumser, H.; Hörren, T.; et al. More than 75 Percent Decline over 27 Years in Total Flying Insect Biomass in Protected Areas. PLoS ONE 2017, 12, e0185809. [Google Scholar] [CrossRef]
- Odział, B.U.L.I.G.L. Forest Equipment Plan of the Olsztyn Forest District/Plan Urządzenia Lasu; Nadleśnictwo Olsztyn: Olsztyn, Poland, 2015. [Google Scholar]
- Homburg, K.; Drees, C.; Boutaud, E.; Nolte, D.; Schuett, W.; Zumstein, P.; von Ruschkowski, E.; Assmann, T. Insect Conserv Diversity-2019-Homburg-Where Have All the Beetles Gone Long-term Study Reveals Carabid Species.Pdf. Insect Conserv. Divers. 2019, 12, 268–277. [Google Scholar]
- Czyżyk, K.; Porter, B. Wpływ Małych Zbiorników Wodnych Na Wybrane Elementy Środowiska Leśnego. Stud. I Mater. CEPL W Rogowie 2017, 51, 131–142. [Google Scholar]
- Williams, A.P.; Cook, E.R.; Smerdon, J.E.; Cook, B.I.; Abatzoglou, J.T.; Bolles, K.; Baek, S.H.; Badger, A.M.; Livneh, B. Erratum: Large Contribution from Anthropogenic Warming to an Emerging North American. Science 2020, 370, 314–318. [Google Scholar] [CrossRef] [PubMed]
- Mioduszewski, W. Small (Natural) Water Retention in Rural Areas. J. Water L. Dev. 2014, 20, 19–29. [Google Scholar] [CrossRef]
- Mioduszewski, W.; Okruszko, T.; Kardel, I.; Feher, J.; Gaspar, J.; Tamas, J.; Mosny, V.; Muller, R.; Istenic, D.; Potokar, A. Natural, Small Water Retention Measures: Combining Drought Mitigation, Flood Protection, and Biodiversity Conservation–Quidelines; Global Water Partnership Central and Eastern Europe: 2015. Available online: https://www.wes-med.eu/wp-content/uploads/2021/10/RW-4-REG-2021.10.07-NSWRM-Guidelines.pdf (accessed on 27 October 2022).
- Przybyła, C.; Sojka, M.; Wróżyński, R.; Pyszny, K. Planowanie Małej Retencji w Lasach Na Przykładzie Puszczy Noteckiej; Bogucki Wydawnictwo Naukowe: Poznan, Poland, 2017; ISBN 9788379861538. [Google Scholar]
- Gustafsson, L.; Baker, S.C.; Bauhus, J.; Beese, W.J.; Brodie, A.; Kouki, J.; Lindenmayer, D.B.; Lhmus, A.; Pastur, G.M.; Messier, C.; et al. Retention Forestry to Maintain Multifunctional Forests: A World Perspective. Bioscience 2012, 62, 633–645. [Google Scholar] [CrossRef]
- Shende, V.A.; Janbandhu, K.S.; Patil, K.G. Impact of Human Beings on Environment. Int. J. Res. Biosci. Agric. Technol. 2015, 440012, 23–28. [Google Scholar]
- Manickavasagam, S.; Sudhan, C.; Bharathi; Aanand, S. Bioindicators in Aquatic Environment and Their Significance. J. Aquac. Trop. 2019, 34, 73–79. [Google Scholar] [CrossRef]
- Pearce, J.L.; Venier, L.A. The Use of Ground Beetles (Coleoptera: Carabidae) and Spiders (Araneae) as Bioindicators of Sustainable Forest Management: A Review. Ecol. Indic. 2006, 6, 780–793. [Google Scholar] [CrossRef]
- Avgın, S.; Luff, M. Ground Beetles (Coleoptera: Carabidae) as Bioindicators of Human Impact. Mun. Entomol. Zool. 2010, 5, 209–215. [Google Scholar]
- Langraf, V.; Petrovičová, K.; David, S.; Nozdrovická, J.; Petrovič, F.; Schlarmannová, J. The Bioindication Evaluation of Ground Beetles (Coleoptera: Carabidae) in Three Forest Biotopes in the Southern Part of Central Slovakia. Ekol. Bratislava 2019, 38, 25–36. [Google Scholar] [CrossRef]
- Kagawa, Y.; Maeto, K. Ground Beetle (Coleoptera: Carabidae) Assemblages Associated with a Satoyama Landscape in Japan: The Effects of Soil Moisture, Weed Height, and Distance from Woodlands. Appl. Entomol. Zool. 2014, 49, 429–436. [Google Scholar] [CrossRef]
- Luff, M.L. Use of Carabids as Environmental Indicators in Grasslands and Cereals. Ann. Zool. Fennici 1996, 33, 185–195. [Google Scholar]
- Johan Kotze, D.; Brandmayr, P.; Casale, A.; Dauffy-Richard, E.; Dekoninck, W.; Koivula, M.J.; Lövei, G.L.; Mossakowski, D.; Noordijk, J.; Paarmann, W.; et al. Forty Years of Carabid Beetle Research in Europe-from Taxonomy, Biology, Ecology and Population Studies to Bioindication, Habitat Assessment and Conservation. Zookeys 2011, 100, 55–148. [Google Scholar] [CrossRef]
- Kirichenko-Babko, M.; Danko, Y.; Musz-Pomorksa, A.; Widomski, M.K.; Babko, R. The Impact of Climate Variations on the Structure of Ground Beetle (Coleoptera: Carabidae) Assemblage in Forests and Wetlands. Forests 2020, 11, 1074. [Google Scholar] [CrossRef]
- Ghannem, S.; Touaylia, S.; Boumaiza, M. Beetles (Insecta: Coleoptera) as Bioindicators of the Assessment of Environmental Pollution. Hum. Ecol. Risk Assess. 2018, 24, 456–464. [Google Scholar] [CrossRef]
- Ludwiczak, E.; Nietupski, M.; Kosewska, A. Ground Beetles (Coleoptera; Carabidae) as an Indicator of Ongoing Changes in Forest Habitats Due to Increased Water Retention. PeerJ 2020, 8, e9815. [Google Scholar] [CrossRef] [PubMed]
- Kirichenko-babko, M.; Danko, Y.; Franus, M.; Stępniewski, W.; Babko, R. Riparian Ground Beetles (Coleoptera) on the Banks. Water 2020, 12, 1785. [Google Scholar] [CrossRef]
- Forest Data Bank/Bank Danych o Lasach. Available online: http://www.bdl.lasy.gov.pl/portal/ (accessed on 27 September 2022).
- Available online: www.google.pl/maps (accessed on 27 September 2022).
- Larsson, S.G. Entwicklungstypen Und Entwicklungszeiten Der Dänischen Carabiden. Entomol. Medd. 1939, 20, 559. [Google Scholar]
- Thiele, H.U. Carabid Beetles in Their Environments. A Study on Habitat Selection by Adaptations in Physiology and Behaviour. Zoophysiol. Ecol. 1977, 10, 369. [Google Scholar]
- Leśniak, A. Organizacja a Stabilność Zgrupowania Na Przykładzie Carabidae. In Proceedings of the III Sympozjum Ochrony Ekosystemów Leśnych. SGGW-AR Warszawa, Rogów, Poland, 20–21 November 1984; pp. 139–153. [Google Scholar]
- Aleksandrowicz, O. Fauna Polski Carabidae Aleksandrowicz.Pdf. In Fauna Polski-Charakterystyka i Wykaz Gatunków; Bogdanowicz, W., Chudzicka, E., Pilipiuk, I., Skibińska, E., Eds.; Muzeum i Instytut Zoologii PAN: Warszawa, Poland, 2004; pp. 28–42. [Google Scholar]
- Kosewska, A.; Nietupski, M.; Ciepielewska, D. Zgrupowania Biegaczowatych (Coleoptera: Carabidae) Zadrzewień Śródpolnych i Pól z Tomaszkowa Koło Olsztyna. Wiadomości Entomol. 2007, 26, 153–168. [Google Scholar]
- Aleksandrowicz, O.; Pakuła, B.; Mazur, J. Biegaczowate (Coleoptera: Carabidae) W Uprawie Pszenicy W Okolicy Lęborka. Słupskie Pr. Biol. 2008, 5, 15–25. [Google Scholar]
- Hurka, K. Carabidae of the Czech and Slovak Republics; Kabournek: Zlin, Czech Republic, 1996; ISBN 80-901466-2-7. [Google Scholar]
- Szyszko, J.; Vermeulen, H.; Klimaszewski, K.; Abs, M.; Schwerk, A. Mean Individual Biomass (MIB) of Carabidae as an Indicator of the State of the Environment. In Natural History and Applied Ecology of Carabid Beetles; Brandamayr, P., Lovei, G., Casale, A., Vigna Taglianti, A., Eds.; Pensoft Publishers: Sofia, Bulgaria, 2000; pp. 289–294. [Google Scholar]
- Zahl, S. Jackknifing An Index of Diversity Author(s): Samuel Zahl Published by: Ecological Society of America Jackknifing an Index of Diversity. Ecology 2014, 58, 907–913. [Google Scholar] [CrossRef]
- Colwell, R.; EstimateS: Statistical Estimation of Species Richness and Shared Species from Samples. Version 9.1.0 User’s Guide and Application. Available online: http://purl.oclc.org/estimates (accessed on 27 September 2022).
- Kenkel, N.C.; Orloci, L. Applying Metric and Nonmetric Multidimensional Scaling to Ecological Studies: Some New Results. Ecology 1986, 67, 919–928. [Google Scholar] [CrossRef]
- Clarke, K.R. Non-parametric Multivariate Analyses of Changes in Community Structure. Aust. J. Ecol. 1993, 18, 117–143. [Google Scholar] [CrossRef]
- Ter Braak, C.J.F.; Šmilauer, P. CANOCO Reference Manual and User’s Guide to Canoco for Windows; Centre for Biometry: Ithaca, NY, USA, 1998. [Google Scholar]
- Dziennik Ustaw Rzeczypospolitej Polskiej Warszawa. Dnia 28 Grudnia 2016 r. Poz. 2183 Rozporządzenie Ministra Środowiska z Dnia 16 Grudnia 2016 r. w Sprawie Ochrony Gatunkowej Zwierząt Na; Dziennik Ustaw Rzeczypospolitej Polskiej Warszawa: Warszawa, Poland, 2016; pp. 1–10. [Google Scholar]
- Lindroth, C.H. The Carabidae (Coleoptera) of Fennoscandia and Denmark. In Fauna Entomol Scandinavica 15/1; Brill Academic Pub: Leiden, The Netherlands, 1986. [Google Scholar]
- Hejkal, J. Carabids/Coleoptera, Carabidae/of the Peat Bog Soos in W-Bohemia: A Faunistical and Ecological Study. Folia Mus. Rer. Natur. Bohem. Occid. Plzen 1990, 32, 3–54. [Google Scholar]
- Tarwacki, G. Zróżnicowanie Gatunkowe Zgrupowañ Biegaczowatych (Carabidae) Wmonokulturach Sosnowych Po Zastosowaniu Ogniskowo-Kompleksowej Metody Ochrony Lasu. Leśne Pr. Badaw. 2004, 1, 103–118. [Google Scholar]
- Venn, S. To Fly or Not to Fly: Factors Influencing the Flight Capacity of Carabid Beetles (Coleoptera: Carabidae). Eur. J. Entomol. 2016, 113, 587–600. [Google Scholar] [CrossRef]










| Humidity (%) | ||||||||||||||
|---|---|---|---|---|---|---|---|---|---|---|---|---|---|---|
| 2008 | ||||||||||||||
| 5.05 1 | 2.06 | 17.07 | 11.08 | 8.09 | ||||||||||
| A | B | C | A | B | C | A | B | C | A | B | C | A | B | C |
| 36.8 | 21.5 | 14.8 | 30.5 | 11.8 | 9.5 | 33.6 | 13.4 | 12.8 | 25.9 | 14.3 | 10.4 | 33.1 | 14.2 | 11.6 |
| 2019_1 | ||||||||||||||
| 8.05 | 5.06 | 19.07 | 14.08 | 11.09 | ||||||||||
| A | B | C | A | B | C | A | B | C | A | B | C | A | B | C |
| 33.9 | 19.0 | 12.8 | 33.2 | 26.0 | 17.7 | 33.2 | 21.0 | 15.7 | 36.0 | 27.2 | 22.8 | 33.1 | 22.1 | 17.1 |
| 2019_2 | ||||||||||||||
| 8.05 | 5.06 | 19.07 | 14.08 | 11.09 | ||||||||||
| A | B | C | A | B | C | A | B | C | A | B | C | A | B | C |
| 23.8 | 22.1 | 13.8 | 32.9 | 31.0 | 20.0 | 28.0 | 30.6 | 16.0 | 36.1 | 38.3 | 23.0 | 30.5 | 30.1 | 16.2 |
| Species | Ecological | 2008 | 2019_1 | 2019_2 | ||||||
|---|---|---|---|---|---|---|---|---|---|---|
| Description * | A ** | B | C | A | B | C | A | B | C | |
| Acupalpus exiguus Dejean, 1829 | We, H, Hz, Sb | 1 | 0 | 0 | 0 | 0 | 0 | 0 | 0 | 0 |
| Acupalpus flavicollis (J. Sturm, 1825) | We, H, Hz, Sb | 0 | 0 | 0 | 0 | 0 | 0 | 1 | 0 | 0 |
| Agonum fuliginosum (Panzer, 1809) | We, H, Sz, Sb | 21 | 1 | 0 | 0 | 1 | 0 | 2 | 2 | 0 |
| Amara aenea (De Geer, 1774) | Oa, Xe, Hz, Sb | 18 | 23 | 22 | 0 | 1 | 0 | 1 | 0 | 0 |
| Amara aulica (Panzer,1797) | Oa, M, Hz, Ab | 2 | 0 | 0 | 0 | 0 | 0 | 0 | 0 | 0 |
| Amara bifrons (Gyllenhal, 1810) | Oa, Xe, Hz, Ab | 10 | 14 | 10 | 0 | 0 | 1 | 0 | 0 | 0 |
| Amara brunnea (Gyllenhal, 1810) | F, M, Hz, Ab | 0 | 0 | 3 | 3 | 0 | 7 | 1 | 3 | 24 |
| Amara communis (Panzer, 1797) | Oa, M, Hz, Sb | 30 | 10 | 4 | 1 | 12 | 14 | 2 | 6 | 1 |
| Amara consularis (Duftschmid,1812) | Oa, Xe, Hz, Ab | 0 | 2 | 1 | 0 | 0 | 0 | 0 | 0 | 0 |
| Amara convexior Stephens, 1828 | Oa, M, Hz, Sb | 22 | 14 | 2 | 1 | 3 | 0 | 0 | 0 | 0 |
| Amara curta Dejean, 1828 | Oa, Xe, Hz, Sb | 1 | 3 | 0 | 0 | 0 | 0 | 0 | 0 | 0 |
| Amara equestris (Duftschmid, 1812) | Oa, Xe, Hz, Ab | 0 | 2 | 0 | 0 | 1 | 0 | 0 | 0 | 0 |
| Amara eurynota (Panzer,1797) | Oa, M, Hz, Ab | 0 | 1 | 0 | 0 | 0 | 0 | 0 | 0 | 0 |
| Amara familiaris (Duftschmid, 1812) | G, M, Hz, Sb | 2 | 0 | 0 | 1 | 0 | 0 | 0 | 0 | 0 |
| Amara fulva (Degeer,1774) | Oa, M, Hz, Ab | 0 | 1 | 1 | 0 | 0 | 0 | 0 | 0 | 0 |
| Amara lunicollis Schiodte, 1837 | Oa, M, Hz, Sb | 13 | 29 | 5 | 0 | 1 | 0 | 0 | 0 | 0 |
| Amara municipalis (Duftschmid,1812) | Oa, M, Hz, Ab | 1 | 4 | 3 | 0 | 0 | 0 | 0 | 0 | 0 |
| Amara similata (Gyllenhal, 1810) | Oa, M, Hz, Sb | 1 | 0 | 0 | 0 | 0 | 0 | 0 | 0 | 0 |
| Amara spreta Dejean, 1831 | Oa, Xe, Hz, Sb | 1 | 7 | 1 | 0 | 0 | 0 | 0 | 0 | 0 |
| Amara tibialis (Paykull, 1798) | G, Xe, Hz, Sb | 0 | 4 | 1 | 0 | 0 | 0 | 0 | 0 | 0 |
| Anisodactylus binotatus (Fabricius, 1787) | G, H, Hz, Sb | 0 | 0 | 0 | 1 | 0 | 0 | 1 | 0 | 0 |
| Badister bullatus (Schrank,1798) | G, M, Sz, Sb | 0 | 0 | 0 | 1 | 1 | 0 | 2 | 1 | 0 |
| Badister lacertosus Sturm,1815 | F, M, Sz, Sb | 0 | 0 | 0 | 0 | 0 | 0 | 2 | 0 | 0 |
| Badister sodalis (Duftschmid,1812) | We, H, Sz, Sb | 0 | 0 | 0 | 0 | 0 | 0 | 1 | 0 | 0 |
| Bembidion gilvipes (Sturm, 1825) | Oa, H, Sz, Sb | 42 | 1 | 0 | 4 | 0 | 0 | 4 | 2 | 0 |
| Bembidion guttula (Fabricius,1792) | Oa, H, Sz, Sb | 2 | 0 | 0 | 0 | 0 | 0 | 1 | 0 | 0 |
| Bembidion mannerheimii (C.Sahlberg,1827) | We, H, Sz, Sb | 4 | 0 | 0 | 0 | 0 | 0 | 0 | 0 | 0 |
| Blemus discus (Fabricius,1792) | We, M, Sz, Ab | 0 | 0 | 0 | 0 | 0 | 0 | 1 | 0 | 0 |
| Bradycellus csikii Laczo,1912 | Oa, M, Hz, Sb | 3 | 0 | 2 | 0 | 0 | 0 | 0 | 0 | 0 |
| Bradycellus harpalinus (Audinet-Serville,1821) | Oa, Xe, Hz, Sb | 3 | 4 | 1 | 0 | 1 | 0 | 0 | 1 | 0 |
| Calathus ambiguus (Paykull, 1790) | Oa, Xe, Sz, Ab | 1 | 0 | 0 | 0 | 0 | 0 | 0 | 0 | 0 |
| Calathus erratus (C.Sahlberg, 1827) | G, Xe, Sz, Ab | 5 | 192 | 60 | 0 | 0 | 1 | 0 | 0 | 1 |
| Calathus fuscipes Goeze, 1777 | Oa, M, Sz, Ab | 1 | 1 | 1 | 0 | 0 | 0 | 0 | 0 | 0 |
| Calathus melanocephalus (Linnaeus, 1758) | Oa, M, Sz, Ab | 7 | 7 | 2 | 0 | 0 | 0 | 0 | 0 | 0 |
| Calathus micropterus (Duftschmid, 1812) | F, M, Sz, Ab | 0 | 0 | 0 | 1 | 4 | 3 | 0 | 2 | 24 |
| Carabus cancellatus Illiger,1798 | G, M, Lz, Sb | 1 | 0 | 0 | 0 | 0 | 0 | 0 | 0 | 0 |
| Carabus convexus Fabricius,1775 | F, Xe, Lz, Sb | 1 | 2 | 0 | 0 | 0 | 0 | 0 | 2 | 0 |
| Carabus glabratus Paykull, 1790 | F, M, Lz, Ab | 0 | 1 | 0 | 2 | 1 | 2 | 2 | 0 | 2 |
| Carabus granulatus (Linnaeus, 1758) | We, H, Lz, Sb | 2 | 0 | 0 | 8 | 3 | 3 | 4 | 4 | 4 |
| Carabus hortensis Linnaeus, 1758 | F, M, Lz, Ab | 0 | 2 | 4 | 8 | 1 | 21 | 7 | 10 | 73 |
| Carabus marginalis Fabricius, 1794 | F, M, Lz, Sb | 36 | 38 | 27 | 7 | 10 | 12 | 2 | 4 | 15 |
| Carabus nemoralis O.F. Müller, 1764 | G, M, Lz, Sb | 0 | 4 | 8 | 0 | 0 | 6 | 0 | 0 | 5 |
| Carabus violaceus Linnaeus, 1758 | F, M, Lz, Ab | 0 | 0 | 0 | 0 | 0 | 1 | 0 | 0 | 0 |
| Cicindela campestris Linnaeus, 1758 | Oa, Xe, Lz, Sb | 1 | 0 | 0 | 0 | 1 | 0 | 0 | 0 | 0 |
| Clivina fossor (Linnaeus, 1758) | Oa, M, Sz, Sb | 15 | 0 | 0 | 7 | 3 | 0 | 11 | 5 | 0 |
| Dyschirius globosus (Herbst, 1784) | Oa, H, Sz, Sb | 89 | 4 | 2 | 27 | 8 | 15 | 65 | 47 | 1 |
| Elaphrus cupreus Duftschmid, 1812 | We, H, Sz, Sb | 1 | 0 | 0 | 0 | 0 | 0 | 0 | 0 | 0 |
| Epaphius rivularis (Schrank, 1781) | We, H, Sz, Ab | 6 | 0 | 0 | 0 | 0 | 0 | 0 | 0 | 0 |
| Epaphius secalis (Paykull, 1790) | G, M, Sz, Ab | 49 | 15 | 1 | 24 | 26 | 10 | 5 | 12 | 1 |
| Harpalus affinis (Schrank, 1781) | G, Xe, Hz, Sb | 4 | 1 | 1 | 0 | 0 | 0 | 0 | 0 | 0 |
| Harpalus anxius (Duftschmid, 1812) | Oa, Xe, Hz, Sb | 0 | 0 | 1 | 0 | 0 | 0 | 0 | 0 | 0 |
| Harpalus griseus (Panzer, 1796) | Oa, Xe, Hz, Ab | 0 | 2 | 1 | 0 | 0 | 0 | 0 | 0 | 0 |
| Harpalus laevipes Zetterstedt, 1828 | F, M, Hz, Sb | 0 | 0 | 0 | 0 | 0 | 0 | 0 | 0 | 1 |
| Harpalus latus (Linnaeus, 1758) | G, M, Hz, Ab | 3 | 13 | 0 | 0 | 3 | 0 | 0 | 0 | 0 |
| Harpalus luteicornis (Duftschmid, 1812) | Oa, M, Hz, Sb | 1 | 0 | 0 | 0 | 0 | 0 | 0 | 0 | 0 |
| Harpalus rubripes (Duftschmid, 1812) | Oa, Xe, Hz, Sb | 14 | 34 | 5 | 0 | 0 | 0 | 0 | 0 | 0 |
| Harpalus rufipalpis J. Sturm, 1818 | Oa, Xe, Hz, Sb | 1 | 4 | 2 | 0 | 0 | 0 | 0 | 0 | 0 |
| Harpalus rufipes (De Geer, 1774) | Oa, M, Hz, Ab | 21 | 35 | 17 | 0 | 1 | 0 | 1 | 0 | 0 |
| Harpalus signaticornis (Duftschmid, 1812) | Oa, Xe, Hz, Sb | 0 | 0 | 4 | 0 | 0 | 0 | 0 | 0 | 0 |
| Harpalus smaragdinus (Duftschmid, 1812) | Oa, Xe, Hz, Sb | 0 | 5 | 7 | 0 | 0 | 0 | 0 | 0 | 0 |
| Harpalus tardus (Panzer, 1796) | Oa, Xe, Hz, Sb | 65 | 109 | 82 | 0 | 1 | 0 | 0 | 0 | 0 |
| Leistus ferrugineus Linnaeus, 1758 | F, M, Sz, Ab | 0 | 1 | 0 | 0 | 0 | 1 | 0 | 0 | 1 |
| Leistus rufomarginatus (Duftschmid, 1812) | F, M, Sz, Ab | 0 | 0 | 0 | 0 | 0 | 0 | 0 | 0 | 1 |
| Leistus terminatus Panzer, 1793 | We, H, Sz, Ab | 1 | 2 | 2 | 1 | 0 | 3 | 0 | 1 | 0 |
| Limodromus assimilis Paykull, 1790 | F, H, Sz, Sb | 0 | 0 | 0 | 0 | 0 | 0 | 0 | 0 | 1 |
| Loricera pilicornis (Fabricius, 1775) | We, H, Sz, Sb | 5 | 0 | 0 | 0 | 0 | 0 | 0 | 0 | 0 |
| Microlestes minutulus (Goeze, 1777) | Oa, Xe, Sz, Ab | 2 | 1 | 0 | 1 | 1 | 0 | 0 | 3 | 0 |
| Nebria brevicollis (Fabricius, 1792) | G, M, Sz, Ab | 0 | 0 | 0 | 1 | 0 | 0 | 0 | 1 | 3 |
| Notiophilus palustris (Duftschmid, 1812) | G, M, Sz, Sb | 0 | 1 | 0 | 0 | 0 | 1 | 0 | 0 | 0 |
| Oodes helopioides (Fabricius, 1792) | We, H, Sz, Sb | 1 | 0 | 0 | 0 | 0 | 0 | 2 | 0 | 0 |
| Oxypselaphus obscurus (Herbst, 1784) | F, H, Sz, Sb | 3 | 0 | 0 | 2 | 1 | 1 | 5 | 2 | 1 |
| Patrobus atrorufus (Str?m, 1768) | We, H, Sz, Ab | 3 | 1 | 0 | 0 | 0 | 0 | 0 | 0 | 0 |
| Philorhizus sigma (P. Rossi, 1790) | Oa, Xe, Sz, Sb | 0 | 0 | 0 | 0 | 1 | 0 | 0 | 0 | 0 |
| Poecilus cupreus (Linnaeus, 1758) | Oa, M, Sz, Sb | 2 | 2 | 1 | 0 | 0 | 0 | 0 | 0 | 0 |
| Poecilus lepidus (Leske, 1785) | Oa, Xe, Sz, Sb | 3 | 26 | 6 | 0 | 0 | 0 | 0 | 0 | 0 |
| Poecilus versicolor (J. Sturm, 1824) | G, M, Sz, Sb | 2 | 3 | 0 | 2 | 0 | 0 | 2 | 1 | 0 |
| Pterostichus aterrimus (Herbst, 1784) | We, H, Lz, Sb | 0 | 0 | 0 | 2 | 0 | 0 | 0 | 0 | 0 |
| Pterostichus diligens (Sturm, 1824) | We, H, Sz, Sb | 26 | 5 | 0 | 3 | 0 | 0 | 0 | 2 | 0 |
| Pterostichus melanarius (Illiger,1798) | G, M, Lz, Sb | 0 | 0 | 0 | 0 | 1 | 0 | 1 | 0 | 1 |
| Pterostichus minor (Gyllenhal, 1827) | We, H, Sz, Sb | 1 | 1 | 0 | 1 | 0 | 0 | 1 | 0 | 0 |
| Pterostichus niger (Schaller, 1783) | F, M, Lz, Ab | 150 | 140 | 134 | 39 | 86 | 94 | 21 | 53 | 124 |
| Pterostichus nigrita (Paykull, 1790) | We, H, Sz, Sb | 0 | 1 | 0 | 3 | 8 | 0 | 0 | 0 | 0 |
| Pterostichus oblongopunctatus (Fabricius, 1787) | F, M, Sz, Sb | 0 | 0 | 1 | 2 | 0 | 5 | 0 | 2 | 32 |
| Pterostichus strenuus (Panzer, 1796) | G, H, Sz, Sb | 16 | 3 | 0 | 1 | 0 | 3 | 3 | 1 | 2 |
| Pterostichus vernalis (Panzer, 1796) | G, M, Sz, Sb | 63 | 67 | 22 | 8 | 16 | 2 | 3 | 13 | 3 |
| Stenolophus mixtus (Herbst, 1784) | Oa, H, Sz, Sb | 1 | 0 | 0 | 0 | 0 | 0 | 0 | 0 | 0 |
| Stomis pumicatus (Panzer,1796) | G, M, Sz, Ab | 0 | 0 | 0 | 0 | 0 | 0 | 1 | 0 | 0 |
| Syntomus truncatellus (Linne, 1761) | Oa, Xe, Sz, Sb | 5 | 2 | 1 | 0 | 1 | 0 | 2 | 0 | 0 |
| Synuchus vivalis (Illiger, 1798) | Oa, Xe, Sz, Ab | 4 | 2 | 1 | 0 | 1 | 1 | 0 | 0 | 0 |
| Individuals total | 789 | 847 | 449 | 162 | 199 | 207 | 157 | 180 | 321 | |
| 3 311 | ||||||||||
| Number of species | 56 | 50 | 38 | 28 | 29 | 22 | 30 | 24 | 22 | |
| 89 | ||||||||||
| Wald’s Statistics | p | |
|---|---|---|
| Individuals | ||
| Area | 8.5 | 0.01 |
| Year | 1197.82 | 0.00 |
| Species | ||
| Area | 1.02 | 0.6 |
| Year | 340.18 | 0.00 |
| MIB | ||
| Area | 8920.00 | 0.00 |
| Year | 1193.00 | 0.00 |
| Wald’s Statistics | p | |
|---|---|---|
| Eu * | 132.34 | 0.00 |
| F | 448.42 | 0.00 |
| Oa | 980.96 | 0.00 |
| We | 94.03 | 0.00 |
| H | 426.44 | 0.00 |
| M | 477.62 | 0.00 |
| Xe | 567.87 | 0.00 |
| Hz | 646.90 | 0.00 |
| Lz | 206.47 | 0.00 |
| Sz | 692.44 | 0.00 |
| Ab | 542.99 | 0.00 |
| Sb | 996.49 | 0.00 |
Publisher’s Note: MDPI stays neutral with regard to jurisdictional claims in published maps and institutional affiliations. |
© 2022 by the authors. Licensee MDPI, Basel, Switzerland. This article is an open access article distributed under the terms and conditions of the Creative Commons Attribution (CC BY) license (https://creativecommons.org/licenses/by/4.0/).
Share and Cite
Ludwiczak, E.; Nietupski, M.; Kosewska, A. Impact of Water Retention Practices in Forests on the Biodiversity of Ground Beetles (Coleoptera: Carabidae). Sustainability 2022, 14, 15068. https://doi.org/10.3390/su142215068
Ludwiczak E, Nietupski M, Kosewska A. Impact of Water Retention Practices in Forests on the Biodiversity of Ground Beetles (Coleoptera: Carabidae). Sustainability. 2022; 14(22):15068. https://doi.org/10.3390/su142215068
Chicago/Turabian StyleLudwiczak, Emilia, Mariusz Nietupski, and Agnieszka Kosewska. 2022. "Impact of Water Retention Practices in Forests on the Biodiversity of Ground Beetles (Coleoptera: Carabidae)" Sustainability 14, no. 22: 15068. https://doi.org/10.3390/su142215068
APA StyleLudwiczak, E., Nietupski, M., & Kosewska, A. (2022). Impact of Water Retention Practices in Forests on the Biodiversity of Ground Beetles (Coleoptera: Carabidae). Sustainability, 14(22), 15068. https://doi.org/10.3390/su142215068

