Enhanced Degradation of Ciprofloxacin in Floating Treatment Wetlands Augmented with Bacterial Cells Immobilized on Iron Oxide Nanoparticles
Abstract
1. Introduction
2. Materials and Methods
2.1. Chemicals and Media
2.2. Synthesis of Iron Oxide Nanoparticles
2.2.1. Preparation of Aqueous Extract
2.2.2. Co-Precipitation Method for Fe Oxide NPs
2.3. Characterization of Fe3O4-NPs via Atomic Force Microscope (AFM)
2.4. Bacterial Strains
2.5. Immobilization of Bacterial Consortium on Fe3O4-NPs
2.6. Preparation of Stock Solution
2.6.1. Wetland Plants
2.6.2. Experimental Setup
- control: CIP-contaminated water having only mat without vegetation,
- control: Tap water without CIP having FTWs,
- T1: CIP-contaminated water with FTWs,
- T2: CIP-contaminated water with bacterial consortium only,
- T3: CIP-contaminated water with FTWs and the suspension of bacterial consortium,
- T4: CIP-contaminated water with FTWs and the bacterial consortium immobilized on Fe3O4-NPs.
2.7. Water Quality Parameters
2.8. Determination of Ciprofloxacin
2.9. Persistence of Inoculated Bacteria in FTWs
2.10. Plant Biomass
2.11. Toxicity Analysis
2.12. Data Analysis
3. Results and Discussion
3.1. Characterization of Nano Particles by AFM
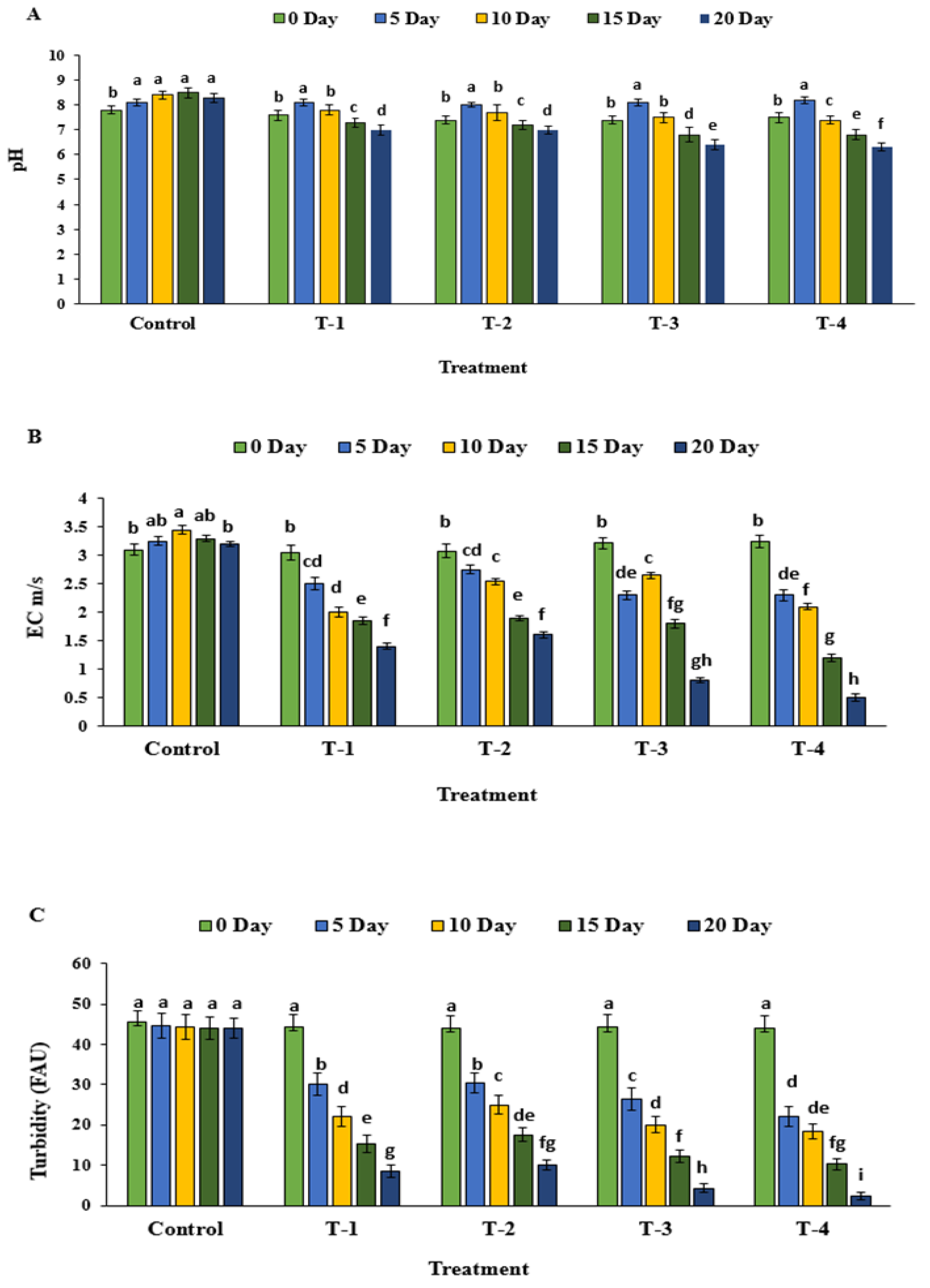
3.2. Remediation of CIP-Contaminated Water
3.3. Ciprofloxacin Removal from Water
3.4. Persistence of the Inoculated Bacteria in FTWs
3.5. Plant Biomass
3.6. Phytotoxicity Evaluation of Treated Water
4. Conclusions
Author Contributions
Funding
Institutional Review Board Statement
Informed Consent Statement
Data Availability Statement
Acknowledgments
Conflicts of Interest
References
- Gomes, J.; Costa, R.; Quinta-Ferreira, R.M.; Martins, R.C. Application of ozonation for pharmaceuticals and personal care products removal from water. Sci. Total Environ. 2017, 586, 265–283. [Google Scholar] [CrossRef] [PubMed]
- González-Labrada, K.; Richard, R.; Andriantsiferana, C.; Valdés, H.; Jáuregui-Haza, U.J.; Manero, M.-H. Enhancement of ciprofloxacin degradation in aqueous system by heterogeneous catalytic ozonation. Environ. Sci. Pollut. Res. 2020, 27, 1246–1255. [Google Scholar] [CrossRef] [PubMed]
- Li, X.; Wang, W.; Dou, J.; Gao, J.; Chen, S.; Quan, X.; Zhao, H. Dynamic adsorption of ciprofloxacin on carbon nanofibers: Quantitative measurement by in situ fluorescence. J. Water Process Eng. 2016, 9, e14–e20. [Google Scholar] [CrossRef]
- Larsson, D.J. Antibiotics in the environment. Upsala J. Med. Sci. 2014, 119, 108–112. [Google Scholar] [CrossRef] [PubMed]
- Knapp, C.W.; Lima, L.; Olivares-Rieumont, S.; Bowen, E.; Werner, D.; Graham, D.W. Seasonal variations in antibiotic resistance gene transport in the Almendares River, Havana, Cuba. Front. Microbiol. 2012, 3, 396. [Google Scholar] [CrossRef]
- Zhang, Q.-Q.; Ying, G.-G.; Pan, C.-G.; Liu, Y.-S.; Zhao, J.-L. Comprehensive evaluation of antibiotics emission and fate in the river basins of China: Source analysis, multimedia modeling, and linkage to bacterial resistance. Environ. Sci. Technol. 2015, 49, 6772–6782. [Google Scholar] [CrossRef]
- Bushra, M.U.; Huda, M.N.; Mostafa, M.; Sultan, M.Z.; Rahman, A. Study of forced degradation of ciprofloxacin HCl indicating stability using RP-HPLC method. Der Pharma Chem. 2013, 5, 132–137. [Google Scholar]
- Golet, E.M.; Xifra, I.; Siegrist, H.; Alder, A.C.; Giger, W. Environmental exposure assessment of fluoroquinolone antibacterial agents from sewage to soil. Environ. Sci. Technol. 2003, 37, 3243–3249. [Google Scholar] [CrossRef]
- Ötker, H.M.; Akmehmet-Balcıoğlu, I. Adsorption and degradation of enrofloxacin, a veterinary antibiotic on natural zeolite. J. Hazard. Mater. 2005, 122, 251–258. [Google Scholar] [CrossRef]
- de Voogt, P.; Janex-Habibi, M.-L.; Sacher, F.; Puijker, L.; Mons, M. Development of a common priority list of pharmaceuticals relevant for the water cycle. Water Sci. Technol. 2009, 59, 39–46. [Google Scholar] [CrossRef]
- Sun, S.-P.; Guo, H.-Q.; Ke, Q.; Sun, J.-H.; Shi, S.-H.; Zhang, M.-L.; Zhou, Q. Degradation of antibiotic ciprofloxacin hydrochloride by photo-Fenton oxidation process. Environ. Eng. Sci. 2009, 26, 753–759. [Google Scholar] [CrossRef]
- Larsson, D.J.; de Pedro, C.; Paxeus, N. Effluent from drug manufactures contains extremely high levels of pharmaceuticals. J. Hazard. Mater. 2007, 148, 751–755. [Google Scholar] [CrossRef] [PubMed]
- Li, X.; Liu, C.; Chen, Y.; Huang, H.; Ren, T. Antibiotic residues in liquid manure from swine feedlot and their effects on nearby groundwater in regions of North China. Environ. Sci. Pollut. Res. 2018, 25, 11565–11575. [Google Scholar] [CrossRef] [PubMed]
- El-Shafey, E.S.I.; Al-Lawati, H.; Al-Sumri, A.S. Ciprofloxacin adsorption from aqueous solution onto chemically prepared carbon from date palm leaflets. J. Environ. Sci. 2021, 24, 1579–1586. [Google Scholar] [CrossRef]
- Ahmadzadeh, S.; Asadipour, A.; Pournamdari, M.; Behnam, B.; Rahimi, H.R.; Dolatabadi, M. Removal of ciprofloxacin from hospital wastewater using electrocoagulation technique by aluminum electrode: Optimization and modelling through response surface methodology. Process Saf. Environ. Prot. 2017, 109, 538–547. [Google Scholar] [CrossRef]
- Fang, H.; Oberoi, A.S.; He, Z.; Khanal, S.K.; Lu, H. Ciprofloxacin-degrading Paraclostridium sp. isolated from sulfate-reducing bacteria-enriched sludge: Optimization and mechanism. Water Res. 2021, 191, 116808. [Google Scholar] [CrossRef]
- Pazda, M.; Kumirska, J.; Stepnowski, P.; Mulkiewicz, E. Antibiotic resistance genes identified in wastewater treatment plant systems—A review. Sci. Total Environ. 2019, 697, 134023. [Google Scholar] [CrossRef]
- Le-Minh, N.; Khan, S.; Drewes, J.; Stuetz, R. Fate of antibiotics during municipal water recycling treatment processes. Water Res. 2010, 44, 4295–4323. [Google Scholar] [CrossRef]
- Klavarioti, M.; Mantzavinos, D.; Kassinos, D. Removal of residual pharmaceuticals from aqueous systems by advanced oxidation processes. Environ. Int. 2009, 35, 402–417. [Google Scholar] [CrossRef]
- Lin, A.Y.-C.; Lin, C.-F.; Chiou, J.-M.; Hong, P.A. O3 and O3/H2O2 treatment of sulfonamide and macrolide antibiotics in wastewater. J. Hazard. Mater. 2009, 171, 452–458. [Google Scholar] [CrossRef]
- Firouzeh, N.; Malakootian, M.; Asadzadeh, S.N.; Khatami, M.; Makarem, Z. Degradation of ciprofloxacin using ultrasound/ZnO/oxone process from aqueous solution-lab-scale analysis and optimization. BioNanoScience 2021, 11, 306–313. [Google Scholar] [CrossRef]
- Rocha, C.S.; Kochi, L.Y.; Ribeiro, G.B.; Rocha, D.C.; Carneiro, D.N.M.; Gomes, M.P. Evaluating aquatic macrophytes for removing erythromycin from contaminated water: Floating or submerged? Int. J. Phytoremediat. 2021, 1–9. [Google Scholar] [CrossRef] [PubMed]
- Prakash, A.; Verma, A.; Goyal, S.; Gauba, P. Remediation of antibiotics from the environment. J. Basic Appl. Eng. Res. 2015, 2, 632–636. [Google Scholar]
- Afzal, M.; Arslan, M.; Müller, J.A.; Shabir, G.; Islam, E.; Tahseen, R.; Anwar-ul-Haq, M.; Hashmat, A.J.; Iqbal, S.; Khan, Q. Floating treatment wetlands as a suitable option for large-scale wastewater treatment. Nat. Sustain. 2019, 2, 863–871. [Google Scholar] [CrossRef]
- Saleem, H.; Arslan, M.; Rehman, K.; Tahseen, R.; Afzal, M. Phragmites australis—A helophytic grass—Can establish successful partnership with phenol-degrading bacteria in a floating treatment wetland. Saudi J. Biol. Sci. 2019, 26, 1179–1186. [Google Scholar] [CrossRef]
- Ansari, A.A.; Naeem, M.; Gill, S.S.; AlZuaibr, F.M. Phytoremediation of contaminated waters: An eco-friendly technology based on aquatic macrophytes application. Egypt. J. Aquat. Res. 2020, 46, 371–376. [Google Scholar] [CrossRef]
- Glick, B.R. Bacteria with ACC deaminase can promote plant growth and help to feed the world. Microbiol. Res. 2014, 169, 30–39. [Google Scholar] [CrossRef]
- Glick, B.R. Using soil bacteria to facilitate phytoremediation. Biotechnol. Adv. 2010, 28, 367–374. [Google Scholar] [CrossRef]
- Younas, F.; Bibi, I.; Afzal, M.; Niazi, N.K.; Aslam, Z. Elucidating the Potential of Vertical Flow-Constructed Wetlands Vegetated with Different Wetland Plant Species for the Remediation of Chromium-Contaminated Water. Sustainability 2022, 14, 5230. [Google Scholar] [CrossRef]
- Younas, F.; Niazi, N.K.; Bibi, I.; Afzal, M.; Hussain, K.; Shahid, M.; Aslam, Z.; Bashir, S.; Hussain, M.M.; Bundschuh, J. Constructed wetlands as a sustainable technology for wastewater treatment with emphasis on chromium-rich tannery wastewater. J. Hazard. Mater. 2021, 422, 126926. [Google Scholar] [CrossRef]
- Żur, J.; Wojcieszyńska, D.; Guzik, U. Metabolic responses of bacterial cells to immobilization. Molecules 2016, 21, 958. [Google Scholar] [CrossRef] [PubMed]
- Mehrotra, T.; Srivastava, A.; Rao, R.P.; Singh, R. A novel immobilized bacterial consortium bioaugmented in a bioreactor for sustainable wastewater treatment. J. Pure Appl. Microbiol. 2019, 13, 371–383. [Google Scholar] [CrossRef]
- Lee, J.; Cho, M.H. Removal of nitrogen in wastewater by polyvinyl alcohol (PVA)-immobilization of effective microorganisms. Korean J. Chem. Eng. 2010, 27, 193–197. [Google Scholar] [CrossRef]
- Wu, Y.; Pang, H.; Liu, Y.; Wang, X.; Yu, S.; Fu, D.; Chen, J.; Wang, X. Environmental remediation of heavy metal ions by novel-nanomaterials: A review. Environ. Pollut. 2019, 246, 608–620. [Google Scholar] [CrossRef]
- Giese, E.C.; Silva, D.D.; Costa, A.F.; Almeida, S.G.; Dussán, K.J. Immobilized microbial nanoparticles for biosorption. Crit. Rev. Biotechnol. 2020, 40, 653–666. [Google Scholar] [CrossRef] [PubMed]
- Taib, N.; Latif, F.; Mohamed, Z.; Zambri, N. Green synthesis of iron oxide nanoparticles (Fe3O4-NPs) using azadirachta indica aqueous leaf extract. Int. J. Eng. Technol. 2018, 7, 9–13. [Google Scholar]
- Selvam, K.; Govarthanan, M.; Senbagam, D.; Kamala-Kannan, S.; Senthilkumar, B.; Selvankumar, T. Activity and stability of bacterial cellulase immobilized on magnetic nanoparticles. Chin. J. Catal. 2016, 37, 1891–1898. [Google Scholar] [CrossRef]
- Govarthanan, M.; Jeon, C.-H.; Jeon, Y.-H.; Kwon, J.-H.; Bae, H.; Kim, W. Non-toxic nano approach for wastewater treatment using Chlorella vulgaris exopolysaccharides immobilized in iron-magnetic nanoparticles. Int. J. Biol. Macromol. 2020, 162, 1241–1249. [Google Scholar] [CrossRef] [PubMed]
- Majeed, N.S.; Naji, D.M. Synthesis and Characterization of Iron Oxide Nanoparticles by Open Vessel Ageing Process. Iraqi J. Chem. Pet. Eng. 2018, 19, 27–31. [Google Scholar]
- Fatima, K.; Afzal, M.; Imran, A.; Khan, Q.M. Bacterial rhizosphere and endosphere populations associated with grasses and trees to be used for phytoremediation of crude oil contaminated soil. Bull. Environ. Contam. Toxicol. 2015, 94, 314–320. [Google Scholar] [CrossRef]
- Anwar, S.; Liaquat, F.; Khan, Q.M.; Khalid, Z.M.; Iqbal, S. Biodegradation of chlorpyrifos and its hydrolysis product 3, 5, 6-trichloro-2-pyridinol by Bacillus pumilus strain C2A1. J. Hazard. Mater. 2009, 168, 400–405. [Google Scholar] [CrossRef] [PubMed]
- Jabeen, H.; Iqbal, S.; Anwar, S. Biodegradation of chlorpyrifos and 3, 5, 6-trichloro-2-pyridinol by a novel rhizobial strain M esorhizobium sp. HN3. Water Environ. J. 2015, 29, 151–160. [Google Scholar] [CrossRef]
- Srinivasan, P.; Selvankumar, T.; Paray, B.A.; Rehman, M.U.; Kamala-Kannan, S.; Govarthanan, M.; Kim, W.; Selvam, K. Chlorpyrifos degradation efficiency of Bacillus sp. laccase immobilized on iron magnetic nanoparticles. 3 Biotech 2020, 10, 1–11. [Google Scholar] [CrossRef] [PubMed]
- He, S.; Zhong, L.; Duan, J.; Feng, Y.; Yang, B.; Yang, L. Bioremediation of wastewater by iron oxide-biochar nanocomposites loaded with photosynthetic bacteria. Front. Microbiol. 2017, 8, 23. [Google Scholar] [CrossRef] [PubMed]
- Subhashini, V.; Swamy, A. Phytoremediation of metal (Pb, Ni, Zn, Cd and Cr) contaminated soils using Canna indica. Curr. World Environ. 2014, 9, 780. [Google Scholar] [CrossRef]
- Suganya, K.; Sebastian, S.P. Phytoremediation prospective of Indian shot (Canna indica) in treating the sewage effluent through hybrid reed bed (HRB) technology. IJCS 2017, 5, 102–105. [Google Scholar]
- Roselene, H. A Study on Remediation of Polluted Water Using Canna indica. Int. J. Res. Rev. 2014, 1, 1–15. [Google Scholar]
- Shahid, M.J.; L-surhanee, A.A.A.; Kouadri, F.; Ali, S.; Nawaz, N.; Afzal, M.; Rizwan, M.; Ali, B.; Soliman, M.H. Role of microorganisms in the remediation of wastewater in floating treatment wetlands: A review. Sustainability 2020, 12, 5559. [Google Scholar] [CrossRef]
- Tandon, S.A.; Kumar, R.; Yadav, S.A. Pytoremediation of fluoroquinolone group of antibiotics from waste water. Nat. Sci. 2013, 5, 41500. [Google Scholar] [CrossRef]
- Ghimire, U.; Nandimandalam, H.; Martinez-Guerra, E.; Gude, V.G. Wetlands for wastewater treatment. Water Environ. Res. 2019, 91, 1378–1389. [Google Scholar] [CrossRef]
- Rice, E.W.; Baird, R.B.; Eaton, A.D.; Clesceri, L.S. Standard Methods for the Examination of Water and Wastewater. In American Water Works Association Water Environment Federation; American Public Health Association: Washington, DC, USA, 2012. [Google Scholar]
- Akram, M.; Anwar, J.; Alshemarya, A.Z.; Goh, Y.-F.; Awan, A.S.; Farooqi, Q.H. Quantitative determination of ciprofloxacin and levofloxacin antibacterials by Spectrophotometeric and high performance liquid chromatography. Malays. J. Fundam. Appl. Sci. 2015, 11. [Google Scholar] [CrossRef]
- Nawaz, N.; Ali, S.; Shabir, G.; Rizwan, M.; Shakoor, M.B.; Shahid, M.J.; Afzal, M.; Arslan, M.; Hashem, A.; Abd_Allah, E.F.; et al. Bacterial augmented floating treatment wetlands for efficient treatment of synthetic textile dye wastewater. Sustainability 2020, 12, 3731. [Google Scholar] [CrossRef]
- Shahid, M.J.; Arslan, M.; Siddique, M.; Ali, S.; Tahseen, R.; Afzal, M. Potentialities of floating wetlands for the treatment of polluted water of river Ravi, Pakistan. Ecol. Eng. 2019, 133, 167–176. [Google Scholar] [CrossRef]
- Saleem, H.; Rehman, K.; Arslan, M.; Afzal, M. Enhanced degradation of phenol in floating treatment wetlands by plant-bacterial synergism. Int. J. Phytoremediat. 2018, 20, 692–698. [Google Scholar] [CrossRef] [PubMed]
- Kämpfer, P.; Erhart, R.; Beimfohr, C.; Böhringer, J.; Wagner, M.; Amann, R. Characterization of bacterial communities from activated sludge: Culture-dependent numerical identification versus in situ identification using group-and genus-specific rRNA-targeted oligonucleotide probes. Microb. Ecol. 1996, 32, 101–121. [Google Scholar] [CrossRef] [PubMed]
- Rehman, K.; Imran, A.; Amin, I.; Afzal, M. Enhancement of oil field-produced wastewater remediation by bacterially-augmented floating treatment wetlands. Chemosphere 2019, 217, 576–583. [Google Scholar] [CrossRef] [PubMed]
- Tara, N.; Arslan, M.; Hussain, Z.; Iqbal, M.; Khan, Q.M.; Afzal, M. On-site performance of floating treatment wetland macrocosms augmented with dye-degrading bacteria for the remediation of textile industry wastewater. J. Clean. Prod. 2019, 217, 541–548. [Google Scholar] [CrossRef]
- Yasin, M.; Tauseef, M.; Zafar, Z.; Rahman, M.; Islam, E.; Iqbal, S.; Afzal, M. Plant-Microbe Synergism in Floating Treatment Wetlands for the Enhanced Removal of Sodium Dodecyl Sulphate from Water. Sustainability 2021, 13, 2883. [Google Scholar] [CrossRef]
- Nadi, A.; Boyer, D.; Charbonnel, N.; Boukhriss, A.; Forestier, C.; Gmouh, S. Immobilisation of bacteria onto magnetic nanoparticles for the decolorisation and degradation of azo dyes. IET Nanobiotechnol. 2019, 13, 144–149. [Google Scholar] [CrossRef]
- Hussain, Z.; Arslan, M.; Malik, M.H.; Mohsin, M.; Iqbal, S.; Afzal, M. Treatment of the textile industry effluent in a pilot-scale vertical flow constructed wetland system augmented with bacterial endophytes. Sci. Total Environ. 2018, 645, 966–973. [Google Scholar] [CrossRef]
- Ijaz, A.; Shabir, G.; Khan, Q.M.; Afzal, M. Enhanced remediation of sewage effluent by endophyte-assisted floating treatment wetlands. Ecol. Eng. 2015, 84, 58–66. [Google Scholar] [CrossRef]
- Shehzadi, M.; Afzal, M.; Khan, M.U.; Islam, E.; Mobin, A.; Anwar, S.; Khan, Q.M. Enhanced degradation of textile effluent in constructed wetland system using Typha domingensis and textile effluent-degrading endophytic bacteria. Water Res. 2014, 58, 152–159. [Google Scholar] [CrossRef] [PubMed]
- Arslan, M.; Imran, A.; Khan, Q.M.; Afzal, M. Plant–bacteria partnerships for the remediation of persistent organic pollutants. Environ. Sci. Pollut. Res. 2017, 24, 4322–4336. [Google Scholar] [CrossRef] [PubMed]
- Hussain, M.M.; Bibi, I.; Niazi, N.K.; Nawaz, M.F.; Rinklebe, J. Impact of organic and inorganic amendments on arsenic accumulation by rice genotypes under paddy soil conditions: A pilot-scale investigation to assess health risk. J. Hazard. Mater. 2021, 420, 126620. [Google Scholar] [CrossRef] [PubMed]
- Shahid, M.J.; Arslan, M.; Ali, S.; Siddique, M.; Afzal, M. Floating wetlands: A sustainable tool for wastewater treatment. CLEAN–Soil Air Water 2018, 46, 1800120. [Google Scholar] [CrossRef]
- Shahid, M.J.; Tahseen, R.; Siddique, M.; Ali, S.; Iqbal, S.; Afzal, M. Remediation of polluted river water by floating treatment wetlands. Water Supply 2019, 19, 967–977. [Google Scholar] [CrossRef]
- Rehman, K.; Imran, A.; Amin, I.; Afzal, M. Inoculation with bacteria in floating treatment wetlands positively modulates the phytoremediation of oil field wastewater. J. Hazard. Mater. 2018, 349, 242–251. [Google Scholar] [CrossRef]
- Sauvêtre, A.; May, R.; Harpaintner, R.; Poschenrieder, C.; Schröder, P. Metabolism of carbamazepine in plant roots and endophytic rhizobacteria isolated from Phragmites australis. J. Hazard. Mater. 2018, 342, 85–95. [Google Scholar] [CrossRef]
- Guo, X.; Wang, P.; Li, Y.; Zhong, H.; Li, P.; Zhang, C.; Zhao, T. Effect of copper on the removal of tetracycline from water by Myriophyllum aquaticum: Performance and mechanisms. Bioresour. Technol. 2019, 291, 121916. [Google Scholar] [CrossRef]
- Sauvêtre, A.; Węgrzyn, A.; Yang, L.; Vestergaard, G.; Miksch, K.; Schröder, P.; Radl, V. Enrichment of endophytic Actinobacteria in roots and rhizomes of Miscanthus× giganteus plants exposed to diclofenac and sulfamethoxazole. Environ. Sci. Pollut. Res. 2020, 27, 11892–11904. [Google Scholar] [CrossRef]
- Topal, M. Uptake of tetracycline and degradation products by Phragmites australis grown in stream carrying secondary effluent. Ecol. Eng. 2015, 79, 80–85. [Google Scholar] [CrossRef]
- Yan, Y.; Pengmao, Y.; Xu, X.; Zhang, L.; Wang, G.; Jin, Q.; Chen, L. Migration of antibiotic ciprofloxacin during phytoremediation of contaminated water and identification of transformation products. Aquat. Toxicol. 2020, 219, 105374. [Google Scholar] [CrossRef] [PubMed]
- Afzal, M.; Rehman, K.; Shabir, G.; Tahseen, R.; Ijaz, A.; Hashmat, A.J.; Brix, H. Large-scale remediation of oil-contaminated water using floating treatment wetlands. NPJ Clean Water 2019, 2, 1–10. [Google Scholar] [CrossRef]
- Afzal, M.; Khan, Q.M.; Sessitsch, A. Endophytic bacteria: Prospects and applications for the phytoremediation of organic pollutants. Chemosphere 2014, 117, 232–242. [Google Scholar] [CrossRef]
- Phenrat, T.; Teeratitayangkul, P.; Prasertsung, I.; Parichatprecha, R.; Jitsangiam, P.; Chomchalow, N.; Wichai, S. Vetiver plantlets in aerated system degrade phenol in illegally dumped industrial wastewater by phytochemical and rhizomicrobial degradation. Environ. Sci. Pollut. Res. 2017, 24, 13235–13246. [Google Scholar] [CrossRef]
- Alkio, M.; Tabuchi, T.M.; Wang, X.; Colon-Carmona, A. Stress responses to polycyclic aromatic hydrocarbons in Arabidopsis include growth inhibition and hypersensitive response-like symptoms. J. Exp. Bot. 2005, 56, 2983–2994. [Google Scholar] [CrossRef]
- Afridi, M.S.; Mahmood, T.; Salam, A.; Mukhtar, T.; Mehmood, S.; Ali, J.; Khatoon, Z.; Bibi, M.; Javed, M.T.; Sultan, T.; et al. Induction of tolerance to salinity in wheat genotypes by plant growth promoting endophytes: Involvement of ACC deaminase and antioxidant enzymes. Plant Physiol. Biochem. 2019, 139, 569–577. [Google Scholar] [CrossRef]
- Glick, B.R. Plant growth-promoting bacteria: Mechanisms and applications. Scientifica 2012, 2012, 963401. [Google Scholar] [CrossRef]
- Egamberdieva, D.; Wirth, S.J.; Alqarawi, A.A.; Abd_Allah, E.F.; Hashem, A. Phytohormones and beneficial microbes: Essential components for plants to balance stress and fitness. Front. Microbiol. 2017, 8, 2104. [Google Scholar] [CrossRef]
- Fahid, M.; Arslan, M.; Shabir, G.; Younus, S.; Yasmeen, T.; Rizwan, M.; Siddique, K.; Ahmad, S.R.; Tahseen, R.; Iqbal, S.; et al. Phragmites australis in combination with hydrocarbons degrading bacteria is a suitable option for remediation of diesel-contaminated water in floating wetlands. Chemosphere 2020, 240, 124890. [Google Scholar] [CrossRef]
- Niazi, N.K.; Hussain, M.M.; Bibi, I.; Natasha; Shahid, M.; Ali, F.; Iqbal, J.; Shaheen, S.M.; Abdelrahman, H.; Akhtar, W.; et al. The significance of eighteen rice genotypes on arsenic accumulation, physiological response and potential health risk. Sci. Total Environ. 2022, 832, 155004. [Google Scholar] [CrossRef] [PubMed]
- Natasha; Bibi, I.; Hussain, K.; Amen, R.; Hasan, I.M.U.; Shahid, M.; Bashir, S.; Khan Niazi, N.; Mehmood, T.; Asghar, H.N.; et al. The potential of microbes and sulfate in Reducing arsenic phytoaccumulation by maize (Zea mays L.) plants. Environ. Geochem. Health 2021, 43, 5037–5051. [Google Scholar] [CrossRef] [PubMed]
- Natasha; Bibi, I.; Niazi, N.K.; Shahid, M.; Ali, F.; Hasan, I.M.u.; Rahman, M.M.; Younas, F.; Hussain, M.M.; Mehmood, T.; et al. Distribution and ecological risk assessment of trace elements in the paddy soil-rice ecosystem of Punjab, Pakistan. Environ. Pollut. 2022, 307, 119492. [Google Scholar] [CrossRef] [PubMed]
- Liu, F.; Ying, G.-G.; Tao, R.; Zhao, J.-L.; Yang, J.-F.; Zhao, L.-F. Effects of six selected antibiotics on plant growth and soil microbial and enzymatic activities. Environ. Pollut. 2009, 157, 1636–1642. [Google Scholar] [CrossRef] [PubMed]
- Hillis, D.G.; Fletcher, J.; Solomon, K.R.; Sibley, P.K. Effects of ten antibiotics on seed germination and root elongation in three plant species. Arch. Environ. Contam. Toxicol. 2011, 60, 220–232. [Google Scholar] [CrossRef]
- Liu, X.; Lv, Y.; Xu, K.; Xiao, X.; Xi, B.; Lu, S. Response of ginger growth to a tetracycline-contaminated environment and residues of antibiotic and antibiotic resistance genes. Chemosphere 2018, 201, 137–143. [Google Scholar] [CrossRef]
- Rocha, D.C.; da Silva Rocha, C.; Tavares, D.S.; de Morais Calado, S.L.; Gomes, M.P. Veterinary antibiotics and plant physiology: An overview. Sci. Total Environ. 2021, 767, 144902. [Google Scholar] [CrossRef]
- Pan, M.; Chu, L. Phytotoxicity of veterinary antibiotics to seed germination and root elongation of crops. Ecotoxicol. Environ. Saf. 2016, 126, 228–237. [Google Scholar] [CrossRef]




| Treatment | Initial | 5 Days | 10 Days | 15 Days | 20 Days |
|---|---|---|---|---|---|
| T1 | 0.7 × 102 a (0.1 × 102) | 2.8 × 102 ab (1.0 × 102) | 3.2 × 102 ab (1.0 × 102) | 2.5 × 102 ab (0.8 × 102) | 3.0 × 102 ab (0.7 × 102) |
| T2 | 7.1 × 106 de (4.3 × 103) | 4.1 × 102 bc (1.3 × 102) | 3.9 × 102 b (1.1 × 102) | 4.4 × 102 b (1.2 × 102) | 3.8 × 102 b (1.0 × 102) |
| T3 | 7.2 × 106 de (4.3 × 103) | 8.3 × 106 de (5.1 × 103) | 6.4 × 104 cd (2.6 × 103) | 4.7 × 104 cd (2.2 × 102) | 4.0 × 103 c (1.3 × 102) |
| T4 | 7.2 × 106 de (4.3 × 103) | 8.7 × 108 e (4.3 × 103) | 8.3 × 108 e (3.9 × 103) | 7.5 × 106 de (3.3 × 103) | 6.8 × 105 d (3.1 × 103) |
| Treatment | Root/Shoot | Bacterial Population (CFU/g) |
|---|---|---|
| T1 | RI | 6.9 × 104 b (0.8) |
| SI | 5.5 × 104 c (1.1) | |
| T2 | RI | 7.5 × 104 a (1.3) |
| SI | 6.4 × 104 bc (1.2) |
| Treatment | Fresh Biomass (g) | Dry Biomass (g) | Length (cm) | |||
|---|---|---|---|---|---|---|
| Root | Shoot | Root | Shoot | Root | Shoot | |
| Control | 110 b (7.85) | 195 c (5.45) | 35 ef (4.72) | 118 f (3.46) | 25 f (3.08) | 30 e (5.18) |
| T1 | 100 b (9.23) | 180 c (6.18) | 25 ef (5.82) | 95 ef (3.38) | 16 ef (4.26) | 25 d (6.28) |
| T2 | 104 a (8.54) | 185 b (8.17) | 28 e (5.62) | 110 ef (4.61) | 20 ef (5.47) | 27 d (7.34) |
| T3 | 107 a (9.43) | 190 b (8.07) | 33 e (6.08) | 112 ef (5.35) | 23 ef (5.82) | 28 d (7.78) |
| Treatment | Radicle Length (mm) | Total Length (mm) |
|---|---|---|
| Untreated water | 10.5 h (0.74) | 14 g (0.95) |
| Tap water | 25 d (1.62) | 42 a (2.27) |
| T1 | 21 f (1.41) | 31 c (1.85) |
| T2 | 22 e (1.34) | 28 c (1.67) |
| T3 | 24 d (1.13) | 38 b (2.05) |
| T4 | 25 d (1.51) | 40 a (1.71) |
Publisher’s Note: MDPI stays neutral with regard to jurisdictional claims in published maps and institutional affiliations. |
© 2022 by the authors. Licensee MDPI, Basel, Switzerland. This article is an open access article distributed under the terms and conditions of the Creative Commons Attribution (CC BY) license (https://creativecommons.org/licenses/by/4.0/).
Share and Cite
Shah, S.W.A.; Rehman, M.u.; Hayat, A.; Tahseen, R.; Bajwa, S.; Islam, E.; Naqvi, S.N.H.; Shabir, G.; Iqbal, S.; Afzal, M.; et al. Enhanced Degradation of Ciprofloxacin in Floating Treatment Wetlands Augmented with Bacterial Cells Immobilized on Iron Oxide Nanoparticles. Sustainability 2022, 14, 14997. https://doi.org/10.3390/su142214997
Shah SWA, Rehman Mu, Hayat A, Tahseen R, Bajwa S, Islam E, Naqvi SNH, Shabir G, Iqbal S, Afzal M, et al. Enhanced Degradation of Ciprofloxacin in Floating Treatment Wetlands Augmented with Bacterial Cells Immobilized on Iron Oxide Nanoparticles. Sustainability. 2022; 14(22):14997. https://doi.org/10.3390/su142214997
Chicago/Turabian StyleShah, Syed Wajid Ali, Mujaddad ur Rehman, Azam Hayat, Razia Tahseen, Sadia Bajwa, Ejazul Islam, Syed Najaf Hasan Naqvi, Ghulam Shabir, Samina Iqbal, Muhammad Afzal, and et al. 2022. "Enhanced Degradation of Ciprofloxacin in Floating Treatment Wetlands Augmented with Bacterial Cells Immobilized on Iron Oxide Nanoparticles" Sustainability 14, no. 22: 14997. https://doi.org/10.3390/su142214997
APA StyleShah, S. W. A., Rehman, M. u., Hayat, A., Tahseen, R., Bajwa, S., Islam, E., Naqvi, S. N. H., Shabir, G., Iqbal, S., Afzal, M., & Niazi, N. K. (2022). Enhanced Degradation of Ciprofloxacin in Floating Treatment Wetlands Augmented with Bacterial Cells Immobilized on Iron Oxide Nanoparticles. Sustainability, 14(22), 14997. https://doi.org/10.3390/su142214997

