Performance Optimization of Natural Ventilation in Classrooms to Minimize the Probability of Viral Infection and Reduce Draught Risk
Abstract
1. Introduction
2. Materials and Methods
3. Results and Discussion
3.1. General Analysis of Natural Ventilation
3.2. Influence of Window Opening on Ventilation Rates
3.3. Analysis of Airborne Infection Risk
3.4. Optimized Classrooms to Minimize Airborne Infection
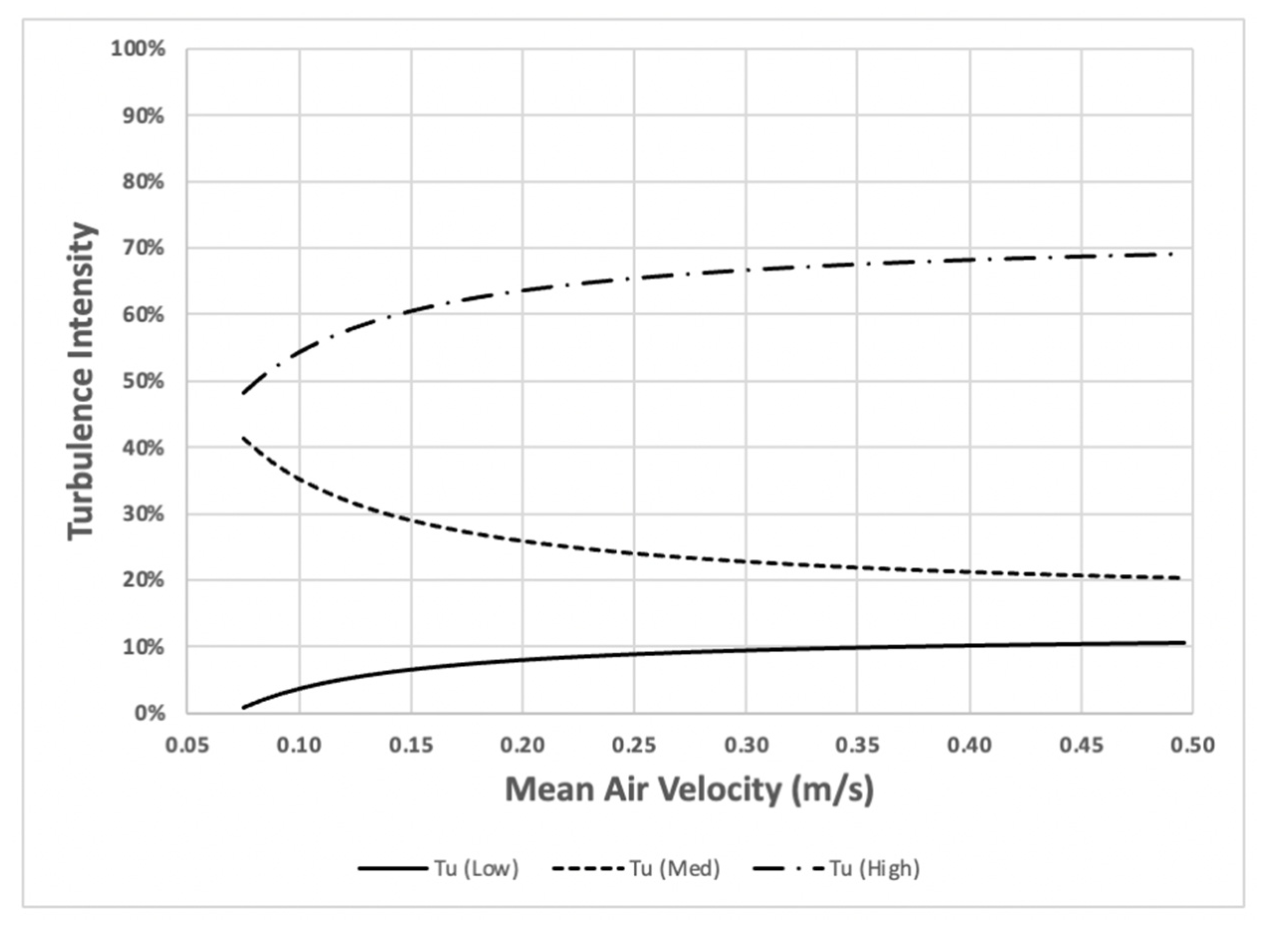
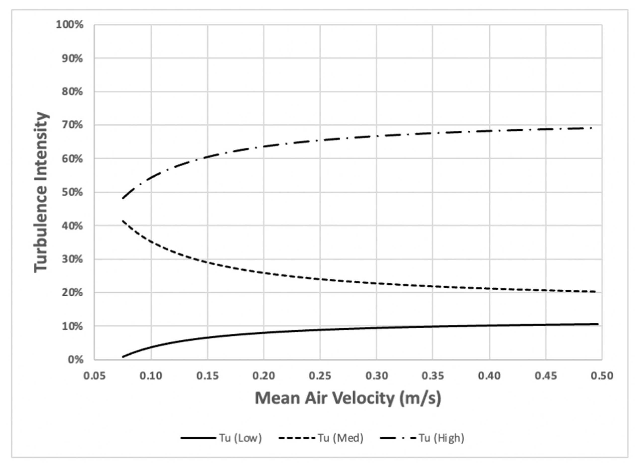
3.5. Analysis of Draught Risk
- Classrooms should be located on the building side that provide enough wind speed for adequate ventilation rates. In general, for Rabigh and the surrounding west coast provinces, classrooms should not be located on the northeastern side of the building. While other orientations can provide sufficient ventilation rates, the northwestern orientation offers the highest wind speed throughout the year.
- There is an apparent association between classroom volume and air change per hour (ACH). In contrast, the opposite relationship is found between the classroom volume and the probability of infection (POI). This interrelationship between volume, ACH, and POI makes it challenging to determine the exact classroom volume that will offer adequate ACH with the lowest POI. Based on the analysis presented in this research study, the optimum value of Volume/Student is found to be 6 m3, and the ideal WOF is 100%. Yet, acceptable POI values are achieved for WOF between 30% and 100% depending on wind speed conditions.
- To keep the POI as low as possible in classrooms, about 8% of WOF is required for a volume-to-student ratio of 0.5. The WOF should then be increased exponentially for each additional 0.5 of volume-to-student ratio as denoted in Figure 11.
- Even though high ventilation rates are required to maintain a low POI, it will most likely affect occupants’ comfort by increasing draught risks due to turbulence effects. Therefore, a precise ventilation rate is required to achieve the right balance between POI and DR. This balance can be accomplished through an optimum design configuration of windows and classrooms in addition to control systems to operate the windows in order to minimize turbulence effects and reduce the possibility of draught discomfort.
4. Conclusions
Author Contributions
Funding
Data Availability Statement
Acknowledgments
Conflicts of Interest
Nomenclature
| Symbols | |
| P | Probability of Infection |
| I | Number of infection source |
| q | Quantum generation rate |
| p | Respiratory ventilation rate |
| t | Exposure time |
| V | Volume of the enclosed space |
| n | Air change rate of the ventilation system |
| St | Number of students in classroom |
| Ta | Average indoor air temperature |
| Tu | Turbulence intensity |
| Mean indoor air velocity | |
| RMS | Root mean square of the velocity fluctuation |
| DR | Draught Risk |
| Abbreviations | |
| WOF | Window Opening Fraction |
| POI | Probability of Infection |
| ACH | Air Change per Hour |
| TMY | Typical Meteorological Year |
| IAQ | Indoor Air Quality |
| CFD | Computational Fluid Dynamics |
| ASHRAE | American Society of Heating, Refrigerating and Air Conditioning Engineers |
References
- Kwan, S.E.; Shaughnessy, R.; Haverinen-Shaughnessy, U.; Kwan, T.A.; Peccia, J. The impact of ventilation rate on the fungal and bacterial ecology of home indoor air. Build. Environ. 2020, 177, 106800. [Google Scholar] [CrossRef]
- Mendell, M.J.; Smith, A.H. Consistent pattern of elevated symptoms in air-conditioned office buildings: A reanalysis of epidemiologic studies. Am. J. Public Health 1990, 80, 1193–1199. [Google Scholar] [CrossRef] [PubMed]
- Seppänen, O.; Fisk, W.J. Association of ventilation system type with SBS symptoms in office workers. Indoor Air 2002, 12, 98–112. [Google Scholar] [CrossRef] [PubMed]
- Seppanen, O.A.; Fisk, W.J.; Seppänen, O.A. Publication Date Summary of Human Responses to Ventilation; Lawrence Berkeley National Laboratory: Berkeley, CA, USA, 2004; p. 30. [Google Scholar]
- Chenari, B.; Carrilho, J.D.; da Silva, M.G. Towards sustainable, energy-efficient and healthy ventilation strategies in buildings: A review. Renew. Sustain. Energy Rev. 2016, 59, 1426–1447. [Google Scholar] [CrossRef]
- Ji, Y.; Lomas, K.J.; Cook, M.J. Hybrid ventilation for low energy building design in south China. Build. Environ. 2009, 44, 2245–2255. [Google Scholar] [CrossRef]
- El Asmar, M.; Chokor, A.; Srour, I. Are Building Occupants Satisfied with Indoor Environmental Quality of Higher Education Facilities? Energy Procedia 2014, 50, 751–760. [Google Scholar] [CrossRef]
- Fanger, P.O. What is IAQ? Indoor Air 2006, 16, 328–334. [Google Scholar] [CrossRef]
- Zhao, Y.; Sun, H.; Tu, D. Effect of mechanical ventilation and natural ventilation on indoor climates in Urumqi residential buildings. Build. Environ. 2018, 144, 108–118. [Google Scholar] [CrossRef]
- Meadow, J.F.; Altrichter, A.; Kembel, S.; Kline, J.; Mhuireach, G.; Moriyama, M.; Northcutt, D.; O’Connor, T.K.; Womack, A.M.; Brown, G.Z.; et al. Indoor airborne bacterial communities are influenced by ventilation, occupancy, and outdoor air source. Indoor Air 2014, 24, 41–48. [Google Scholar] [CrossRef]
- Zhao, B.; Liu, Y.; Chen, C. Air purifiers: A supplementary measure to remove airborne SARS-CoV-2. Build. Environ. 2020, 177, 106918. [Google Scholar] [CrossRef]
- Almeida, R.M.S.F.; Pinto, M.; Pinho, P.G.; de Lemos, L.T. Natural ventilation and indoor air quality in educational buildings: Experimental assessment and improvement strategies. Energy Effic. 2017, 10, 839–854. [Google Scholar] [CrossRef]
- Ma’Bdeh, S.N.; Al-Zghoul, A.; Alradaideh, T.; Bataineh, A.; Ahmad, S. Simulation study for natural ventilation retrofitting techniques in educational classrooms–A case study. Heliyon 2020, 6, e05171. [Google Scholar] [CrossRef] [PubMed]
- Zhang, X.; Weerasuriya, A.U.; Tse, K.T. CFD simulation of natural ventilation of a generic building in various incident wind directions: Comparison of turbulence modelling, evaluation methods, and ventilation mechanisms. Energy Build. 2020, 229, 110516. [Google Scholar] [CrossRef]
- Qian, H.; Zheng, X. Ventilation control for airborne transmission of human exhaled bio-aerosols in buildings. J. Thorac. Dis. 2018, 10, S2295–S2304. [Google Scholar] [CrossRef]
- Jayaweera, M.; Perera, H.; Gunawardana, B.; Manatunge, J. Transmission of COVID-19 virus by droplets and aerosols: A critical review on the unresolved dichotomy. Environ. Res. 2020, 188, 109819. [Google Scholar] [CrossRef]
- Morawska, L.; Tang, J.W.; Bahnfleth, W.; Bluyssen, P.M.; Boerstra, A.; Buonanno, G.; Cao, J.; Dancer, S.; Floto, A.; Franchimon, F.; et al. How can airborne transmission of COVID-19 indoors be minimised? Environ. Int. 2020, 142, 105832. [Google Scholar] [CrossRef]
- Xu, C.; Wei, X.; Liu, L.; Su, L.; Liu, W.; Wang, Y.; Nielsen, P.V. Effects of personalized ventilation interventions on airborne infection risk and transmission between occupants. Build. Environ. 2020, 180, 107008. [Google Scholar] [CrossRef]
- Yao, M.; Zhang, L.; Ma, J.; Zhou, L. On airborne transmission and control of SARS-Cov-2. Sci. Total Environ. 2020, 731, 139178. [Google Scholar] [CrossRef]
- Hobday, R.; Dancer, S. Roles of sunlight and natural ventilation for controlling infection: Historical and current perspectives. J. Hosp. Infect. 2013, 84, 271–282. [Google Scholar] [CrossRef]
- Wang, S.; Pan, Y.; Wang, Q.; Miao, H.; Brown, A.N.; Rong, L. Modeling the viral dynamics of SARS-CoV-2 infection. Math. Biosci. 2020, 328, 108438. [Google Scholar] [CrossRef]
- Chow, T.; Yang, X. Ventilation performance in operating theatres against airborne infection: Review of research activities and practical guidance. J. Hosp. Infect. 2004, 56, 85–92. [Google Scholar] [CrossRef] [PubMed]
- Wang, J.; Huo, Q.; Zhang, T.; Wang, S.; Battaglia, F. Numerical investigation of gaseous pollutant cross-transmission for single-sided natural ventilation driven by buoyancy and wind. Build. Environ. 2020, 172, 106705. [Google Scholar] [CrossRef] [PubMed]
- Lipinski, T.; Ahmad, D.; Serey, N.; Jouhara, H. Review of ventilation strategies to reduce the risk of disease transmission in high occupancy buildings. Int. J. Thermofluids 2020, 7–8, 100045. [Google Scholar] [CrossRef]
- Vuorinen, V.; Aarnio, M.; Alava, M.; Alopaeus, V.; Atanasova, N.; Auvinen, M.; Balasubramanian, N.; Bordbar, H.; Erästö, P.; Grande, R.; et al. Modelling aerosol transport and virus exposure with numerical simulations in relation to SARS-CoV-2 transmission by inhalation indoors. Saf. Sci. 2020, 130, 104866. [Google Scholar] [CrossRef]
- Peng, S.; Chen, Q.; Liu, E. The role of computational fluid dynamics tools on investigation of pathogen transmission: Prevention and control. Sci. Total Environ. 2020, 746, 142090. [Google Scholar] [CrossRef]
- Kang, Z.; Zhang, Y.; Fan, H.; Feng, G. Numerical Simulation of Coughed Droplets in the Air-Conditioning Room. In Proceedings of the Procedia Engineering-9th International Symposium on Heating, Ventilation and Air Conditioning (ISHVAC) and the 3rd International Conference on Building Energy and Environment (COBEE), Tianjin, China, 12–15 July 2015; Volume 121, pp. 114–121. [Google Scholar]
- Perazzo, B.; Barbosa, P.; de Carvalho, N.; Brum, L. Validation and assessment of the CFD-0 module of CONTAM software for airborne contaminant transport simulation in laboratory and hospital applications. Build. Environ. 2018, 142, 139–152. [Google Scholar]
- Martins, N.R.; Carrilho, G. Simulation of the effect of fine particle pollution on the potential for natural ventilation of non-domestic buildings in European cities. Build. Environ. 2017, 115, 236–250. [Google Scholar] [CrossRef]
- Alaidroos, A.; Almaimani, A.; Baik, A.; Al-Amodi, M.; Rahaman, K.R. Are historical buildings more adaptive to minimize the risks of airborne transmission of viruses and public health? A study of the hazzazi house in Jeddah (Saudi Arabia). Int. J. Environ. Res. Public Health 2021, 18, 3601. [Google Scholar] [CrossRef]
- Aganovic, A.; Bi, Y.; Cao, G.; Drangsholt, F.; Kurnitski, J.; Wargocki, P. Estimating the impact of indoor relative humidity on SARS-CoV-2 airborne transmission risk using a new modification of the Wells-Riley model. Build. Environ. 2021, 205, 108278. [Google Scholar] [CrossRef]
- Dai, H.; Zhao, B. Association of infected probability of COVID-19 with ventilation rates in confined spaces: A Wells-Riley equation based investigation. Build. Simul. 2020, 13, 1321–1327. [Google Scholar] [CrossRef]
- Kurnitski, J.; Kiil, M.; Wargocki, P.; Boerstra, A.; Seppänen, O.; Olesen, B.; Morawska, L. Respiratory infection risk-based ventilation design method. Build. Environ. 2021, 206, 108387. [Google Scholar] [CrossRef] [PubMed]
- Sha, H.; Zhang, X.; Qi, D. Optimal control of high-rise building mechanical ventilation system for achieving low risk of COVID-19 transmission and ventilative cooling. Sustain. Cities Soc. 2021, 74, 103256. [Google Scholar] [CrossRef] [PubMed]
- Stabile, L.; Pacitto, A.; Mikszewski, A.; Morawska, L.; Buonanno, G. Ventilation procedures to minimize the airborne transmission of viruses in classrooms. Build. Environ. 2021, 202, 108042. [Google Scholar] [CrossRef]
- Yan, S.; Wang, L.; Birnkrant, M.J.; Zhai, J.; Miller, S.L. Evaluating SARS-CoV-2 airborne quanta transmission and exposure risk in a mechanically ventilated multizone office building. Build. Environ. 2022, 219, 109184. [Google Scholar] [CrossRef] [PubMed]
- Melikov, A. Quantifying Draught Risk; Technical Review no. 2; Bruel & Kjaer: Nzrum, Denmark, 1988; Available online: https://www.google.com/url?sa=t&rct=j&q=&esrc=s&source=web&cd=&cad=rja&uact=8&ved=2ahUKEwiJtvnf0qX7AhVAQvEDHcdlCD8QFnoECAsQAQ&url=https%3A%2F%2Fwww.bksv.com%2Fdoc%2Fbv0034.pdf&usg=AOvVaw2Tj6L9n8mDf6LV_eULlv9O (accessed on 10 April 2022).
- ASHRAE. ASHRAE Handbook of Fundamentals; The American Society of Heating, Refrigeration and Air-Coniditioning Engineers: Peachtree Corners, GA, USA, 2005. [Google Scholar]
- Hanzawa, H.; Melikow, A.; Fanger, P. Airflow Characteristics in the occupied zone of ventilated spaces. ASHRAE Trans. 1987, 93, 524–538. [Google Scholar]
- Fanger, P.; Melikov, A.K.; Hanzawa, H.; Ring, J. Air turbulence and sensation of draught. Energy Build. 1988, 12, 21–39. [Google Scholar] [CrossRef]
- Mayer, E. Influence of air turbulence on the convective surface heat transfer coefficient. In Proceedings of the Third International Conference on Indoor Air Quality and Climate, Stockholm, Sweden, 20–24 August 1984; pp. 377–382. [Google Scholar]
- Berglund, L.; Fobelets, A. Subjective human response to low-level air current and asymmetric ratiation. ASHRAE Trans. 1987, 93, 497–523. [Google Scholar]
- McIntyre, D. The effect of air movement on thermal comfort and sensation. In Indoor Climate; Fanger, P.O., Valbjorn, O., Eds.; Danish Building Research Institute: Copenhagen, Denmark, 1979; pp. 541–560. [Google Scholar]
- Fanger, P.O.; Pedersen, C.J.K. Discomfort due to air velocities in spaces. In Proceedings of the Meeting of Commission B1, B2, E1 of International Institute Refrigeration, Paris, France, 16–18 November 1977; Volume 4, pp. 289–296. [Google Scholar]
- Fanger, P.O.; Christensen, N.K. Perception of draught in ventilated spaces. Ergonomics 1986, 29, 215–235. [Google Scholar] [CrossRef]
- ANSI/ASHRAE Standard 55-2013; Thermal Environmental Conditions for Human Occupancy. Tullie Circle NE: Atlanta, GA, USA, 2013.
- ISO 7730; Ergonomics of the Thermal Environment. Analytical Determination and Interpretation of Thermal Comfort Using Calculation of the PMV and PPD Indices and Local Thermal Comfort Criteria. International Organization for Standardization: Geneva, Switzerland, 2005.
- Mumovic, D.; Palmer, J.; Davies, M.; Orme, M.; Ridley, I.; Oreszczyn, T.; Judd, C.; Critchlow, R.; Medina, H.; Pilmoor, G.; et al. Winter indoor air quality, thermal comfort and acoustic performance of newly built secondary schools in England. Build. Environ. 2009, 44, 1466–1477. [Google Scholar] [CrossRef]
- Charles, K.E. Fanger’s Thermal Comfort and Draught Models; IRC Research Report RR-162; National Research Council of Canada: Ottawa, Canada, 2003.
- Deng, X.; Tan, Z. Numerical analysis of local thermal comfort in a plan office under natural ventilation. Indoor Built Environ. 2019, 29, 972–986. [Google Scholar] [CrossRef]
- Markov, D.; Ivanov, N.; Pichurov, G.; Zasimova, M.; Stankov, P.; Smirnov, E.; Simova, I.; Ris, V.; Angelova, R.A.; Velichkova, R. On the Procedure of Draught Rate Assessment in Indoor Spaces. Appl. Sci. 2020, 10, 5036. [Google Scholar] [CrossRef]
- Conceição, E.Z.E.; Santiago, C.I.M.; Lúcio, M.M.J.R.; Awbi, H.B. Predicting the Air Quality, Thermal Comfort and Draught Risk for a Virtual Classroom with Desk-Type Personalized Ventilation Systems. Buildings 2018, 8, 35. [Google Scholar] [CrossRef]
- US Department of Energy. EnergyPlus_Development_Team. EnergyPlus Programming Standard; US Department of Energy: Washington, DC, USA, 2013.
- Gu, L. Airflow Network Modeling in EnergyPlus. In Proceedings of the 10th International Building Performance Simulation Association Conference and Exhibition, Beijing, China, 9–10 January 2007. [Google Scholar]
- ASHRAE. ANSI/ASHRAE Standard 62.2; Ventilation and Acceptable Indoor Air Quality in Residential Buildings. American Society of Heating, Refrigerating, and Air conditioning Engineers: Peachtree Corners, GA, USA, 2016.
- WHO. Natural Ventilation for Infection Control in Health-Care Settings; WHO Guidelines: Geneva, Switzerland, 2009. [Google Scholar]
- Neufert, E.; Neufert, P.; Baiche, B.; Walliman, N. Neufert Architects Data; Wiley-Blackwell: Hoboken, NJ, USA, 2000. [Google Scholar]
- Riley, R.R.E.; Murphy, G. Airborne spread of measles in a suburban elementary school. Am. J. Epidemiol. 1978, 107, 421–432. [Google Scholar] [CrossRef] [PubMed]
- Li, Y.; Qian, H.; Hang, J.; Chen, X.; Cheng, P.; Ling, H.; Wang, S.; Liang, P.; Li, J.; Xiao, S.; et al. Probable airborne transmission of SARS-CoV-2 in a poorly ventilated restaurant. Build. Environ. 2021, 196, 107788. [Google Scholar] [CrossRef] [PubMed]
- Hijnen, D.; Marzano, A.V.; Eyerich, K.; GeurtsvanKessel, C.; Giménez-Arnau, A.M.; Joly, P.; Vestergaard, C.; Sticherling, M.; Schmidt, E. SARS-CoV-2 transmission from presymptomatic meeting attendee, Germany. Emerg. Infect. Dis. 2020, 26, 1935–1937. [Google Scholar] [CrossRef]
- Miller, S.L.; Nazaroff, W.W.; Jimenez, J.L.; Boerstra, A.; Buonanno, G.; Dancer, S.J.; Kurnitski, J.; Marr, L.C.; Morawska, L.; Noakes, C. Transmission of SARS-CoV-2 by inhalation of respiratory aerosol in the Skagit Valley Chorale superspreading event. Indoor Air 2021, 31, 314–323. [Google Scholar] [CrossRef]
- The R Foundation. R for Statistical Computing. 2022. Available online: https://www.r-project.org (accessed on 20 January 2022).
- Nurjannah, A.; Trihamdani, A.R. Energy Saving Effort for Residential Buildings in the Hot and Humid Climate: A Review on Ventilation Performance Requirements. IOP Conf. Series: Earth Environ. Sci. 2022, 1058, 012005. [Google Scholar] [CrossRef]
- Sachta, H.; Lukiantchuki, M. Windows Size and the Performance of Natural Ventilation. Procedia Eng. 2017, 196, 972–979. [Google Scholar] [CrossRef]
- McCabe, C.; Roaf, S. The wind towers of Bastakiya: Assessing the role of the towers in the whole house ventilation system using dynamic thermal modelling. Archit. Sci. Rev. 2013, 56, 183–194. [Google Scholar] [CrossRef]
- Huang, Z.; Wu, Z.; Yu, M.; Dong, Y. The Measurement of Natural Ventilation in Huizhou Traditional Dwelling in Summer. Procedia Eng. 2017, 205, 1439–1445. [Google Scholar] [CrossRef]
- Moosavi, L.; Mahyuddin, N.; Ab Ghafar, N.; Ismail, M.A. Thermal performance of atria: An overview of natural ventilation effective designs. Renew. Sustain. Energy Rev. 2014, 34, 654–670. [Google Scholar] [CrossRef]














| Case | Case Date | Place Type | Total Occupants | # Primary Infected Cases | # Secondary Infected Cases | V (m3) | n (ACH) | t (h) | p (m3/h) | q (quanta/h) |
|---|---|---|---|---|---|---|---|---|---|---|
| 1 | 24 January 2020 | Restaurant | 21 | 1 | 9 | 127 | 0.6 | 1.25 | 1.1 | 42.1 |
| 2 | 20 February 2020 | Meeting room | 14 | 1 | ≥11 | 189 | 0.2 | 9.5 | 1.1 | 42.1 |
| 3 | 10 March 2020 | Choir rehearsal hall | 61 | 1 | 33–53 | 810 | 0.35–1.05 | 2.5 | 1.1 | 195.5 |
| Case | Actual | Prediction | ||
|---|---|---|---|---|
| POI | Infected People | POI | Infected People | |
| 1 | 0.45 | 9 | 0.53 | 10.6 |
| 2 | 1 | 13 | 1 | 13 |
| 3 | 0.53–0.87 | 32–52 | 0.47–0.85 | 28–51 |
| Symbol | Value |
|---|---|
| I | 1 |
| q | 48 quanta/h |
| p | 0.3 m3/h |
| t | 5 h |
| V | 210 m3 |
| β0 | 1291.1 |
| β1 | 256.1 |
| β2 | 146 |
| β3 | 1290.7 |
| #Ref. | Type of Study | Obtained Ventilation Rate (ACH) |
|---|---|---|
| [63] | Simulation | 150–200 ACH |
| [64] | Simulation | 50–350 ACH |
| [65] | Simulation | 117 ACH (with wind catcher assistance) |
| [66] | Experiment | Up to 100 ACH |
| [67] | Experiment | 73.7 L/s/m2 = 88 ACH |
| #Infectors/#Students Ratio | 3% | 9.4% | 15.4% | 18.8% | 21.9% | 25% | 34.4% | 46.9% |
|---|---|---|---|---|---|---|---|---|
| Probability of infection | 0.01 | 0.01 | 0.01 | 0.01 | 0.01 | 0.01 | 0.01 | 0.01 |
| Ventilation Rate (ACH) | 27 | 79 | 128 | 154 | 180 | 203 | 277 | 375 |
| Maximum Draught Rating | 2.4% | 21.6% | 44.6% | 59% | 75% | 90% | 100% | 100% |
| DR difference between high and low turbulence intensity | 25% | 50% | 60% | 63% | 65% | 67% | 57% | 38% |
Publisher’s Note: MDPI stays neutral with regard to jurisdictional claims in published maps and institutional affiliations. |
© 2022 by the authors. Licensee MDPI, Basel, Switzerland. This article is an open access article distributed under the terms and conditions of the Creative Commons Attribution (CC BY) license (https://creativecommons.org/licenses/by/4.0/).
Share and Cite
Fageha, M.K.; Alaidroos, A. Performance Optimization of Natural Ventilation in Classrooms to Minimize the Probability of Viral Infection and Reduce Draught Risk. Sustainability 2022, 14, 14966. https://doi.org/10.3390/su142214966
Fageha MK, Alaidroos A. Performance Optimization of Natural Ventilation in Classrooms to Minimize the Probability of Viral Infection and Reduce Draught Risk. Sustainability. 2022; 14(22):14966. https://doi.org/10.3390/su142214966
Chicago/Turabian StyleFageha, Mohammed K., and Alaa Alaidroos. 2022. "Performance Optimization of Natural Ventilation in Classrooms to Minimize the Probability of Viral Infection and Reduce Draught Risk" Sustainability 14, no. 22: 14966. https://doi.org/10.3390/su142214966
APA StyleFageha, M. K., & Alaidroos, A. (2022). Performance Optimization of Natural Ventilation in Classrooms to Minimize the Probability of Viral Infection and Reduce Draught Risk. Sustainability, 14(22), 14966. https://doi.org/10.3390/su142214966

