Next Article in Journal
Environmental Performance of Alternative Hospital Waste Management Strategies Using Life Cycle Assessment (LCA) Approach
Previous Article in Journal
Effect of the Rate of Nitrogen Application on Dry Matter Accumulation and Yield Formation of Densely Planted Maize
 
 
Font Type:
Arial Georgia Verdana
Font Size:
Aa Aa Aa
Line Spacing:
Column Width:
Background:
Article

Supply Chain Quality Decisions with Reference Effect under Supplier Competition Environment

1
Business School, Minnan Normal University, Zhangzhou 363000, China
2
School of Economics and Management, Yuzhang Normal University, Nanchang 330099, China
*
Authors to whom correspondence should be addressed.
Sustainability 2022, 14(22), 14939; https://doi.org/10.3390/su142214939
Submission received: 24 September 2022 / Revised: 16 October 2022 / Accepted: 4 November 2022 / Published: 11 November 2022

Abstract

Nowadays, in such a competitive business environment, under the pursuit of high quality and high standards, every enterprise has clearly realized that the quality of products is directly related to the interests of the enterprise, the development of the enterprise, and the survival of the enterprise. The idea that quality is life has long been deeply rooted in every enterprise. Based on the aforementioned reality, this paper first constructs a demand function affected by product quality, service quality, reference effect and quality competition, and studies the optimal product quality and service quality under centralized decision-making and decentralized decision-making. By comparing the decision values and profit difference between centralized decision making and decentralized decision making, a bilateral cost sharing contract is proposed, and its application scope is discussed. The major findings entail that the centralized decision-making mode of supply chain will be more conducive to improving service quality. However, it is not necessarily conducive to improving product quality, which depends on the marginal profits of competitors, since supply chain decision-makers are more willing to invest resources in products with high marginal profits, thereby improving product quality. The increase of reference effect is conducive to improving the quality of products and services, but it may also lead to higher production costs in the case of centralized decision-making. Therefore, when the reference effect is high, supply chain enterprises should adopt decentralized decision-making mode. Excessive competition is not conducive to improving the profits and increases internal friction among enterprises. Therefore, when the competition is fierce, enterprise alliance is a better choice. Finally, the bilateral cost sharing contract can coordinate the supply chain, that is to say, the system profit is equal to the profit of centralized decision-making. However, only when the supplier’s share rate meets certain conditions can the bilateral cost sharing contract achieve Pareto optimization, that is to say, when it is greater than the profit of the enterprise under decentralized decision-making.

1. Introduction

Quality is an important issue in supply chain management. Many reports show that improving the quality of products or services and ensuring product quality safety can improve consumers’ willingness to pay, expand consumers’ market demand, and thus improve the business performance of supply chain enterprises. This shows that supply chain enterprises have great enthusiasm to improve product quality [1].
However, it can be found that quality safety incidents are still common in recent years. For example, in 2010, Toyota spent nearly 1.9 billion dollars to recall more than 8 million vehicles due to defective accelerator pedals of its suppliers. In 2020, General Motors announced that it would recall about 7 million vehicles worldwide and bear the total recall cost of nearly 1.2 billion dollars due to the quality problem of the airbags produced by Takata, the supplier. From these quality safety incidents, we can see that the product quality defects of upstream enterprises in the supply chain are the main reasons for the occurrence of quality safety incidents. In recent years, Mitsubishi has been plagued by scandals of fraud in product quality. Mitsubishi Electric was exposed, and there was a problem of falsification of inspection data for transformers, and these falsified transformers even received a number of industry standard certificates. In 2021, the products of Mitsubishi Power Distribution System Center, Nagoya Factory, Fukuyama Factory and Kamakura Factory all found data fraud. In fact, not only Mitsubishi, but also the Japanese manufacturing industry as a whole has suffered from a bad reputation across the world, and many corporate data fraud scandals have been exposed, which have become almost common in the past two years. In 2017, Kobe Steel was exposed by the Japanese media, and the inspection data of many of its products were modified to achieve the goal of shoddy products. These shoddy products were used in many important fields such as automobiles, trains, aircraft and military industry. After the investigation of relevant departments, it was found that Kobe Steel had embarked on the road of data fraud as early as the 1970s [2]. The continuous decline in product quality has led to the collapse of the “gold lettered signboard” of Japanese enterprises. As can be seen from the above cases, product quality problems not only have a serious negative impact on enterprises, but also affect the reputation of the whole country.
Quality is the cornerstone of sustainable development of enterprises, because good quality products will be recognized by consumers. In addition to product quality affecting consumer purchase decisions, consumer reference effects will also affect purchase decisions. In real life, before consumers decide to buy a product, they usually learn about the quality information of the product (such as through the buyer’s comments or product advertisements). This information will form consumers’ psychological expectations and they will compare with the real quality before deciding whether to buy. Previous studies have shown that the comparison between the real product quality and consumers’ psychological expectation quality has an impact on demand, which is the quality reference effect [3]. Among them, the psychological expectation quality is also called the reference quality.
The reference effect has been studied a lot in the existing literature, and has obtained very meaningful conclusions. However, the reference effect of product quality is rarely studied in the competitive environment of suppliers. That is to say, when shopping, consumers are not only affected by the supplier’s product quality reference effect, but also by the product quality of similar competitive suppliers. In this competitive environment, it is worth exploring how suppliers and retailer make decisions, what factors will affect their decisions, and which cooperation mode is more conducive to the supply chain.
According to the above, we divide quality into product quality and service quality, consider consumer quality reference effect and supplier competition, construct function of demand affected by product quality, reference product quality, product quality of competitive suppliers, service quality and reference service quality, study the impact of supplier competition and quality reference effect on product quality and service quality, compare the difference between decision value and profit under decentralized decision-making and centralized decision-making, and, finally propose a bilateral cost sharing contract and analyze the scope of application of the contract.
The research innovation of this paper is as follows. First, the suppliers’ quality competition and consumer quality reference behavior are included in the supply chain differential game model. Secondly, it analyzes how supplier competition and consumer reference behavior affect supply chain decision-making. The third step is to compare the profit change rules of supply chain under different decision-making modes and propose the conditions for the application of bilateral cost sharing contract.

2. Literature Review

In this part, we mainly review the literature from supplier competition, reference effect, service quality and product quality, and differential game application.
(1)
Research on supplier competition
Yi et al. (2020) [4] were mainly interested in transportation disruptions that affect shipments along a supply chain and studied the decision problem of suppliers regarding the acquisition and sharing of transportation disruption information in a competitive setting. In particular, they investigated a two-echelon supply chain consisting of one buyer and two competing suppliers where the buyer places an order for a single product with the two suppliers. Li (2019) [5] considered a buyer sourcing from multiple competing suppliers who exert cost-reduction efforts before procurement contracts are awarded. The mixed strategy of supplier effort generated endogenous information asymmetry on supplier costs that provide suppliers with information rent, which sustains their efforts. Edward et al. (2017) [6] considered a discrete version of this problem in which competing suppliers choose a reservation price and an execution price for blocks of capacity, and the buyer, facing known distributions of demand and spot price, needs to decide which blocks to reserve. Chakraborty et al. (2015) [7] built a Stackelberg game model based on wholesale price is established to determine the optimal pricing and product order quantity under supplier competition. Chutani et al. (2018) [8] found that the Nash game among manufacturers determines their subsidy rate to retailers, and another Nash game among retailers determines the best advertising effort for the product or product they sell in response to the manufacturer’s decision. In addition, in some special cases, they studied the effects of various model parameters on all four subsidy rates and extend the model to include national-level advertising by manufacturers.
(2)
Research on reference effect
Reference effect originates from prospect theory, and after continuous development, it has formed two major research themes, those being reference price effect and reference quality effect. Some scholars studied goodwill and advertising investment under the reference price effect in order to coordinate the whole supply chain. Zhang, et al. (2013) [9] set a dynamic cooperative advertising model. The analysis showed that the reference price effect will affect the decision of all channel members. Zu and Chen (2017) [10] proved that the combination of reference price effect and goodwill effect can solve the problem of supply chain advertising investment under both short-term and long-term conditions. Chen et al. (2016) [11] studied the relationship between random inventory and reference price. It was proved that the reference price-related basic inventory strategy is optimal in the case of limited time, and the optimal price and base inventory level of enterprises were analyzed. By comparing the open-loop optimal solution and the feedback optimal solution, a game model was constructed to deeply study the product innovation mechanism of vertical cooperation in supply chain under the reference effect [12]. In addition to e-commerce platform pricing, disaster relief system policy and enterprise investment decisions [13], the supply chain decision of product traceability preference [14] is also a new perspective of reference price effect combined research.
The research on reference quality can be traced back to 1993. With the deepening of the research, more and more scholars gradually pay attention to the quality decision under the effect of reference quality. Chenavaz (2016) [15] studied the dynamic quality management strategy of a company and obtained the optimal control point of its reference quality formation. Xue et al. (2017) [16] discussed the characteristics of quality investment strategy under the effect of reference quality, established an optimal control model, and took the reference quality of consumers as the objective to solve the optimal solution of profit maximization problem. He et al. (2018) [3] considered the reference effect of consumers and used differential game theory to study advertising, quality and price decisions.
(3)
Research on service quality and product quality
Supply chain quality is mainly reflected by product quality and service quality. Liu and Xie (2013) [17] presented the optimal quality decisions of LSI and FLSP in three typical game modes: Nash game, Stackelberg game and centralized decision. Zhang, et al. (2011) [18] aimed at the problem of quality traceability in supply chain, and so they proposed a method of traceability information system, and described the structure and model of supply chain quality traceability. Tse and Tan (2012) [19] put forward a supply chain product quality risk management framework combining incremental calculus and marginal analysis to solve the problem of product quality risk in a multi-layer supply chain. Agus (2015) [20] found inter mediation of production performance in the relationship between supply chain management and product performance. Their research showed that new technology and innovation are important factors to improve production performance and product quality. Bray et al. (2019) [21] discussed the impact of supply chain distance on product quality. Qin et al. (2019) [22] focused on the rationality and fairness of channel members, and the coordination contract between the tripartite logistics company and an online store was designed to improve the service quality of the supply chain. Qiao et al. (2022) [23] studied joint decision-making of timely delivery, product quality and marketing in supply chain based on differential Game. Zhan et al. (2022) [24] constructed a delayed differential equation for the effect of quality on goodwill based on the Nerlove-Arrow model for a two-channel supply chain, and studied the dynamic quality decision problem of manufacturers and retailers. Shokri et al. (2023) [25] presented a three-objective mathematical model to formulate the supply chain of services. The purpose of their model was to establish a balance between sustainability aspects. Huang et al. (2022) [26] studied firms’ product quality information disclosure incentives in a supply chain wherein an upstream manufacturer sells a national brand via a downstream retailer who also sells its own store brand. Two disclosure formats, manufacturer disclosure (M-C) and retailer disclosure (R-C), were considered depending on which party bears responsibility for quality disclosure. They demonstrated that a retailer’s store brand induces the manufacturer (retailer) to reveal quality information more conservatively (aggressively).
(4)
Research on the application of differential games
The research on the application of differential games mainly focuses on quality. Xideng et al. (2020) [27] formulated dynamic models that include the product quality reference effect and the service quality reference effect in a dual-channel supply chain system consisting of a manufacturer and a retailer under the different decision-making scenarios. Li et al. (2021) [28] focused on the stochastic disturbance on quality control strategies with a two-echelon supply chain. A state equation was described to the change of product quality, and the stochastic differential game models with quality disturbance ware designed according to different cooperation modes between the manufacturer and the retailer. Based on market supply and demand, Chen et al. (2021) [29] designed a differential game model between food supplier and food retailer by considering different decision-making situations, analyzing the optimal revenue of the food supplier and food retailer on food quality efforts. Based on the differential game, Qiao et al. (2022) [23] established a negative dynamic correlation between the delivery level and the quality level, and studied the joint decision-making of timely delivery, product quality and marketing under different decision-making modes. Jiang et al. (2022) [30] considered retailers competition and constructed a demand function including horizontal and vertical reference effect of service quality, and reference effect of product quality. Zhan et al. (2022) [24] developed a dynamic model that considered the delayed effect of quality on goodwill. Firstly, they constructed a delayed differential equation for the effect of quality on goodwill based on the Nerlove-Arrow model for a two-channel supply chain in a competitive environment and studied the dynamic quality decision problem of manufacturers and retailers under the delay effect.
The aforementioned scholars have carried out detailed research on quality, supplier competition and reference effect. See Table 1 for the summary of the main research issues raised in the current relevant research literature. The existing research on supplier competition, reference effect and quality have the following shortcomings. First, the reference effect of quality is rarely studied in the competitive environment of suppliers. Secondly, although some scholars consider the supply chain equilibrium strategy of quality, most of these studies are based on the static framework, and few literatures consider the dynamic characteristics of the supply chain. Thirdly, consumers’ dual reference effects, namely product quality reference effect and service quality reference effect, are seldom considered. This is especially true in the case of supplier competition, where the research on double reference effect is less involved.
Based on the above analysis, in this paper, we use the differential game method, combined with the reference effect of consumption quality, to study the quality problem in the context of supply chain competition from the perspective of long-term operation. This paper first constructs a demand function affected by product quality, service quality, reference effect and quality competition, studies the optimal product quality and service quality under centralized and decentralized decision-making. By comparing the difference of decision value and profit between centralized and decentralized decision making, this paper proposes a bilateral cost sharing contract and discusses its application scope.
The remaining structure of this paper is as follows. Section 3 proposes hypotheses and describes the relevant parameters. Section 4, Section 5, Section 6 and Section 7 is the core content of this paper. C model and D model are constructed in turn, and compared. Then CD model is proposed, as well as the scope of application of this model is discussed. Section 8 is numerical simulation analysis, which verifies relevant propositions. Section 9 is the conclusion of this paper.

3. Model Development

This paper studies a two-level supply chain model consisting of two suppliers and one retailer, as shown in Figure 1. The supplier 1 and the supplier 2 supply products to the downstream retailer, and there is a competitive relationship between suppliers. The supplier 1 and supplier 2 are heterogeneous in technology, resources and other aspects; the quality of their products is also different. Table 2 shows the parameters and descriptions.
Hypothesis 1.
Use the following differential equation to describe the changes of consumers’ reference quality with time.
{ v ˙ r ( t ) = α 1 [ r ( t ) v r ( t ) ] , v r ( 0 ) = v r 0 v ˙ s i ( t ) = α s i [ q i ( t ) v s i ( t ) ] , v s i ( 0 ) = v s i 0
Hypothesis 2.
Based on the reference [3], the demand function is constructed. Supplier i’s demand is affected by product quality, reference product quality, competitive supplier’s product quality, service quality and reference service quality, then the supplier i’s demand function is:
d i ( t ) = b i + θ r r ( t ) + χ [ ( r ( t ) v r ( t ) ] + θ s i q i ( t ) + β   [ q i ( t ) v s i ( t ) ] λ   [ q j ( t ) q i ( t ) ]
Hypothesis 3.
The supplier’s quality improvement cost and the retailer’s service improvement cost are positively related to the quality level, respectively, and the condition c q i   ( q i ) > 0 , c r   ( r ) > 0 is met at the same time. The quality improvement cost function is shown in Equation (3):
  { c r = 1 2 k r r 2 ( t )   c s r i = 1 2 k s r i q i 2 ( t )  

4. Centralized Decision-Making Mode (Called C Mode)

Under centralized decision-making, the suppliers and retailer obey the unified arrangement of the system, and design the optimal product quality level q i and service quality level r to maximize the profit of the supply chain. The superscript C indicates centralized decision-making.
The objective function of the supply chain system is:
J s r C = 0 e μ t [ ( ρ r + ρ s 1 ) d 1 ( t ) + ( ρ r + ρ s 2 ) d 2 ( t ) 1 2 k r r 2 ( t ) 1 2 k s r 1 q 1 2 ( t ) 1 2 k s r 2 q 2 2 ( t ) ] d t , s . t . v ˙ r ( t ) = α 1 [ r ( t ) v r ( t ) ] , v ˙ s i ( t ) = α s i [ q i ( t ) v s i ( t ) ] .
In the case of centralized decision-making, based on the supply chain objective function, we use the maximum principle to construct the corresponding Hamilton function. The specific expression is shown in Equation (5):
H s r C = ( ρ r + ρ s 1 ) d 1 + ( ρ r + ρ s 2 ) d 2 1 2 k r r 2 1 2 k s r 1 q 1 2 1 2 k s r 2 q 2 2 + X c 1 α 1 ( r v r ) + α s 1 X c 2 ( q 1 v s 1 ) + α s 2 X c 3 ( q 2 v s 2 )
Under C Mode, based on FOC condition (First Order Condition), the optimal decisions of supply chain meet the following conditions.
d H s r c d r = ( ρ r + ρ s 1 ) ( θ r + χ ) + ( ρ r + ρ s 2 ) ( θ r + χ ) k r r + X c 1 α 1 ,
d H s r c d q 1 = ( ρ r + ρ s 1 ) ( θ s 1 + β + λ ) ( ρ r + ρ s 2 ) λ k s r 1 q 1 + X c 2 α s 1 ,
d H s r c d q 2 = ( ρ r + ρ s 2 ) ( θ s 2 + β + λ ) ( ρ r + ρ s 1 ) λ k s r 2 q 2 + X c 3 α s 2 ,
X ˙ c 1 = μ X c 1 d H s r c d v r = ( μ + α 1 ) X c 1 + ( 2 ρ r + ρ s 1 + ρ s 2 ) χ ,
X ˙ c 2 = μ X c 2 d H s r c d v s 1 = ( μ + α s 1 ) X c 2 + ( ρ r + ρ s 1 ) β ,
X ˙ c 3 = μ X c 3 d H s r c d v s 2 = ( μ + α s 2 ) X c 3 + ( ρ r + ρ s 2 ) β .
Similarly, we can obtain the optimal decisions under the C Mode.
r C = ( 2 ρ r + ρ s 1 + ρ s 2 ) ( θ r + χ ) + X c 1 α 1 k r ,
q 1 C = ( ρ r + ρ s 1 ) ( θ s 1 + β + λ ) ( ρ r + ρ s 2 ) λ + X c 2 α s 1 k s r 1 ,
q 2 C = ( ρ r + ρ s 2 ) ( θ s 2 + β + λ ) ( ρ r + ρ s 1 ) λ + X c 3 α s 2 k s r 2 .
By solving the differential Equation (9), we find,
X c 1 = c e ( μ + α 1 ) t + χ ( 2 ρ r + ρ s 1 + ρ s 2 ) μ + α 1 .
Substituting Equation (15) into (12), we acquire,
r C = ( 2 ρ r + ρ s 1 + ρ s 2 ) ( θ r + χ ) + α 1 [ c e ( μ + α 1 ) t χ ( 2 ρ r + ρ s 1 + ρ s 2 ) μ + α 1 ] k r .
Since retailer’s service quality cannot be unlimited, we acquire the following inequality.
lim t r c ( t ) < .
According to Equation (17), we acquire c = 0 in (16), and the quality of service is obtained as follows.
r C = ( 2 ρ r + ρ s 1 + ρ s 2 ) ( θ r + χ ) α 1 χ ( 2 ρ r + ρ s 1 + ρ s 2 ) μ + α 1 k r .
In addition, the suppliers’ optimal product quality are obtained under C Mode as shown in the following equation.
q 1 C = ( ρ r + ρ s 1 ) ( θ s 1 + β + λ ) ( ρ r + ρ s 2 ) λ ( ρ r + ρ s 1 ) β μ + α s 1 α s 1 k s r 1
q 2 C = ( ρ r + ρ s 2 ) ( θ s 2 + β + λ ) ( ρ r + ρ 1 ) λ ( ρ r + ρ s 2 ) β μ + α s 2 α s 2 k s r 2
Substituting Equations (18) and (19) into Equation (1), the response functions are obtained as follows.
v ˙ r C ( t ) = α 1 [ r ( t ) v r ( t ) ] ,   v r ( 0 ) = v r 0 ,
v ˙ s i C ( t ) = α s i [ q 1 ( t ) v s i ( t ) ] ,   v s i ( 0 ) = v s i 0 .
By solving Equations (21) and (22), we have,
v r C ( t ) = [ v r 0 ( 2 ρ r + ρ s 1 + ρ s 2 ) ( θ r μ + χ μ + χ α 1 ) k r ( μ + α 1 ) ] e a 1 t + ( 2 ρ r + ρ s 1 + ρ s 2 ) ( θ r μ + χ μ + χ α 1 ) k r ( μ + α 1 ) ,
v s 1 C ( t ) = { v s 10 1 k s r 1 [ ( ρ r + ρ s 1 ) [ ( θ s 1 + β + λ ) β α s 1 μ + α s 1 ] ( ρ r + ρ s 2 ) λ ] } e a s 1 t + 1 k s r 1 [ ( ρ r + ρ s 1 ) [ ( θ s 1 + β + λ ) β α s 1 μ + α s 1 ] ( ρ r + ρ s 2 ) λ ] .
Under C Mode the profit of the supply chain is,
J s r C = ( ρ r + ρ s 1 ) μ { b 1 + ( θ r + χ ) r C + ( θ s 1 + β + λ ) q 1 C λ q 2 C χ ( r C a 1 + μ v r 0 ) ( μ + a 1 ) β ( μ v s 10 + a s 1 q 1 C ) μ + a s 1 } ( ρ r + ρ s 2 ) μ { b 2 + ( θ r + χ ) r C + ( θ s 2 + β + λ ) q 2 C λ q 1 C χ ( r C a 1 + μ v r 0 ) ( μ + a 1 ) β ( μ v s 20 + a s 2 q 2 C ) μ + a s 2 } 1 / 2 k r r C 2 1 / 2 k s r 1 q 1 C 2 1 / 2 k s r 2 q 2 C 2 .
Based on the above analysis, we acquire proposition 1.
Proposition 1.
In a supply chain where consumers have reference quality behavior and suppliers have competitive relationships, the product quality and service quality under C Mode are, respectively:
r C = ( 2 ρ r + ρ s 1 + ρ s 2 ) ( θ r + χ ) α 1 χ ( 2 ρ r + ρ s 1 + ρ s 2 ) μ + α 1 k r ,
q 1 C = ( ρ r + ρ s 1 ) ( θ s 1 + β + λ ) ( ρ r + ρ s 2 ) λ ( ρ r + ρ s 1 ) β μ + α s 1 α s 1 k s r 1 ,
q 2 C = ( ρ r + ρ s 2 ) ( θ s 2 + β + λ ) ( ρ r + ρ 1 ) λ ( ρ r + ρ s 2 ) β μ + α s 2 α s 2 k s r 2 .
From Proposition 1, we find that when supplier 1’s marginal profit is greater than supplier 2’s marginal profit, that is ρ s 1 > ρ s 2 , the greater the supplier’s competition, the higher the supplier’s product quality, that is d q 1 d λ > 0 , otherwise d q 1 d λ 0 . Higher marginal profits will encourage the supply chain to invest more resources in supplier 1, thereby improving the quality of supplier 1’s products. On the contrary, the lower the marginal profit of supplier 1, such as 0, supplier 1 will not obtain any resources to improve product quality, because the supply chain system will not invest in or allocate resources to unprofitable products. We also found that d q 1 d ρ s 2 < 0 , that is, the marginal profit of competitor is not conducive to supplier 1 to improve product quality, and the reason is similar to the above.

5. Decentralized Decision-Making (Called D Model)

Under decentralized decision-making, the suppliers and the retailer make decisions independently, and maximize their profits by designing the optimal product quality level and service quality level. The superscript D indicates decentralized decision-making. The objective functions of firms are:
J r D = 0 e λ t [ ρ r ( d 1 ( t ) + d 2 ( t ) ) 1 2 k r r 2 ( t ) ] d t ,
J s i D = 0 e λ t [ ρ s i d i ( t ) 1 2 k s r i q i 2 ( t ) ] d t .
In the case of D Model, based on the retailer objective function, we use the maximum principle to construct the corresponding Hamilton function. The specific expression is shown in Equation (27):
H r D = ρ r d 1 + ρ r d 2 1 2 k r r 2 + X n 1 α 1 ( r v r ) .
Under D Mode, based on FOC conditions (First Order Condition), the optimal service decision meets the following conditions.
d H s r D d r = 2 ρ r ( θ r + χ ) k r r + X n 1 α 1 .
X ˙ n 1 = μ X n 1 d H r D d v r = ( μ + α 1 ) X n 1 + 2 ρ r χ .
Similarly, we can obtain the optimal decisions under the D Mode.
r D = 2 ρ r ( θ r + χ ) + X n 1 α 1 k r .
By solving the Equation (29), we have,
X n 1 = c e ( μ + α 1 ) t χ 2 ρ r μ + α 1 .
Substituting Equation (31) into (30), we acquire,
r D = 2 ρ r ( θ r + χ ) + α 1 [ c e ( μ + α 1 ) t 2 χ ρ r μ + α 1 ] k r .
Since retailer’s service quality cannot be unlimited, we acquire the following inequality.
lim t r D ( t ) < .
According to Equation (33), we acquire c = 0 in (32), and the quality of service is obtained as follows.
r D = 2 ρ r ( θ r + χ ) k r 2 χ ρ r α 1 k r ( μ + α 1 ) .
Similarly, we obtain the optimal product quality of supplier 1 and supplier 2 under D Mode as shown in the following equations.
q 1 D = ρ s 1 ( θ s 1 + β + λ ) k s r 1 ρ s 1 β α s 1 k s r 1 ( μ + α s 1 ) ,
q 2 D = ρ s 2 ( θ s 2 + β + λ ) k s r 2 ρ s 2 β α s 2 k s r 2 ( μ + α s 2 ) .
Based on the above analysis, we have,
v r D ( t ) = ( v r 0 r ) e a 1 t + r ,
v s i D ( t ) = ( v s i 0 q i ) e a 1 t + q i .
In the case of D Mode, the profits of the enterprises are:
J r D = ρ r 1 μ { b 1 + ( θ r + χ ) r D + ( θ s 1 + β + λ ) q 1 D λ q 2 D χ ( r D a 1 + μ v r 0 ) μ + a 1 β ( μ v s 10 + a s 1 q 1 D ) μ + a s 1 } ρ r 1 μ { b 2 + ( θ r + χ ) r D + ( θ s 2 + β + λ ) q 2 D λ q 1 D χ ( r D a 1 + μ v r 0 ) μ + a 1 β ( μ v s 20 + a s 2 q 2 D ) μ + a s 2 } 1 / 2 k r r D 2 ,
J s 1 D = ρ s 1 μ { b 1 + ( θ r + χ ) r D + ( θ s 1 + β + λ ) q 1 D λ q 2 D χ ( r D a 1 + μ v r 0 ) ( μ + a 1 ) β ( μ v s 10 + a s 1 q 1 D ) μ + a s 1 } 1 / 2 k s r 1 q 1 D 2 ,
J s 1 D = ρ s 2 μ { b 2 + ( θ r + χ ) r D + ( θ s 2 + β + λ ) q 2 D λ q 1 D χ ( r D a 1 + μ v r 0 ) ( μ + a 1 ) β ( μ v s 20 + a s 2 q 2 D ) μ + a s 2 } 1 / 2 k s r 2 q 2 D 2 .
Based on the above analysis, we acquire Proposition 2.
Proposition 2.
In a supply chain where consumers have reference quality behavior and suppliers have competitive relationships, the product quality and service quality under D Mode are, respectively:
r D = 2 ρ r ( θ r + χ ) k r 2 χ ρ r α 1 k r ( μ + α 1 ) ,
q 1 D = ρ s 1 ( θ s 1 + β + λ ) k s r 1 ρ s 1 β α s 1 k s r 1 ( μ + α s 1 ) ,
q 2 D = ρ s 2 ( θ s 2 + β + λ ) k s r 2 ρ s 2 β α s 2 k s r 2 ( μ + α s 2 ) .
From Proposition 2, we find that the greater the degree of supplier competition, the higher the product quality of supplier 1 d q 1 D d λ > 0 , that is, under D Mode, supplier competition is conducive to improving product quality. We also find that d q 1 D d ρ s 2 = 0 , that is, in the case of D Mode, the marginal profit of competitor has no relationship with supplier 1. We also find that supplier 1’s product quality increases with the increase of consumer reference effect d q 1 D d β > 0 .

6. Comparative Analysis

This section compares supply chain decisions and profits under different decision-making situations. Through comparative analysis, we acquire the following propositions.
Proposition 3.
In a supply chain where consumers have reference quality behavior and suppliers have competition relations, the product quality under C Mode is not necessarily greater than that under D Mode, and the service quality of retailer is higher than that under D Mode.
Proof. 
Let q 1 C q 1 D = 1 k s r 1 [ ρ r ( θ s 1 + β + λ ) ( ρ r + ρ s 2 ) λ ρ r β α s 1 μ + α s 1 ] .
It can be seen from the above equation that when ρ r ( θ s 1 + β 1 + λ 1 ) > ( ρ r + ρ s 2 ) λ 2 + ρ r β 1 α s 1 μ + α s 1 , q 1 C > q 1 D , otherwise q 1 C q 1 N .
Let q 2 C q 2 D = 1 k s r 2 [ ρ s 2 ( θ s 2 + β + λ ) ( ρ r + ρ s 1 ) λ ρ r β α s 2 μ + α s 2 ] .
It can be seen from the above equation that when ρ s 2 ( θ s 2 + β + λ ) > ( ρ r + ρ s 1 ) λ + ρ r β α s 2 μ + α s 2 , q 2 C > q 2 D , otherwise q 2 C q 2 D .
Let r C r D = ( ρ s 1 + ρ s 2 ) ( θ r μ + θ r α 1 + χ μ ) k r ( μ + α 1 ) .
It is obvious from the above equation that r C > r N . ☐
Proposition 4.
In the supply chain where consumers have reference quality behavior and suppliers have competition, when Δ 1 > Δ 2 + Δ 3 , the overall benefit of the supply chain under C Mode is higher than that under the supplier’s non-cooperation, otherwise J s r C J s r D .
Proof. 
J s r C J s r D = M 1 ( r C r N ) + M 2 ( q 1 C q 1 N ) + M 3 ( q 2 C q 2 N ) 1 / 2 k r ( r C 2 r N 2 ) 1 / 2 k s r 1 ( q 1 C 2 q 1 N 2 ) 1 / 2 k s r 2 ( q 2 C 2 q 2 N 2 )
where, M 1 = 1 μ ( 2 ρ r + ρ s 1 + ρ s 2 ) [ θ r + χ χ α 1 ( μ + α 1 ) ] , M 2 = ( ρ r + ρ s 1 ) μ [ θ s 1 + β λ ρ s 2 β α s 1 μ ( μ + α s 1 ) ]
M 3 = ( ρ r + ρ s 2 ) μ [ θ s 2 + β λ ρ s 1 β α s 2 ( μ + α s 2 ) ] .
After simplification, we acquire:
J s r C J s r D = ( r C r D ) [ 1 μ ( 2 ρ r + ρ s 1 + ρ s 2 ) ( θ r + χ χ α 1 μ + α 1 ) 1 2 k r ( r C + r D ) ] ( q 1 C q 1 D ) { ( ρ r + ρ s 1 ) μ [ λ ρ s 2 + β α s 1 μ ( μ + α s 1 ) θ s 1 β ] + 1 2 k s r 1 ( q 1 C + q 1 D ) } ( q 2 C q 2 D ) { ( ρ r + ρ s 2 ) μ [ λ ρ s 1 + β α s 2 ( μ + α s 2 ) θ s 2 β ] + 1 2 k s r 2 ( q 2 C + q 2 D ) }
where,
Δ 1 = ( r C r N ) [ 1 μ ( 2 ρ r + ρ s 1 + ρ s 2 ) ( θ r + χ χ α 1 μ + α 1 ) 1 2 k r ( r C + r N ) ] ,
Δ 2 = ( q 1 C q 1 N ) { ( ρ r + ρ s 1 ) μ [ λ ρ s 2 + β α s 1 μ ( μ + α s 1 ) θ s 1 β ] + 1 2 k s r 1 ( q 1 C + q 1 N ) } ,
Δ 3 = ( q 2 C q 2 N ) { ( ρ r + ρ s 2 ) μ [ λ ρ s 1 + β α s 2 ( μ + α s 2 ) θ s 2 β ] + 1 2 k s r 2 ( q 2 C + q 2 N ) } .
When Δ 1 > Δ 2 + Δ 3 , J s r C > J s r D , otherwise J s r C J s r D . ☐
From Proposition 4, we can find that under certain conditions that decentralized decision-making is an effective way of cooperation, and then supply chain members make decisions independently; under certain conditions, centralized decision-making is an effective way of cooperation. In order to figure out how to distribute the profits of the supply chain under C Mode, we next use a bilateral cost sharing contract to study this, in order to achieve supply chain coordination.

7. Bilateral Cost Sharing Contract (Called CD Mode)

In order to achieve the coordination of the supply chain and optimize the total profit of the supply chain, this paper proposes a bilateral cost sharing contract (the decision case is represented by a superscript CD). The retailer bears a certain proportion of suppliers’ product quality costs, such as ε 1 , ε 2 . At the same time, suppliers also bear a certain proportion of retailer’ service quality costs, such as ϕ 1 , ϕ 2 , as shown in Figure 2.
In the case of bilateral cost sharing, the profit function of the retailer and suppliers are:
J r C D = 0 e λ t [ ρ r ( d 1 ( t ) + d 2 ( t ) ) 1 2 ( 1 ϕ 1 ϕ 2 ) k r r 2 ( t ) 1 2 ε 1 k s r 1 q 1 2 ( t ) 1 2 ε 2 k s r 2 q 2 2 ( t ) ] d t ,
J s 1 C D = 0 e λ t [ ρ s 1 d 1 ( t ) 1 2 ϕ 1 k r r 2 ( t ) 1 2 ( 1 ε 1 ) k s r 1 q 1 2 ( t ) ] d t ] d t ,
J s 2 C D = 0 e λ t [ ρ s 2 d 2 ( t ) 1 2 ϕ 2 k r r 2 ( t ) 1 2 ( 1 ε 2 ) k s r 2 q 2 2 ( t ) ] d t ,
Similarly, we can acquire the following proposition:
Proposition 5.
In the bilateral cost sharing contract, when the proportion ε 1 , ε 2 of the retailer to bear the suppliers’ product quality cost and the proportion ϕ 1 , ϕ 2 of the suppliers to bear the corresponding service quality cost are fixed, the optimal quality of the suppliers and the retailer meet the following equation:
r C D = 2 ρ r ( θ r + χ ) ( 1 ϕ 1 ϕ 2 ) k r 2 χ ρ r α 1 ( 1 ϕ 1 ϕ 2 ) k r ( μ + α 1 ) ,
q 1 C D = ρ s 1 ( θ s 1 + β + λ ) ( 1 ε 1 ) k s r 1 ρ s 1 β α s 1 ( 1 ε 1 ) k s r 1 ( μ + α s 1 ) ,
q 2 C D = ρ s 2 ( θ s 2 + β + λ ) ( 1 ε 2 ) k s r 2 ρ s 2 β α s 2 ( 1 ε 2 ) k s r 2 ( μ + α s 2 ) ,
When the quality levels given in Equations (45)–(47) are equal to r C D , q 1 C D and q 1 C D of Equations (34)–(36), respectively, the supply chain composed of suppliers and retailer can achieve coordination.
Let r C D = r C , q 1 C D = q 1 C q 2 C D = q 2 C . Solve three equations, and proposition 6 can be obtained.
Proposition 6.
When the retailer’s service quality cost sharing ratio ε 1 , ε 2 and the supplier’s product quality cost sharing ratio ϕ 1 , ϕ 2 take the following values, the supply chain can achieve coordination.
ϕ 1 + ϕ 2 = ρ s 1 + ρ s 2 2 ρ r + ρ s 1 + ρ s 2 ,
ε 1 = ρ r M 1 ( ρ r + ρ s 2 ) λ ( ρ r + ρ s 1 ) M 1 ( ρ r + ρ s 2 ) λ ,
ε 2 = ρ r M 2 ( ρ r + ρ s 1 ) λ ( ρ r + ρ s 2 ) M 2 ( ρ r + ρ s 1 ) λ .
where M 1 = ( θ s 1 + β + λ ) β α s 1 μ + α s 1 , M 2 = ( θ s 2 + β + λ ) β α s 2 μ + α s 2 .
From the above proposition, we can see that the supply chain can be coordinated only if the supplier’s product quality cost sharing rate ϕ 1 + ϕ 2 is equal to ρ s 1 + ρ s 2 2 ρ r + ρ s 1 + ρ s 2 . Otherwise, the supply chain coordination cannot be realized.

8. Numerical Analysis

The prior content analyses and discusses the equilibrium results under centralized decision-making, decentralized decision-making and bilateral cost sharing decision-making. However, in some cases, supply chain profits are more complex, and it is difficult to find a clear relationship between parameters and supply chain profits. Therefore, the main contents of this part include the following two aspects; one is to verify the rationality of the above proposition, and the other is to further analyze the impact of changes in important parameters of the model on supply chain profits and strategy choices through numerical examples. The setting of datum parameters is shown in Table 3.
This part first analyzes the change trend of the supplier’s product quality with the manufacturer’s marginal profit under the centralized decision-making and decentralized decision-making.
From Figure 3, we can see that the product quality of supplier 1 increases with the marginal profit of supplier 1 under C mode and D mode. In the case of C mode, the product quality of supplier 1 decreases with the increase of marginal profit of supplier 2. In the case of D mode, the product quality of supplier 1 will not be affected by the marginal profit of supplier 2. When the marginal profit of supplier 2 is within a certain range [0, 1], the product quality of supplier 1 under C mode is not lower than that under D mode, when ρ s 2 > 1, the product quality of supplier 1 under D mode is greater than that under C mode. For supplier 1, the increase of ρ s 1 can effectively improve its profit, and the supplier have the motivation to improve product quality. In the case of C mode, two suppliers and the retailer can be regarded as two departments belonging to the same enterprise. From the perspective of enterprise operation as a whole, enterprise decision-makers are more willing to invest more resources in producing products with high marginal profits. Therefore, the increase of marginal profit of competitor supplier 2 will lead to the decrease of product quality of supplier 1. In the case of D mode, supplier 1 makes plans with the goal of maximizing its own profit. Therefore, supplier 2’s marginal profit will not affect supplier 1’s product quality changes.
Next, we analyze the impact of supplier competition on supply chain profits, as shown in Figure 4.
From Figure 4, we can draw a conclusion that the profit of the supply chain increases with the increase of the degree of competition under C mode. In addition, the trend of supply chain profit change is gentle. Under D mode, the profit of supply chain decreases with the increase of the competition degree. When the degree of competition is within a certain range λ 1.5 , the supply chain profit under C mode is not less than that under D mode. When λ > 1.5 , the profit of supply chain under C mode is greater than that under D mode. As the saying goes, a coin has two sides. Competition has both advantages and disadvantages. It can be seen that when the level of competition is low, enterprises have the motivation to invest more resources to improve product quality, increase sales revenue, and then increase enterprise profits. Therefore, when the degree of competition is low, D mode is beneficial to the supply chain. On the contrary, intensive competition will lead enterprises to invest more resources to improve product quality, which is not conducive to the increase of enterprise income. Therefore, when the degree of competition is high, supply chain alliance is beneficial to enterprises.
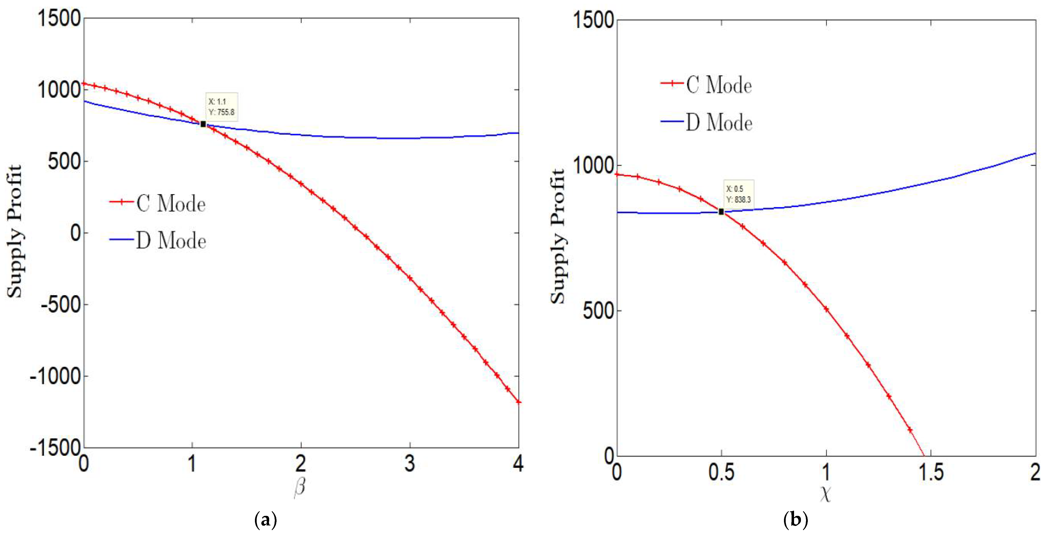
Next, we analyze the impact of product quality reference effect on supply chain profits, as shown in Figure 5.
From Figure 5a, we can see that the supply chain profit decreases with the increase of product quality reference effect under C mode and D mode. If the quality reference effect is [0, 1.1], then supply chain should adopt C mode. In addition, with the increase of quality reference effect, the difference between supply chain profits under the two decision-making situations is becoming bigger and bigger. The increase of reference effect is conducive to improving product quality. It will also lead to higher production costs, which are not conducive to the supply chain.
From Figure 5b, we can see that supply chain profit decreases with the increase of service quality reference effect under C mode. In the case of D mode, the supply chain profit decreases first and then increases with the increase of service quality reference effect. When the quality reference effect is [0, 0.5], supply chain should adopt C mode. When χ > 0.5 , supply chain should adopt D mode. Therefore, when χ is low, supply chain alliance is conducive to the further development of enterprises. When χ is high, enterprises should adopt decentralized decision-making mode.
Next, we analyze the impact of consumer product quality preference and service quality preference on supply chain profits, as shown in Figure 6.
From Figure 6a, we can find that consumer service quality preference is positively related to supply chain profits. Consumers’ preference for service quality will encourage retailers to improve their service level, thereby increasing demand and improving supply chain profits. Jiang et al. [30] also drew a similar conclusion that consumers’ preference for product quality and service quality is positively related to supply chain profits.
From Figure 6b, we can find that consumer product quality preference is positively related to supply chain profits. The consumers’ preference for product quality will urge retailer to improve product quality. Although the improvement of product quality will increase the cost of the supply chain, the benefits brought by the improvement of product quality are greater than its costs.
Next, we analyze the impact of initial reference quality on supply chain profits, as shown in Figure 7.
Figure 7 shows that the supply chain profit decreases with the increase of the initial reference product quality and the initial reference service quality under C Mode and D Mode. Therefore, higher initial reference quality of consumers is negatively correlated with supply chain profits. When consumers have high expectations for services or products, if the product quality or service quality does not meet consumers’ expectations, consumers will have a negative impact on products or services, which reduces the market demand for products or services and is not conducive to the supply chain.
Finally, we analyze the impact of supplier 2’s share ratio on enterprise profits under CD mode, and compare enterprise profits under CD mode and D mode.
According to the conclusion of the bilateral cost sharing decision, ϕ 1 = ρ s 1 + ρ s 2 2 ρ r + ρ s 1 + ρ s 2 ϕ 2 , combined with the relevant parameter values, we acquire ϕ 1 = 3 7 ϕ 2 . Therefore, the value range of ϕ 2 is ( 0 , 3 / 7 ) . When ϕ 2 = 0 or ϕ 2 = 3 7 , the bilateral cost sharing contract cannot coordinate the supply chain.
From Figure 8, we can see that the profit of supplier 1 increases with the increase of ϕ 2 . The profit of supplier 2 decreases with the increase of ϕ 2 . The profit of retailer is not affected by A. Figure 8 shows that when 0 < ϕ 2 <=0.146, supplier 1 should use Mode D. When 0.146 < ϕ 2 < 3/7, supplier 1 should use Mode CD. In CD mode, the profit of supplier 2 is greater than that in D mode. At the same time, the profit of retailer in CD mode is greater than that in D mode. Therefore, when 0.146 < ϕ 2 < 3/7, the bilateral cost sharing contract can achieve supply chain coordination, achieve the total profits in C mode, and achieve Pareto optimization of member profits. When 0 < ϕ 2 ≤ 0.146, the bilateral cost sharing contract can achieve supply chain coordination and achieve the total profit in C mode, but it cannot achieve Pareto optimization of member profits. This also shows that if the cost-of-service quality shared by competitors ϕ 2 is low, then the supplier will not agree to the bilateral cost sharing contract.

9. Conclusions

Market competition is the basic feature of market economy. Under the condition of market economy, enterprises compete for better production and marketing conditions and more market resources from their own interests. Similarly, in the market economy, consumers also have reference effect behavior. Although early scholars have conducted a lot of research on this issue and obtained some meaningful conclusions, there is still a lack of research on integrating supplier quality competition and consumer quality reference behavior into a unified framework. How supplier competition and consumer reference behavior affect supply chain decisions and profits remains to be further studied. Therefore, the research innovation of this paper is as follows. First, the suppliers’ quality competition and consumer quality reference behavior are included in the supply chain differential game model. Secondly, it analyzes how supplier competition and consumer reference behavior affect supply chain decision-making. The third step is to compare the profit change rules of supply chain under different decision-making modes, and propose the conditions for the application of bilateral cost sharing contract.
The theoretical contributions of this paper include the following aspects. First, when consumers have quality reference behavior, the impact of supplier quality competition on supply chain decision-making is discussed. Secondly, the demand model affected by product quality, service quality, reference effect and supplier competition is constructed, and a bilateral cost sharing contract is designed, and the scope of application of the contract is discussed. This enriches the theory of supply chain quality management and provides more theoretical reference for subsequent researchers. From a practical point of view, it can guide enterprise decision-makers how to make correct product quality and service quality decisions, and also provide a basis for choosing which supply chain alliance mode under different cooperation modes.
By comparing the strategies and profits of supply chain under centralized decision-making and decentralized decision-making, we draw the following conclusions: (i) service quality under centralized decision-making is greater than that under decentralized decision-making (Xideng et al. [27], Zhan et al. [24]), (ii) the product quality under centralized decision-making is not necessarily greater than that under decentralized decision-making, which is related to the marginal profit of competitors. That is, in the case of centralized decision-making, higher marginal profits of competitors are not conducive to suppliers’ improving product quality, (iii) the total profit of the supply chain under centralized decision-making is not necessarily greater than that under decentralized decision-making, which is related to supplier competition, consumer product quality reference effect, and service quality reference effect (Jiang et al. [30]), (iv) higher initial reference quality of consumers has a negative impact on supply chain profits (He et al. [3], Chenavaz [15], Xue et al. [16]); (v) the bilateral cost sharing contract can coordinate the supply chain, that is, the total profit of the supply chain under the bilateral cost sharing contract is equal to the total profit of the supply chain under centralized decision-making. However, the supply chain can be coordinated only if the supplier’s product quality cost sharing rate meets certain conditions, otherwise, the supply chain coordination cannot be realized. Although this paper is similar to some conclusions of the research literature Jiang et al. [30] and He et al. [3], the essential difference between this paper and the previous literature is that this paper considers the supplier competition. In addition, the demand model of this paper is different from the previous literature. This is also the innovation of this paper.
Based on the above, we have obtained some significant findings. Decision makers of supply chain can choose the supply chain cooperation mode according to the intensity of market competition or consumer reference effect. The increase of reference effect is conducive to improving the quality of products and services, but it may also lead to higher production costs in the case of centralized decision-making. Therefore, when the reference effect is high, supply chain enterprises should adopt decentralized decision-making mode. Excessive competition is not conducive to improving the profits, and increases internal friction among enterprises. Therefore, when the competition is fierce, enterprise alliance is a better choice.
Based on the above conclusions, we have obtained some management implications. (i) Reducing costs and raising prices are not the only ways for enterprises to increase profits. Enterprises can also improve product quality and service quality through the following effective ways, such as extending the service life of products, reducing the failure rate of products in the use process, improving the accuracy and efficiency in the use process, and improving service level. (ii) Enterprise managers can publicize the quality through social platforms, shopping websites, online media and other channels, so that consumers can better understand products and services, and cultivate consumers’ preferences for product and service quality. (iii) Enterprises should pay more attention to customer relationship management. If consumers are involved in product production and design, the products and services produced by enterprises will be more in line with consumer demand, which will make consumers’ expectations of products and services more rational. (iv) When the market competition is low, decentralized decision-making is an effective way for suppliers and retailers to improve profits. When the market competition is fierce, suppliers and retailers can avoid the drawbacks caused by excessive competition through alliance. It is also worth noting that market competition is always beneficial to the supply chain in the case of centralized decision-making. (v) Enterprise management should thoroughly understand the consumer service quality reference effect and product quality reference effect through adequate market research. If the consumer reference effect is found to be low, then the alliance approach is an effective way to develop the supply chain, otherwise the decentralized decision-making approach is adopted. (vi) When the supply chain adopts alliance, as the leader of the supply chain (such as the retailer), it is necessary to reasonably design the service cost sharing proportion of the retailer with the supplier, otherwise the supplier will not support the bilateral cost sharing contract.
However, the proposed model has some drawbacks. These can be overcome by extending it in many ways in the future. (i) The marginal profits of the supplier and the retailer is fixed. The model will be more realistic if we consider price as a variable. (ii) The proposed model considers the supply chain composed of two suppliers and a single retailer. Suppliers’ competition and retailers’ competition can be considered in the future. (iii) This paper assumes that consumers are homogeneous. In fact, consumers have different preferences for quality, and the demand function will also be different.

Author Contributions

Conceptualization, Y.L., M.J. and X.Z.; methodology Y.L., X.Z. and M.J.; software; formal analysis, M.J.; investigation, X.L.; writing—original draft, Y.L. and M.J.; writing—review and editing, Y.L.; project administration X.L. and X.Z. All authors have read and agreed to the published version of the manuscript.

Funding

This research was funded by the National Social Science Foundation of China Western Project “Research on the Dilemma, Causes and Strategies of High-quality Development of Rural Logistics Driven by Digital Economy” (No. 20XJY011).

Institutional Review Board Statement

Not applicable.

Informed Consent Statement

Not applicable.

Data Availability Statement

Not applicable.

Conflicts of Interest

The authors declare no conflict of interest.

References

  1. Fu, H.; Fan, J.; Wan, N.; Chen, W. The research of the quality incentive strategies in a retailer-dominated supply chain from the perspective of product liability. J. Indu. Eng. Manag. 2023, 1, 187–199. [Google Scholar]
  2. Available online: https://finance.ifeng.com/c/8GAyju8xixT (accessed on 22 May 2022).
  3. He, Y.; Zhang, J.; Gou, Q.; Bi, G. Supply chain decisions with reference quality effect under the O2O environment. Ann.Oper. Res. 2018, 268, 273–292. [Google Scholar] [CrossRef]
  4. Yi, T.; Lai, X.; Zhou, S. Information sharing in a transparent supply chain with transportation disruptions and supplier competition. Ann. Oper. Res. 2020, 301, 1–23. [Google Scholar]
  5. Li, C. Supplier Competition and Cost Reduction with Endogenous Information Asymmetry. Manuf. Serv. Oper. Manag. 2019, 22, 869–1106. [Google Scholar]
  6. Edward, A.; Bo, C.; Lusheng, S. Supplier Competition with Option Contracts for Discrete Blocks of Capacity. Oper. Res. 2017, 65, 952–967. [Google Scholar]
  7. Chakraborty, T.; Chauhan, S.S.; Vidyarthi, N. Coordination and competition in a common retailer channel: Wholesale price versus revenue-sharing mechanisms. Int. J. Prod. Econ. 2015, 166, 103–118. [Google Scholar] [CrossRef]
  8. Chutani, A.; Sethi, S.P. Dynamic cooperative advertising under manufacturer and retailer level competition. Eur. J. Oper. Res. 2018, 268, 635–652. [Google Scholar] [CrossRef]
  9. Zhang, J.; Gou, Q.; Liang, L.; Huang, Z. Supply chain coordination through cooperative advertising with reference price effect. Omega 2013, 41, 345–353. [Google Scholar] [CrossRef]
  10. Zu, Y.; Chen, L. Myopic versus Far-Sighted Behaviors in Dynamic Supply Chain Coordination through Advertising with Reference Price Effect. Discret. Dyn. Nat. Soc. 2017, 2017, 1–15. [Google Scholar] [CrossRef]
  11. Chen, X.; Hu, P.; Shum, S.; Zhang, Y. Dynamic Stochastic Inventory Management with Reference Price Effects. Oper. Res. 2016, 64, 1529–1536. [Google Scholar] [CrossRef]
  12. Ni, J.; Zhao, J. A dynamic analysis of the investment in product innovation in a supply chain under reference price effect: Competition vs cooperation. Int. J. Syst. Sci. Oper. 2021, 8, 56–68. [Google Scholar] [CrossRef]
  13. Zhao, L.; Li, C.; Guo, X. Dynamic Coordination Strategy of government and Enterprise disaster relief considering reference price Effect. Syst. Sci. Math. 2018, 38, 37–56. [Google Scholar]
  14. Zhu, G.J.; You, D.M.; Huang, F.H.; Yuan, N.Y. Differential game analysis of food Supply Chain Traceability Input under Reference price Effect. Syst. Eng. 2020, 38, 55–65. [Google Scholar]
  15. Chenavaz, R. Dynamic quality policies with reference quality effects. Appl. Econ. 2016, 49, 3156–3162. [Google Scholar] [CrossRef]
  16. Xue, M.; Zhang, J.; Tang, W.; Dai, R. Quality improvement and pricing with reference quality effect. J. Syst. Sci. Syst. Eng. 2017, 26, 665–682. [Google Scholar] [CrossRef]
  17. Liu, W.H.; Xie, D. Quality decision of the logistics service supply chain with service quality guarantee. Int. J. Prod. Econ. 2013, 51, 1618–1634. [Google Scholar] [CrossRef]
  18. Zhang, G.B.; Ran, Y.; Ren, X.L. Study on product quality tracing technology in supply chain. Comput. Ind. Eng. 2011, 60, 863–871. [Google Scholar] [CrossRef]
  19. Tse, Y.K.; Tan, K.H. Managing product quality risk and visibility in multi-layer supply chain. Int. J. Prod. Econ. 2012, 139, 49–57. [Google Scholar] [CrossRef]
  20. Agus, A. Supply Chain Management: The Influence of SCM on Production Performance and Product Quality. J. Econ. Bus. Manag. 2015, 3, 231–245. [Google Scholar] [CrossRef]
  21. Bray, R.L.; Serpa, J.C.; Colak, A. Supply Chain Proximity and Product Quality. Manag. Sci. 2019, 65, 4079–4099. [Google Scholar] [CrossRef]
  22. Qin, X.; Su, Q.; Huang, S.H.; Wiersma, U.J.; Liu, M. Service quality coordination contracts for online shopping service supply chain with competing service providers: Integrating fairness and individual rationality. Oper. Res. 2019, 19, 269–296. [Google Scholar] [CrossRef]
  23. Qiao, H.; Lin, X.; Zhou, X.; Jiang, M. Research on Joint Decision-Making of Timely Delivery, Product Quality and Marketing in Supply Chain Based on Differential Game. Sustainability 2022, 14, 10774. [Google Scholar] [CrossRef]
  24. Zhan, L.; Shu, H.; Zhou, X.; Lin, X. A Quality Decision Model Considering the Delay Effects in a Dual-Channel Supply Chain. Sustainability 2022, 14, 6240. [Google Scholar] [CrossRef]
  25. Shokri, G.H.; Paydar, M.M.; Divsalar, A. A sustainable supply chain for a wellness tourism center considering discount and quality of service. Expert Syst. Appl. 2023, 211, 118682. [Google Scholar] [CrossRef]
  26. Huang, S.; Zhang, X.; Guan, X.; Yi, Z. Quality information disclosure with retailer store brand introduction in a supply chain. Comput. Ind. Eng. 2022, 171, 108475. [Google Scholar] [CrossRef]
  27. Xideng, Z.; Bing, X.; Fei, X.; Yu, L. Research on Quality Decisions and Coordination with Reference Effect in Dual-Channel Supply Chain. Sustainability 2020, 12, 2296. [Google Scholar] [CrossRef]
  28. Li, Y.; Liu, L.; Li, W. Quality control strategies of the supply chain based on stochastic differential game. Evol. Intell. 2021, 12, 1–12. [Google Scholar] [CrossRef]
  29. Chen, T.; Zhang, J.; Luo, J. Differential game evolution of food quality safety based on market supply and demand. Food Sci. Nutr. 2021, 9, 2414–2435. [Google Scholar] [CrossRef]
  30. Jiang, M.; Lin, X.; Zhou, X.; Qiao, H. Research on Supply Chain Quality Decision Model Considering Reference Effect and Competition under Different Decision-Making Modes. Sustainability 2022, 14, 10338. [Google Scholar] [CrossRef]
Figure 1. Supply chain quality decision model considering reference effect and supplier competition.
Figure 1. Supply chain quality decision model considering reference effect and supplier competition.
Sustainability 14 14939 g001
Figure 2. Schematic diagram of bilateral cost sharing contract.
Figure 2. Schematic diagram of bilateral cost sharing contract.
Sustainability 14 14939 g002
Figure 3. Changes of product quality with ρ s 1 ,   ρ s 2   under different decision-making modes. (a) Changes of product quality with ρ s 1 , (b) Changes of product quality with ρ s 2 .
Figure 3. Changes of product quality with ρ s 1 ,   ρ s 2   under different decision-making modes. (a) Changes of product quality with ρ s 1 , (b) Changes of product quality with ρ s 2 .
Sustainability 14 14939 g003
Figure 4. The influence of λ     on profit under different decision-making modes.
Figure 4. The influence of λ     on profit under different decision-making modes.
Sustainability 14 14939 g004
Figure 5. The influence of β and χ on profit under different decision-making modes. (a) The influence of β on profit, (b) The influence of χ on profit.
Figure 5. The influence of β and χ on profit under different decision-making modes. (a) The influence of β on profit, (b) The influence of χ on profit.
Sustainability 14 14939 g005
Figure 6. Changes of supply chain profit with θ r and θ s 1 under different modes. (a) Changes of supply chain profit with θ r . (b) Changes of supply chain profit with θ s 1 .
Figure 6. Changes of supply chain profit with θ r and θ s 1 under different modes. (a) Changes of supply chain profit with θ r . (b) Changes of supply chain profit with θ s 1 .
Sustainability 14 14939 g006
Figure 7. Changes of supply chain profit with v s 10 and v r 0 under different decision-making modes.
Figure 7. Changes of supply chain profit with v s 10 and v r 0 under different decision-making modes.
Sustainability 14 14939 g007
Figure 8. The influence of ϕ 2 on profit under different decision-making modes.
Figure 8. The influence of ϕ 2 on profit under different decision-making modes.
Sustainability 14 14939 g008
Table 1. Comparison of recent relevant literature research points.
Table 1. Comparison of recent relevant literature research points.
LiteraturePublish
Time
Supplier CompetitionProduct Quality
as a Decision Variable
Service Quality
as a Decision Variable
Using Differential Gaming Methods
Chakraborty et al. [7]2015yesnonono
Edward et al. [6]2017yesnonono
He et al. [3]2018noyesnoyes
Li [5]2019yesnonono
Qin et al. [22]2019nonoyesno
Yi et al. [4]2020yesnonoyes
Xideng et al. [27]2020noyesyesyes
Li et al. [28]2021noyesnoyes
Zhan et al. [24]2022noyesyesyes
Qiao et al. [23]2022noyesnoyes
Shokri et al. [25]2023nonoyesno
This paper2022yesyesyesyes
Table 2. Related parameters.
Table 2. Related parameters.
SymbolsDescriptionsSymbolsDescriptions
r ( t ) It represents the service quality of downstream retailer at time t and is a decision variable. β   It refers to consumers’ reference effect of product quality.
q i ( t ) It represents the upstream supplier’s product quality. i = 1 represents the product quality of supplier 1, and i = 2 represents the product quality of supplier 2.
v r ( t ) It represents consumers’ reference service quality. λ   It refers to the product quality competition coefficient, and also refers to the impact of the difference between the supplier’s product quality and that of competitive supplier on demand.
v s i ( t ) It represents the reference product quality of consumers at time t.
θ r It represents the consumer’s preference for service quality
θ s i It represents the consumer’s quality preference of supplier i. χ It refers to consumers’ reference service quality effect, indicating the impact of the gap between the actual service quality and the reference service quality (expected quality) on demand.
ρ r It represents the marginal profit of the downstream retailer.
ρ s i It represents the marginal profit of the upstream supplier i.
b i It represents the market potential sales volume of the products produced by the supplier i, b i > 0 . k r Cost coefficient of service quality of the downstream retailer.
α s i It represents the product quality memory parameter, α s i > 0 . k s i Cost coefficient of product quality of the upstream supplier i.
α 1 It represents the service quality memory parameter, α 1 > 0 . μ Discount rate.
Table 3. Values of parameters.
Table 3. Values of parameters.
v r 0 2 b 1 10
v s 10 3 b 2 10
v s 20 4 α 1 0.1
β 0.5 α s 1 0.1
θ r 0.1 α s 2 0.1
θ s 1 0.1 k r 1
θ s 2 0.1 k s r 1 2
ρ r 3 k s r 2 2
ρ s 1 2 λ   2.5
ρ s 2 2.5 χ 0.2
Publisher’s Note: MDPI stays neutral with regard to jurisdictional claims in published maps and institutional affiliations.

Share and Cite

MDPI and ACS Style

Li, Y.; Lin, X.; Zhou, X.; Jiang, M. Supply Chain Quality Decisions with Reference Effect under Supplier Competition Environment. Sustainability 2022, 14, 14939. https://doi.org/10.3390/su142214939

AMA Style

Li Y, Lin X, Zhou X, Jiang M. Supply Chain Quality Decisions with Reference Effect under Supplier Competition Environment. Sustainability. 2022; 14(22):14939. https://doi.org/10.3390/su142214939

Chicago/Turabian Style

Li, Yiling, Xiaowei Lin, Xideng Zhou, and Minglin Jiang. 2022. "Supply Chain Quality Decisions with Reference Effect under Supplier Competition Environment" Sustainability 14, no. 22: 14939. https://doi.org/10.3390/su142214939

APA Style

Li, Y., Lin, X., Zhou, X., & Jiang, M. (2022). Supply Chain Quality Decisions with Reference Effect under Supplier Competition Environment. Sustainability, 14(22), 14939. https://doi.org/10.3390/su142214939

Note that from the first issue of 2016, this journal uses article numbers instead of page numbers. See further details here.

Article Metrics

Back to TopTop