Monitoring Heart Rate Variability and Its Association with High-Intensity Running, Psychometric Status, and Training Load in Elite Female Soccer Players during Match Weeks
Abstract
1. Introduction
2. Materials and Methods
2.1. Participants
2.2. Study Design
2.3. Instruments and Outcomes
2.3.1. Heart Rate Variability Measurements
2.3.2. High-Intensity Running Measurement
2.3.3. Training Load
2.3.4. Psychometric Test
2.3.5. Body Fat Assessment
2.4. Statistical Analysis
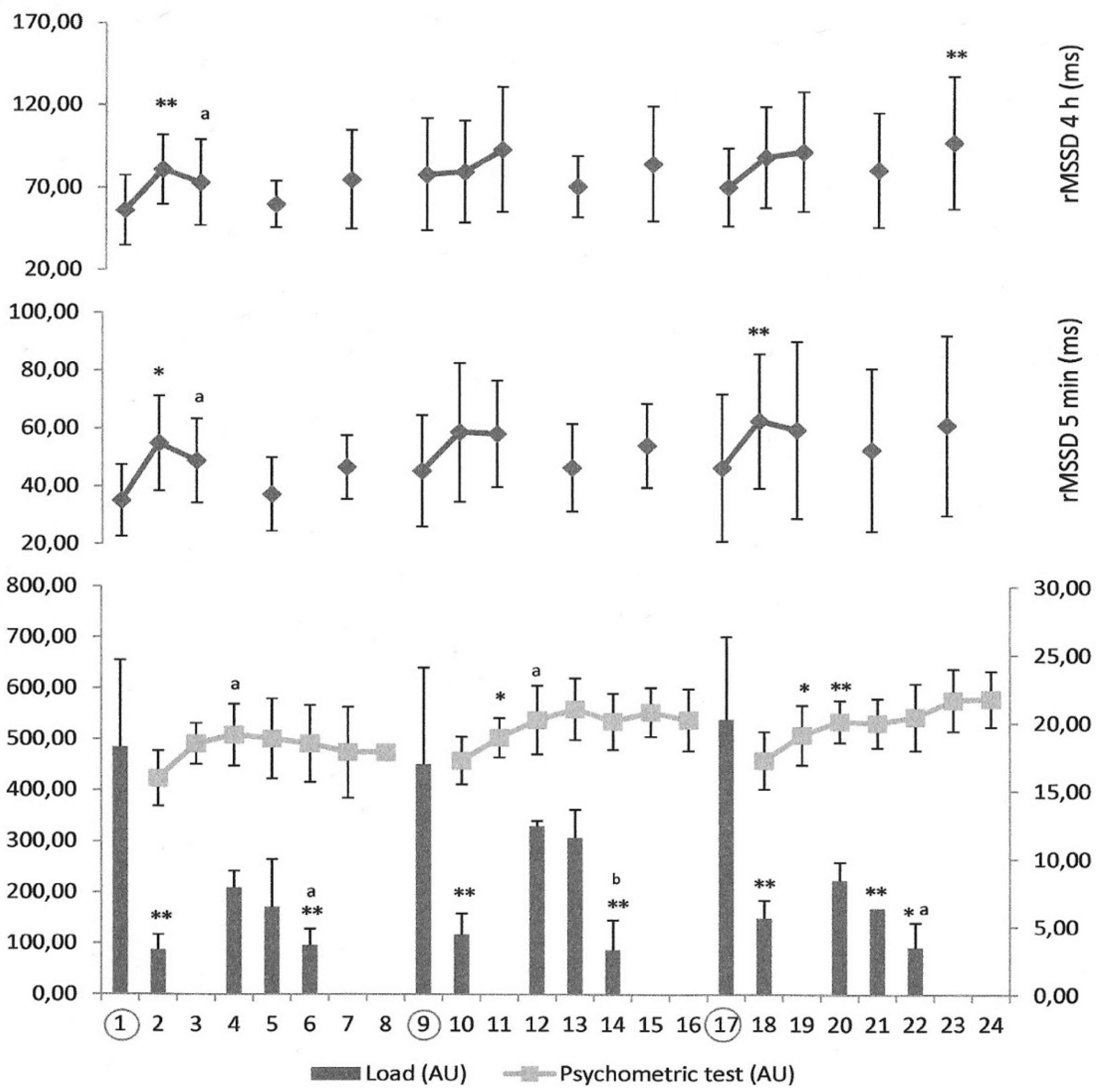
3. Results
4. Discussion
Conclusions
Author Contributions
Funding
Institutional Review Board Statement
Informed Consent Statement
Data Availability Statement
Conflicts of Interest
References
- Nobari, H.; Banoocy, N.K.; Oliveira, R.; Pérez-Gómez, J. Win, draw, or lose? Global positioning system-based variables’ effect on the match outcome: A full-season study on an Iranian professional soccer team. Sensors 2021, 21, 5695. [Google Scholar] [CrossRef]
- Nobari, H.; Gholizadeh, R.; Martins, A.D.; Badicu, G.; Oliveira, R. In-season quantification and relationship of external and internal intensity, sleep quality, and psychological or physical stressors of semi-professional soccer players. Biology 2022, 11, 467. [Google Scholar] [CrossRef]
- Nedelec, M.; McCall, A.; Carling, C.; Legall, F.; Berthoin, S.; Dupont, G. Recovery in soccer: Part I—Post-match fatigue and time course of recovery. Sports Med. 2012, 42, 997–1015. [Google Scholar] [CrossRef]
- McLean, B.D.; Coutts, A.J.; Kelly, V.; McGuigan, M.R.; Cormack, S.J. Neuromuscular, endocrine, and perceptual fatigue responses during different length between-match microcycles in professional rugby league players. Int. J. Sports Physiol. Perform. 2010, 5, 367–383. [Google Scholar] [CrossRef]
- Buchheit, M.; Racinais, S.; Bilsborough, J.C.; Bourdon, P.C.; Voss, S.C.; Hocking, J.; Cordy, J.; Mendez-Villanueva, A.; Coutts, A.J. Monitoring fitness, fatigue and running performance during a pre-season training camp in elite football players. J. Sci. Med. Sport 2013, 16, 550–555. [Google Scholar] [CrossRef]
- Bricout, V.-A.; Dechenaud, S.; Favre-Juvin, A. Analyses of heart rate variability in young soccer players: The effects of sport activity. Auton. Neurosci. Basic Clin. 2010, 154, 112–116. [Google Scholar] [CrossRef]
- Edmonds, R.C.; Sinclair, W.H.; Leicht, A.S. Effect of a training week on heart rate variability in elite youth rugby league players. Int. J. Sports Med. 2013, 34, 1087–1092. [Google Scholar] [CrossRef]
- D’Ascenzi, F.; Alvino, F.; Natali, B.M.; Cameli, M.; Palmitesta, P.; Boschetti, G.; Bonifazi, M.; Mondillo, S. Precompetitive assessment of heart rate variability in elite female athletes during play offs. Clin. Physiol. Funct. Imaging 2014, 34, 230–236. [Google Scholar] [CrossRef]
- Cervantes Blasquez, J.C.; Rodas Font, G.; Capdevila Ortis, L. Heart-rate variability and precompetitive anxiety in swimmers. Psicothema 2009, 21, 531–536. [Google Scholar]
- Morales, J.; Alamo, J.M.; Garcia-Masso, X.; Busca, B.; Lopez, J.L.; Serra-Ano, P.; Gonzalez, L.M. The use of heart rate variability in monitoring stress and recovery in judo athletes. J. Strength Cond. Res. 2013, 28, 1896–1905. [Google Scholar] [CrossRef]
- Ayuso-Moreno, R.M.; Fuentes-García, J.P.; Nobari, H.; Villafaina, S. Impact of the result of soccer matches on the heart rate variability of women soccer players. Int. J. Environ. Res. Public Health 2021, 18, 9414. [Google Scholar] [CrossRef] [PubMed]
- Boullosa, D.A.; Abreu, L.; Nakamura, F.Y.; Muñoz, V.E.; Dominguez, E.; Leicht, A.S. Cardiac autonomic adaptations in elite spanish soccer players during preseason. Int. J. Sports Physiol. Perform. 2013, 8, 400–409. [Google Scholar] [CrossRef] [PubMed]
- Buchheit, M. Monitoring training status with HR measures: Do all roads lead to Rome? Front. Physiol. 2014, 5, 73. [Google Scholar] [CrossRef] [PubMed]
- Andersson, H.A.; Randers, M.B.; Heiner-Moller, A.; Krustrup, P.; Mohr, M. Elite female soccer players perform more high-intensity running when playing in international games compared with domestic league games. J. Strength Cond. Res. 2010, 24, 912–919. [Google Scholar] [CrossRef]
- Thorpe, R.T.; Strudwick, A.J.; Buchheit, M.; Atkinson, G.; Drust, B.; Gregson, W. Monitoring fatigue during the in-season competitive phase in elite soccer players. Int. J. Sports Physiol. Perform. 2015, 10, 958–964. [Google Scholar] [CrossRef]
- Kleiger, R.E.; Stein, P.K.; Bigger, J.T., Jr. Heart rate variability: Measurement and clinical utility. Ann. Noninvasive Electrocardiol. 2005, 10, 88–101. [Google Scholar] [CrossRef]
- Shaffer, F.; McCraty, R.; Zerr, C.L. A healthy heart is not a metronome: An integrative review of the heart’s anatomy and heart rate variability. Front. Psychol. 2014, 5, 1040. [Google Scholar] [CrossRef]
- Myllymaki, T.; Rusko, H.; Syvaoja, H.; Juuti, T.; Kinnunen, M.L.; Kyrolainen, H. Effects of exercise intensity and duration on nocturnal heart rate variability and sleep quality. Eur. J. Appl. Physiol. 2012, 112, 801–809. [Google Scholar] [CrossRef]
- Buchheit, M.; Simon, C.; Piquard, F.; Ehrhart, J.; Brandenberger, G. Effects of increased training load on vagal-related indexes of heart rate variability: A novel sleep approach. Am. J. Physiol. Heart Cir. Physiol. 2004, 287, H2813–H2818. [Google Scholar] [CrossRef]
- Nobari, H.; Alves, A.R.; Clemente, F.M.; Pérez-Gómez, J.; Clark, C.C.; Granacher, U.; Zouhal, H. Associations between variations in accumulated workload and physiological variables in young male soccer players over the course of a season. Front. Physiol. 2021, 12, 233. [Google Scholar] [CrossRef]
- Nakamura, F.Y.; Pereira, L.A.; Rabelo, F.N.; Flatt, A.A.; Esco, M.R.; Bertollo, M.; Loturco, I. Monitoring weekly heart rate variability in futsal players during the preseason: The importance of maintaining high vagal activity. J. Sports Sci. 2016, 34, 2262–2268. [Google Scholar] [CrossRef] [PubMed]
- Laborde, S.; Mosley, E.; Thayer, J.F. Heart rate variability and cardiac vagal tone in psychophysiological research–recommendations for experiment planning, data analysis, and data reporting. Front. Psychol. 2017, 8, 213. [Google Scholar] [CrossRef] [PubMed]
- Berna, G.; Ott, L.; Nandrino, J.L. Effects of emotion regulation difficulties on the tonic and phasic cardiac autonomic response. PLoS ONE 2014, 9, e102971. [Google Scholar] [CrossRef] [PubMed]
- Vallejo, M.; Márquez, M.; Borja-Aburto, V.; Cárdenas, M.; Hermosillo, A. Age, body mass index, and menstrual cycle influence young women’s heart rate variability. Clin. Auton. Res. 2005, 15, 292–298. [Google Scholar] [CrossRef] [PubMed]
- Sato, N.; Miyake, S.; Akatsu, J.; Kumashiro, M. Power spectral analysis of heart rate variability in healthy young women during the normal menstrual cycle. Psychosom. Med. 1995, 57, 331–335. [Google Scholar] [CrossRef]
- Leicht, A.S.; Hirning, D.A.; Allen, G.D. Heart rate variability and endogenous sex hormones during the menstrual cycle in young women. Exp. Physiol. 2003, 88, 441–446. [Google Scholar] [CrossRef]
- Nobari, H.; Ahmadi, M.; Sá, M.; Pérez-Gómez, J.; Clemente, F.M.; Adsuar, J.C.; Minasian, V.; Afonso, J. The effect of two types of combined training on bio-motor ability adaptations in sedentary females. J. Sports Med. Phys. Fit. 2021, 61, 1317–1325. [Google Scholar] [CrossRef]
- Figueiredo, P.; Costa, J.; Lastella, M.; Morais, J.; Brito, J. Sleep indices and cardiac autonomic activity responses during an international tournament in a youth national soccer team. Int. J. Environ. Res. Public Health 2021, 18, 2076. [Google Scholar] [CrossRef]
- Hinde, K.; White, G.; Armstrong, N. Wearable devices suitable for monitoring twenty four hour heart rate variability in military populations. Sensors 2021, 21, 1061. [Google Scholar] [CrossRef]
- Parak, J.; Korhonen, I. Accuracy of Firstbeat Bodyguard 2 Beat-to-Beat Heart Rate Monitor; White Papers Firstbeat Technologies Ltd.: Jyväskylä, Finland, 2013. [Google Scholar]
- Aranda, C.; de la Cruz, B.; Naranjo, J. Effects of different automatic filters on the analysis of heart rate variability with Kubios HRV software. Arch. Med. Deporte 2017, 34, 196–200. [Google Scholar]
- Dupuy, O.; Bherer, L.; Audiffren, M.; Bosquet, L. Night and postexercise cardiac autonomic control in functional overreaching. Appl. Physiol. Nutr. Metab. 2013, 38, 200–208. [Google Scholar] [CrossRef] [PubMed]
- Brandenberger, G.; Buchheit, M.; Ehrhart, J.; Simon, C.; Piquard, F. Is slow wave sleep an appropriate recording condition for heart rate variability analysis? Auton. Neurosci. 2005, 121, 81–86. [Google Scholar] [CrossRef] [PubMed]
- Al Haddad, H.; Laursen, P.B.; Ahmaidi, S.; Buchheit, M. Nocturnal heart rate variability following supramaximal intermittent exercise. Intern. J. Sports Physiol. Perform. 2009, 4, 435–447. [Google Scholar] [CrossRef]
- Stanley, J.; Peake, J.M.; Buchheit, M. Consecutive days of cold water immersion: Effects on cycling performance and heart rate variability. Eur. J. Appl. Physiol. 2013, 113, 371–384. [Google Scholar] [CrossRef]
- Task-Force. Heart rate variability. Standards of measurement, physiological interpretation, and clinical use. Task Force of the European society of cardiology and the North American society of pacing and electrophysiology. Eur. Heart J. 1996, 17, 354–381. [Google Scholar] [CrossRef]
- Krustrup, P.; Mohr, M.; Ellingsgaard, H.; Bangsbo, J. Physical demands during an elite female soccer game: Importance of training status. Med. Sci. Sports Exerc. 2005, 37, 1242–1248. [Google Scholar] [CrossRef]
- Vickery, W.M.; Dascombe, B.J.; Baker, J.D.; Higham, D.G.; Spratford, W.A.; Duffield, R. Accuracy and reliability of GPS devices for measurement of sports-specific movement patterns related to cricket, tennis, and field-based team sports. J. Strength Cond. Res. 2014, 28, 1697–1705. [Google Scholar] [CrossRef]
- Johnston, R.J.; Watsford, M.L.; Kelly, S.J.; Pine, M.J.; Spurrs, R.W. Validity and interunit reliability of 10 Hz and 15 Hz GPS units for assessing athlete movement demands. J. Strength Cond. Res. 2014, 28, 1649–1655. [Google Scholar] [CrossRef]
- Rawstorn, J.C.; Maddison, R.; Ali, A.; Foskett, A.; Gant, N. Rapid directional change degrades GPS distance measurement validity during intermittent intensity running. PLoS ONE 2014, 9, e93693. [Google Scholar] [CrossRef]
- Scott, M.T.; Scott, T.J.; Kelly, V.G. The validity and reliability of Global Positioning Systems in team sport: A brief review. J. Strength Cond. Res. 2015, 30, 1470–1490. [Google Scholar] [CrossRef]
- Nobari, H.; Aquino, R.; Clemente, F.M.; Khalafi, M.; Adsuar, J.C.; Pérez-Gómez, J. Description of acute and chronic load, training monotony and strain over a season and its relationships with well-being status: A study in elite under-16 soccer players. Physiol. Behav. 2020, 225, 113117. [Google Scholar] [CrossRef] [PubMed]
- Foster, C.; Daines, E.; Hector, L.; Snyder, A.C.; Welsh, R. Athletic performance in relation to training load. Wis. Med. J. 1996, 95, 370–374. [Google Scholar] [PubMed]
- Impellizzeri, F.M.; Rampinini, E.; Coutts, A.J.; Sassi, A.; Marcora, S.M. Use of RPE-based training load in soccer. Med. Sci. Sports Exerc. 2004, 36, 1042–1047. [Google Scholar] [CrossRef] [PubMed]
- Hopkins, W.G.; Marshall, S.W.; Batterham, A.M.; Hanin, J. Progressive statistics for studies in sports medicine and exercise science. Med. Sci. Sports Exerc. 2009, 41, 3–13. [Google Scholar] [CrossRef] [PubMed]
- Seiler, S.; Haugen, O.; Kuffel, E. Autonomic recovery after exercise in trained athletes: Intensity and duration effects. Med. Sci. Sports Exerc. 2007, 39, 1366–1373. [Google Scholar] [CrossRef] [PubMed]
- Stanley, J.; Buchheit, M.; Peake, J.M. The effect of post-exercise hydrotherapy on subsequent exercise performance and heart rate variability. Eur. J. Appl. Physiol. 2012, 112, 951–961. [Google Scholar] [CrossRef] [PubMed]
- Stanley, J.; Peake, J.M.; Buchheit, M. Cardiac parasympathetic reactivation following exercise: Implications for training prescription. Sports Med. 2013, 43, 1259–1277. [Google Scholar] [CrossRef]
- Paul, D.J.; Bradley, P.S.; Nassis, G.P. Factors affecting match running performance of elite soccer players: Shedding some light on the complexity. Int. J. Sports Physiol. Perform. 2015, 10, 516–519. [Google Scholar] [CrossRef]
- Otzenberger, H.; Gronfier, C.; Simon, C.; Charloux, A.; Ehrhart, J.; Piquard, F.; Brandenberger, G. Dynamic heart rate variability: A tool for exploring sympathovagal balance continuously during sleep in men. Am. J. Physiol. 1998, 275, H946–H950. [Google Scholar] [CrossRef] [PubMed]
- Burton, A.R.; Rahman, K.; Kadota, Y.; Lloyd, A.; Vollmer-Conna, U. Reduced heart rate variability predicts poor sleep quality in a case-control study of chronic fatigue syndrome. Exp. Brain Res. 2010, 204, 71–78. [Google Scholar] [CrossRef]



| Sunday | Monday | Tuesday | Wednesday | Thursday | Friday | Saturday | Sunday |
|---|---|---|---|---|---|---|---|
| Match | Rec. T | × | Tra | Tra | Tra | × | Match |
| F. Games (L. I) | F. Games | DB | DB | ||||
| Prop | R. Games | C | Tra. M. | ||||
| R. Strg | Transitions | ||||||
| Flex | Exp. Strg | F. Games | Flex | ||||
| Drills |
| Variables | Match | Post 1 | Post 2 | Post 4 | Pre 1 |
|---|---|---|---|---|---|
| RHR 4 h (bpm) | 60.51 ± 5.39 | 56.45 ± 4.54 ** | 55.74 ± 4.97 ** | 59.16 ± 7.35 | 57.05 ± 5.18 |
| RHR 5 min (bpm) | 62.45 ± 6.30 | 55.92 ± 5.20 ** | 56.56 ± 5.420 ** | 60.57 ± 9.36 | 58.23 ± 7.46 |
| rMSSD 4 h (ms) | 64.74 ± 20.64 | 82.11 ± 24.19 ** | 83.49 ± 31.37 * | 65.56 ± 20.12 | 77.88 ± 29.22 |
| rMSSD 5 min (ms) | 41.51 ± 17.83 | 59.92 ± 20.79 ** | 53.77 ± 16.22 * | 43.75 ± 15.29 | 56.28 ± 27.95 |
| Variables (r) | β0 | p | β1 | p | β2 | p | β3 | p | β4 | p | β5 | p | β6 | p |
|---|---|---|---|---|---|---|---|---|---|---|---|---|---|---|
| RHR 4 h (β0) | 1 | |||||||||||||
| RHR 5 min (β1) | −0.03 | 0.95 | 1 | |||||||||||
| rMSSD 4 h (β2) | 0.93 | ≤0.001 * | −0.03 | 0.95 | 1 | |||||||||
| rMSSD 5 min (β3) | −0.34 | 0.41 | 0.86 | 0.01 * | −0.37 | 0.37 | 1 | |||||||
| SDNN (β4) | −0.04 | 0.92 | 0.85 | 0.01 * | 0.05 | 0.91 | 0.87 | ≤0.001 * | 1 | |||||
| HIR (β5) | 0.40 | 0.33 | 0.21 | 0.62 | 0.32 | 0.43 | −0.22 | 0.60 | −0.18 | 0.67 | 1 | |||
| TL (β6) | −0.42 | 0.30 | 0.07 | 0.88 | −0.30 | 0.47 | 0.43 | 0.29 | 0.44 | 0.28 | −0.75 | 0.03 * | 1 | |
| Psychometric (β7) | −0.75 | 0.03 * | 0.04 | 0.93 | −0.74 | 0.03 * | 0.46 | 0.25 | 0.20 | 0.64 | −0.74 | 0.04 * | 0.53 | 0.17 |
Publisher’s Note: MDPI stays neutral with regard to jurisdictional claims in published maps and institutional affiliations. |
© 2022 by the authors. Licensee MDPI, Basel, Switzerland. This article is an open access article distributed under the terms and conditions of the Creative Commons Attribution (CC BY) license (https://creativecommons.org/licenses/by/4.0/).
Share and Cite
Santos-García, D.J.; Serrano, D.R.; Ponce-Bordón, J.C.; Nobari, H. Monitoring Heart Rate Variability and Its Association with High-Intensity Running, Psychometric Status, and Training Load in Elite Female Soccer Players during Match Weeks. Sustainability 2022, 14, 14815. https://doi.org/10.3390/su142214815
Santos-García DJ, Serrano DR, Ponce-Bordón JC, Nobari H. Monitoring Heart Rate Variability and Its Association with High-Intensity Running, Psychometric Status, and Training Load in Elite Female Soccer Players during Match Weeks. Sustainability. 2022; 14(22):14815. https://doi.org/10.3390/su142214815
Chicago/Turabian StyleSantos-García, Daniel Juárez, David Recuenco Serrano, José Carlos Ponce-Bordón, and Hadi Nobari. 2022. "Monitoring Heart Rate Variability and Its Association with High-Intensity Running, Psychometric Status, and Training Load in Elite Female Soccer Players during Match Weeks" Sustainability 14, no. 22: 14815. https://doi.org/10.3390/su142214815
APA StyleSantos-García, D. J., Serrano, D. R., Ponce-Bordón, J. C., & Nobari, H. (2022). Monitoring Heart Rate Variability and Its Association with High-Intensity Running, Psychometric Status, and Training Load in Elite Female Soccer Players during Match Weeks. Sustainability, 14(22), 14815. https://doi.org/10.3390/su142214815

