Abstract
As smart technology promotes the development of various industries, artificial intelligence (AI) has also become an important driving force for innovation and transformation in education. For teachers, how to skillfully apply AI in teaching and improve their AI literacy has become a necessary goal for their sustainable professional development. This research examines the correlations among the dimensions of AI literacy of teachers in order to promote the effectiveness of class teaching and the adoption of artificial intelligence literacy (AIL). Our findings are based on the analysis of 1013 survey results, where we tested the level of AI literacy of teachers, including Knowing and Understanding AI (KUAI), Applying AI (AAI), Evaluating AI Application (EAIA), and AI Ethics (AIE). We find that AAI had a significant, positive effect on the other three dimensions. Thus, based on the analysis, the government should take action to cultivate teachers’ AI literacy. In order to improve teachers’ AI literacy, the choice of curriculum, content, methods, and practical resources for special training should be diverse and committed to making AI literacy an essential enabler for teachers’ sustainable future development.
1. Introduction
As artificial intelligence (AI) has begun to integrate into all aspects of daily life, the challenge of better preparing teachers’ education to employ intelligent technologies effectively and efficiently in schools has become a persistent issue [1,2]. Artificial intelligence has become the core technology in education, but it has no straightforward narrative from the 1950s until now. Progressive advancements in AI have generated intelligent machines and algorithms that can know and adapt in response to the environment and sets of rules which simulate human intelligence. According to this study, AI refers to the science and technology of research and development of theories, methods, techniques, and application systems for simulating and extending human intelligence, which is connected to the challenge of utilizing computers to comprehend or imitate the intelligence of humans without any logical order or algorithm [3,4].
Traditionally, isolated ICT courses or units have been provided to promote teacher education, often supplied in early teachers’ improvement programs. These are conducted with the assumption that the strategy of “front loading” teachers with what is considered the necessary knowledge and skills to transform the information [5] will support them in meeting course assessment requirements, such as the growth of “technology-integrated” learning curricula for practical work in schools, and help them use AI technology productively in their future teaching careers [6,7]. Artificial intelligence technology has become an important driver for educational teaching reform and it affects teachers’ sustainable professional development. However, AI education courses and training opportunities are more available to students than teachers. Thus, to extend our understanding of AI literacy for developing the capabilities of teachers, the construction of AI literacy merits our special attention.
Similar to information literacy and digital literacy, AI literacy is a combination of “technology” and “literacy”, i.e., “artificial intelligence” and “literacy”, and is used to define skill sets across disciplines [8]. According to the study of Ng et al., AI literacy can be divided into four common dimensions to build structure: (1) the understanding level of fundamental AI concepts to support basic AI training; (2) the application of AI concepts in practical backgrounds to facilitate widespread AI education; (3) the evaluation and engagement with AI technologies within those contexts should be critical and reasonable; and (4) the ability to understand the endless ethical implications resulting from AI applications [9]. Based on the dimensions that already have been defined, this study analyzed the situation of teachers’ AI literacy. The AI literacy of teachers should be distinct from practical contexts with stricter requirements since these dimensions have not yet been targeted and tested in the course of teacher training [10]. Therefore, to find the direct and indirect relations between the four dimensions of teachers’ AI literacy, we build the structure model in order to uncover the correct approaches to teachers’ AI education.
2. Literature Review
2.1. Definition of Key Concepts
2.1.1. AI Literacy
Literacy was universally perceived as an ability that arises from learning skills including reading, speaking, and writing [11]. The appearance of knowledge based on AI technology education means that every learner should have the basic competencies of “intelligent literacy” to build a better foundation for integration into the digital society, so as to gain equity and respect in working life. This term has been extended to new areas of literacy, such as computer, information, digital, and AI literacy [12]. Information literacy can be taken as an example which empowers people in all walks of life to seek, evaluate, use, and create information effectively in order to achieve their personal goals, and mainly includes the skills of information management and the ability to apply information in an appropriate way [13,14]. In the twenty-first century, teachers with these technical skills can use advanced intelligent technology through computers to impart new knowledge and skills to students or colleagues in certain avant-garde ways [15,16,17].
Currently, with the advent of AI technologies, the application of AI has become critical and plays key roles across disciplines and industries [9,18]. Teachers need to know how to use AI technologies explicitly in their teaching, as well as to take ethical issues into consideration [19,20]. Thus, combining AI and literacy means that AI literacy is about the critical skills that individuals need to learn and live in the digital world with the help of AI-based technologies. According to Bloom, the educational components include the cognitive, psychomotor, and emotional domains, as well as the division of education in terms of knowledge, skills, and attitudes [21,22]. While AI literacy is not equal to the applications of AI, following the conclusion of Bloom, it includes four dimensions: Knowing and Understanding AI, Applying AI, Evaluating AI Application and AI Ethics, as identified from previous studies [23,24,25].
2.1.2. Knowing and Understanding AI
As teachers, the most significant AI literacy in education is about fundamental concepts, knowledge, information, and attitudes that require knowledge about AI. As the users of AI applications, teachers should prioritize learning the theoretical knowledge of AI instead of applying AI approaches at random and without prior intention. According to previous studies, AI literacy was initially defined as the ability to know the basic techniques and concepts of artificial intelligence embedded in different products and services [26,27]. A large number of teachers have been exposed to the technological environment with AI-enabled appliances, but in reality, they do not understand the fundamental concepts, such as big data structures, computational thinking concepts, or ubiquitous computing approaches. Sound knowledge about AI and principles of machine learning is so essential for their later careers that teachers should apply AI every classroom. Moreover, some researchers link AI literacy to learners’ self-perception, confidence, and readiness to learn AI. Meanwhile, a poor belief state in the potential of AI among teachers has also been proven [28,29]. To foster the AI literacy of learners, several scholars designed learning curricula and activities that promote AI literacy, paying attention to the way that teachers learned AI concepts [23,30], as well as understand AI. Thus, Knowing and Understanding AI (KUAI) is fundamental AI literacy that teachers should understand the basic concepts, knowledge, and instructions about using artificial intelligence in teaching.
2.1.3. Applying AI
It is obvious that educating teachers to know how to apply AI concepts and applications in different contexts is of great importance [23,30]. Machine learning applications have been evaluated after learning related curricula, which aims to educate citizens to understand AI applications and learn to adapt in their later careers, as well as understanding the ethical issues related to AI technologies [31,32]. Several studies have discussed the human-centered considerations and concentrated on using AI concepts and applications both regularly and ethically [33,34], which will be further discussed in H1. It is a struggle for teachers to guide students with the help of AI applications, since they still lack the ability to efficiently analyze data or integrate AI into instructional design [35,36]. AI thinking refers to building logic and algorithms to support teachers in understanding how to employ their knowledge in order to solve problems, work with unstructured data, and handle semantics issues in a scheduled way [37]. Taking How and Hung’s research into account, data analysis through computing allows teachers to make new discoveries from hidden patterns in the data through machine learning, which is a practical application of AI-based thinking [38]. For a teacher, applying AI is a literacy that educators utilize in terms of when and how to use AI in class exactly and correctly.
2.1.4. Evaluating AI Application
Compared with applying AI, the ability to evaluate AI application appropriately is more challenging to a teacher. In addition to understanding and using AI concepts in practice, AI literacy has been extended to two other competencies that enable teachers to evaluate AI technologies correctly and critically and to communicate, as well as collaborate effectively, with AI [8]. For example, enhancing teachers’ scientific and technological knowledge through evidence-based learning and continuous curriculum is crucial, since the aim of learning basic knowledge is to implement it in practice [37]. Individuals in the co-creation of AI facilities in public spaces could expand their literacy and experiences of public AI [39]. Teachers who are able to evaluate AI applications appropriately could inform, support, manipulate, and categorize AI concepts together in novel ways. After all, previous studies suggested slight variations on the definition of AI literacy, which support the idea that everyone should acquire basic AI knowledge and competencies, especially school teachers. Evaluating AI applications could be beneficial for enhancing their motivation and interest in teaching with AI [40]. Apart from the ethics of understanding and using AI, evaluating artificial intelligence applications is an important competency that enables teachers to judiciously evaluate AI technologies, commenting on the application of AI in teaching [41].
2.2. Relationships among the Key Concepts
2.2.1. Relationship between the Competencies of Knowing and Understanding AI and Evaluating AI Application
As to developing AI literacy, understanding AI concepts plays an essential role for learners to evaluate AI applications, since they had to invoke relevant concepts when interacting with AI services to ensure that the AI evaluation was in line with the educational technology. The content of basic AI concepts is uncertain while it has been discussed in several studies [12,38,42]. Deep learning, block chains, and machine learning are common AI concepts explored in the literature due to their broad applicability and huge influence. Technologies, such as machine learning, deep learning, and neural networks are listed as AI concepts required for AI literacy, and in addition to these, technologies such as blockchain and cloud computing are also important extensions of AI concepts [43,44]. Based on learners’ acceptance level, a few studies also conducted AI literacy courses for teachers, with topics such as machine learning and neural networks providing more advanced topics for later sections, stepping up the difficulty of the course to suit the learner’s knowledge development pattern [28,45].
In view of the complexity of AI concepts, support for learning artifacts is important to facilitate the understanding of AI evaluation and increase motivation and interest in learning AI knowledge. Recently, an improvement has emerged in hardware and software of computers and robots that enhance AI concepts available to educators [46]. Considering that Knowing and Understanding AI makes teachers learn more about how to apply AI properly, Evaluating AI Application is also significant based on teachers’ cognition of AI.
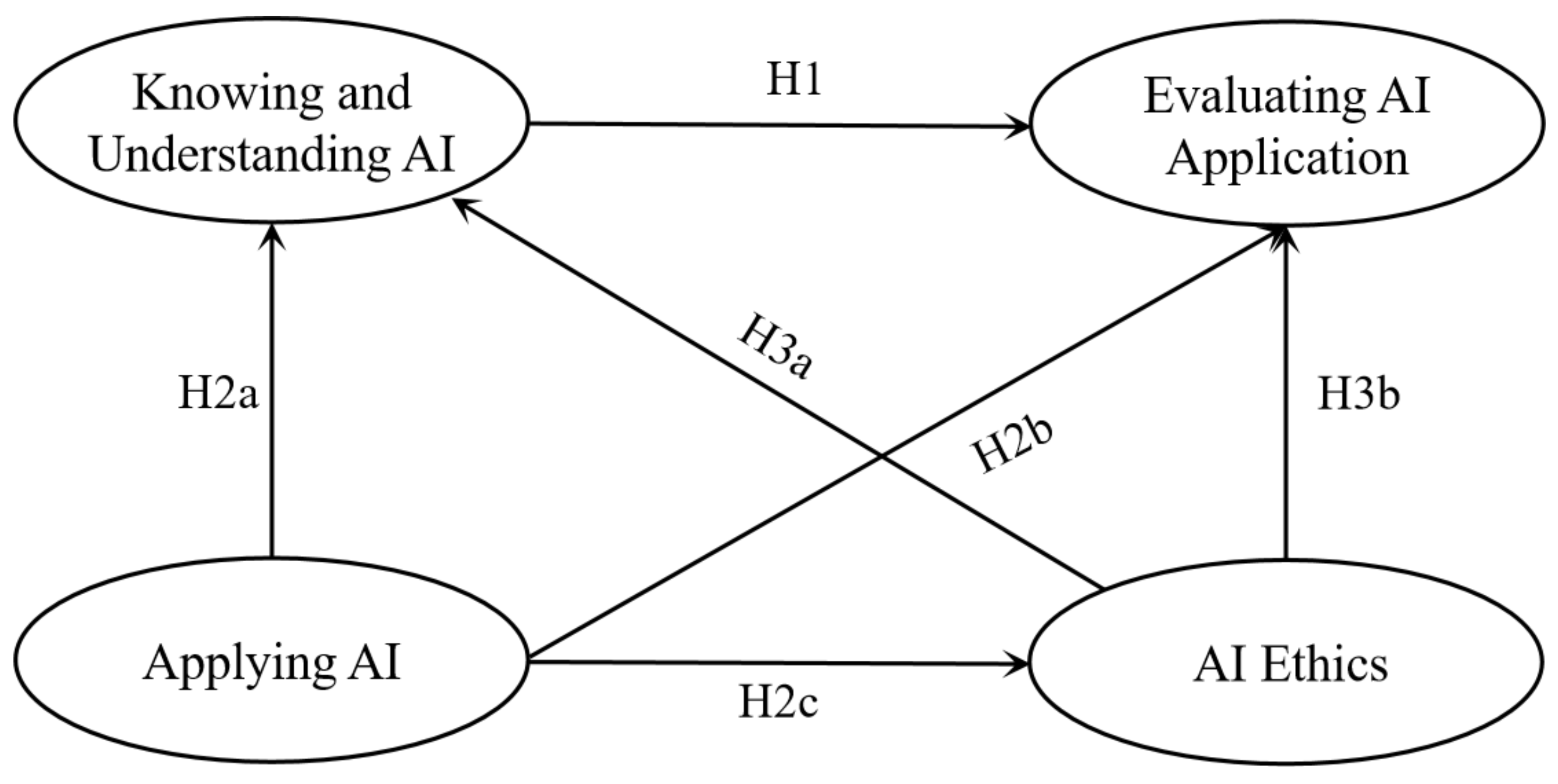
Hypothesis 1 (H1).
Positive correlation exists between Knowing and Understanding AI and Evaluating AI Application.
2.2.2. Relationships among Applying AI with Other Aspects
Besides emphasizing conceptual and literacy development for teachers, the AI literacy course has an important purpose: to equip participants with the basic skills to apply AI flexibly so that they can confidently engage in the digital world and integrate AI into their daily teaching. Through an understanding of how AI works, teachers will be able to think about how the use of AI can be integrated into education for the development of students and share these ideas with other peers. With initial mastery of AI, teachers will grow in confidence regarding AI use, naturally engage in critical discussions related to AI, and use AI to drive instructional change, thereby experiencing a degree of personal empowerment in the form of increased control over their own lives and coping skills [47]. In AI literacy courses, teachers often work to increase their confidence through exposure to AI, using AI concepts as a foundation and AI assessment to guide use, thus leading to a deeper and more thorough understanding of AI and clarifying the ethical aspects of AI educational applications [48]. Therefore, Applying AI (AAI) is essential to other aspects of AI literacy, directly influencing Knowing and Understanding AI (KUAI), Evaluating AI Application (EAIA) and AI Ethics (AIE). This study finds that there are five components comprehensively relating AI applications with other aspects.
Hypothesis 2a (H2a).
Applying AI has a positive effect on Knowing and Understanding AI.
Hypothesis 2b (H2b).
Applying AI has a positive effect on Evaluating AI Application.
Hypothesis 2c (H2c).
Applying AI has a positive effect on AI Ethics.
2.2.3. Correlations among AI Ethics, Knowing and Understanding AI and Evaluating and Creating AI
Given that AI plays a significant role in everyday decision making, it may cause irreparable damage to society if it is not used properly [49]. Scientists and engineers, such as Elon Musk, have a more negative attitude toward AI, with their articulation of the horrors that could be caused by future AI technologies that would pose a serious threat to human existence within decades [50]. However, only a few studies mention the need to consider the concept of human-centered development and drew attention to educating citizens to become socially responsible [51]. Few studies focus on the need for the ethical AI paradox, which found that teachers paid no attention to ethical concerns, such as biased decisions, lack of transparency, privacy issues, and the risk of invasion of privacy [52,53]. Therefore, educators need to focus not only on improving their own AI application skills and interests but also on the potential social implications and ethical issues of AI. To prepare the next generation of responsible citizens for the future, teachers should compete for the use of AI in a reliable, credible, and equitable manner; prioritizing issues of equity, accountability, transparency, and ethics; and promoting the integration of computational technologies into teaching and learning in innovative and responsible ways, while drawing on areas with a sociotechnical orientation to reinvent the shape of education [54,55].
Artificial Intelligence literacy in teacher education is in its infancy. It emphasizes and regulates how teachers should understand AI concepts and apply AI. To expand the use of AI scenarios, there is a need to ensure that AI technologies are designed and utilized in a way that is both inclusive and equitable to addressing the underrepresentation of people of color and women in AI-using populations. Thus, the relationship among AI Ethics, Knowing and Understanding AI, and Evaluating AI Application should be found to affect teachers’ AI literacy.
Hypothesis 3a (H3a).
AI Ethics has a positive effect on Knowing and Understanding AI.
Hypothesis 3b (H3b).
AI Ethics has a positive effect on Evaluating AI Application.
Therefore, a conceptual model was constructed, comprising the above hypotheses, as illustrated in Figure 1.
Figure 1.
The hypothesized research model.
3. Method
3.1. Sample
The study data were derived from a survey in 2022 for one month. A total of 1271 questionnaires were retrieved initially, and measures were taken to screen and remove invalid responses (n = 56) based on the following two criteria: (1) Unreasonable completion time, completion time within 120 s was deemed as too short for answering the questionnaire, casting doubts regarding the legitimacy of data. (2) Missing data, teacher responses with over 50% null answers were considered void without personal information, such as educational background. Among the remaining 1215 questionnaires, our further analysis revealed that submissions from rural schools were disproportionately larger than those from suburban and urban schools. To increase the representativity of the data, we used the random trimming approach to reduce the sample size of rural schools. Finally, we chose 1013 samples to carry out structural modelling analysis.
3.2. Participants
This survey was designed to examine the situation in the AI literacy of teachers in Jiangsu, China. The selected teachers from three educational stages: 57.5% (n = 581) work in primary education, 42.2% (n = 429) work in secondary education, and 0.3% (n = 3) taught in higher education. Selected participants were teachers who worked in formal schools from grade one to grade twelve in Jiangsu, having been a teacher at least for one year. A systematic random sampling of teachers was conducted, controlling for the number in the sample within different subjects. This study was conducted following ethical research codes and all respondents participated in the survey voluntarily.
As shown in Table 1, most of the participants were female. Considering the predominance of female participants in this study, gender did not lead to bias in this survey, as women are the majority of practitioners in the social sciences, especially in education [56]. As to educational stage, the participants were generally equal from primary and middle schools and a few came from high school. In terms of location, the number of participants decreased as near to the center of city. Judging from educational background and job title, the higher the level is, the smaller the number of participants was. Such pyramid-shaped distribution mirrors the teacher composition structure in China. The age of participants was roughly equally distributed among four parts.
Table 1.
Demographic information of the selected participants.
3.3. Instrument
To measure the level of teachers’ AI literacy, this study builds on and refines a set of criteria developed by Ng D et al. (2022), to translate what originally measured the ability to use AI resources to support teachers’ educational technology into teacher AI literacy. The selection included a total of 20 items that sought to collect information on four separate dimensions of teachers’ AI literacy with Knowing and Understanding AI (KUAI), Applying AI (AAI), Evaluating AI Application (EAIA), and AI Ethics (AIE). The scale of measurement follows a certain order (Likert scale, 5 points) from 1 (you have no AI literacy at all) to 5 (you dominate AI completely). Exploratory factor analysis was performed using the Oblimin rotation method for the data. The KMO test (Kaiser–Meyer–Olkin) was 0.968 and the Bartlett test was significant (χ2 = 28,200.756, p < 0.05). The final scale consisted of 20 items divided into four dimensions, among different dimensions, and the correlation of items was lower than 0.4. The survey provided information on teachers’ approaches and thoughts of Artificial Intelligence on various subjects and hence allows for the analysis of the influences of the development of teachers’ AI literacy, including KUAI, AAI, EAIA, and AIE. The complete questionnaire is listed in Appendix A.
In order to ensure the reliability of the study, all selected items in this scale were tested using Cronbach’s alpha and McDonald’s omega coefficients, and the corresponding results were obtained. Very satisfactory values were obtained for both coefficients. The Cronbach’s alpha and McDonald’s omega coefficients for this scale were tested to be 0.963 and 0.967, respectively. As Ravinder suggested, when the McDonald’s omega coefficient is greater than 0.9, it indicates a high quality of reliability of the study data [57]. The structural design was analyzed through the structural equations of the AMOS, which can be seen in detail in the Appendix A. In summary, the five points of the Likert scale were used to measure teachers’ level of AI literacy, which was recorded as two categorical values: above the moderate level of AI literacy (score of 3 or above) and below the moderate level of AI literacy (score of less than 3).
3.4. Data Analysis
We conducted two major approaches for the data analysis. The first approach was descriptive and correlational analysis. To descriptively analyze the current state of teachers’ intelligence literacy, descriptive statistics on teachers’ AI performance in different constructs. The correlational analysis was performed to explore the relationships among the measurement variables. The second approach was structural equation modelling (SEM) analysis to determine the validity of the hypotheses. The following four statistical indices were reported to assess the fitness of the model: Chi-square, CFI, SRMR, and RMSEA. A non-significant Chi-square also indicates a good fit for the model. The values for CFI greater than 0.9 indicated an acceptable fit; while RMSEA and SRMR lower than 0.08 indicated an adequate fit. The descriptive and correlational analysis was performed using IBM® SPSS® software platform (version 25), and the SEM analysis was performed in IBM® SPSS® Amos software (version 24).
4. Results
4.1. Descriptive and Correlational Statistics
Table 2 demonstrates the means, standard deviations, and correlations of the key constructs. According to Hu and Bentler (1999) [58], the basic statistical assumptions for structural equation modelling analysis were met in such a dataset. The mean ratings for Knowing and Understanding AI (KUAI), Applying AI (AAI), Evaluating AI Application (EAIA), and AI Ethics (AIE) were all above the neutral point (i.e., 3 on the five-point Likert scale), ranging from 3.45 to 4.01, and those constructs were moderately correlated with each other. Compared to other demographic elements, the factors of age reported a stronger correlation with KUAI, AAI, and EAIA.
Table 2.
Means, standard deviations, and correlations of the key constructs.
4.2. Measurement Model
Preliminary tests were conducted to check the validity of the items in four main constructs (UCAI, AAI, EAIA, and AIE), ensuring the good reliability and validity of the questionnaire. According to Sanchez (2013), an item with a factor loading greater than 0.7 indicates it can represent most of the latent construct [59]. Based on such criteria, we removed two items whose factor loading values were lower than 0.7 from the measurement of each part.
As Table 3 presents, the reliability and validity of items were calculated using Cronbach’s α. According to Nunnally (1978), the α value above 0.7 indicates a high reliability of measurement. In this study, all α values were greater than 0.7, suggesting an acceptable reliability for the questionnaire and its sub-sections [60].
Table 3.
Statistical summary of reliability and validity of the questionnaire.
4.3. Structural Model
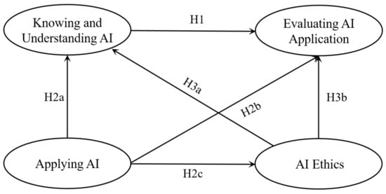
The interplay among demographic variables, Knowing and Understanding AI (KUAI), Applying AI (AAI), Evaluating AI Application (EAIA), and AI Ethics (AIE) and their impact on each other is demonstrated in Figure 2, with significant SEM results inserted. Moreover, we examined the model fit between the hypothesized model and empirical data. All the indices indicated good fit: CFI = 0.911, RMSEA = 0.079, and the Chi-square test (p < 0.001), as is shown in Table 4. We also adopted the standardized root mean square residual (SRMR) to evaluate the model fit cautiously, and the value of SRMR was lower than 0.08, which was acceptable, according to Hair et al. (2017) [61]. Thus, the structural relationships of our hypothesized model were well-supported by the empirical data.
Figure 2.
Structural model of the relationships among Knowing and Understanding AI, Applying AI, Evaluating AI Application, and AI Ethics.
Table 4.
Results of the fitness in the hypothesis model.
Based on the SEM results, the non-significant paths between variables were removed after we revised the hypothesized research model, while all statistically significant path coefficients in the model were inserted. As Figure 2 shows, the majority of the hypotheses were accepted except for a few non-significant paths (e.g., H3b). In addition, Table 5 demonstrates the standardized path coefficients and the direct effects in the hypothesized model.
Table 5.
Path coefficient estimates in the hypothesized model.
4.4. Hypotheses Testing Results
Based on the statistical results of the structural model, we tested the three main hypotheses proposed in this study, and the testing results and relevant statistics are listed in below:
Hypothesis 1. A positive correlation exists between Knowing and Understanding AI and Evaluating AI Application. (Supported): Hypothesis 1 is supported. Knowing and Understanding AI was a significant antecedent to evaluating and creating AI (β = 0.82, p < 0.001).
Hypothesis 2. Applying AI has a positive effect on Knowing and Understanding AI, Evaluating AI Application, and AI Ethics. (Supported): The estimates among four dimensions indicated that H2a, H2b, and H2c were supported. Appling AI had the least significant positive effects on evaluating and creating AI (β = 0.11, p < 0.001) and was lower than that of AI Ethics (β = 0.53, p < 0.001). Moreover, Applying AI had the most positive effect on Knowing and Understanding AI (β = 0.88, p < 0.001).
Hypothesis 3. AI Ethics has a positive effect on Knowing and Understanding AI and Evaluating AI Application. (Partially Supported): Hypothesis 3a was supported. Since the validity of H3b is lower than the standard, H3a was supported. AI Ethics positively affect Knowing and Understanding AI (β = 0.17, p < 0.001).
5. Discussion
The dilemmas faced by teachers in the rollout of AI cover a wide range of those that range from physical access to remote communication; may involve teaching and learning processes, such as face-to-face situations or the social imagery created around them; and may even affect the psychology of teachers and students. In these cases, as evidenced by multiple studies, AI can provide multitudinous benefits to transform the education mode [62,63]. Furthermore, this study shows that the majority of teachers are at a moderate to high level of AI literacy and have a relatively in-depth understanding of the use of AI resources in the classroom. These results converge with previous research findings, such as those of Batanero, J.M.F. (2019), and Holstein, K., et al. (2018), which calls for strengthening of AI training, thus teachers with an emphasis on diversity, to improve this level [64,65], especially based on different subjects and requirements.
In addition, this study predicted, in terms of data supporting Knowing and Understanding AI, that those variables which have a significant impact on the acquisition of AI application skills are highly specific and sensitive, through the analysis of structural models. In this sense, the significant hypothesis has been confirmed (correlations among four dimensions of AI literacy) and educational background is closely related to AI literacy (where the better the educational background, the higher is the degree of AI literacy related to teachers’ performance at class). Such a finding is likely due to the fact that most teachers in this study have not received AI education, thus their previous technological skills help them to know and understand AI better.
5.1. Varying Impact on Knowing and Understanding AI
Compared to the previous literature that emphasize the aspects of AI literacy, this study reveals that teachers’ Knowing and Understanding AI is largely determined by their Applying AI during the class (β = 0.88). One possible explanation is that, compared to primary and middle school teachers, adult educators have a greater disposition to engage in higher-level Knowing and Understanding AI activities during class teaching. The fact that AI Ethics has only a moderate effect on Knowing and Understanding AI is not acceptable (β = 0.17), which means except AI Ethics, there are other cultural or technical reasons behind the relationship. Such a discovery is consistent with Cetindamar’s study [66], Knowing and Understanding AI is influenced by multiple factors, and AI Ethics can be seen as a factor contributing to its enhancement. In fact, many Chinese teachers have insufficient resources to develop the AI literacy of Knowing and Understanding AI. Additionally, the sudden transition to AI education also posed technical challenges for sustaining teacher learning: many teacher training platforms were found to lack proper functions to support collaborative inquiry [67].
5.2. A Key Pathway of Influence
This study shows that teachers’ Applying AI can influence their AI literacy through perceived cognitive and social presence in teacher education. Among the various pathways, the path of “AAI→KUAI” “AAI→EAIA” “AAI→AIE” deserves special attention as it generates the positive effect. With the application of present AI technologies, AI educators should build on the focus on teachers’ pedagogical skills to guide elementary and secondary school teachers on how to use these emerging technologies in a disciplined and ethical manner, such as building machine learning models to educate students and foster their ethical values and responsibility. Compared to the study of Skantz-Åberg [68], this study finds that the training of teachers’ own literacy needs to be guided and practiced by a combination of basic knowledge, application skills, ethics, and other aspects. In conclusion, people should be put at the center of the principle to conceptualize AI literacy, an initiative that is crucial for the creation of an inclusive society in the future. In order to develop competent teachers who will compete in implementing AI in a reliable and proper way in their later careers, issues of responsibility, equity, transparency, and ethics must be prioritized by promoting computational technology in innovative and responsible ways, via leveraging technology-oriented disciplines.
6. Conclusions and Implications
In general terms, this study showed that the four dimensions of AI literacy of teachers are acceptable for the three educational stages analyzed. However, these stages do not supply enough inclusive and quality education. As such, a major restructuring of teacher education programs is needed to enable teachers to develop their AI literacy and work toward expert status. With respect to this, the analyzed model assumes the correlations among dimensions of AI literacy, implying the transformation of teachers’ AI cognition, teaching methods, structures, and suggestions regarding AI.
Moreover, the government should take action to cultivate teachers’ AI literacy, drawing up related policies or building some institutions for teacher education, which provided AI lessons: (1) Online platform allows teachers to study whenever and wherever; (2) weekly assignments for teachers’ practice at their own pace; and (3) a free choice of study time for courses. In this case, it is recommended that new AI technologies be incorporated into the training and teaching process and that appropriate assessment mechanisms must be developed to ensure that teachers understand the structure and principles of how this new technology works [69]. Teachers should also recognize that the use of new technologies, such as AI, can greatly help to enable teaching and collaboration with all teachers, but there is an equal need to be concerned about the divide that AI can create that will widen the gap between peers in a class. In order to improve teachers’ AI literacy, the choice of curriculum, contents, methods, and practice resources for special training should be diverse rather than conformist, as this may result in teachers’ agency not being valued [70,71].
Accordingly, the way in which training programs are designed to support the development of real competencies for teachers in digital societies needs to be rethought. Teacher training needs to be employed at all levels, apparently, as a continuous learning process, it utilizes the diverse dimensions of competence from technical domains to AI innovation [72,73]. The results of the study suggest the need to reconsider teacher AI training programs. Consequently, the variables analyzed, such as sex, location, educational background, age, and job title, should be taken into consideration when designing training programs. It has been shown that motivation and attitude towards AI is one of the important factors influencing AI literacy, which should be studied ahead of others, such as concepts or instructional content. AI application could be measured from the perspective of conceptual and pedagogical causes [74,75]. On the other side, teacher training programs should target fair opportunities for the male and female, breaking the AI sex gap that already exists. Resonably, the results obtained show that, as the level of education increases, the level decreases. Teachers’ AI literacy is one of the decisive factors for the development of primary education institutions. Elementary school students are the most vulnerable among the social group, and therefore elementary school teachers need a clear course of action to develop the AI literacy of their staff. Most importantly, the lack of teachers’ AI literacy can be attributed to the over-intellectualization of primary education and the focus on achievement at the expense of the learning and teaching process, resulting in the neglect of teachers’ AI literacy enhancement [76,77]. Concerning the above information, policies that integrate AI applications in an inclusive context are a solid guarantee for advancing teacher AI education. During teacher induction, attention should be paid to teachers’ considerations of AI ethics to prevent the development of a single-oriented educational model based on technology. Nevertheless, this should cover not only the devices used for AI applications in the classroom but also the developmental needs of how to design, modify, and improve AI applications according to the needs of the learners. In this circumstance, personalized programs for teacher education based on data models could be a path to fostering teachers’ AI literacy. The AI literacy of teachers will encourage teachers to develop new professional identities and sustain role transformation, so that they can better adapt to the changes of the intelligent era.
7. Limitations and Future Research
The present study has two limitations. One is survey sample selection: The sample from this study was not randomly selected and the majority of teachers were from rural areas in China. Therefore, the results obtained should not be generalized to all teacher populations in China. In future research, this weakness could be ameliorated by a probabilistic sample of each education stage, or conversely, if not possible, a purposeful sample to collect teachers’ perceptions of each education stage from different provinces (e.g., Shanghai, Zhejiang), from public and private schools or institutions as well. Like this, not only should an attempt be made to obtain a larger sample size, but there is also a need to cover every stage of education, different locations, and different types of schools so that the findings are also more representative and extrapolatable. The other limitation of the study lies in the fact that the data collected were one-time and quantitative in nature. Future research should use more complementary qualitative data to assist in the meaningful interpretation of statistical surveys. Consequently, we recommend more long-term studies being conducted to assess teachers’ sustainable development and draw more convincing conclusions regarding their relationship with AI literacy. However, we believe those limitations are insubstantial and do not affect the major conclusions of the current study.
Author Contributions
Conceptualization, L.Z. and H.L.; data curation, X.W.; writing—original draft preparation, X.W.; writing—review and editing, L.Z.; supervision, H.L. All authors have read and agreed to the published version of the manuscript.
Funding
This research was funded by China Children’s Center Children’s Artificial Intelligence Education Institute, grant number CNCCYJY202202.
Institutional Review Board Statement
The study was conducted in accordance with the Declaration of Helsinki, and approved by the Medical Ethics Committee of Jiangnan University (protocol code JNU20220901IRB12 and date of approval 16 September 2022).
Informed Consent Statement
Informed consent was obtained from all subjects involved in the study.
Data Availability Statement
Informed consent was obtained from all subjects involved in the study.
Conflicts of Interest
The authors declare no conflict of interest.
Appendix A. Questionnaire
Introduction: Greetings! We would like to invite you to participate in our survey on teachers’ Artificial Intelligence literacy in 2022. Please answer the following survey questions truthfully based on your self-perception. The information we collect from this survey will be used for research purpose only, and any personally information will be removed from all publications and presentations. Thank you for your participation!
Basic information
- 1.
- Your birth sex is
☐Male ☐Female
- 2.
- Your educational stage is
☐Primary
☐Middle
☐High
- 3.
- Your school location is
☐rural
☐suburban
☐urban
- 4.
- Your educational background is
☐Below Bachelor
☐Bachelor
☐Postgraduate
- 5.
- Your age is
☐≤30 years old
☐31–40 years old
☐41–50 years old
☐≥51 years old
- 6.
- Your job title is
☐Beginner
☐Intermediate
☐Deputy Senior
☐Senior
Knowing and Understanding AI
- I can distinguish between smart educational devices and non-smart educational devices.
- I know where educational AI can help me.
- I can identify AI technology in educational AI products or services.
- I feel comfortable when using educational AI products.
- I think teachers should actively learn to use intelligent technology to assist in education teaching.
Applying AI
- I can use educational AI products skillfully to help me with my daily teaching.
- I can learn new educational AI products relatively easily.
- I can use educational AI products to improve my work efficiency.
- I can support and guide students in using educational AI products.
- I am able to integrate educational AI technologies with curriculum instruction.
Evaluating AI Application
- After using the product or service, I am able to evaluate the functionality and effectiveness of the educational AI product or service.
- I am able to select the most appropriate solution from the various options offered by the educational AI product or service.
- I am able to select the appropriate educational AI product or service according to the specific educational task.
- I am able to select an AI assessment tool that matches student learning outcomes.
- I am able to use educational AI products or services to give feedback to students on their learning.
AI Ethics
- I always follow ethical principles when using educational AI products.
- I am alert to privacy and information security issues when using educational AI products.
- I am alert to the misuse of educational AI.
- I always consider ethical and security issues when applying educational AI technologies.
- I am able to detect ethical and moral violations during the application of educational AI in a timely manner.
References
- Gallardo-Montes, C.P.; Rodríguez Fuentes, A.; Caurcel Cara, M.J.; Capperucci, D. Functionality of Apps for People with Autism: Comparison between Educators from Florence and Granada. Int. J. Environ. Res. Public Health 2022, 19, 7019. [Google Scholar] [CrossRef] [PubMed]
- Chassignol, M.; Khoroshavin, A.; Klimova, A.; Bilyatdinova, A. Artificial Intelligence trends in education: A narrative overview. Procedia Comput. Sci. 2018, 136, 16–24. [Google Scholar] [CrossRef]
- Bjola, C. AI for development: Implications for theory and practice. Oxf. Dev. Stud. 2022, 50, 78–90. [Google Scholar] [CrossRef]
- Raisch, S.; Krakowski, S. Artificial Intelligence and management: The automation–augmentation paradox. Acad. Manag. Rev. 2021, 46, 192–210. [Google Scholar] [CrossRef]
- Burns, M.K.; Egan, A.M.; Kunkel, A.K.; McComas, J.; Peterson, M.M.; Rahn, N.L.; Wilson, J. Training for generalization and maintenance in rti implementation: Front-loading for sustainability. Learn. Disabil. Res. Pract. 2013, 28, 81–88. [Google Scholar] [CrossRef]
- Pacheco, N.C.; Aran, X.F.; Such, J. Attesting Digital Discrimination Using Norms. Int. J. Interact. Multimed. Artif. Intell. 2021, 6, 16–23. [Google Scholar]
- Appova, A.; Lee, H.J.; Bucci, T. Technology in the classroom: Banking education or opportunities to learn? Theory Into Pract. 2022, 61, 254–264. [Google Scholar] [CrossRef]
- Long, D.; Magerko, B. What is AI literacy? Competencies and design considerations. In Proceedings of the 2020 CHI Conference on Human Factors in Computing Systems, Honolulu, HI, USA, 25–30 April 2020; pp. 1–16. [Google Scholar]
- Ng, D.T.K.; Leung, J.K.L.; Chu, K.W.S.; Qiao, M.S. AI literacy: Definition, teaching, evaluation and ethical issues. Proc. Assoc. Inf. Sci. Technol. 2021, 58, 504–509. [Google Scholar] [CrossRef]
- Chen, M.; Zhou, C.; Wang, Y.; Li, Y. The role of school ICT construction and teacher information literacy in reducing teacher burnout: Based on SEM and fsQCA. Educ. Inf. Technol. 2022, 27, 8751–8770. [Google Scholar] [CrossRef]
- McBride, C. Children’s Literacy Development: A Cross-Cultural Perspective on Learning to Read and Write; Routledge: London, UK, 2015. [Google Scholar]
- Zhang, S.; Wang, X.; Qi, Y. Artificial Intelligence Empowers Education Evaluation: The New Concept and Core Elements of “Integration of Academic Evaluation”. China Distance Educ. 2021, 2, 1–8; + 16 + 76. [Google Scholar] [CrossRef]
- Hepworth, M.; Smith, M. Workplace information literacy for administrative staff in higher education. Aust. Libr. J. 2008, 57, 212–236. [Google Scholar] [CrossRef]
- Fraillon, J.; Schulz, W.; Ainley, J. International Computer and Information Literacy Study: Assessment Framework; International Association for the Evaluation of Educational Achievement: Amsterdam, The Netherlands, 2013; pp. 15–19. [Google Scholar]
- Barak, M. Science teacher education in the twenty-first century: A pedagogical framework for technology-integrated social constructivism. Res. Sci. Educ. 2017, 47, 283–303. [Google Scholar] [CrossRef]
- Cabero Almenara, J.; Fernández Batanero, J.M.; Barroso Osuna, J. Students of Teaching Degrees: ICTs and disabilities. Rev. Electrónica Investig. Educ. 2016, 18, 106–120. [Google Scholar]
- Hu, X.Y.; Xu, H.Y. Construction of Intelligent Education Literacy Framework for K-12 Teachers. Open Educ. Res. 2021, 4, 59–70. [Google Scholar] [CrossRef]
- Sharifi, A.; Ahmadi, M.; Ala, A. The impact of Artificial Intelligence and digital style on industry and energy post-COVID-19 pandemic. Environ. Sci. Pollut. Res. 2021, 28, 46964–46984. [Google Scholar] [CrossRef]
- Coghlan, S.; Miller, T.; Paterson, J. Good proctor or “big brother”? Ethics of online exam supervision technologies. Philos. Technol. 2021, 34, 1581–1606. [Google Scholar] [CrossRef]
- Ng, D.T.K.; Leung, J.K.L.; Chu, S.K.W.; Qiao, M.S. Conceptualizing AI literacy: An exploratory review. Comput. Educ. Artif. Intell. 2021, 2, 100041. [Google Scholar] [CrossRef]
- Tarman, B.; Kuran, B. Examination of the cognitive level of questions in social studies textbooks and the views of teachers based on bloom taxonomy. Educ. Sci.: Theory Pract. 2015, 15, 213–222. [Google Scholar]
- Agha, K.; Zhu, X.; Chikwa, G. Towards Academic Integrity: Using Bloom’s Taxonomy and Technology to Deter Cheating in Online Courses. In Technologies, Artificial Intelligence and the Future of Learning Post-COVID-19; Springer: Cham, Switzerland, 2022; pp. 447–466. [Google Scholar]
- Cope, B.; Kalantzis, M.; Searsmith, D. Artificial Intelligence for education: Knowledge and its assessment in AI-enabled learning ecologies. Educ. Philos. Theory 2021, 53, 1229–1245. [Google Scholar] [CrossRef]
- Acemoglu, D.; Restrepo, P. Artificial Intelligence, automation, and work. In The Economics of Artificial Intelligence: An Agenda; University of Chicago Press: Chicago, IL, USA, 2018; pp. 197–236. [Google Scholar]
- Kong, S.C.; Cheung, W.M.Y.; Zhang, G. Evaluation of an Artificial Intelligence literacy course for university students with diverse study backgrounds. Comput. Educ. Artif. Intell. 2021, 2, 100026. [Google Scholar] [CrossRef]
- Estevez, J.; Garate, G.; Graña, M. Gentle introduction to Artificial Intelligence for high-school students using scratch. IEEE Access 2019, 7, 179027–179036. [Google Scholar] [CrossRef]
- Williams, R.; Ali, S.; Devasia, N.; DiPaola, D.; Hong, J.; Kaputsos, S.P.; Jordan, B.; Breazeal, C. AI+ ethics curricula for middle school youth: Lessons learned from three project-based curricula. Int. J. Artif. Intell. Educ. 2022, 1–59. [Google Scholar] [CrossRef] [PubMed]
- Vazhayil, A.; Shetty, R.; Bhavani, R.R.; Akshay, N. Focusing on teacher education to introduce AI in schools: Perspectives and illustrative findings. In Proceedings of the 2019 IEEE Tenth International Conference on Technology for Education (T4E), Goa, India, 9–11 September 2019; IEEE: Piscataway, NJ, USA, 2019; pp. 71–77. [Google Scholar] [CrossRef]
- Edwards, C.; Edwards, A.; Spence, P.R.; Lin, X. I, teacher: Using Artificial Intelligence (AI) and social robots in communication and instruction. Commun. Educ. 2018, 67, 473–480. [Google Scholar] [CrossRef]
- Shanthamallu, U.S.; Spanias, A. Machine and Deep Learning Algorithms and Applications. Synth. Lect. Signal Process. 2021, 12, 1–123. [Google Scholar]
- De Cremer, D.; Kasparov, G. The ethical AI—Paradox: Why better technology needs more and not less human responsibility. AI Ethics 2022, 2, 1–4. [Google Scholar] [CrossRef]
- Baduge, S.K.; Thilakarathna, S.; Perera, J.S.; Arashpour, M.; Sharafi, P.; Teodosio, B.; Shringi, A.; Mendis, P. Artificial Intelligence and smart vision for building and construction 4.0: Machine and deep learning methods and applications. Autom. Constr. 2022, 141, 104440. [Google Scholar] [CrossRef]
- Ahmad, K.; Maabreh, M.; Ghaly, M.; Khan, K.; Qadir, J.; Al-Fuqaha, A. Developing future human-centered smart cities: Critical analysis of smart city security, Data management, and Ethical challenges. Comput. Sci. Rev. 2022, 43, 100452. [Google Scholar] [CrossRef]
- Holmes, W.; Porayska-Pomsta, K.; Holstein, K.; Sutherland, E.; Baker, T.; Shum, S.B.; Santos, O.C.; Rodrigo, M.T.; Cukurova, M.; Bittencourt, I.I.; et al. Ethics of AI in education: Towards a community-wide framework. Int. J. Artif. Intell. Educ. 2022, 32, 504–526. [Google Scholar] [CrossRef]
- Yang, S.J.H.; Ogata, H.; Matsui, T.; Yang, S.J.; Ogata, H.; Matsui, T.; Chen, N.-S. Human-centered Artificial Intelligence in education: Seeing the invisible through the visible. Comput. Educ. Artif. Intell. 2021, 2, 100008. [Google Scholar] [CrossRef]
- Wang, Y.; Liu, C.; Tu, Y.F. Factors Affecting the Adoption of AI-Based Applications in Higher Education. Educ. Technol. Soc. 2021, 24, 116–129. [Google Scholar]
- Zawacki-Richter, O.; Marín, V.I.; Bond, M.; Gouverneur, F. Systematic review of research on Artificial Intelligence applications in higher education–where are the educators? Int. J. Educ. Technol. High. Educ. 2019, 16, 1–27. [Google Scholar] [CrossRef]
- Sarker, I.H. Ai-based modeling: Techniques, applications and research issues towards automation, intelligent and smart systems. SN Comput. Sci. 2022, 3, 1–20. [Google Scholar] [CrossRef]
- How, M.L.; Cheah, S.M.; Khor, A.C.; Chan, Y.J. Artificial Intelligence-enhanced predictive insights for advancing financial inclusion: A human-centric ai-thinking approach. Big Data Cogn. Comput. 2020, 4, 8. [Google Scholar] [CrossRef]
- Rapanta, C.; Botturi, L.; Goodyear, P.; Guàrdia, L.; Koole, M. Online university teaching during and after the Covid-19 crisis: Refocusing teacher presence and learning activity. Postdigital Sci. Educ. 2020, 2, 923–945. [Google Scholar] [CrossRef]
- Huang, X. Aims for cultivating students’ key competencies based on Artificial Intelligence education in China. Educ. Inf. Technol. 2021, 26, 5127–5147. [Google Scholar] [CrossRef]
- Zhang, H.; Lee, I.; Ali, S.; DiPaola, D.; Cheng, Y.; Breazeal, C. Integrating Ethics and Career Futures with Technical Learning to Promote AI Literacy for Middle School Students: An Exploratory Study. Int. J. Artif. Intell. Educ. 2022, 1–35. [Google Scholar] [CrossRef]
- OECD, K. OECD Science, Technology and Innovation Outlook 2018; OECD Publishing: Paris, France, 2018. [Google Scholar]
- Wong, T.Y.; Sabanayagam, C. Strategies to tackle the global burden of diabetic retinopathy: From epidemiology to Artificial Intelligence. Ophthalmologica 2020, 243, 9–20. [Google Scholar] [CrossRef]
- Pereira, F.C.; Borysov, S.S. Machine learning fundamentals. In Mobility Patterns, Big Data and Transport Analytics; Elsevier: Amsterdam, The Netherlands, 2019; pp. 9–29. [Google Scholar]
- DeCoito, I.; Estaiteyeh, M. Transitioning to online teaching during the COVID-19 pandemic: An exploration of STEM teachers’ views, successes, and challenges. J. Sci. Educ. Technol. 2022, 31, 340–356. [Google Scholar] [CrossRef]
- Guo, J.; Hao, J.J. Teachers’ role orientation and literacy framework in the age of intelligence. China Electron. Educ. 2021, 6, 121–127. [Google Scholar]
- Mäkinen, M. Digital empowerment as a process for enhancing citizens’ participation. E-Learn. Digit. Media 2006, 3, 381–395. [Google Scholar] [CrossRef]
- Liu, B. Exploration on the intelligent education literacy of teachers in the era of Artificial Intelligence. Mod. Educ. Technol. 2020, 11, 12–18. [Google Scholar]
- Williams, T.A.; Pinto, C.A. Fundamentals of Human-Centric Artificial Intelligence (AI); COVA CCI: Williamsburg, VA, USA, 2020; pp. 3–12. [Google Scholar]
- Johnson, J. Artificial Intelligence & future warfare: Implications for international security. Def. Secur. Anal. 2019, 35, 147–169. [Google Scholar]
- Lee, H.S.; Lee, J. Applying Artificial Intelligence in physical education and future perspectives. Sustainability 2021, 13, 351. [Google Scholar] [CrossRef]
- Shah, C.; Anderson, T.; Hagen, L.; Zhang, Y. An iSchool approach to data science: Human-centered, socially responsible, and context-driven. J. Assoc. Inf. Sci. Technol. 2021, 72, 793–796. [Google Scholar] [CrossRef]
- Hagendorff, T. Blind spots in AI Ethics. AI and Ethics. 2022, 2, 851–867. [Google Scholar] [CrossRef]
- Carabantes, M. Smart Socio-Technical Environments: A Paternalistic and Humanistic Management Proposal. Philos. Technol. 2021, 34, 1531–1544. [Google Scholar] [CrossRef]
- Gialamas, V.; Nikolopoulou, K.; Koutromanos, G. Student teachers’ perceptions about the impact of internet usage on their learning and jobs. Comput. Educ. 2013, 62, 1–7. [Google Scholar] [CrossRef]
- Ravinder, E.B.; Saraswathi, A.B. Literature Review of Cronbach alpha coefficient (A) And Mcdonald’s Omega Coefficient (Ω). Eur. J. Mol. Clin. Med. 2020, 7, 2943–2949. [Google Scholar]
- Hu, L.T.; Bentler, P.M. Cutoff criteria for fit indexes in covariance structure analysis: Conventional criteria versus new alternatives. Struct. Equ. Model. 1999, 6, 1–55. [Google Scholar] [CrossRef]
- Sanchez, G. PLS Path Modelling with R; Trowchez Editions: Berkeley, CA, USA, 2013. [Google Scholar]
- Nunnally, J.C. Psychometric theory. Am. J. Educ. Res. 1978, 5, 83. [Google Scholar]
- Hair, J.F., Jr.; Matthews, L.M.; Matthews, R.L.; Sarstedt, M. PLS-SEM or CB-SEM: Updated guidelines on which method to use. Int. J. Multivar. Data Anal. 2017, 1, 107–123. [Google Scholar] [CrossRef]
- Vestrucci, A.; Lumbreras, S.; Oviedo, L. Can AI Help Us to Understand Belief? Sources, Advances, Limits, and Future Directions. Int. J. Interact. Multimedia Artif. Intell. 2021, 7, 24. [Google Scholar] [CrossRef]
- Bruggeman, B.; Garone, A.; Struyven, K.; Pynoo, B.; Tondeur, J. Exploring university teachers’ online education during COVID-19: Tensions between enthusiasm and stress. Comput. Educ. Open 2022, 3, 100095. [Google Scholar] [CrossRef]
- Batanero, J.M.F.; Rebollo, M.M.R.; Rueda, M.M. Impact of ICT on students with high abilities. Bibliographic review (2008–2018). Comput. Educ. 2019, 137, 48–58. [Google Scholar] [CrossRef]
- Holstein, K.; McLaren, B.M.; Aleven, V. Student learning benefits of a mixed-reality teacher awareness tool in AI-enhanced classrooms. In Proceedings of the International Conference on Artificial Intelligence in Education, London, UK, 27–30 June 2018; Springer: Cham, Switzerland, 2018; pp. 154–168. [Google Scholar]
- Cetindamar, D.; Kitto, K.; Wu, M.; Zhang, Y.; Abedin, B.; Knight, S. Explicating AI literacy of employees at digital workplaces. IEEE Trans. Eng. Manag. 2022, 1–13. [Google Scholar] [CrossRef]
- Iglesias-Pradas, S.; Hernández-García, Á.; Chaparro-Peláez, J.; Prieto, J.L. Emergency remote teaching and students’ academic performance in higher education during the COVID-19 pandemic: A case study. Comput. Hum. Behav. 2021, 119, 106713. [Google Scholar] [CrossRef]
- Skantz-Åberg, E.; Lantz-Andersson, A.; Lundin, M.; Williams, P. Teachers’ professional digital competence: An overview of conceptualisations in the literature. Cogent Educ. 2022, 9, 2063224. [Google Scholar] [CrossRef]
- Alam, A. Possibilities and Apprehensions in the Landscape of Artificial Intelligence in Education. In Proceedings of the 2021 International Conference on Computational Intelligence and Computing Applications (ICCICA), Nagpur, India, 26–27 November 2021; pp. 1–8. [Google Scholar]
- Ebell, C.; Baeza-Yates, R.; Benjamins, R.; Cai, H.; Coeckelbergh, M.; Duarte, T.; Hickok, M.; Jacquet, A.; Kim, A.; Krijger, J.; et al. Towards intellectual freedom in an AI Ethics Global Community. AI Ethics. 2021, 1, 131–138. [Google Scholar] [CrossRef]
- Steinert, Y.; Mann, K.; Centeno, A.; Dolmans, D.; Spencer, J.; Gelula, M.; Prideaux, D. A systematic review of faculty development initiatives designed to improve teaching effectiveness in medical education: BEME Guide No. 8. Med. Teach. 2006, 28, 497–526. [Google Scholar] [CrossRef]
- Bragg, L.A.; Walsh, C.; Heyeres, M. Successful design and delivery of online professional development for teachers: A systematic review of the literature. Comput. Educ. 2021, 166, 104158. [Google Scholar] [CrossRef]
- Atibuni, D.Z.; Manyiraho, D.; Nabitula, A.N. A Fourth Industrial Revolution Paradigm Shift in Teacher Education? Int. J. Afr. High. Educ. 2022, 9, 1–21. [Google Scholar] [CrossRef]
- De Camargo Pereira, M.A.; Felicetti, V.L. Developing competencies in higher education: Insights from a Brazilian higher education institution. Ind. High. Educ. 2022, 0, 09504222221112614. [Google Scholar] [CrossRef]
- Getie, A.S. Factors affecting the attitudes of students towards learning English as a foreign language. Cogent Educ. 2020, 7, 1738184. [Google Scholar] [CrossRef]
- Dilmurod, R.; Fazliddin, A. Prospects for the introduction of artificial intelligence technologies in higher education. ACADEMICIA: an international multidisciplinary research journal. 2021, 2, 929–934. [Google Scholar] [CrossRef]
- Papakonstantinou, A.; Batsaris, M.; Spondylidis, S.; Topouzelis, K. A citizen science unmanned aerial system data acquisition protocol and deep learning techniques for the automatic detection and mapping of marine litter concentrations in the coastal zone. Drones 2021, 5, 6. [Google Scholar] [CrossRef]
Publisher’s Note: MDPI stays neutral with regard to jurisdictional claims in published maps and institutional affiliations. |
© 2022 by the authors. Licensee MDPI, Basel, Switzerland. This article is an open access article distributed under the terms and conditions of the Creative Commons Attribution (CC BY) license (https://creativecommons.org/licenses/by/4.0/).

