Technological Developments and Remediation Mechanisms for Phytoremediation of PCB-Contaminated Soils
Abstract
1. Introduction
1.1. The Production and Prohibition of PCBs
1.2. The Physicochemical Properties and Hazards of PCBs
1.3. The Status of PCB-Contaminated Soil
1.4. The Comparison of Remediation Technologies for PCB-Contaminated Soil
1.4.1. The Physical Methods
1.4.2. The Chemical Methods
1.4.3. The Biological Methods
1.4.4. Composite Repair Technology
2. Technical Development of the Phytoremediation of PCB-Contaminated Soil
2.1. The Phytoremediation of PCB-Contaminated Soil by Plants
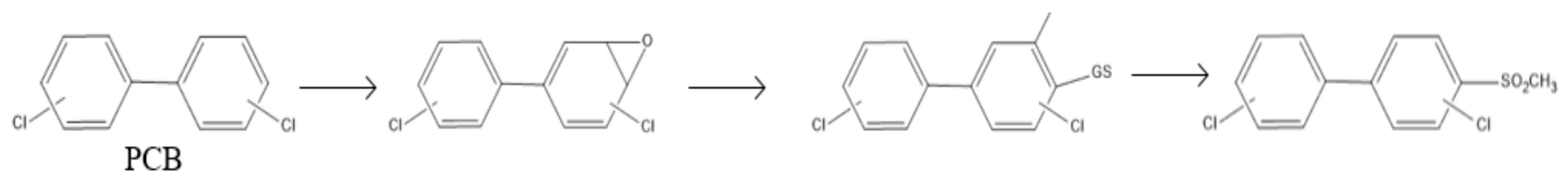
2.2. The Phytoremediation of PCB-Contaminated Soil by Secreting Degradation Enzymes
2.3. The Joint Remediation of PCB-Contaminated Soil by Plants and Microorganisms
3. The Environmental Factors Affecting Phytoremediation of PCB-Contaminated Soil
3.1. Structure of PCBs and Their Physicochemical Properties
3.1.1. Concentrations of PCB Homologs
3.1.2. Number and Substitution Positions of Cl in PCB Homologs
3.1.3. The Physicochemical Properties of PCB Homologs
3.2. Effects of Plant Characteristics on Phytoremediation of PCB-Contaminated Soil
3.2.1. Impacts of Plant Physical Properties
3.2.2. Influence of Plant Species
3.2.3. Types of Plant Roots
3.3. The Effects of External Environmental Factors on Phytoremediation of PCB-Contaminated Soil
3.3.1. Soil Particles
3.3.2. Soil Temperature
3.3.3. Soil pH
4. Transformation Mechanism of Endophytic Plants in Soil for Remediation of PCB Pollution
5. Conclusions and Outlook
Author Contributions
Funding
Institutional Review Board Statement
Informed Consent Statement
Data Availability Statement
Conflicts of Interest
References
- Grabowska, I. Polychlorinated biphenyls (PCBs) in Poland: Occurrence, determination and degradation. Pol. J. Environ. Stud. 2010, 19, 7–13. [Google Scholar]
- Xu, C.; Niu, L.L.; Zou, D.L.; Zhu, S.; Liu, W. Congener-specific composition of polychlorinated biphenyls (PCBs) in soil-air partitioning and the associated health risks. Sci. Total Environ. 2019, 684, 486–495. [Google Scholar] [CrossRef] [PubMed]
- Aslam, S.N.; Huber, C.; Asimakopoulos, A.G.; Steinnes, E.; Mikkelsen, O. Trace elements and Polychlorinated Biphenyls (PCBs) in Terrestrial Compartments of Svalbard, Norwegian Arctic. Sci. Total Environ. 2019, 685, 1127–1138. [Google Scholar] [CrossRef] [PubMed]
- Weber, R.; Watson, A.; Forter, M.; Oliaei, F. Review Article: Persistent organic pollutants and landfills—A review of past experiences and future challenges. Waste Manag. Res. 2011, 29, 107–121. [Google Scholar] [CrossRef] [PubMed]
- Raffetti, E.; Donato, F.; Palma, G.D.; Leonardi, L.; Magoni, M. Polychlorinated biphenyls (PCBs) and risk of hypertension: A population-based cohort study in a North Italian highly polluted area. Sci. Total Environ. 2020, 714, 136660. [Google Scholar] [CrossRef]
- Kartalović, B.; Mastanjević, K.; Novakov, N.; Vraneevi, J.; Peli, D.; Pulji, L.; Habschied, K. Organochlorine Pesticides and PCBs in Traditionally and Industrially Smoked Pork Meat Products from Bosnia and Herzegovina. Foods 2020, 9, 97. [Google Scholar] [CrossRef]
- Santos, L.L.; Miranda, D.; Hatje, V.; Albergaria-Barbosa, A. PCBs occurrence in marine bivalves and fish from Todos os Santos Bay, Bahia, Brazil. Mar. Pollut. Bull. 2020, 154, 111070. [Google Scholar] [CrossRef]
- Jönsson, A.; Gustafsson, O.; Axelman, J.; Sundberg, H. Global accounting of PCBs in the continental shelf sediments. Environ. Sci. Technol. 2003, 37, 245–255. [Google Scholar] [CrossRef]
- Tesi, G.O.; Iniaghe, P.O. Polychlorinated biphenyls in canned sardines in Nigeria and health risk assessment. Food Addit. Contam. B. 2020, 13, 200–206. [Google Scholar] [CrossRef]
- Benson, N.U.; Fred-Ahmadu, O.H.; Ekett, S.I.; Basil, M.O.; Ayejuyo, O.O. Occurrence, depth distribution and risk assessment of PAHs and PCBs in sediment cores of Lagos lagoon, Nigeria. Reg. Stud. Mar. Sci. 2020, 37, 101335. [Google Scholar] [CrossRef]
- Hulin, M.; Véronique, S.; Vasseur, P.; Mahe, A.; Jean-Charles, L. Health risk assessment to dioxins, furans and PCBs in young children: The first French evaluation. Food Chem. Toxicol. 2020, 139, 111292. [Google Scholar] [CrossRef] [PubMed]
- Savvateeva, B.O.D.; Leisner, J.; Hartmann, F.; Südekum, K.H.; Bernsmann, T.; Spolders, M.; Jahnke, A.; Lüth, A.; Röhe, I.; Numata, J.; et al. Transfer of Non-Dioxin-Like Polychlorinated Biphenyls (ndl-PCBs) from Feed and Soil into Hen Eggs. J. Agric. Food Chem. 2022, 70, 8955–8962. [Google Scholar]
- Stoll, G.C.; Carreira, R.D.; Massone, C.G. Polychlorinated biphenyls (PCBs) in water: Method development and application to river samples from a populated tropical urban area. Anal. Bioanal. Chem. 2020, 412, 2477–2486. [Google Scholar] [CrossRef] [PubMed]
- Corsolini, S.; Baroni, D.; Martellini, T.; Pala, N.; Cincinelli, A. PBDEs and PCBs in terrestrial ecosystems of the Victoria Land, Antarctica. Chemosphere 2019, 231, 233–239. [Google Scholar] [CrossRef] [PubMed]
- Marsan, E.S.; Bayse, C.A. Halogen Bonding Interactions of Polychlorinated Biphenyls and the Potential for Thyroid Disruption. Chem. Eur. J. 2020, 26, 5200–5207. [Google Scholar] [CrossRef]
- Li, M.; Wang, X.; Chu, Z.; Li, Y. Multiple-Site Molecular Modification of Dioxin-Like PCBs to Eliminate Bioconcentration. Pol. J. Environ. Stud. 2020, 30, 1655–1675. [Google Scholar] [CrossRef]
- Mikolajczyk, S.; Warenik, B.M.; Maszewski, S.; Pajurek, M. Dioxins and PCBs- Environment impact on freshwater fish contamination and risk to consumers. Environ. Pollut. 2020, 263, 114611. [Google Scholar] [CrossRef]
- Daewel, U.; Yakushev, E.V.; Schrum, C.; Nizzetto, L.; Mikheeva, E. Understanding the Role of Organic Matter Cycling for the Spatio-Temporal Structure of PCBs in the North Sea. Water 2020, 12, 817. [Google Scholar] [CrossRef]
- Deng, Z.C.; Han, X.B.; Chen, C.L.; Wang, H.; Zhang, C. The distribution characteristics of polychlorinated biphenyls (PCBs) in the surface sediments of Ross Sea and Drake Passage, Antarctica: A 192 congeners analysis. Mar. Pollut. Bull. 2020, 154, 111043. [Google Scholar] [CrossRef]
- Paine, J.M.; McKee, M.J.; Ryan, M.E. Toxicity and bioaccumulation of soil PCBs in crickets: Comparison of laboratory and field studies. Environ. Toxicol. Chem. 1993, 12, 2097–2103. [Google Scholar] [CrossRef]
- Baldassarri, L.T.; Abate, V.; Alivernini, S.; Battistelli, C.L.; Carasi, S.; Casella, M.; Iacovella, N.; Iamiceli, A.L.; Indelicato, A.; Scarcella, C.; et al. A study on PCB, PCDD/PCDF industrial contamination in a mixed urban-agricultural area significantly affecting the food chain and the human exposure. Part I: Soil and feed. Chemosphere 2007, 67, 1822–1830. [Google Scholar] [CrossRef]
- Correa, P.A.; Lin, L.S.; Just, C.L.; Hu, D.; Hornbuckle, K.C.; Schnoor, J.L.; Aken, B.V. The effects of individual PCB congeners on the soil bacterial community structure and the abundance of biphenyl dioxygenase genes. Environ. Int. 2010, 36, 901–906. [Google Scholar] [CrossRef] [PubMed]
- Parada, H.; Sun, X.Z.; Tse, C.K.; Engel, L.S.; Troester, M.A. Plasma levels of polychlorinated biphenyls (PCBs) and breast cancer mortality: The Carolina Breast Cancer Study. Int. J. Hyg. Environ. Health 2020, 227, 113522. [Google Scholar] [CrossRef] [PubMed]
- Liu, W.; Zhao, J.; Xu, S.; Liu, G.B.; Li, A.M. Concentrations, Sources, and Potential Human Health Risks of PCDD/Fs, dl-PCBs, and PAHs in Rural Atmosphere Around Chemical Plants in Jiangsu Province, China. Bull. Environ. Contam. Toxicol. 2020, 104, 846–851. [Google Scholar] [CrossRef] [PubMed]
- Capanni, F.; Juan, M.A.; Marsili, L.; Fossi, M.C.; Jiménez, B. Assessment of PCDD/Fs, dioxin-like PCBs and PBDEs in Mediterranean striped dolphins. Mar. Pollut. Bull. 2020, 156, 111207. [Google Scholar] [CrossRef] [PubMed]
- Sakn, A.E.; Yücel, T. Determination of fluxes and mass transfer coefficients of polychlorinated biphenyls (PCBs). Atmos. Pollut. Res. 2020, 11, 1379–1385. [Google Scholar] [CrossRef]
- Bamidele, A.; Kuton, M.P.; Iniobong, A.D.; Uchenna, N.D.; David, U.U. Bioaccumulation of Polychlorinated Biphenyls (PCBs) in Fish Host-Parasite Bentho-Pelagic Food Chain in Epe Lagoon, Lagos, Nigeria. Bull. Environ. Contam. Toxicol. 2020, 105, 770–776. [Google Scholar] [CrossRef]
- Ren, M.H.; Lv, Z.Y.; Xu, L.; Lu, Q.; Zhang, H. Partitioning and removal behaviors of PCDD/Fs, PCBs and PCNs in a modern municipal solid waste incineration system. Sci. Total Environ. 2020, 735, 139134. [Google Scholar] [CrossRef]
- Dat, N.D.; Huang, Y.J.; Hsu, Y.C.; Chang, M.B. Emission characteristics of dl-PCNs, PCDD/Fs, and dl-PCBs from secondary copper metallurgical plants: Control technology and policy. Chemosphere 2020, 253, 126651. [Google Scholar] [CrossRef]
- Hu, K.; Yu, H.; Li, Z.H.; Jin, G.; Jia, H.; Song, M.; Liu, Y. Human CYP2E1-activated mutagenicity of dioxin-like PCBs 105 and 118-Experimental data consistent with molecular docking results. Toxicology 2020, 437, 152438. [Google Scholar] [CrossRef]
- Khammar, S.; Bahramifar, N.; Younesi, H. Optimization using the response surface methodology for adsorption of polychlorinated biphenyls (PCBs) from transformer oil by magnetic CMCD-Fe3O4@SiO2 nanoparticles. Mater. Chem. Phys. 2020, 252, 123195. [Google Scholar] [CrossRef]
- Sadaoski, M.A.; Silvana, F.B.; Juan, E.V.; Fonseca, M.I.; Villalba, L.L. Bioprocess conditions for treating mineral transformer oils contaminated with polychlorinated biphenyls (PCBs). J. Environ. Chem. Eng. 2020, 8, 104068. [Google Scholar] [CrossRef]
- Teng, Y.; Zheng, M.; Luo, Y.; Gao, J.; Wu, L. Spatial distribution of soil pcbs congeners in typical area of yangtze river delta region. Chin. J. Environ. Sci. 2008, 29, 3477–3482. [Google Scholar]
- Xiao, L.; Pei, G.; Zhang, Q. Residual characteristics and source analysis of polychlorinated biphenyls in surface soil of the Jiefangzha irrigation area, Inner Mongolia, China. J. Agro-Environ. Sci. 2019, 38, 2772–2778. (In Chinese) [Google Scholar]
- Urbaniak, M.; Lee, S.; Takazawa, M.; Mierzejewska, E.; Baran, A.; Kannan, K. Effects of soil amendment with PCB-contaminated sediment on the growth of two cucurbit species. Environ. Sci. Pollut. Res. 2020, 27, 8872–8884. [Google Scholar] [CrossRef] [PubMed]
- Shi, J.; Qu, R.; Feng, M.; Wang, X.; Wang, L.; Yang, S.; Wang, Z. Oxidative degradation of decabromodiphenyl ether (BDE 209) by potassium permanganate: Reaction pathways, kinetics, and mechanisms assisted by density functional theory calculations. Environ. Sci. Technol. 2015, 49, 4209–4217. [Google Scholar] [CrossRef]
- Zhang, T. Mechanism of Degradation of Polychlorinated Biphenyls by Peroxymonosulfate Activated by Nano-FeSe2. Ph.D. Thesis, Anhui Univeristy of Science and Technology, Huainan, China, 2019. (In Chinese). [Google Scholar]
- Zhang, Z.; Su, Y.; Bi, X. Degradation of PCBs in methanol solution by microwave irradiation. Environ. Process. Chem. Ind. 2006, 26, 5–8. (In Chinese) [Google Scholar]
- Zhang, B.; Xiao, Y.; Zhang, M. New progress in treatment technology of polychlorinated biphenyls. Guangxi J. Light Ind. 2009, 25, 98–99. (In Chinese) [Google Scholar]
- Song, G. Isolation and identification of endophytic bacteria to degrade environmental polychlorinated biphenyls. Ph.D. Thesis, Hebei Agricultural University, Hebei, China, 2015. (In Chinese). [Google Scholar]
- Liu, J.; Li, Q.; Guo, S. Treatment of 2,4,5-trichlorobipheny| in soil with nanometer zero-valent iron and Na2S2O8 coupled with ultrasonic composite method. China Environ. Sci. 2018, 16, 2646–2651. (In Chinese) [Google Scholar]
- Gao, D.; Bu, C.; Cheng, G. Study on enhancement of polychlorinated biphenyls bioremediation by Fenton-like reagent pre-oxidation in soil. Mod. Chem. Ind. 2007, 27, 190–193. (In Chinese) [Google Scholar]
- Salimizadeh, M.; Shirvani, M.; Shariatmadari, H.; Nikaeen, M.; Leili, M. Coupling of bioaugmentation and phytoremediation to improve PCBs removal from a transformer oil-contaminated soil. Int. J. Phytoremediation 2018, 20, 658–665. [Google Scholar] [CrossRef] [PubMed]
- Ye, Z.; Li, H.X.; Jia, Y.Y.; Fan, J.; Shen, C. Supplementing resuscitation-promoting factor (Rpf) enhanced biodegradation of polychlorinated biphenyls (PCBs) by Rhodococcus biphenylivorans strain TG9T. Environ. Pollut. 2020, 263, 114488. [Google Scholar] [CrossRef] [PubMed]
- Bagnati, R.; Terzaghi, E.; Passoni, A.; Davoli, E.; Guardo, A.D. Identification of sulfonated and hydroxy-sulfonated PCB metabolites in soil: New classes of intermediate products of PCB degradation. Environ. Sci. Technol. 2019, 53, 10601–10611. [Google Scholar] [CrossRef]
- Xiao, M.; Li, X. Phytoremediation for co-contaminated soils of cadmium and polychlorinated biphenyls using ornamental plant tagetes patula. Sci. Technol. Eng. 2019, 19, 361–368. (In Chinese) [Google Scholar]
- Salimizadeh, M.; Shirvani, M.; Shariatmadari, H.; Mortazavi, M. Bentonite addition to a PCB-contaminated sandy soil improved the growth and phytoremediation efficiency of Zea mays L. and Alternanthera sessilis L. Int. J. Phytoremediation 2019, 22, 176–183. [Google Scholar] [CrossRef] [PubMed]
- De-Bashan, L.E.; Hernandez, J.P.; Bashan, Y. The potential contribution of plant growth-promoting bacteria to reduce environmental degradation—A comprehensive evaluation. Appl. Soil Ecol. 2012, 61, 171–189. [Google Scholar] [CrossRef]
- Terzaghi, E.; Vergani, L.; Mapelli, F.; Borin, S.; Guardo, A.D. Rhizoremediation of weathered PCBs in a heavily contaminated agricultural soil: Results of a biostimulation trial in semi field conditions. Sci. Total Environ. 2019, 686, 484–496. [Google Scholar] [CrossRef]
- Dong, J.; Mao, W.; Zhang, G.; Wu, F. Root excretion and plant tolerance to cadmium toxicity—A review. Plant Soil Environ. 2007, 53, 193–200. [Google Scholar] [CrossRef]
- Terzaghi, E.; Vitale, C.M.; Salina, G.; Guardo, A.D. Plants radically change the mobility of PCBs in soil: Role of different species and soil conditions. J. Hazard. Mat. 2019, 388, 121786. [Google Scholar] [CrossRef]
- Chen, Y.X.; Tang, X.J.; Cheema, S.A.; Liu, W.; Shen, W. Beta-cyclodextrin enhanced phytoremediation of aged PCBs-contaminated soil from e-waste recycling area. J. Environ. Monit. 2010, 12, 1482–1489. [Google Scholar] [CrossRef]
- Horváthová, H.; Lászlová, K.; Dercová, K. Bioremediation vs. nanoremediation: Degradation of polychlorinated biphenyls (PCBs) using integrated remediation approaches. Water Air Soil Pollut. 2019, 230, 204. [Google Scholar] [CrossRef]
- Aisien, F.A.; Aisien, E.T.; Oboh, I.O. Phytoremediation of Petroleum-Polluted Soils. Phytoremediation 2014, 1, 243–252. [Google Scholar]
- Van, A.B.; Correa, P.A.; Schnoor, J.L. Phytoremediation of polychlorinated biphenyls: New trends and promises. Environ. Sci. Technol. 2010, 44, 2767–2776. [Google Scholar]
- Feng, N.X.; Yu, J.; Zhao, H.M.; Cheng, Y. Efficient phytoremediation of organic contaminants in soils using plant-endophyte partnerships. Sci. Total Environ. 2017, 583, 352–368. [Google Scholar] [CrossRef] [PubMed]
- Schwitzguébel, J.P. Phytoremediation of soils contaminated by organic compounds: Hype, hope and facts. J. Soils Sediments 2017, 17, 1492–1502. [Google Scholar] [CrossRef]
- Zeeb, B.A.; Amphlett, J.; Rutter, A.; Reimer, K. Potential for phytoremediation of polychlorinated biphenyl-(PCB)-contaminated soil. Int. J. Phytoremediation 2006, 8, 199–221. [Google Scholar] [CrossRef] [PubMed]
- Chu, W.K.; Wong, M.H.; Zhang, J. Accumulation, distribution and transformation of DDT and PCBs by Phragmites australis and Oryza sativa L.: II. Enzyme study. Environ. Geochem. Health 2006, 28, 169–181. [Google Scholar] [CrossRef]
- Tu, C.; Teng, Y.; Luo, Y.; Ma, T.; Pan, C.; Li, Z.; Liu, W. Bioremediation mechanisms and technologies of PCBs-polluted farmland soils around e-wastes disassembling sites. Acta Pedol. Sin. 2012, 49, 373–381. (In Chinese) [Google Scholar]
- Chekol, T.; Vough, L.R.; Chancy, R.L. Phytoremediation of polychlorinated biphenyl-contaminated soils: The rhizosphere effect. Environ. Int. 2004, 30, 799–804. [Google Scholar] [CrossRef] [PubMed]
- Macková, M.; Macek, T.; Kuerová, P.; Burkhard, C.J.; Demnerová, K. Plant tissue cultures in model studies of transformation of polychlorinated biphenyls. Chem. Pap.-Slovak Acad. Sci. 1998, 52, 599–600. [Google Scholar]
- Kucerová, P.; Wiesche, C.; Wolter, M.; Macek, T.; Macková, Z.M. The ability of different plant species to remove polycyclic aromatic hydrocarbons and polychlorinated biphenyls from incubation media. Biotechnol. Lett. 2001, 23, 1355–1359. [Google Scholar] [CrossRef]
- Li, Y.; Liang, F.; Zhu, Y.F.; Wang, F. Phytoremediation of a PCB-contaminated soil by alfalfa and tall fescue single and mixed plants cultivation. J. Soil Sediment 2013, 13, 925–931. [Google Scholar] [CrossRef]
- Yuan, Q. Study on the Distribution of PCBs in Polluted Environmental Matrices and Its Plant Uptake and Translocation. M.D. Thesis, Northwest University, Xi’an, China, 2018. (In Chinese). [Google Scholar]
- Sharma, J.; Bhar, S.; Veerappapillai, S. Phytoremediation of Polychlorinated Biphenyls: A Brief Review. Res. J. Pharm. Biol. Chem. Sci. 2015, 6, 1466–1471. [Google Scholar]
- Chroma, L.; Mackova, M.; Kucerova, P.; Wiesche, C.; Burkhard, J.; Macek, T. Enzymes in Plant Metabolism of PCBs and PAHs. Acta Biotechnol. 2010, 22, 35–41. [Google Scholar] [CrossRef]
- Zhuo, P.; Wang, H.; Tian, F. The research advances on phytoremediation of soil contaminated by polychlorinated biphenyls. J. Gansu Norm. Coll. 2015, 20, 53–57. (In Chinese) [Google Scholar]
- Lee, S.H.; Lee, W.S.; Lee, C.H.; Kim, J. Degradation of phenanthrene and pyrene in rhizosphere of grasses and legumes. J. Hazard. Mat. 2008, 153, 892–898. [Google Scholar] [CrossRef]
- Magee, K.D.; Michael, A.; Ullah, H.; Dutta, S.K. Dechlorination of PCB in the presence of plant nitrate reductase. Environ. Toxicol. Pharmacol. 2008, 25, 144–147. [Google Scholar] [CrossRef]
- Terzaghi, E.; Zanardini, E.; Morosini, C.; Raspa, G.; Borin, S.; Mapelli, F.; Vergani, L.; Antonio, D. Rhizoremediation half-lives of PCBs: Role of congener composition, organic carbon forms, bioavailability, microbial activity, plant species and soil conditions, on the prediction of fate and persistence in soil. Sci. Total Environ. 2018, 612, 544–560. [Google Scholar] [CrossRef]
- Ren, C.G.; Kong, C.C.; Bian, B.; Liu, W.; Li, Y.; Luo, Y.; Xie, Z. Enhanced phytoremediation of soils contaminated with PAHs by arbuscular mycorrhiza and rhizobium. Int. J. Phytoremediation 2017, 19, 789–797. [Google Scholar] [CrossRef]
- Chaudhry, Q.; Blom-Zandstra, M.; Gupta, S.; Joner, E. Utilising the synergy between plants and rhizosphere microorganisms to enhance breakdown of organic pollutants in the environment. Environ. Sci. Pollut. Res. 2005, 12, 34–48. [Google Scholar] [CrossRef]
- Ullah, R.; Hadi, F.; Ahmad, S.; Jan, A.; Qiu, R. Phytoremediation of Lead and Chromium Contaminated Soil Improves with the Endogenous Phenolics and Proline Production in Parthenium, Cannabis, Euphorbia, and Rumex Species. Water Air Soil Pollut. 2019, 230, 40. [Google Scholar] [CrossRef]
- Passatore, L.; Rossetti, S.; Juwarkar, A.A.; Massacci, A. Phytoremediation and bioremediation of polychlorinated biphenyls (PCBs): State of knowledge and research perspectives. J. Hazard. Mat. 2014, 278, 189–202. [Google Scholar] [CrossRef] [PubMed]
- Dudášová, H.; Lukáčová, L.; Murínová, S.; Dercová, K. Effects of plant terpenes on biodegradation of polychlorinated biphenyls (PCBs). Int. Biodeterior. Biodegrad. 2012, 69, 23–27. [Google Scholar] [CrossRef]
- Ding, N.; Hayat, T.; Wang, J.; Wang, H.; Liu, X.; Xu, J. Responses of microbial community in rhizosphere soils when ryegrass was subjected to stress from PCBs. J. Soils Sediments 2011, 11, 1355–1362. [Google Scholar] [CrossRef]
- Ancona, V.; Caracciolo, A.B.; Grenni, P.; Di Lenola, M.; Campanale, C.; Calabrese, A.; Uricchio, V.F.; Mascolo, G.; Massacci, A. Plant-assisted bioremediation of a historically PCB and heavy metal-contaminated area in Southern Italy. New Biotechnol. 2017, 38, 65–73. [Google Scholar] [CrossRef] [PubMed]
- Teng, Y.; Luo, Y.; Gao, J.; Li, Z. Combined remediation effects of arbuscular mycorrhizai fungi-legumes-rhizobium symbiosis on pcbs contaminated soils. J. Environ. Sci. 2008, 29, 239–244. (In Chinese) [Google Scholar]
- Teng, Y.; Li, X.F.; Chen, T.; Zhang, M.; Wang, X.; Li, Z.; Luo, Y. Isolation of the PCB-degrading bacteria Mesorhizobium sp. ZY1 and its combined remediation with Astragalus sinicus L. for contaminated soil. Int. J. Phytoremediation 2016, 18, 141–149. [Google Scholar] [CrossRef]
- Pino, N.J.; Muera, L.M.; Peuela, G.A. Bioaugmentation with Immobilized Microorganisms to Enhance Phytoremediation of PCB-Contaminated Soil. J. Soil Contam. 2016, 25, 419–430. [Google Scholar] [CrossRef]
- Zhang, Y.; Yang, X.; Sun, C.; Wang, L. QSAR prediction of antagonistic activity of PCBs towards human PXR by using heuristic method and best subset modeling. Sci. China Chem. 2012, 55, 1459–1466. [Google Scholar] [CrossRef]
- Li, M.H.; Du, M.J.; Sun, R.H.; Zhang, W.H.; Li, Y. Application of a 2D-QSAR Model with a Sine Normalization Method for the Biodegradation of Fluoroquinolones to Poison Cyanobacteria. Environ. Sci. Pollut. Res. 2021, 28, 11302–11316. [Google Scholar] [CrossRef]
- Chu, Z.H.; Li, Y. Designing modified polybrominated diphenyl ether BDE-47, BDE-99, BDE-100, BDE-183, and BDE-209 molecules with decreased estrogenic activities using 3D-QSAR, pharmacophore models coupled with resolution V of the 210-3 fractional factorial design and molecular docking. J. Hazard. Mat. 2019, 364, 151–162. [Google Scholar]
- Kucerova, P.; Mackova, M.; Chroma, L.; Burkhard, J.; Tříska, J.; Demnerová, K.; Macek, T. Metabolism of polychlorinated biphenyls by Solanum nigrum hairy root clone SNC-90 and analysis of transformation products. Plant Soil 2000, 225, 109–125. [Google Scholar] [CrossRef]
- Groeger, A.W.; Fletcher, J.S. The influence of increasing chlorine content on the accumulation and metabolism of polychlorinated biphenyls by Paul’s Scarlet Rose. Bull. Environ. Contam. Toxcol. 1988, 39, 960–965. [Google Scholar] [CrossRef] [PubMed]
- Mackova, M.; Macek, T.; Kucerova, P.; Burkhard, J.; Pazlarova, J.; Demnerova, K. Degradation of polychlorinated biphenyls by hairy root culture of Solanum nigrum. Biotechnol. Lett. 1997, 19, 787–790. [Google Scholar] [CrossRef]
- Lee, I.; Fletcher, J.S. Involvement of mixed function oxidase systems in polychlorinated biphenyl metabolism by plant cells. Plant Cell Rep. 1992, 11, 97–100. [Google Scholar] [CrossRef]
- Shen, H. Bioremediation of Pcbs Contaminated Soil Using Wetland Plants and Land Farming. Master’s Thesis, Zhejiang University, Hangzhou, China, 2014. (In Chinese). [Google Scholar]
- Zhao, X.; Ren, L.; Zhuang, H. Study on biodegradation of polychlorinated biphenyls. Environ. Sci. Technol. 2007, 30, 94–97. (In Chinese) [Google Scholar]
- Du, K.; Xu, X. Research progress of environmental estrogens. Chin. Sci. Bull. 2000, 45, 2241–2251. (In Chinese) [Google Scholar]
- Böhme, F.; Welsh-Pausch, K.; McLachlaN, M.S. Uptake of airborne semivolatile organic compounds in agricultural plants: Field measurements of interspecies variability. Environ. Sci. Technol. 1999, 33, 1805–1813. [Google Scholar] [CrossRef]
- Cheng, L. Mechanism Studv of the Environmental Transformation and Degradation of PCBs Mediated by NOM. Ph.D. Thesis, Zhejiang University, Hangzhou, China, 2012. (In Chinese). [Google Scholar]
- Bi, X.; Chu, S.; Xu, X. Transport of PCBs in contaminated paddy fields. Acta Sci. Circumstantiae 2001, 21, 454–458. (In Chinese) [Google Scholar]
- Chi, X. Effect of Tea Saponins on Plant Absorption of Polychlorinated Biphenyls. Master’s Thesis, Zhejiang Gongshang University, Hangzhou, China, 2010. (In Chinese). [Google Scholar]
- Schnoor, J.L.; Light, L.A.; Mccutcheno, S.C.; Wolfe, N. Phytoremediation of organic and nutrient contaminants. Environ. Sci. Technol. 1995, 29, 318–323. [Google Scholar] [CrossRef]
- Tomas, M.; Katerina, F.; Lucie, K.; Lovecká, P.; Ryslava, E. Phytoremediation: Biological cleaning of a polluted environment. Rev. Environ. Health 2004, 19, 63–82. [Google Scholar]
- Xu, L.; Teng, Y.; Li, Z.G.; Norton, J.M.; Luo, Y.M. Enhanced removal of polychlorinated biphenyls from alfalfa rhizosphere soil in a field study: The impact of a rhizobial inoculum. Sci. Total Environ. 2010, 408, 1007–1013. [Google Scholar] [CrossRef] [PubMed]
- Nancy, J.P.; Luisa, M.M.; Gustavo, A.P. Phytoremediation of soil contaminated with PCBs using different plants and their associated microbial communities. Int. J. Phytoremediation 2019, 21, 316–324. [Google Scholar]
- Wilken, A.; Bock, C.; Bokern, M.; Harms, H. Metabolism of different PCB congeners in plant cell cultures. Environ. Toxicol. Chem. 1995, 14, 2017–2122. [Google Scholar] [CrossRef]
- Bruno, F.C.; Claudia, B.; Peter, S. Phytoremediation to Increase the Degradation of PCBs and PCDD/Fs. Environ. Sci. Pollut. Res. 2002, 9, 73–85. [Google Scholar]
- Tu, C.; Teng, Y.; Luo, Y.M.; Sun, X.; Deng, S.; Li, Z.; Liu, W.; Xu, Z. PCB removal, soil enzyme activities, and microbial community structures during the phytoremediation by alfalfa in field soils. J. Soils Sediments 2011, 11, 649–656. [Google Scholar] [CrossRef]
- Ding, N. Dissipation Process of Polychlorinated Biphenyls in Millimeter Rhizosphere and Mechanisms of Biological Responses to Pcbs Stress. Ph.D. Thesis, Zhejiang University, Hangzhou, China, 2012. (In Chinese). [Google Scholar]
- Wu, H.; Zheng, S. Effects of Eichhornia crassipes root exudates on phenol metabolism of Enterobacter sp.nov. J. Appl. Ecol. 1993, 4, 78–84. (In Chinese) [Google Scholar]
- Miao, X.; Zhou, Q. Some research progresses in influencing factors for the efficiency of contaminated soil phytoremediation. Chin. J. Ecol. 2015, 34, 870–877. (In Chinese) [Google Scholar]
- Lin, D.; Zhu, L.; Gao, Y. Main mechanism and affecting factors of phytoremediation of organic contaminated soil. Chin. J. Appl. Ecol. 2003, 14, 1799–1803. (In Chinese) [Google Scholar]
- Qiao, X.; Ma, S.; Hou, H. Effects of soil temperature on the growth of carex duriuscula in mu us bottomland. Chin. J. Ecol. 2019, 38, 2389–2396. (In Chinese) [Google Scholar]
- Du, J. Influencing Factors of Phytoremediation of Compound Polluted Soil and Its Interaction with Nano Materials. Ph.D. Thesis, Nankai University, Tianjin, China, 2015. (In Chinese). [Google Scholar]
- López, M.L.; Peralta-Videa, J.R.; Benitez, T.; Gardea-Torresdey, J. Enhancement of lead up take by alfalfa (Medicago sativa) using EDTA and a plant growth promoter. Chemosphere 2005, 61, 595–598. [Google Scholar] [CrossRef] [PubMed]
- Mo, L.; Zhang, Y.; Lin, Z.; Xing, Q.; Wu, J.; Luo, X.; Mai, B. Absorption, Translocation and Metabolism of Halogenated Organic Pollutants (HOPs) in Plants: A Review. Ecol. Environ. Sci. 2015, 24, 1582–1590. (In Chinese) [Google Scholar]
- Zhang, C.; Gu, Z.; Long, Y.; Shen, D. Phytoremediation of polychlorinated biphenyls contaminated soils: Mechanisms, hereditary defects and transgenic technology. Acta Agric. Nucleatae Sin. 2012, 26, 1094–1099. (In Chinese) [Google Scholar]
- Chroma, L.; Moeder, M.; Kucerova, P.; Macek, T.; Mackova, M. Plant enzymes in metabolism of polychlorinated biphenyls. Fresenius Environ. Bull. 2003, 12, 291–295. [Google Scholar]
- Köller, G.; Möder, M.; Czihal, K. Peroxidative degradation of selected PCBs: A mechanistic study. Chemsphere 2000, 41, 1827–1834. [Google Scholar] [CrossRef]
- Chroma, L.; Macek, T.; Demnerova, K.; Macková, M. Decolorization of RBBR by plant cells and correlation with the transformation of PCBs. Chemosphere 2002, 49, 739–748. [Google Scholar] [CrossRef]
- Kleopper, J.W.; Schipper, B.; Bakker, P. Proposed elimination of the term endorhizosphere. Phytopathology 1992, 82, 726–727. [Google Scholar]
- Pillips, L.A.; Germida, J.J.; Farrell, R.E.; Greer, C.W. Hydrocarbon degradation potential and activity of endophytic bacteria associated with prairie plants. Soil Biol. Biochem. 2008, 40, 3054–3064. [Google Scholar] [CrossRef]
- Germaine, K.J.; Keogh, E.; Ryan, D.; Dowling, D.N. Bacterial endophyte mediated naphthalene phytoprotection and phytoremediation. FEMS Microbiol. Lett. 2009, 296, 226–234. [Google Scholar] [CrossRef]
- Li, J.H.; Wang, E.T.; Chen, W.F.; Chen, W.X. Genetic diversity and potential for promotion of plant growth detected innodule endophytic bacteria of soybean grown in Heilongjiang province of China. Soil Biol. Biochem. 2008, 40, 238–246. [Google Scholar] [CrossRef]
- Sun, K.; Li, S. Feasibility analysis for mitigating the contamination of pops in crops through inoculation with functional endophytic bacteria. J. Agric. Res. Environ. 2017, 34, 397–404. (In Chinese) [Google Scholar]
- Waigi, M.G.; Kang, F.X.; Goikavi, C.; Ling, W.; Gao, Y. Phenanthrene biodegradation by sphingomonads and its application in the contaminated soils and sediments: A review. Int. Biodeter. Biodegrad. 2015, 104, 333–349. [Google Scholar] [CrossRef]



| Repair Technology | Cost | Repair Cycle | Development Stage | Environmental Impact |
|---|---|---|---|---|
| The physical method | High | Short | Practical application phase | Hidden danger of leakage, secondary pollution |
| The chemical method | High | Long | Experimental or practical application stage | Additives may cause secondary pollution, complex process |
| Microbial remediation technology | Medium | Long | Practical application phase | Susceptible to mutations, impact on the survival of indigenous microorganisms |
| Phytoremediation Technology | Low | Long | Practical application phase | Because of its environmental friendliness, it has great application prospects |
| The combined repair technology | Higher | longer | Experimental stage | Threats to indigenous microbial activity in soil |
Publisher’s Note: MDPI stays neutral with regard to jurisdictional claims in published maps and institutional affiliations. |
© 2022 by the authors. Licensee MDPI, Basel, Switzerland. This article is an open access article distributed under the terms and conditions of the Creative Commons Attribution (CC BY) license (https://creativecommons.org/licenses/by/4.0/).
Share and Cite
Li, M.; Sun, S. Technological Developments and Remediation Mechanisms for Phytoremediation of PCB-Contaminated Soils. Sustainability 2022, 14, 13582. https://doi.org/10.3390/su142013582
Li M, Sun S. Technological Developments and Remediation Mechanisms for Phytoremediation of PCB-Contaminated Soils. Sustainability. 2022; 14(20):13582. https://doi.org/10.3390/su142013582
Chicago/Turabian StyleLi, Minghao, and Shimei Sun. 2022. "Technological Developments and Remediation Mechanisms for Phytoremediation of PCB-Contaminated Soils" Sustainability 14, no. 20: 13582. https://doi.org/10.3390/su142013582
APA StyleLi, M., & Sun, S. (2022). Technological Developments and Remediation Mechanisms for Phytoremediation of PCB-Contaminated Soils. Sustainability, 14(20), 13582. https://doi.org/10.3390/su142013582
