Flexural Behavior of Portland Cement Mortars Reinforced with Hybrid Blends of Recycled Waste Fibers
Abstract
1. Introduction
2. Experimental Program
2.1. Materials Properties
2.2. Mortar Matrix
2.3. Casting and Curing
2.4. Test Methods
2.5. Assumptions and Limitations
3. Discussion of Test Results
3.1. Flow of Mortar
3.2. Compressive Strength of Mortar
3.3. Flexural Behavior of Mortar
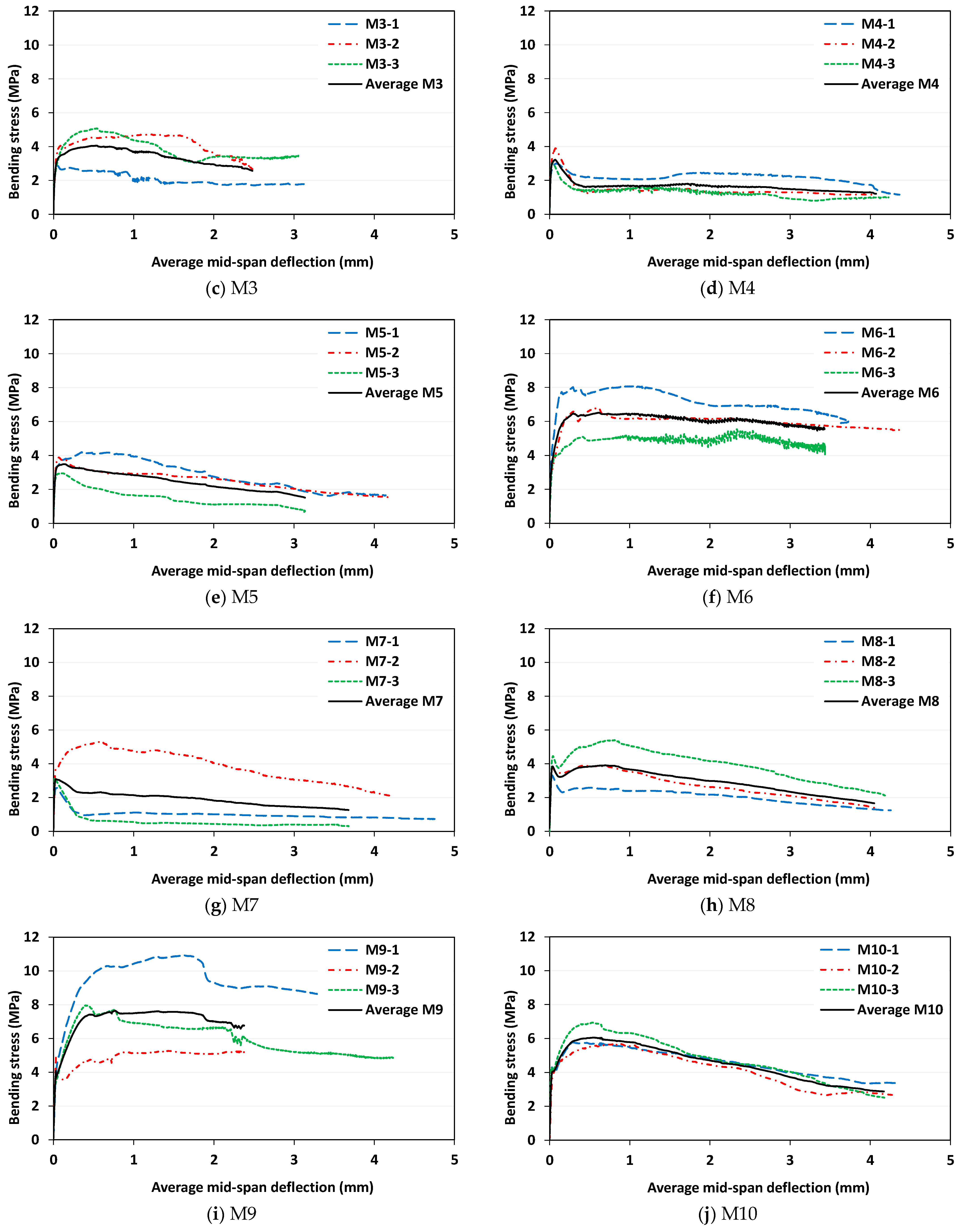
3.3.1. Flexural Strength
3.3.2. Flexural Toughness
4. Conclusions
- (1)
- Echo-friendly, unsorted, recycled fibers extracted from post-consumer tire steel and plastic wastes could be recommended for enhancing the flexural performance of cement-based composites at a lesser cost.
- (2)
- All the mortar mixes reinforced with hybrid blends of recycled fibers exhibited flexural behavior characterized by the occurrence of numerous fine cracks within the middle third of the specimens tested, followed by the formation of a major single crack at failure.
- (3)
- Both types of recycled fibers, RTSF and RPF, were effective in sustaining relatively high stress levels after the peak load. This is due to the crack arresting capability and gradual pullout of these fibers from the mortar matrix after cracking.
- (4)
- At the same total dosage of fibers, the flexural toughness of the mortar mix reinforced with a hybrid blend of fibers M10 (0.5% of RTSF and 0.5% of RPF), outperformed the flexural toughness of M2 by 146%, and achieved a flexural toughness of 88%, and 76% of the toughness of M6 and M9, respectively.
- (5)
- At the same total dosage of fibers, the mortar mixes reinforced with MSF showed up to a 6% drop in post-cracking strength at 2 mm deflection, compared to the post-cracking strength at 0.5 mm deflection, whereas the mixes reinforced with hybrid blends of RTSF and RPF showed up to a 29% drop in post-cracking strength at the same deflection limits.
- (6)
- Among the recycled fiber blends investigated, the mix containing 0.5% RTSF and 0.5% RPF (on volume basis) exhibited relatively superior flexural characteristics compared to the mixes reinforced with the same dosage of manufactured steel fibers (MSF) only.
Author Contributions
Funding
Institutional Review Board Statement
Informed Consent Statement
Data Availability Statement
Acknowledgments
Conflicts of Interest
References
- Naaman, A.E. Engineered steel fibers with optimal properties for reinforcement of cement composites. J. Adv. Concr. Technol. 2003, 1, 241–252. [Google Scholar] [CrossRef]
- Farooq, M.; Bhutta, A.; Banthia, N. Tensile performance of eco-friendly ductile geopolymer composites (EDGC) incorporating different micro-fibers. Cem. Concr. Compos. 2019, 103, 183–192. [Google Scholar] [CrossRef]
- Aiello, M.A.; Leuzzi, F.; Centonze, G.; Maffezzoli, A. Use of steel fibres recovered from waste tyres as reinforcement in concrete: Pull-out behaviour, compressive and flexural strength. Waste Manag. 2009, 29, 1960–1970. [Google Scholar] [CrossRef]
- Wang, C.; Yang, C.; Liu, F.; Wan, C.; Pu, X. Preparation of ultra-high performance concrete with common technology and materials. Cem. Concr. Compos. 2012, 34, 538–544. [Google Scholar]
- Hu, H.; Papastergiou, P.; Angelakopoulos, H.; Guadagnini, M.; Pilakoutas, K. Mechanical properties of SFRC using blended recycled tyre steel cords (RTSC) and recycled tyre steel fibres (RTSF). Constr. Build. Mater. 2018, 187, 553–564. [Google Scholar] [CrossRef]
- Alsaif, A.; Alharbi, Y.R. Strength, durability and shrinkage behaviours of steel fiber reinforced rubberized concrete. Constr. Build. Mater. 2022, 345, 128–295. [Google Scholar] [CrossRef]
- Graeff, A.G.; Pilakoutas, K.; Neocleous, K.; Peres, M.V.N. Fatigue resistance and cracking mechanism of concrete pavements reinforced with recycled steel fibres recovered from post-consumer tyres. Eng. Struct. 2012, 45, 385–395. [Google Scholar] [CrossRef]
- Al-Tulaian, B.; Al-Shannag, M.; Al-Hozaimy, A. Recycled plastic waste fibers for reinforcing Portland cement mortar. Constr. Build. Mater. 2016, 127, 102–110. [Google Scholar] [CrossRef]
- Randjbaran, E.; Majid, D.L.; Zahari, R.; Sultan, M.T. Mazlan, N. Impacts of volume of carbon nanotubes on bending for carbon-Kevlar hybrid fabrics. J. Appl. Comput. Mech. 2021, 7, 839–848. [Google Scholar]
- Attari, N.; Amziane, S.; Chemrouk, M. Flexural strengthening of concrete beams using CFRP, GFRP and hybrid FRP sheets. Constr. Build. Mater. 2012, 37, 746–757. [Google Scholar] [CrossRef]
- Alhozaimy, A.; Shannag, M. Performance of concretes reinforced with recycled plastic fibres. Mag. Concr. Res. 2009, 61, 293–298. [Google Scholar] [CrossRef]
- Isa, M.; Pilakoutas, K.; Guadagnini, M.; Angelakopoulos, H. Mechanical performance of affordable and eco-efficient ultra-high performance concrete (UHPC) containing recycled tyre steel fibres. Constr. Build. Mater. 2020, 255, 119–272. [Google Scholar] [CrossRef]
- Sivakumar, A.; Santhanam, M. Mechanical properties of high strength concrete reinforced with metallic and non-metallic fibres. Cem. Concr. Compos. 2007, 29, 603–608. [Google Scholar] [CrossRef]
- Naser, M.H.; Naser, F.H.; Dhahir, M.K. Tensile behavior of fiber reinforced cement mortar using wastes of electrical connections wires and galvanized binding wires. Constr. Build. Mater. 2020, 264, 120–244. [Google Scholar] [CrossRef]
- Caggiano, A.; Folino, P.; Lima, C.; Martinelli, E.; Pepe, M. On the mechanical response of hybrid fiber reinforced concrete with recycled and industrial steel fibers. Constr. Build. Mater. 2017, 147, 286–295. [Google Scholar] [CrossRef]
- Graeff, A. Long Term Performance of Recycled Steel Fibre Reinforced Concrete for Pavement Applications. Ph.D. Thesis, The University of Sheffield, Sheffield, UK, April 2011. [Google Scholar]
- Hu, H.; Papastergiou, P.; Angelakopoulos, H.; Guadagnini, M.; Pilakoutas, K. Mechanical properties of SFRC using blended manufactured and recycled tyre steel fibres. Constr. Build. Materials. 2018, 163, 376–389. [Google Scholar] [CrossRef]
- Younis, K.H.; Pilakoutas, K.; Guadagnini, M.; Angelakopoulos, H. Feasibility of Using Recycled Steel Fibres To Enhance the Behaviour of Recycled Aggregate Concrete. In Proceedings of the Fibre Reinforced Concrete: From Design to Structural Applications, Montreal, QC, Canada, 24–25 July 2014; pp. 598–608. Available online: https://www.researchgate.net/publication/296847629_Feasibility_of_Using_Recycled_Steel_Fibres_To_Enhance_the_Behaviour_of_Recycled_Aggregate_Concrete (accessed on 13 October 2022).
- Al-Kamyani, Z.; Figueiredo, F.P.; Hu, H.; Guadagnini, M.; Pilakoutas, K. Shrinkage and flexural behaviour of free and restrained hybrid steel fibre reinforced concrete. Constr. Build. Mater. 2018, 189, 1007–1018. [Google Scholar] [CrossRef]
- Banthia, N.; Soleimani, S.M. Flexural response of hybrid fiber-reinforced cementitious composites. ACI Mater. J. 2005, 102, 382. [Google Scholar]
- Li, Z.X.; Li, C.H.; Shi, Y.D.; Zhou, X.J. Experimental investigation on mechanical properties of Hybrid Fibre Reinforced Concrete. Constr. Build. Mater. 2017, 157, 930–942. [Google Scholar] [CrossRef]
- ASTM C150/C150M-22; Standard Specification for Portland Cement. ASTM International: West Conshohocken, PA, USA, 2022. Available online: https://www.astm.org/c0150-07.html (accessed on 13 October 2022).
- EN 1097-6; Tests for Mechanical and Physical Properties of Aggregates, Determination of Particle Density and Water Absorption. BSI: London, UK, 2013. Available online: https://standards.iteh.ai/catalog/standards/cen/7eb55eec-cf2d-449c-bdf5-45534b169181/en-1097-6-2022 (accessed on 13 October 2022).
- EN 1097-3; Tests for Mechanical and Physical Properties of Aggregates, Determination of Loose Bulk Density and Voids. BSI: London, UK, 1998. Available online: https://standards.iteh.ai/catalog/standards/cen/1e043df4-6c8e-423c-9ba7-3bcb715a6cf3/en-1097-3-1998 (accessed on 17 October 2022).
- C136/C136M-19; Standard Test Method for Sieve Analysis of Fine and Coarse Aggregates. ASTM International: West Conshohocken, PA, USA, 2019. Available online: https://www.astm.org/c0136-06.html (accessed on 13 October 2022).
- DCP. Technical Data Sheet-Dramix 3D 80/60BG. 2022. [Cited 10/10/2022]. Available online: https://dcp.bg/index.php?lng=en&p=prod43 (accessed on 21 September 2022).
- UFSD. Thin Wire Reinforcement for Concrete; British Patent Application: Sheffield, UK, 2001. [Google Scholar]
- ASTM C109/C109M-20; Standard Test Method for Compressive Strength of Hydraulic Cement Mortars (Using 2-in. or [50-mm] Cube Specimens). ASTM International: West Conshohocken, PA, USA, 2020. Available online: https://www.astm.org/c0109_c0109m-20.html (accessed on 13 October 2022).
- ASTM C1437-20; Standard Test Method for Flow of Hydraulic Cement Mortar. ASTM International: West Conshohocken, PA, USA, 2020. Available online: https://www.astm.org/c1437-15.html (accessed on 13 October 2022).
- EN 12390-3; Part3: Compressive Strength of Test Specimens. BSI: London, UK, 2019. Available online: https://knowledge.bsigroup.com/products/testing-hardened-concrete-compressive-strength-of-test-specimens-1/tracked-changes (accessed on 13 October 2022).
- ASTM C1609/C1609M-19a; Standard Test Method for Flexural Performance of Fiber-Reinforced Concrete (Using Beam With Third-Point Loading). ASTM International: West Conshohocken, PA, USA, 2019. Available online: https://www.astm.org/c1609_c1609m-12.html (accessed on 13 October 2022).
- Wang, Y.; Wu, H.; Li, V.C. Concrete reinforcement with recycled fibers. J. Mater. Civ. Eng. 2000, 12, 314–319. [Google Scholar] [CrossRef]
- Naaman, A.E.; Garcia, S.; Korkmaz, M.; Li, V.C. Investigation of the use of carpet waste PP fibers in concrete. In Materials for the New Millennium; ASCE, 1996; Available online: https://cedb.asce.org/CEDBsearch/record.jsp?dockey=0102945 (accessed on 13 October 2022).
- Alsaif, A.; Koutas, L.; Bernal, S.A.; Guadagnini, M.; Pilakoutas, K. Mechanical performance of steel fibre reinforced rubberised concrete for flexible concrete pavements. Constr. Build. Mater. 2018, 172, 533–543. [Google Scholar] [CrossRef]
- Alsaif, A.; Garciaa, R.; Figueiredoa, F.P.; Neocleousb, K.; Christofeb, A.; Guadagnini, M.; Pilakoutas, K. Fatigue Performance of Flexible Steel Fibre Reinforced Rubberised Concrete Pavement. Eng. Struct. 2019, 193, 170–183. [Google Scholar] [CrossRef]
- Al-musawi, H.; Huang, H.; Di Benedetti, M.; Guadagnini, M.; Pilakoutas, K. Effect of shrinkage on rapid hardening plain and recycled steel fibre concrete overlays. Cem. Concr. Compos. 2022, 125, 104246. [Google Scholar] [CrossRef]













| CaO | SiO2 | Al2O3 | Fe2O3 | SO3 | K2O | TiO2 | P2O5 | MgO | Na2O |
|---|---|---|---|---|---|---|---|---|---|
| 64.00% | 20.21% | 5.33% | 4.52% | 2.86% | 0.45% | 0.31% | 0.03% | 0.74% | 0.09% |
| Physical Properties | White Sand |
|---|---|
| Specific gravity (oven-dried basis) | 2.57 |
| Specific gravity (saturated surface-dried basis) | 2.58 |
| Absolute specific gravity | 2.59 |
| Water absorption after 24h, % | 0.30 |
| Loose bulk density, kg/m3 | 1543 |
| Fiber Type | Length (mm) | Diameter (mm) | Width (mm) | Density (g/cm3) | Tensile Strength (MPa) | Young’s Modulus (MPa) |
|---|---|---|---|---|---|---|
| MSF [26] | 60 | 0.75 | - | 7.8 | 1800 | 200,000 |
| RTSF [17,27] | 10–60 | <0.3 | - | 7.8 | ≈2570 | 200,000 |
| RPF (flat) [11] | 50 | 0.5 | 2.0 | 1.38 | 310 | 10,200 |
| Material | Weight | Unit |
|---|---|---|
| Cement Type 1 | 637 | kg/m3 |
| White sand 0/1 mm | 1274 | kg/m3 |
| Water | 319 | L/m3 |
| Mix # | Fibers Volumes | Fibers Quantity in kg | |||||
|---|---|---|---|---|---|---|---|
| MSF | RTSF | RPF | MSF | RTSF | RPF | ||
| M1 | - | - | - | 0.00 | 0.00 | 0.00 | |
| M2 | 0.50% | - | - | 1.18 | 0.00 | 0.00 | |
| M3 | - | 0.50% | - | 0.00 | 1.18 | 0.00 | |
| M4 | - | - | 0.50% | 0.00 | 0.00 | 0.21 | |
| M5 | - | 0.25% | 0.25% | 0.00 | 0.59 | 0.10 | |
| M6 | 0.75% | - | - | 1.78 | 0.00 | 0.00 | |
| M7 | - | 0.25% | 0.50% | 0.00 | 0.59 | 0.21 | |
| M8 | - | 0.50% | 0.25% | 0.00 | 1.18 | 0.10 | |
| M9 | 1.00% | - | - | 2.37 | 0.00 | 0.00 | |
| M10 | - | 0.50% | 0.50% | 0.00 | 1.18 | 0.21 | |
| Mix | (Kn) | (Mpa) | (Kn) | (Mpa) | (Kn) | (Mpa) | (J) |
|---|---|---|---|---|---|---|---|
| M1 (Stdev.) * | 8.7 (1.5) | 2.6 (0.4) | |||||
| M2 (Stdev.) | 9.8 (3.7) | 2.9 (1.1) | 6.6 (4.3) | 2.0 (1.3) | 7.6 (4.1) | 2.3 (1.2) | 14.6 (8.2) |
| M3 (Stdev.) | 14.0 (4.1) | 4.2 (1.2) | 13.5 (4.3) | 4.0 (1.3) | 9.8 (3.3) | 3.0 (1.0) | 23.8 (7.8) |
| M4 (Stdev.) | 11.0 (1.7) | 3.3 (0.5) | 5.5 (1.6) | 1.6 (0.5) | 5.7 (2.1) | 1.7 (0.6) | 12.1 (2.6) |
| M5 (Stdev.) | 15.3 (6.1) | 4.6 (1.8) | 12.8 (5.7) | 3.8 (1.7) | 9.0 (4.3) | 2.7 (1.3) | 22.8 (9.6) |
| M6 (Stdev.) | 22.7 (4.2) | 6.8 (1.3) | 21.3 (4.7) | 6.4 (1.4) | 20.2 (3.1) | 6.1 (0.9) | 40.9 (9.3) |
| M7 (Stdev.) | 12.3 (4.8) | 3.7 (1.5) | 7.6 (8.5) | 2.3 (2.5) | 6.1 (6.5) | 1.8 (1.9) | 14.7 (14.3) |
| M8 (Stdev.) | 14.0 (3.6) | 4.2 (1.1) | 12.8 (4.2) | 3.8 (1.3) | 10.0 (3.5) | 3.0 (1.0) | 23.3 (7.6) |
| M9 (Stdev.) | 26.8 (9.4) | 8.1 (2.8) | 24.6 (8.6) | 7.4 (2.6) | 23.4 (7.1) | 7.0 (2.1) | 47.3 (16.4) |
| M10 (Stdev.) | 20.4 (2.3) | 6.1 (0.7) | 20.1 (2.5) | 6.0 (0.7) | 15.7 (0.8) | 4.7 (0.2) | 36.0 (2.8) |
Publisher’s Note: MDPI stays neutral with regard to jurisdictional claims in published maps and institutional affiliations. |
© 2022 by the authors. Licensee MDPI, Basel, Switzerland. This article is an open access article distributed under the terms and conditions of the Creative Commons Attribution (CC BY) license (https://creativecommons.org/licenses/by/4.0/).
Share and Cite
Alsaif, A.; Alshannag, M. Flexural Behavior of Portland Cement Mortars Reinforced with Hybrid Blends of Recycled Waste Fibers. Sustainability 2022, 14, 13494. https://doi.org/10.3390/su142013494
Alsaif A, Alshannag M. Flexural Behavior of Portland Cement Mortars Reinforced with Hybrid Blends of Recycled Waste Fibers. Sustainability. 2022; 14(20):13494. https://doi.org/10.3390/su142013494
Chicago/Turabian StyleAlsaif, Abdulaziz, and Mohammad Alshannag. 2022. "Flexural Behavior of Portland Cement Mortars Reinforced with Hybrid Blends of Recycled Waste Fibers" Sustainability 14, no. 20: 13494. https://doi.org/10.3390/su142013494
APA StyleAlsaif, A., & Alshannag, M. (2022). Flexural Behavior of Portland Cement Mortars Reinforced with Hybrid Blends of Recycled Waste Fibers. Sustainability, 14(20), 13494. https://doi.org/10.3390/su142013494

