Addressing Random Variations in MWD Penetration Rate with the DPM Algorithm
Abstract
1. Introduction
2. The MWD Technique and Its Penetration Rate with Random Variations
2.1. Hydraulic Crawler Drilling Machine
2.2. MWD Penetration Rate and Its Random Variations with Depth
2.3. Random Variations in MWD Data with Depth
3. Addressing Random Variations in MWD Penetration Rate with the DPM Algorithm
3.1. The DPM Method
3.2. Replotting MWD Data with the DPM Algorithm
3.3. Removing the Gaps in the Curve of Bit Depth versus Drilling Time
3.4. DPM Penetration Rate from Linear Zone Analysis
3.5. Comparison between MWD and DPM Penetration Rates
3.6. Reason for the Difference between MWD and DPM Penetration Rates in Each Zone
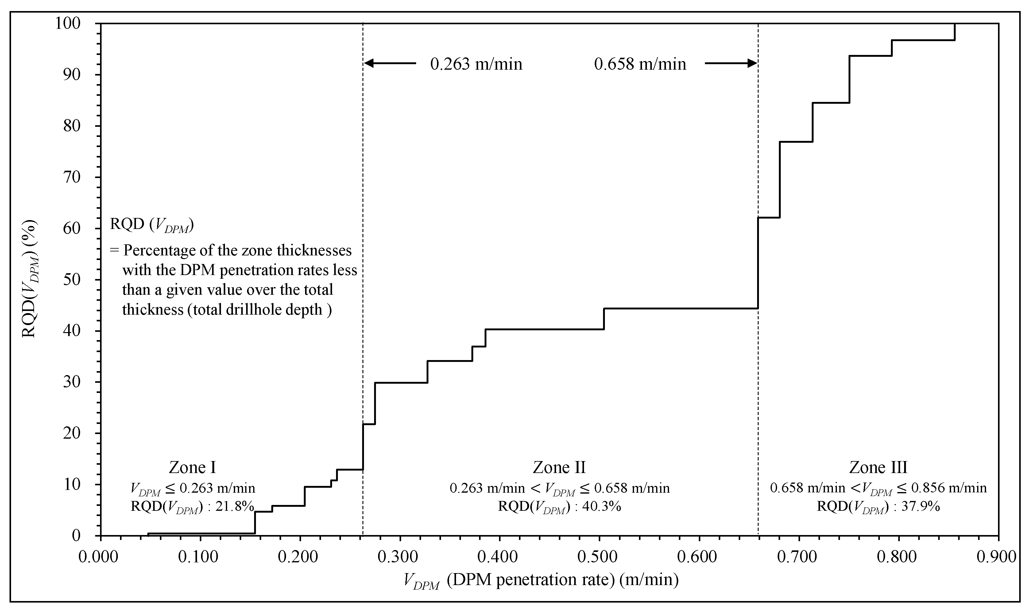
4. Further Statistical Analyses and Results for Random Variations in MWD Data
5. Using the DPM Algorithm to Profile Geomaterial Strength along the Drill Bit Depth
6. Conclusions
Author Contributions
Funding
Institutional Review Board Statement
Informed Consent Statement
Data Availability Statement
Conflicts of Interest
References
- Schunnesson, H. Rock characterisation using percussive drilling. Int. J. Rock Mech. Min. Sci. 1998, 35, 711–725. [Google Scholar] [CrossRef]
- Peck, J.; Vynne, J.F. Current status and future trends of monitoring technology for drills. In Proceedings of the International Mining Geology Conference, Kalgoorlie, Australia, 1 May 1993; pp. 311–325. [Google Scholar]
- Ghosh, R.; Schunnesson, H.; Kumar, U. Evaluation of Rock Mass Characteristics Using Measurement While Drilling in Boliden Minerals Aitik Copper Mine, Sweden. In Mine Planning and Equipment Selection, Proceedings of the 22nd MPES Conference, Dresden, Germany, 14–19 October 2013; Springer: Cham, Switzerland, 2014; pp. 81–91. [Google Scholar] [CrossRef]
- Qin, D.D.; Wang, X.F.; Zhang, D.S.; Guan, W.M.; Zhang, L.; Xu, M.T. Occurrence Characteristic and Mining Technology of Ultra-thick Coal Seam in Xinjiang, China. Sustainability 2019, 11, 6470. [Google Scholar] [CrossRef]
- Leung, R.; Scheding, S. Automated coal seam detection using a modulated specific energy measure in a monitor-while-drilling context. Int. J. Rock Mech. Min. Sci. 2015, 75, 196–209. [Google Scholar] [CrossRef]
- Navarro, J.; Sanchidrian, J.A.; Segarra, P.; Castedo, R.; Costamagna, E.; López, L.M. Detection of potential overbreak zones in tunnel blasting from MWD data. Tunn. Undergr. Space Technol. 2018, 82, 504–516. [Google Scholar] [CrossRef]
- Segui, J.B.; Higgins, M. Blast Design Using Measurement While Drilling Parameters. Fragblast 2002, 6, 287–299. [Google Scholar] [CrossRef]
- Smith, B. Improvements in Blast Fragmentation Using Measurement While Drilling Parameters. Fragblast 2002, 6, 301–310. [Google Scholar] [CrossRef]
- Teale, R. The concept of specific energy in rock drilling. Int. J. Rock Mech. Min. Sci. 1965, 2, 57–73. [Google Scholar] [CrossRef]
- Tsoutrelis, C.E. Determination of the compressive strength of rock in situ or in test blocks using a diamond drill. Int. J. Rock Mech. Min. Sci. 1969, 6, 311–321. [Google Scholar] [CrossRef]
- Leighton, J.C. Development of a Correlation between Rotary Drill Performance and Controlled Blasting Powder Factors. Ph.D. Thesis, University of British Columbia, Vancouver, BC, Canada, 1982. Volume 75, pp. 67–73. [Google Scholar]
- Sugawara, J.; Yue, Z.Q.; Tham, L.G.; Law, K.T.; Lee, C.F. Weathered rock characterization using drilling parameters. Can. Geotech. J. 2003, 40, 661–668. [Google Scholar] [CrossRef]
- Rai, P.; Schunesson, H.; Lindqvist, P.-A.; Kumar, U. An Overview on Measurement-While-Drilling Technique and its Scope in Excavation Industry. J. Inst. Eng. 2014, 96, 57–66. [Google Scholar] [CrossRef]
- Wang, S.F.; Tang, Y.; Cao, R.L.; Zhou, Z.L.; Cai, X. Regressive and Big-Data-Based Analyses of Rock Drillability Based on Drilling Process Monitoring (DPM) Parameters. Mathematics 2022, 10, 628. [Google Scholar] [CrossRef]
- Santamarina, J.C.; Fratta, D. Introduction to Discrete Signals and Inverse Problems in Civil Engineering; ASCE Press: Reston, VA, USA, 1998. [Google Scholar]
- Gui, M.W.; Soga, K.; Bolton, M.D.; Hamelin, J.P. Instrumented Borehole Drilling for Subsurface Investigation. J. Geotech. Geoenviron. Eng. 2002, 128, 283–291. [Google Scholar] [CrossRef]
- Gui, M.W.; Hamelin, J.P. Development of an instrumented borehole drilling system for ground investigation. Electron. J. Geotech. Eng. 2004, 9, 350. [Google Scholar]
- Gui, M.W. The Basics of Noise Detection and Filtering for Borehole Drilling Data. Open Civ. Eng. J. 2008, 2, 113–120. [Google Scholar] [CrossRef]
- Li, Z.; Itakura, K.I.; Ma, Y. Survey of measurement-while-drilling technology for small-diameter drilling machines. Electron. J. Geotech. Eng. 2014, 19, 10267–10282. [Google Scholar]
- van Eldert, J.; Schunnesson, H.; Johansson, D.; Saiang, D. Application of Measurement While Drilling Technology to Predict Rock Mass Quality and Rock Support for Tunnelling. Rock Mech. Rock Eng. 2020, 53, 1349–1358. [Google Scholar] [CrossRef]
- Silversides, K.L.; Melkumyan, A. Boundary identification and surface updates using MWD. Math. Geosci. 2021, 53, 1047–1071. [Google Scholar] [CrossRef]
- Yue, Z.Q.; Lee, C.F.; Law, K.T.; Tham, L.G.; Sugawara, J. Use of HKU drilling process monitor in slope stabilization. Chin. J. Rock Mech. Eng. 2002, 21, 1685–1690. [Google Scholar]
- Yue, Z.Q.; Lee, C.F.; Law, K.T.; Tham, L.G. Automatic monitoring of rotary-percussive drilling for ground characterization—Illustrated by a case example in Hong Kong. Int. J. Rock Mech. Min. Sci. 2004, 41, 573–612. [Google Scholar] [CrossRef]
- Yue, Z.Q. Drilling process monitoring for refining and upgrading rock mass quality classification methods. Chin. J. Rock Mech. Eng. 2014, 33, 1977–1996. [Google Scholar]
- Chen, J.; Gao, W.; Yue, Z.Q. Case study of drilling process monitoring from two adjacent holes with Two drills. In Proceedings of the 42nd U.S. Rock Mechanics Symposium (USRMS), San Francisco, CA, USA, 29 June–2 July 2008. [Google Scholar]
- Chen, J.; Yue, Z.Q. Ground characterization using breaking-action-based zoning analysis of rotary-percussive instrumented drilling. Int. J. Rock Mech. Min. Sci. 2015, 75, 33–43. [Google Scholar] [CrossRef]
- Wang, X.F.; Zhang, M.S.; Yue, Z.Q. In-situ digital profiling of soil to rock strength from drilling process monitoring of 200 m deep drillhole in loess ground. Int. J. Rock Mech. Min. Sci. 2021, 142, 104739. [Google Scholar] [CrossRef]
- Wang, X.F.; Peng, P.; Shan, Z.G.; Yue, Z.Q. In situ strength profiles along two adjacent vertical drillholes from digitalization of hydraulic rotary drilling. J. Rock Mech. Geotech. Eng. 2022. In Press. [Google Scholar] [CrossRef]
- Wu, S.Y.; Yue, Z.Q. Time Series Method for Analyzing MWD Data in Evaluation of Ground Conditions. Int. J. Rock Mech. Min. Sci. 2022. under review. Available online: https://papers.ssrn.com/sol3/papers.cfm?abstract_id=4229731 (accessed on 26 September 2022).
- Pfister, P. Recording drilling parameters in ground engineering. Int. J. Rock Mech. Min. Sci. 1985, 18, 16–21. [Google Scholar]
- Fortunati, F.; Pellegrino, G. The use of electronics in the management of site investigation and soil improvement works: Principles and applications, Geotechnical Site Characterization. In Proceedings of the First International Conference on Site Characterization (ISC98), Atlanta, GA, USA, 19–22 April 1998; pp. 359–364. [Google Scholar]
- Garassino, A.; Schinelli, M. Detection of cavities by monitored borehole dirlling (TMD). In Proceedings of the First International Conference on Site Characterization (ISC98), Atlanta, GA, USA, 19–22 April 1998; pp. 365–370. [Google Scholar]
- EN ISO 22476-15; Geotechnical Investigation and Testing—Field Testing. Part 15: Measuring While Drilling. CEN (European Committee for Standardization): Brussels, Belgium, 2016; p. 45.
- Deere, D.U. Technical description of rock cores for engineering purpose. Rock Mech. Eng. Geol. 1964, 1, 17–22. [Google Scholar]
- Patel, A. Characterization of cavities in rocks using drilling parameters. Int. J. Rock Mech. Min. Sci. 2013, 63, 122–130. [Google Scholar] [CrossRef]







| Zone No. | Zone Thickness (m) | DPM Penetration Rate (m/min) | MWD Penetration Rate (m/min) | The Relative Difference of Penetration Rates | |||
|---|---|---|---|---|---|---|---|
| Rate | Coefficient of Linear Correlation | Mean | Standard Deviation | Coefficient of Variation | |||
| 1 | 3.891 | 0.750 | 0.9997 | 0.799 | 0.350 | 43.8% | −6.5% |
| 2 | 0.208 | 0.231 | 0.9978 | 0.229 | 0.090 | 39.5% | 1.0% |
| 3 | 1.497 | 0.856 | 0.9990 | 0.836 | 0.216 | 25.8% | 2.3% |
| 4 | 0.550 | 0.237 | 0.9979 | 0.263 | 0.112 | 42.5% | −10.9% |
| 5 | 2.591 | 0.713 | 0.9986 | 0.719 | 0.182 | 25.3% | −0.9% |
| 6 | 0.995 | 0.327 | 0.9933 | 0.368 | 0.146 | 39.5% | −12.6% |
| 7 | 6.597 | 0.680 | 0.9995 | 0.720 | 0.182 | 25.2% | −5.8% |
| 8 | 0.184 | 0.172 | 0.9933 | 0.171 | 0.071 | 41.8% | 0.6% |
| 9 | 1.197 | 0.793 | 0.9924 | 0.790 | 0.245 | 31.0% | 0.4% |
| 10 | 2.241 | 0.275 | 0.9919 | 0.383 | 0.274 | 71.6% | −39.5% |
| 11 | 0.103 | 0.048 | 0.9921 | 0.078 | 0.050 | 64.9% | −62.5% |
| 12 | 0.810 | 0.386 | 0.9953 | 0.423 | 0.238 | 56.2% | −9.6% |
| 13 | 1.911 | 0.263 | 0.9982 | 0.264 | 0.155 | 58.5% | −0.5% |
| 14 | 7.299 | 0.658 | 0.9988 | 0.655 | 0.190 | 29.0% | 0.5% |
| 15 | 0.850 | 0.155 | 0.9909 | 0.231 | 0.193 | 83.5% | −49.4% |
| 16 | 0.762 | 0.372 | 0.9925 | 0.468 | 0.322 | 68.7% | −25.6% |
| 17 | 1.169 | 0.504 | 0.9983 | 0.545 | 0.261 | 47.9% | −8.0% |
| 18 | 0.852 | 0.205 | 0.9910 | 0.322 | 0.229 | 71.1% | −57.3% |
| Maximum | 7.299 | 0.856 | 0.9997 | 0.836 | 0.350 | 83.5% | 2.3% |
| Medium | 2.591 | 0.658 | 0.9986 | 0.655 | 0.190 | 39.5% | −5.8% |
| Mean | 3.696 | 0.535 | 0.9971 | 0.567 | 0.212 | 42.3% | −10.4% |
| Minimum | 0.103 | 0.048 | 0.9909 | 0.078 | 0.050 | 25.2% | −62.5% |
| Standard deviation | 2.616 | 0.219 | 0.0031 | 0.204 | 0.064 | 17.9% | 16.3% |
| Coefficient of variation | 70.8% | 40.9% | 0.3% | 35.9% | - | - | - |
| Zone No. | Thrust Pressure (MPa) | Rotation Speed (rpm) | Torque Pressure (MPa) | ||||||
|---|---|---|---|---|---|---|---|---|---|
| Mean | Standard Deviation | Coefficient of Variation | Mean | Standard Deviation | Coefficient of Variation | Mean | Standard Deviation | Coefficient of Variation | |
| 1 | 10.350 | 0.782 | 7.6% | 111.165 | 8.316 | 7.5% | 5.802 | 0.783 | 13.5% |
| 2 | 10.522 | 0.104 | 1.0% | 109.506 | 7.783 | 7.1% | 5.722 | 0.714 | 12.5% |
| 3 | 10.447 | 0.099 | 0.9% | 107.812 | 10.088 | 9.4% | 7.955 | 1.474 | 18.5% |
| 4 | 10.514 | 0.067 | 0.6% | 114.108 | 10.936 | 9.6% | 9.381 | 1.700 | 18.1% |
| 5 | 10.310 | 0.148 | 1.4% | 119.165 | 10.784 | 9.1% | 10.109 | 0.531 | 5.3% |
| 6 | 10.288 | 0.117 | 1.1% | 106.285 | 11.907 | 11.2% | 10.174 | 0.195 | 1.9% |
| 7 | 10.459 | 0.007 | 0.1% | 131.576 | 16.184 | 12.3% | 9.165 | 1.547 | 16.9% |
| 8 | 10.511 | 0.006 | 0.1% | 150.941 | 16.051 | 10.6% | 8.904 | 1.301 | 14.6% |
| 9 | 10.523 | 0.008 | 0.1% | 123.265 | 15.297 | 12.4% | 10.562 | 0.756 | 7.2% |
| 10 | 10.371 | 0.748 | 7.2% | 124.555 | 27.281 | 21.9% | 9.539 | 1.642 | 17.2% |
| 11 | 9.869 | 0.812 | 8.2% | 128.920 | 27.312 | 21.2% | 7.501 | 1.700 | 22.7% |
| 12 | 10.521 | 0.811 | 7.7% | 126.421 | 26.142 | 20.7% | 7.465 | 1.713 | 22.9% |
| 13 | 10.511 | 0.024 | 0.2% | 136.979 | 8.524 | 6.2% | 7.237 | 0.560 | 7.7% |
| 14 | 10.499 | 0.182 | 1.7% | 151.851 | 2.922 | 1.9% | 8.089 | 0.331 | 4.1% |
| 15 | 10.474 | 0.268 | 2.6% | 139.278 | 12.761 | 9.2% | 7.413 | 0.901 | 12.2% |
| 16 | 9.743 | 0.882 | 9.1% | 148.202 | 22.093 | 14.9% | 12.263 | 2.259 | 18.4% |
| 17 | 9.934 | 1.330 | 13.4% | 156.252 | 27.843 | 17.8% | 11.340 | 2.589 | 22.8% |
| 18 | 10.528 | 1.313 | 12.5% | 175.831 | 29.396 | 16.7% | 7.962 | 2.273 | 28.6% |
| Maximum | 10.528 | 1.330 | 13.4% | 175.831 | 29.396 | 21.9% | 12.263 | 2.589 | 28.6% |
| Medium | 10.459 | 0.182 | 1.7% | 131.576 | 10.936 | 9.4% | 8.089 | 0.783 | 13.5% |
| Mean | 10.408 | 0.340 | 3.3% | 132.685 | 13.258 | 10.1% | 8.549 | 1.064 | 12.3% |
| Minimum | 9.743 | 0.006 | 0.1% | 106.285 | 2.922 | 1.9% | 5.722 | 0.195 | 1.9% |
| Standard deviation | 0.162 | 0.394 | 3.9% | 17.027 | 8.158 | 5.9% | 1.507 | 0.664 | 6.9% |
| Coefficient of variation | 1.6% | - | - | 12.8% | - | - | 17.6% | - | - |
Publisher’s Note: MDPI stays neutral with regard to jurisdictional claims in published maps and institutional affiliations. |
© 2022 by the authors. Licensee MDPI, Basel, Switzerland. This article is an open access article distributed under the terms and conditions of the Creative Commons Attribution (CC BY) license (https://creativecommons.org/licenses/by/4.0/).
Share and Cite
Wu, S.; Wang, X.; Yue, Z.Q. Addressing Random Variations in MWD Penetration Rate with the DPM Algorithm. Sustainability 2022, 14, 13456. https://doi.org/10.3390/su142013456
Wu S, Wang X, Yue ZQ. Addressing Random Variations in MWD Penetration Rate with the DPM Algorithm. Sustainability. 2022; 14(20):13456. https://doi.org/10.3390/su142013456
Chicago/Turabian StyleWu, Siyuan, Xuefan Wang, and Zhongqi Quentin Yue. 2022. "Addressing Random Variations in MWD Penetration Rate with the DPM Algorithm" Sustainability 14, no. 20: 13456. https://doi.org/10.3390/su142013456
APA StyleWu, S., Wang, X., & Yue, Z. Q. (2022). Addressing Random Variations in MWD Penetration Rate with the DPM Algorithm. Sustainability, 14(20), 13456. https://doi.org/10.3390/su142013456

