A Layer-Based Relaxation Approach for Service Network Design
Abstract
1. Introduction
2. Literature Review
3. Problem Formulation
4. Solution Approach
5. Numerical Study
5.1. Numerical Results for Medium-Scale Instances
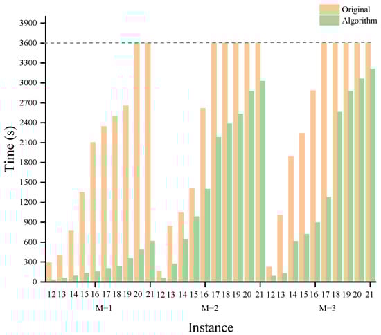
5.2. Computational Experience for Large-Scale Instances
6. Conclusions
Author Contributions
Funding
Institutional Review Board Statement
Informed Consent Statement
Data Availability Statement
Conflicts of Interest
Abbreviations
| Notations: | |
| Vehicle model set. | |
| Time period set. | |
| Terminal set. | |
| Time–space node set. | |
| O–D commodity set. | |
| Commodity k with origin o and destination d, | |
| Arc set of the time-space network, | |
| Service arc set. | |
| Waiting arc set. | |
| Rotation arc set. | |
| Arc set for commodity transportation. | |
| Arc set for vehicle model . | |
| Arc set for delivering commodity k. | |
| Volume of commodity k. | |
| Operational cost for vehicle model to select arc . | |
| Unit flow cost of arc for commodity k. | |
| Capacity of vehicle model . | |
| Decision variables: | |
| The quantity of vehicle model v on arc , | |
| The volume of O–D commodity k on arc . |
References
- Hewitt, M. The Flexible Scheduled Service Network Design Problem. Transp. Sci. 2022, 56, 799–1110. [Google Scholar] [CrossRef]
- Wieberneit, N. Service network design for freight transportation: A review. OR Spectr. 2008, 30, 77–112. [Google Scholar] [CrossRef]
- Lanza, G.; Crainic, T.G.; Rei, W.; Ricciardi, N. Scheduled service network design with quality targets and stochastic travel times. Eur. J. Oper. Res. 2021, 288, 30–46. [Google Scholar] [CrossRef]
- Li, X.; Ding, Y.; Pan, K.; Jiang, D.; Aneja, Y.P. Single-path service network design problem with resource constraints. Transp. Res. Part E Logist. Transp. Rev. 2020, 140, 101945. [Google Scholar] [CrossRef]
- Chouman, M.; Crainic, T.G. Freight Railroad Service Network Design. In Network Design with Applications to Transportation and Logistics; Springer: Cham, Switzerland, 2021; pp. 383–426. [Google Scholar]
- Fontaine, P.; Crainic, T.G.; Jabali, O.; Rei, W. Scheduled service network design with resource management for two-tier multimodal city logistics. Eur. J. Oper. Res. 2021, 294, 558–570. [Google Scholar] [CrossRef]
- Crainic, T.G.; Hewitt, M.; Toulouse, M.; Vu, D.M. Service network design with resource constraints. Transp. Sci. 2016, 50, 1380–1393. [Google Scholar] [CrossRef]
- Pedersen, M.B.; Crainic, T.G.; Madsen, O.B. Models and tabu search metaheuristics for service network design with asset-balance requirements. Transp. Sci. 2009, 43, 158–177. [Google Scholar] [CrossRef]
- Hewitt, M.; Crainic, T.G.; Nowak, M.; Rei, W. Scheduled service network design with resource acquisition and management under uncertainty. Transp. Res. Part B Methodol. 2019, 128, 324–343. [Google Scholar] [CrossRef]
- Crainic, T.G.; Hewitt, M. Service network design. In Network Design with Applications to Transportation and Logistics; Springer: Cham, Switzerland, 2021; pp. 347–382. [Google Scholar]
- Wu, X.; Lü, Z.; Glover, Z. A matheuristic for a telecommunication network design problem with traffic grooming. Omega 2020, 90, 102003. [Google Scholar] [CrossRef]
- Belieres, S.; Hewitt, M.; Jozefowiez, N.; Semet, F.; Van Woensel, T. A Benders decomposition-based approach for logistics service network design. Eur. J. Oper. Res. 2020, 286, 523–537. [Google Scholar] [CrossRef]
- Niari, M.R.; Eshgi, K.; Valilai, O.F. Topology analysis of manufacturing service supply–demand hyper-network considering QoS properties in the cloud manufacturing system. Robot. Comput. Integr. Manuf. 2021, 72, 102205. [Google Scholar] [CrossRef]
- Aslaksen, I.E.; Svanberg, E.; Fagerholt, K.; Johnsen, L.C.; Meisel, F. Ferry Service Network Design for Kiel fjord. In Proceedings of the 11th International Conference on Computational Logistics, Enschede, The Netherlands, 28–30 September 2020; Springer: Cham, Switzerland, 2020. [Google Scholar]
- Chu, X.; Shao, S.; Xu, S.X.; Kang, K. Data-driven ferry network design with candidate service arcs: The case of Zhuhai Islands in China. Marit. Policy Manag. 2020, 47, 598–614. [Google Scholar] [CrossRef]
- Zhao, R.; Liu, W.; Zhang, F.; Koo, T.T.; Lodewijks, G. Passenger shuttle service network design in an airport. Transp. B Transp. Dyn. 2022, 10, 1099–1125. [Google Scholar] [CrossRef]
- Martin, F.; Hemmelmayr, V.C.; Wakolbinger, T. Integrated express shipment service network design with customer choice and endogenous delivery time restrictions. Eur. J. Oper. Res. 2021, 294, 590–603. [Google Scholar] [CrossRef]
- Liu, S.; Lin, B.; Wu, J.; Zhao, Y. Modeling the service network design problem in railway express shipment delivery. Symmetry 2018, 10, 391. [Google Scholar] [CrossRef]
- Pérez, J.M.Q.; Lange, J.C.; Tancrez, J.S. A multi-hub express shipment service network design model with flexible hub assignment. Transp. Res. Part E Logist. Transp. Rev. 2018, 120, 116–131. [Google Scholar] [CrossRef]
- Laaziz, E.H.; Sbihi, N. A service network design model for an intermodal rail-road freight forwarder. Int. J. Logist. Syst. Manag. 2019, 32, 465–482. [Google Scholar] [CrossRef]
- Lulli, G.; Pietropaoli, U.; Ricciardi, N. Service network design for freight railway transportation: The Italian case. J. Oper. Res. Soc. 2011, 62, 2107–2119. [Google Scholar] [CrossRef]
- Zhu, E.; Crainic, T.G.; Gendreau, M. Scheduled service network design for freight rail transportation. Oper. Res. 2014, 62, 383–400. [Google Scholar] [CrossRef]
- Diao, X.; Chen, C.-H. A sequence model for air traffic flow management rerouting problem. Transp. Res. Part E Logist. Transp. Rev. 2018, 110, 15–30. [Google Scholar] [CrossRef]
- Diao, X.; Lu, S. Optimization approach to data-driven air traffic flow management. Transp. Res. Rec. 2022, 3, 398–404. [Google Scholar] [CrossRef]
- Inghels, D.; Dullaert, W.; Vigo, D. A service network design model for multimodal municipal solid waste transport. Eur. J. Oper. Res. 2016, 254, 68–79. [Google Scholar] [CrossRef]
- Elbert, R.; Rentschler, J.; Schwarz, J. Combined Hub Location and Service Network Design Problem: A Case Study for an Intermodal Rail Operator and Structural Analysis. Transp. Res. Rec. 2022, 03611981221101391. [Google Scholar] [CrossRef]
- Tawfik, C.; Limbourg, S. Scenario-based analysis for intermodal transport in the context of service network design models. Transp. Res. Interdiscip. Perspect. 2019, 2, 100036. [Google Scholar] [CrossRef]
- van Riessen, B.; Negenborn, R.; Dekker, R.; Lodewijks, G. Service Network Design for an Intermodal Container Network with Flexible due Dates/Times and the Possibility of Using Subcontracted Transport. No. EI2013-17; Erasmus School of Economics: Rotterdam, The Netherlands, 2013. [Google Scholar]
- Medina, J.; Hewitt, M.; Lehuede, F.; Peton, O. Integrating long-haul and local transportation planning: The service network design and routing problem. EURO J. Transp. Logist. 2019, 8, 119–145. [Google Scholar] [CrossRef]
- Scherr, Y.O.; Saavedra, B.A.N.; Hewitt, M.; Mattfeld, D.C. Service network design with mixed autonomous fleets. Transp. Res. Part E Logist. Transp. Rev. 2019, 124, 40–55. [Google Scholar] [CrossRef]
- Wang, Z.; Qi, M.; Cheng, C.; Zhang, C. A hybrid algorithm for large-scale service network design considering a heterogeneous fleet. Eur. J. Oper. Res. 2019, 276, 483–494. [Google Scholar] [CrossRef]
- Poursoltan, L.; Seyed-Hosseini, S.-M.; Jabbarzadeh, A. Green Closed-Loop Supply Chain Network under the COVID-19 Pandemic. Sustainability 2021, 13, 9407. [Google Scholar] [CrossRef]
- Sirilertsuwan, P.; Thomassey, S.; Zeng, X. A Strategic Location Decision-Making Approach for Multi-Tier Supply Chain Sustainability. Sustainability 2020, 12, 8340. [Google Scholar] [CrossRef]
- Ibnoulouafi, E.M.; Oudani, M.; Aouam, T.; Ghogho, M. Intermodal Green p-Hub Median Problem with Incomplete Hub-Network. Sustainability 2022, 14, 11714. [Google Scholar] [CrossRef]
- Dong, M.; Li, Y.; Xu, X.; Zha, Y. A Practical Accessibility Evaluation Method for Port-Centric Coal Transportation Chains: Considering the Environment and Operational Adaptability. Sustainability 2022, 14, 11619. [Google Scholar] [CrossRef]
- Dahlgren, S.; Ammenberg, J. Environmental Considerations Regarding Freight Transport among Buyers of Transport Services in Sweden. Sustainability 2022, 14, 11244. [Google Scholar] [CrossRef]
- Liu, Y.; Zhang, H.; Xu, T.; Chen, Y. A Heuristic Algorithm Based on Travel Demand for Transit Network Design. Sustainability 2022, 14, 11097. [Google Scholar] [CrossRef]
- Li, J.; He, Z.; Zhong, J. The Multi-Type Demands Oriented Framework for Flex-Route Transit Design. Sustainability 2022, 14, 9727. [Google Scholar] [CrossRef]
- Barraza, O.; Estrada, M. Battery Electric Bus Network: Efficient Design and Cost Comparison of Different Powertrains. Sustainability 2021, 13, 4745. [Google Scholar] [CrossRef]
- Neufville, R.; Abdalla, H.; Abbas, A. Potential of Connected Fully Autonomous Vehicles in Reducing Congestion and Associated Carbon Emissions. Sustainability 2022, 14, 6910. [Google Scholar] [CrossRef]
- Ypsilantis, P.; Zuidwijk, R. Collaborative Fleet Deployment and Routing for Sustainable Transport. Sustainability 2019, 11, 5666. [Google Scholar] [CrossRef]
- Vu, D.M.; Crainic, T.G.; Toulouse, M. A three-phase matheuristic for capacitated multi-commodity fixed-cost network design with design-balance constraints. J. Heuristics 2013, 19, 757–795. [Google Scholar] [CrossRef]
- Li, X.; Wei, K.; Aneja, Y.P.; Tian, P.; Cui, Y. Matheuristics for the single-path design-balanced service network design problem. Comput. Oper. Res. 2017, 77, 141–153. [Google Scholar] [CrossRef]
- Chouman, M.; Crainic, T.G. Cutting-plane matheuristic for service network design with design-balanced requirements. Transp. Sci. 2015, 49, 99–113. [Google Scholar] [CrossRef]
- Katayama, N. MIP neighborhood search heuristics for a service network design problem with design-balanced requirements. J. Heuristics 2020, 26, 475–502. [Google Scholar] [CrossRef]
- Andersen, J.; Crainic, T.G.; Christiansen, M. Service network design with asset management: Formulations and comparative analyses. Transp. Res. Part C Emerg. Technol. 2009, 17, 197–207. [Google Scholar] [CrossRef]
- Barnhart, C.; Krishnan, N.; Kim, D.; Ware, K. Network design for express shipment delivery. Comput. Optim. Appl. 2002, 21, 239–262. [Google Scholar] [CrossRef]
- Gao, A.; Jin, X.; Diao, X. An Iterative Backbone Algorithm for Service Network Design Problems. Processes 2022, 10, 1373. [Google Scholar] [CrossRef]
- Tawfik, C.; Gendron, B.; Limbourg, S. An iterative two-stage heuristic algorithm for a bilevel service network design and pricing model. Eur. J. Oper. Res. 2022, 300, 512–526. [Google Scholar] [CrossRef]
- Ghamlouche, I.; Crainic, T.G.; Gendreau, M. Cycle-based neighbourhoods for fixed-charge capacitated multicommodity network design. Oper. Res. 2003, 51, 655–667. [Google Scholar] [CrossRef]
- Ghamlouche, I.; Crainic, T.G.; Gendreau, M. Path relinking, cycle-based neighbourhoods and capacitated multicommodity network design. Ann. Oper. Res. 2004, 131, 109–133. [Google Scholar] [CrossRef]
- Jarrah, A.I.; Johnson, E.; Neubert, L.C. Large-scale, less-than-truckload service network design. Oper. Res. 2009, 57, 609–625. [Google Scholar] [CrossRef]
- Andersen, J.; Christiansen, M.; Crainic, T.G.; Gronhaug, R. Branch and price for service network design with asset management constraints. Transp. Sci. 2011, 45, 33–49. [Google Scholar] [CrossRef]









| Instance | ||||||
|---|---|---|---|---|---|---|
| 1 | 10 | 10 | 900 | 100 | 10 | 90 |
| 2 | 10 | 11 | 990 | 110 | 10 | 90 |
| 3 | 10 | 12 | 1080 | 120 | 10 | 90 |
| 4 | 10 | 13 | 1170 | 130 | 10 | 90 |
| 5 | 10 | 14 | 1260 | 140 | 10 | 90 |
| 6 | 10 | 15 | 1350 | 150 | 10 | 90 |
| 7 | 10 | 16 | 1440 | 160 | 10 | 90 |
| 8 | 10 | 17 | 1530 | 170 | 10 | 90 |
| 9 | 10 | 18 | 1620 | 180 | 10 | 90 |
| 10 | 10 | 19 | 1710 | 190 | 10 | 90 |
| 11 | 10 | 20 | 1800 | 200 | 10 | 90 |
| 12 | 21 | 15 | 6300 | 315 | 21 | 420 |
| 13 | 22 | 15 | 6930 | 330 | 22 | 462 |
| 14 | 23 | 15 | 7590 | 345 | 23 | 506 |
| 15 | 24 | 15 | 8280 | 360 | 24 | 552 |
| 16 | 25 | 15 | 9000 | 375 | 25 | 600 |
| 17 | 26 | 15 | 9750 | 390 | 26 | 650 |
| 18 | 27 | 15 | 10,530 | 405 | 27 | 702 |
| 19 | 28 | 15 | 11,340 | 420 | 28 | 756 |
| 20 | 29 | 15 | 12,180 | 435 | 29 | 812 |
| 21 | 30 | 15 | 13,050 | 450 | 30 | 870 |
| Instances | Original Solution | Algorithm Solution | ||||
|---|---|---|---|---|---|---|
| Obj. | Solution Time (sec.) | MIP Gap | Obj. | Solution Time (sec.) | MIP Gap | |
| 1 | 175,275 | 25.88 | 4.173% | 170,855 | 10.04 | 3.303% |
| 2 | 157,731 | 34.90 | 4.972% | 150,347 | 7.18 | 3.283% |
| 3 | 151,760 | 53.83 | 4.681% | 150,394 | 15.50 | 3.002% |
| 4 | 161,311 | 60.39 | 4.694% | 157,942 | 14.46 | 3.366% |
| 5 | 156,563 | 76.14 | 3.836% | 154,833 | 20.82 | 3.491% |
| 6 | 151,567 | 129.19 | 3.925% | 148,417 | 11.32 | 3.577% |
| 7 | 154,718 | 145.04 | 4.806% | 150,892 | 12.32 | 3.054% |
| 8 | 158,865 | 130.25 | 4.884% | 156,135 | 10.51 | 3.881% |
| 9 | 160,215 | 321.72 | 4.914% | 158,469 | 39.81 | 2.746% |
| 10 | 162,947 | 333.88 | 4.616% | 160,157 | 107.93 | 3.869% |
| 11 | 162,691 | 671.70 | 4.711% | 160,976 | 307.25 | 3.615% |
| Instances | Original Solution | Algorithm Solution | ||||
|---|---|---|---|---|---|---|
| Obj. | Solution Time (sec.) | MIP Gap | Obj. | Solution Time (sec.) | MIP Gap | |
| 1 | 89,585 | 25.98 | 4.782% | 85,110 | 13.60 | 2.60% |
| 2 | 80,207 | 41.20 | 4.770% | 76,777 | 26.59 | 3.999% |
| 3 | 77,059 | 42.15 | 3.287% | 74,910 | 26.62 | 2.212% |
| 4 | 79,810 | 68.81 | 3.023% | 78,523 | 31.71 | 2.468% |
| 5 | 81,507 | 76.15 | 3.132% | 76,586 | 31.25 | 2.235% |
| 6 | 79,351 | 81.76 | 4.017% | 74,671 | 31.62 | 2.003% |
| 7 | 77,068 | 108.02 | 4.436% | 75,145 | 43.06 | 2.529% |
| 8 | 79,626 | 117.29 | 3.325% | 76,527 | 49.54 | 1.631% |
| 9 | 83,030 | 178.93 | 3.031% | 80,964 | 85.53 | 1.753% |
| 10 | 83,077 | 200.93 | 4.006% | 79,779 | 130.26 | 1.855% |
| 11 | 79,818 | 244.00 | 3.760% | 76,958 | 136.35 | 2.308% |
| Instances | Original Solution | Algorithm Solution | ||||
|---|---|---|---|---|---|---|
| Obj. | Solution Time (sec.) | MIP Gap | Obj. | Solution Time (sec.) | MIP Gap | |
| 1 | 44,624 | 32.36 | 3.960% | 43,279 | 27.07 | 2.897% |
| 2 | 40,309 | 91.03 | 4.255% | 38,267 | 41.53 | 3.292% |
| 3 | 40,041 | 58.67 | 4.613% | 38,775 | 46.00 | 2.938% |
| 4 | 41,934 | 80.46 | 4.886% | 40,555 | 61.07 | 4.326% |
| 5 | 41,576 | 145.22 | 3.621% | 38,969 | 74.07 | 3.303% |
| 6 | 40,035 | 138.57 | 4.174% | 38,344 | 78.21 | 3.342% |
| 7 | 40,314 | 178.66 | 4.338% | 38,481 | 125.19 | 4.214% |
| 8 | 41,185 | 159.04 | 4.147% | 39,288 | 121.50 | 4.191% |
| 9 | 42,615 | 306.53 | 3.796% | 41,354 | 213.47 | 1.977% |
| 10 | 42,660 | 320.70 | 3.981% | 40,989 | 299.21 | 2.879% |
| 11 | 41,755 | 397.73 | 4.657% | 39,450 | 350.16 | 4.621% |
| Instances | M | Original Solution | Algorithm Solution | ||||
|---|---|---|---|---|---|---|---|
| Obj. | Solution Time (sec.) | MIP Gap | Obj. | Solution Time (sec.) | MIP Gap | ||
| 12 | 1 | 184,367 | 288.83 | 6.253% | 181,814 | 23.87 | 3.290% |
| 13 | 1 | 227,056 | 402.56 | 6.284% | 223,123 | 56.80 | 3.619% |
| 14 | 1 | 291,441 | 766.21 | 6.372% | 286,697 | 87.40 | 3.447% |
| 15 | 1 | 311,050 | 1345.20 | 6.322% | 311,025 | 131.05 | 3.340% |
| 16 | 1 | 366,682 | 2101.25 | 6.534% | 366,567 | 152.66 | 3.609% |
| 17 | 1 | 400,584 | 2342.15 | 6.307% | 400,445 | 201.22 | 3.403% |
| 18 | 1 | 473,864 | 2494.13 | 6.737% | 473,788 | 234.01 | 3.779% |
| 19 | 1 | 549,456 | 2652.48 | 6.381% | 549,202 | 353.00 | 3.465% |
| 20 | 1 | N.A. | 3600.00 | N.A. | 601,265 | 486.34 | 3.513% |
| 21 | 1 | N.A. | 3600.00 | N.A. | 852,916 | 615.20 | 3.705% |
| 12 | 2 | 95,161 | 161.46 | 5.571% | 93,911 | 53.95 | 4.967% |
| 13 | 2 | 115,937 | 841.43 | 6.189% | 112,248 | 270.95 | 2.381% |
| 14 | 2 | 151,734 | 1040.30 | 6.752% | 141,291 | 635.94 | 1.971% |
| 15 | 2 | 158,888 | 1405.70 | 6.850% | 153,644 | 983.96 | 2.049% |
| 16 | 2 | 190,525 | 2615.10 | 8.687% | 189,835 | 1399.00 | 6.760% |
| 17 | 2 | N.A. | 3600.00 | N.A. | 198,638 | 2178.78 | 2.494% |
| 18 | 2 | N.A. | 3600.00 | N.A. | 246,125 | 2382.01 | 7.239% |
| 19 | 2 | N.A. | 3600.00 | N.A. | 282,696 | 2528.29 | 7.868% |
| 20 | 2 | N.A. | 3600.00 | N.A. | 292,659 | 2868.56 | 7.986% |
| 21 | 2 | N.A. | 3600.00 | N.A. | 555,522 | 3023.69 | 8.625% |
| 12 | 3 | 50,232 | 222.07 | 4.746% | 47,062 | 85.88 | 4.422% |
| 13 | 3 | 60,020 | 1003.77 | 4.997% | 57,452 | 125.58 | 4.153% |
| 14 | 3 | 74,895 | 1885.41 | 6.063% | 72,156 | 611.13 | 3.470% |
| 15 | 3 | 80,417 | 2236.50 | 6.952% | 78,070 | 717.15 | 3.547% |
| 16 | 3 | 93,859 | 2880.06 | 7.767% | 92,379 | 892.33 | 3.918% |
| 17 | 3 | N.A. | 3600.00 | N.A. | 105,432 | 1277.73 | 7.534% |
| 18 | 3 | N.A. | 3600.00 | N.A. | 120,914 | 2555.93 | 4.879% |
| 19 | 3 | N.A. | 3600.00 | N.A. | 137,701 | 2874.57 | 9.361% |
| 20 | 3 | N.A. | 3600.00 | N.A. | 155,457 | 3059.14 | 7.296% |
| 21 | 3 | N.A. | 3600.00 | N.A. | 157,694 | 3210.25 | 5.534% |
Publisher’s Note: MDPI stays neutral with regard to jurisdictional claims in published maps and institutional affiliations. |
© 2022 by the authors. Licensee MDPI, Basel, Switzerland. This article is an open access article distributed under the terms and conditions of the Creative Commons Attribution (CC BY) license (https://creativecommons.org/licenses/by/4.0/).
Share and Cite
Diao, X.; Gao, A.; Jin, X.; Chen, H. A Layer-Based Relaxation Approach for Service Network Design. Sustainability 2022, 14, 13143. https://doi.org/10.3390/su142013143
Diao X, Gao A, Jin X, Chen H. A Layer-Based Relaxation Approach for Service Network Design. Sustainability. 2022; 14(20):13143. https://doi.org/10.3390/su142013143
Chicago/Turabian StyleDiao, Xudong, Ai Gao, Xin Jin, and Hui Chen. 2022. "A Layer-Based Relaxation Approach for Service Network Design" Sustainability 14, no. 20: 13143. https://doi.org/10.3390/su142013143
APA StyleDiao, X., Gao, A., Jin, X., & Chen, H. (2022). A Layer-Based Relaxation Approach for Service Network Design. Sustainability, 14(20), 13143. https://doi.org/10.3390/su142013143

