Dry–Wet Cyclic Sulfate Attack Mechanism of High-Volume Fly Ash Self-Compacting Concrete
Abstract
:1. Introduction
2. Materials and Methods
2.1. Raw Materials
2.2. Mixture Proportion
2.3. Workability and Mechanical Properties
2.4. Experimental Methods
2.4.1. Dry–Wet Cyclic Sulfate Attack Test
2.4.2. Mass Loss Ratio
2.4.3. Relative Dynamic Elastic Modulus
2.4.4. Corrosion Resistance Coefficient and Flexural Strength Retention
2.4.5. Chloride Ion Penetration Test
2.4.6. MIP Analysis
2.4.7. SEM Analysis
3. Results and Discussion
3.1. Mass Loss Ratio
3.2. Mechanical Properties
3.2.1. Corrosion Resistance Coefficient
3.2.2. Relative Dynamic Elastic Modulus
3.2.3. Flexural Strength Retention
3.3. Dry–Wet Cyclic Sulfate Attack Mechanism
3.3.1. The 6 h Electric Flux of SCC Cured for 56 Days
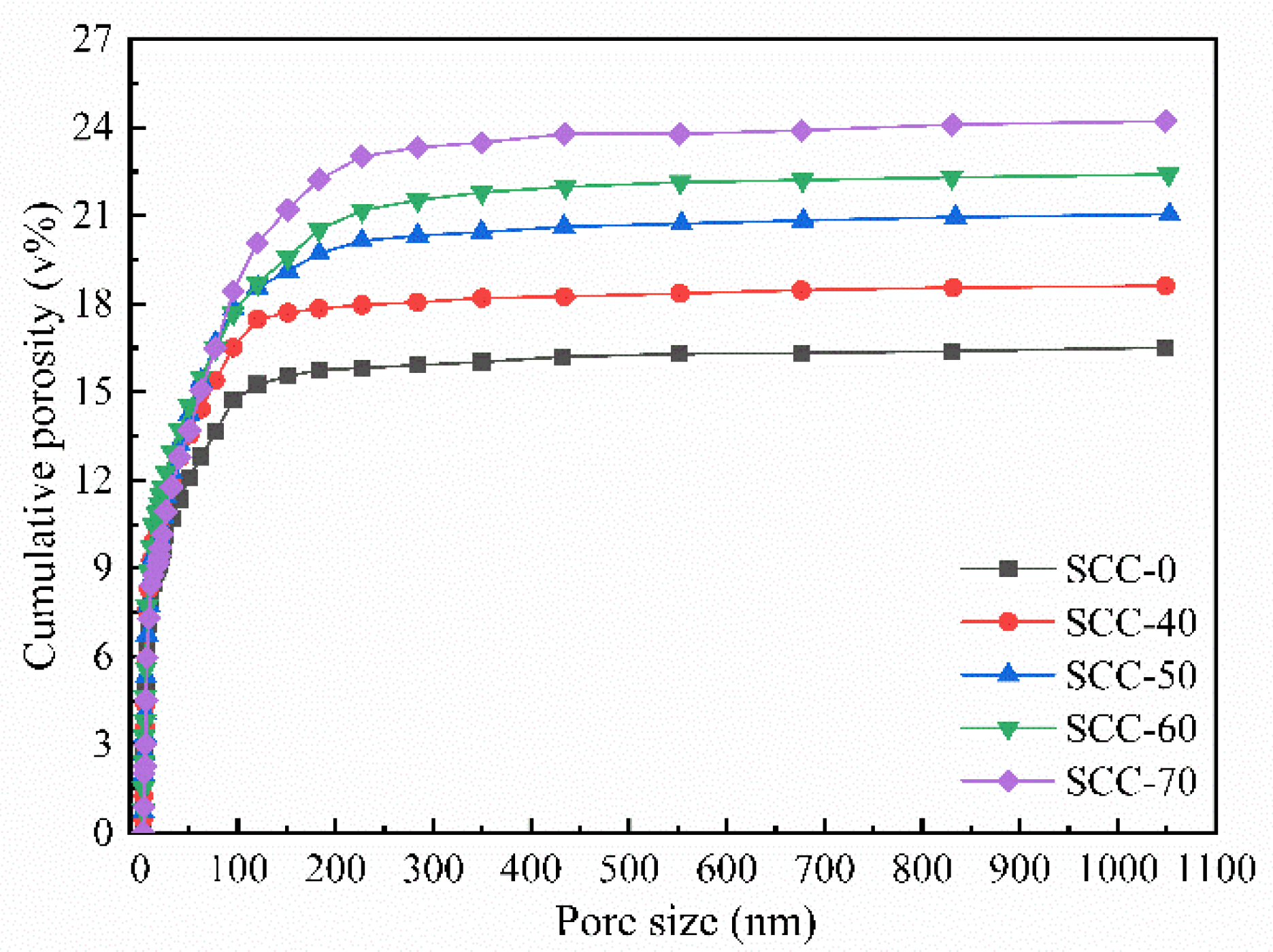
3.3.2. Pore Structure of SCC Cured for 56 Days
3.3.3. Microstructure and Morphology
4. Conclusions
- (1)
- The mass of SCC increased at the initial stage of dry–wet cyclic sulfate attack and decreased in the intermediate and later stages. The mass loss ratio decreased with the increase in the fly ash content, that of SCC-40 and SCC-50 were lower than SCC-0, while SCC-60 and SCC-70 were higher than SCC-0. This indicates that the appropriate replacement percentage of fly ash can effectively improve the mass and volume stability of SCC during dry–wet cyclic sulfate attack.
- (2)
- The mechanical properties of SCC increased first and then decreased with the dry–wet cycles of sulfate attack and decreased with the increase in the fly ash content. After 60 dry–wet cycles of sulfate attack, the corrosion resistance coefficient, relative dynamic elastic modulus, and flexural strength retention rate of SCC-40 were higher than those of SCC-0 by 7%, 5%, and 2%, respectively, and the corrosion resistance of SCC-50 was also better than SCC-0. The relative dynamic elastic modulus was slightly lower than the corrosion resistance coefficient and the retention rate of flexural strength, indicating that nondestructive testing can evaluate the mechanical property of SCC more safely during the dry–wet cycle sulfate attack process.
- (3)
- The 6 h electric flux of SCC cured for 56 days can be negligible, and the lowest of SCC-40 was only 86 °C. The cumulative porosity of SCC increased with the fly ash content, and most of the pores were below 50 nm, which belong to less harmful pores. The porosity of the capillary pores with pore sizes between 120 and 1000 nm in SCC was linearly correlated with the 6 h electric flux and resistance to dry–wet cyclic sulfate attack. Therefore, when the content of fly ash was 40%, the mechanical properties and corrosion resistance of SCC were significantly improved.
- (4)
- The hydration products of SCC-0 and SCC-40 were fibrous C–S–H gels, CH, and acicular ettringite crystals. Those in SCC-50 were the C–S–H gel, CH, AFm, and a few ettringite crystals. Only the C–S–H gel and stacked CH crystals were observed on the section of SCC-60. The main attack product of SCC-0 and SCC-40 was the radioactively distributed acicular ettringite crystalline beam. Erosion pits were left after the flaking of fly ash beads caused by erosion. The erosion of SCC-0 and SCC-40 was dominated by ettringite expansion, while the microstructure of SCC-50 and SCC-60 became loose and porous.
Author Contributions
Funding
Institutional Review Board Statement
Informed Consent Statement
Data Availability Statement
Acknowledgments
Conflicts of Interest
References
- Aslani, F.; Nejadi, S. Mechanical properties of conventional and self-compacting concrete: An analytical study. Constr. Build. Mater. 2012, 36, 330–347. [Google Scholar] [CrossRef]
- Prakash, R.; Raman, S.N.; Divyah, N. Fresh and mechanical characteristics of roselle fibre reinforced self-compacting concrete incorporating fly ash and metakaolin. Constr. Build. Mater. 2021, 290, 123209. [Google Scholar] [CrossRef]
- Gorzelańczyk, T. Moisture influence on the failure of self-compacting concrete under compression. Archiv. Civ. Mech. Eng. 2011, 11, 45–60. [Google Scholar] [CrossRef]
- Jain, A.; Choudhary, S.; Gupta, R.; Chaudhary, S.; Gautam, L. Effect of granite industry waste addition on durability properties of fly ash blended self-compacting concrete. Constr. Build. Mater. 2022, 340, 127727. [Google Scholar] [CrossRef]
- Wongkeo, W.; Thongsanitgarn, P.; Ngamjarurojana, A.; Chaipanich, A. Compressive strength and chloride resistance of self-compacting concrete containing high level fly ash and silica fume. Mater. Des. 2014, 64, 261–269. [Google Scholar] [CrossRef]
- Venkatakrishanaiah, R.; Mohankumar, G. Experimental Study on Strength of High-Volume High Calcium Fly Ash Concrete. IOSR J. Mech. Civil Eng. 2013, 5, 48–54. [Google Scholar] [CrossRef]
- Yang, Z.; Liu, S.; Yu, L.; Xu, L. A Comprehensive Study on the Hardening Features and Performance of Self-Compacting Concrete with High-Volume Fly Ash and Slag. Materials 2021, 14, 4286. [Google Scholar] [CrossRef]
- Salamoni, N.; Rohden, A.B. Durability analysis of concrete foundations exposed to external sulfate attacks in the south of Santa Catarina, Brazil. J. Build. Rehabil. 2022, 7, 66. [Google Scholar] [CrossRef]
- Wang, D.; Zhou, X.; Meng, Y.; Chen, Z. Durability of concrete containing fly ash and silica fume against combined freez-ing-thawing and sulfate attack. Constr. Build. Mater. 2017, 147, 398–406. [Google Scholar] [CrossRef]
- Sun, Q.; Li, B.; Wang, Y. Durability and life prediction of fly ash geopolymer concrete in corrosion environments caused by dry and wet circulation. Environ. Sci. Pollut. Res. 2022, 29, 39743–39753. [Google Scholar] [CrossRef]
- Wu, Y.; Zhu, J.; Shi, K. Study on the Erosion Mechanism of the Solidified Silt Under Sulphate–Chloride Erosion. Geotech. Geol. Eng. 2022, 40, 3749–3762. [Google Scholar] [CrossRef]
- Wang, K.; Guo, J.; Liu, X. Effect of dry–wet ratio on pore-structure characteristics of fly ash concrete under sulfate attack. Mater. Struct. 2021, 54, 100. [Google Scholar] [CrossRef]
- Chandru, P.; Natarajan, C.; Karthikeyan, J. Influence of Sustainable Materials in Strength and Durability of Self-compacting Concrete: A Review. J. Build. Rehabil. 2018, 3, 8. [Google Scholar] [CrossRef]
- Wei, Y.M.; Chai, J.R.; Qin, Y.; Li, Y.L.; Xu, Z.G.; Li, Y.; Ma, Y.B. Effect of fly ash on mechanical properties and microstructure of cellulose fiber-reinforced concrete under sulfate dry–wet cycle attack. Constr. Build. Mater. 2021, 302, 124207. [Google Scholar] [CrossRef]
- Manthena, S.L.; Boddepalli, K.R. Effect of tile aggregate and fly ash on durability and mechanical properties of self-compacting concrete. J. Build. Rehabil. 2022, 7, 68. [Google Scholar] [CrossRef]
- Ghafoori, N.; Najimi, M.; Diawara, H.; Islam, M.S. Effects of class F fly ash on sulfate resistance of Type V Portland cement concretes under continuous and interrupted sulfate exposures. Constr. Build. Mater. 2015, 78, 85–91. [Google Scholar] [CrossRef]
- Wang, J.; Niu, D.; Ma, R. Investigation of sulfate attack resistance of shotcrete under dry-wet cycles. J. Wuhan Univ. Technol.-Mat. Sci. Ed. 2016, 31, 1329–1335. [Google Scholar] [CrossRef]
- Ting, M.; Wong, K.S.; Rahman, M.E.; Meheron, S.J. Deterioration of marine concrete exposed to wetting-drying action. J. Clean. Prod. 2020, 278, 123383. [Google Scholar] [CrossRef]
- Chen, F.; Gao, J.M.; Qi, B.; Shen, D.M.; Li, L.Y. Degradation progress of concrete subject to combined sulfate-chloride attack under drying-wetting cycles and flexural loading. Constr. Build. Mater. 2017, 151, 164–171. [Google Scholar] [CrossRef]
- Jain, A.; ·Chaudhary, S.; Choudhary, S.; Gupta, R. Resistance of fly ash blended self-compacting concrete incorporating granite powder against acid and sulphate environments. Arab. J. Geosci. 2022, 15, 1156. [Google Scholar] [CrossRef]
- Li, K.; Li, X.; Du, C.; Xue, H.; Sun, Q.; Liu, L. Experimental Study on Microstructure and Erosion Mechanisms of Solid Waste Cemented Paste Backfill under the Combined Action of Dry–Wet Cycles and Sulphate Erosion. Materials 2022, 15, 1484. [Google Scholar] [CrossRef] [PubMed]
- GB/T 17671-2021; Test Method of Cement Mortar Strength (ISO Method). Standardization Administration and the State Administration for Market Regulation: Beijing, China, 2021.
- JGJ/T283-2012; Technical Specification for Application of Self-Compacting Concrete. Ministry of Housing and Urban-Rural Development: Beijing, China, 2012.
- GBT50082-2009; Standard for Test Methods of Long-Term Performance and Durability of Ordinary Concrete. Ministry of Housing and Urban-Rural Development: Beijing, China, 2010.
- Yang, C.; Liu, F.; Pan, Y.; Li, K. Mechanical property of polyvinyl alcohol fiber reinforced fast-hardening concrete under freezing-thaw cycle effect. J. Southeast Univ. (Nat. Sci. Ed.) 2019, 49, 334–339. (In Chinese) [Google Scholar] [CrossRef]
- Liu, D.; Tu, Y.; Shi, P. Mechanical and durability properties of concrete subjected to early-age freeze–thaw cycles. Mater. Struct. 2021, 54, 211. [Google Scholar] [CrossRef]
- Meng, B.X.; Xu, J.Y.; Peng, G. Anti-freeze performance test of nano carbon fiber reinforced concrete. Acta Mater. Compos. Sin. 2019, 36, 2458–2468. (In Chinese) [Google Scholar] [CrossRef]
- Cui, L. Experimental Research on Anti-Erosion and Freeze-Thaw Properties for Steel Fiber Reinforced Fly Ash Concrete. Ph.D. Thesis, Anhui University of Science and Technology, Huainan, China, 2009. (In Chinese). [Google Scholar] [CrossRef]
- Komatsu, R.; Mizukoshi, N.; Makida, K.; Tsukamoto, K. In-situ observation of ettringite crystals. J. Cryst. Growth 2009, 311, 1005–1008. [Google Scholar] [CrossRef]
- Xue, J.; Liu, S.; Ma, X.; Teng, Y.; Guan, X. Effect of different gypsum dosage on the chloride binding properties of C4AF hydrated paste. Constr. Build. Mater. 2022, 315, 125562. [Google Scholar] [CrossRef]
- Yu, Y.; Wang, J.; Wang, N.; Wu, C.; Zhang, X.; Wang, D.; Ma, Z. Combined Freeze-Thaw and Chloride Attack Resistance of Concrete Made with Recycled Brick-Concrete Aggregate. Materials 2021, 14, 7267. [Google Scholar] [CrossRef]
- Guo, Y.; Zhang, P.; Ding, H.; Le, C. Experimental Study on the Permeability of SAP Modified Concrete. Materials 2020, 13, 3368. [Google Scholar] [CrossRef]
- Chen, L.; Wang, Y.; Yin, X. Effect of aperture size on impermeability of concrete. J. Chin. Ceram. Soc. 2005, 33, 500–506. (In Chinese) [Google Scholar] [CrossRef]
- Wang, J.; Niu, D.; He, H. Durability deterioration and corrosion mechanism of shotcrete in salt lake environment. China Civ. Eng. J. 2019, 52, 67–80. (In Chinese) [Google Scholar] [CrossRef]
- Liu, J.; Zhao, L.; Ji, H. Influence of initial damage on degradation and deterioration of concrete under sulfate attack. Chin. J. Eng. 2017, 39, 1278–1287. (In Chinese) [Google Scholar] [CrossRef]
- Rahman, M.M.; Bassuoni, M.T. Thaumasite sulfate attack on concrete: Mechanisms, influential factors and mitigation. Constr. Build. Mater. 2014, 73, 652–662. [Google Scholar] [CrossRef]
- Song, Y.; Zhou, S.; Wang, Z. Mechanism of Thaumasite Formation in Concrete. J. Wuhan Univ. Technol.-Mat. Sci. Ed. 2017, 32, 893–897. [Google Scholar] [CrossRef]










| Setting Time (min) | Compressive Strength (MPa) | Flexural Strength (MPa) | |||
|---|---|---|---|---|---|
| Initial | Final | 3 days | 28 days | 3 days | 28 days |
| 267 | 342 | 35.2 | 54.6 | 5.6 | 8.9 |
| Composition | SiO2 | Al2O3 | Fe2O3 | CaO | MgO | SO3 | K2O | Na2O | Loss |
|---|---|---|---|---|---|---|---|---|---|
| Cement (%) | 17.43 | 5.23 | 3.54 | 60.87 | 3.15 | 3.43 | 1.04 | 0.35 | 4.96 |
| Fly ash (%) | 55.84 | 26.38 | 5.04 | 3.97 | 2.01 | 0.32 | 1.24 | 0.26 | 4.94 |
| Code | Cementitious Materials (kg/m3) | W/B | Sand Proportion | Gravel (kg/m3) | Water Reducer (%) | ||
|---|---|---|---|---|---|---|---|
| Cement | Fly Ash | Slaked Lime | |||||
| SCC-0 | 479 | - | - | 0.37 | 0.50 | 883 | 0.4 |
| SCC-40 | 287.5 | 175.0 | 16.5 | 0.37 | 0.50 | 852 | 0.4 |
| SCC-50 | 237.5 | 208.0 | 33.5 | 0.37 | 0.50 | 844 | 0.4 |
| SCC-60 | 191.6 | 241.6 | 45.8 | 0.37 | 0.50 | 836 | 0.4 |
| SCC-70 | 141.5 | 275.0 | 62.5 | 0.37 | 0.50 | 828 | 0.4 |
| Code | Slump Flow (mm) | T500 (s) | J-Ring Flow (mm) | Compressive Strength (MPa) | Flexural Strength (MPa) | Dynamic Elastic Modulus (GPa) |
|---|---|---|---|---|---|---|
| SCC-0 | 645 | 3.5 | 630 | 60.9 | 6.0 | 47.4 |
| SCC-40 | 620 | 4.7 | 610 | 66.6 | 5.8 | 56.6 |
| SCC-50 | 650 | 3.7 | 635 | 57.4 | 4.8 | 49.8 |
| SCC-60 | 670 | 2.8 | 660 | 54.9 | 4.6 | 49.5 |
| SCC-70 | 705 | 2.9 | 690 | 42.0 | 3.5 | 43.9 |
| Pore Structure Parameter | SCC-0 | SCC-40 | SCC-50 | SCC-60 | SCC-70 | |
|---|---|---|---|---|---|---|
| Cumulative porosity (v%) | 17.65 | 20.06 | 23.30 | 23.76 | 26.28 | |
| Pore size distribution (v%) | <20 nm | 9.11 | 10.45 | 10.05 | 11.18 | 9.41 |
| 20–50 nm | 2.97 | 3.10 | 4.18 | 3.34 | 4.28 | |
| 50–120 nm | 3.17 | 3.93 | 4.31 | 4.17 | 6.38 | |
| 120–1000 nm | 1.26 | 1.14 | 2.60 | 3.72 | 4.14 | |
| >1000 nm | 1.14 | 1.45 | 2.16 | 0.89 | 2.07 | |
Publisher’s Note: MDPI stays neutral with regard to jurisdictional claims in published maps and institutional affiliations. |
© 2022 by the authors. Licensee MDPI, Basel, Switzerland. This article is an open access article distributed under the terms and conditions of the Creative Commons Attribution (CC BY) license (https://creativecommons.org/licenses/by/4.0/).
Share and Cite
Liu, J.; Li, A.; Yang, Y.; Wang, X.; Yang, F. Dry–Wet Cyclic Sulfate Attack Mechanism of High-Volume Fly Ash Self-Compacting Concrete. Sustainability 2022, 14, 13052. https://doi.org/10.3390/su142013052
Liu J, Li A, Yang Y, Wang X, Yang F. Dry–Wet Cyclic Sulfate Attack Mechanism of High-Volume Fly Ash Self-Compacting Concrete. Sustainability. 2022; 14(20):13052. https://doi.org/10.3390/su142013052
Chicago/Turabian StyleLiu, Junxia, Anbang Li, Yanmeng Yang, Xueping Wang, and Fei Yang. 2022. "Dry–Wet Cyclic Sulfate Attack Mechanism of High-Volume Fly Ash Self-Compacting Concrete" Sustainability 14, no. 20: 13052. https://doi.org/10.3390/su142013052
APA StyleLiu, J., Li, A., Yang, Y., Wang, X., & Yang, F. (2022). Dry–Wet Cyclic Sulfate Attack Mechanism of High-Volume Fly Ash Self-Compacting Concrete. Sustainability, 14(20), 13052. https://doi.org/10.3390/su142013052
