Impact of Land Cover Change on a Typical Mining Region and Its Ecological Environment Quality Evaluation Using Remote Sensing Based Ecological Index (RSEI)
Abstract
1. Introduction
2. Methods and Materials
2.1. Study Area
2.2. Data Resources and Pre-Processing
2.3. RSEI Evaluation Model
2.4. Land Cover and Landscape Metrics Calculation
2.5. Biological Abundance Index Calculation
3. Results and Discussion
3.1. Principal Component and Correlation Analysis
3.2. Overall Evaluation of Ecological Environment in Tongling City
3.3. Analysis of Land Cover Change in Tongling City
3.4. Landscape Pattern Variations of Tongling
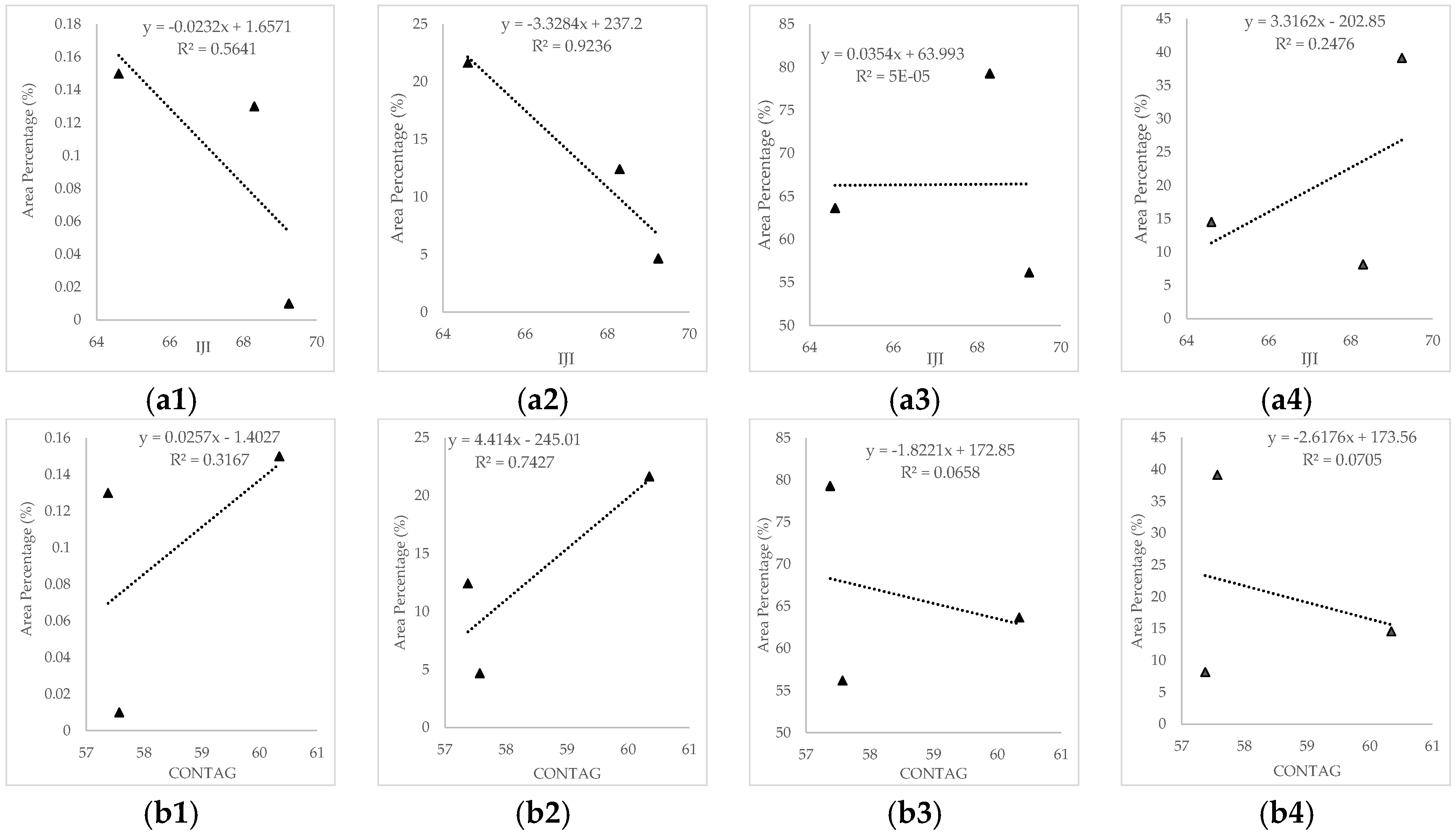
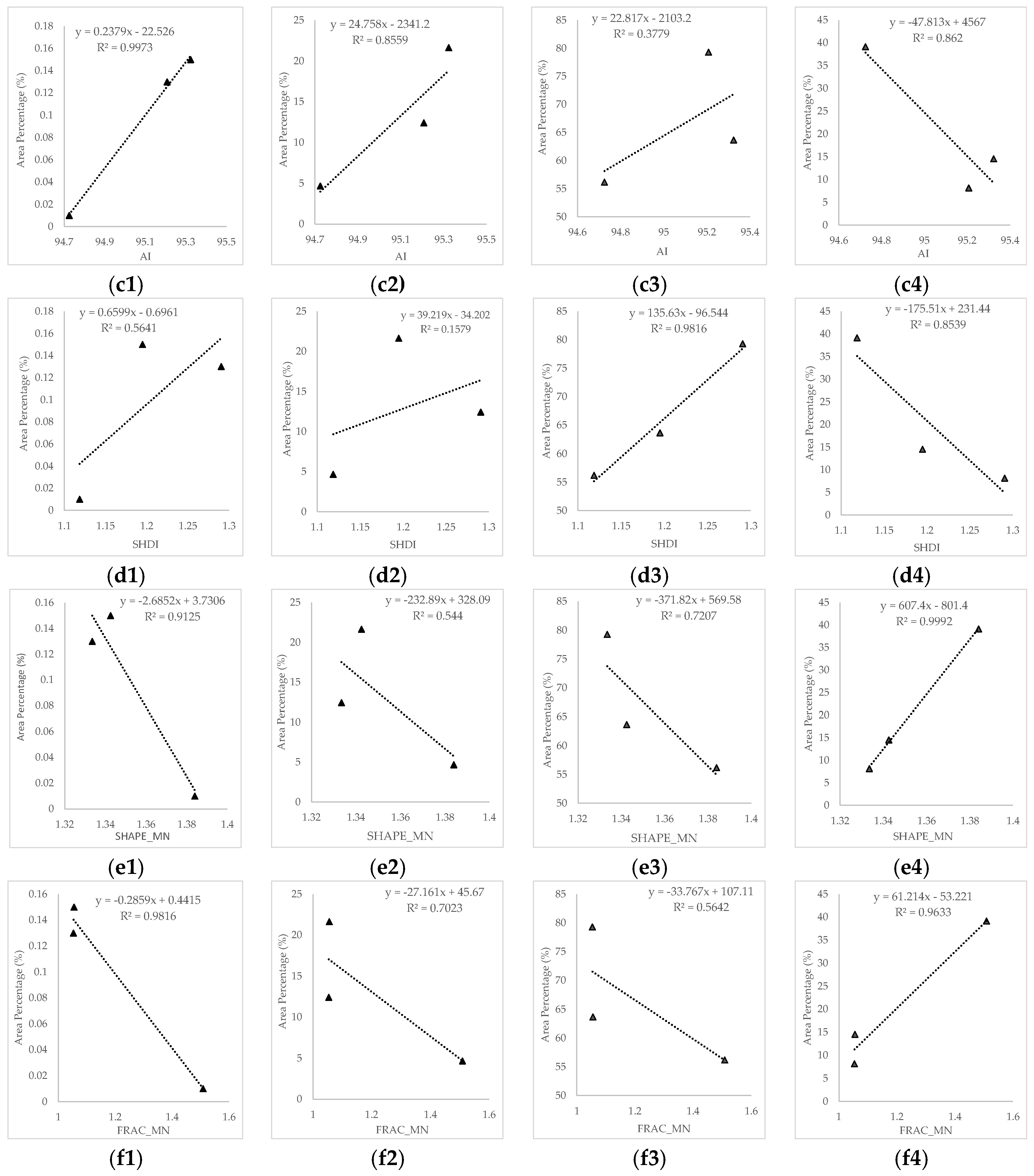
3.5. Landscape Pattern Change Impact on RSEI
3.6. Evaluation of Ecological Environment Quality in Tongling Open-Pit Mining Area
4. Conclusions
Author Contributions
Funding
Institutional Review Board Statement
Informed Consent Statement
Data Availability Statement
Acknowledgments
Conflicts of Interest
References
- Liao, W.; Jiang, W. Evaluation of the spatiotemporal variations in the eco-environmental quality in China based on the remote sensing ecological index. Remote Sens. 2020, 12, 2462. [Google Scholar] [CrossRef]
- Shrestha, N.K.; Leta, O.T.; De Fraine, B.; van Griensven, A.; Bauwens, W. OpenMI-based integrated sediment transport modelling of the river Zenne, Belgium. Environ. Model. Softw. 2013, 47, 193–206. [Google Scholar] [CrossRef]
- Popovic, V.; Miljkovic, J.Ž.; Subic, J.; Jean-Vasile, A.; Adrian, N.; Nicolaescu, E. Sustainable land management in mining areas in Serbia and Romania. Sustainability 2015, 7, 11857–11877. [Google Scholar] [CrossRef]
- Yuan, J.; Elektorowicz, M. Extended environmental multimedia modeling system assessing the risk carried by pollutants in interacted air-unsaturated-groundwater zones. J. Hazard. Mater. 2020, 381, 120852. [Google Scholar] [CrossRef]
- Li, Z.; Ma, Z.; van der Kuijp, T.J.; Yuan, Z.; Huang, L. A review of soil heavy metal pollution from mines in China: Pollution and health risk assessment. Sci. Total Environ. 2014, 468–469, 843–853. [Google Scholar] [CrossRef] [PubMed]
- Cao, W.; Li, R.; Chi, X.; Chen, N.; Chen, J.; Zhang, H.; Zhang, F. Island urbanization and its ecological consequences: A case study in the Zhoushan Island, East China. Ecol. Indic. 2017, 76, 1–14. [Google Scholar] [CrossRef]
- Hu, X.; Xu, H. A new remote sensing index for assessing the spatial heterogeneity in urban ecological quality: A case from Fuzhou City, China. Ecol. Indic. 2018, 89, 11–21. [Google Scholar] [CrossRef]
- Hu, X.; Xu, H. A new remote sensing index based on the pressure-state-response framework to assess regional ecological change. Environ. Sci. Pollut. Res. 2019, 26, 5381–5393. [Google Scholar] [CrossRef] [PubMed]
- U.S. Environmental Protection Agency. Environmental Quality Index—Technical Report, 2006–2010; U.S. Environmental Protection Agency: Washington, DC, USA, 2020.
- Shang, D.; Yin, G.; Li, X.; Li, Y.; Jiang, C.; Kang, X.; Liu, C.; Zhang, C. Analysis for Green Mine (phosphate) performance of China: An evaluation index system. Resour. Policy 2015, 46, 71–84. [Google Scholar] [CrossRef]
- Yu, H.; Zhao, J. The impact of environmental conditions on urban eco-sustainable total factor productivity: A case study of 21 cities in guangdong province, china. Int. J. Environ. Res. Public Health 2020, 17, 1329. [Google Scholar] [CrossRef]
- Roerink, G.J.; Danes, M.H.G.I. Quantification of Ecological Changes by Remote Sensing. EGU Gen. Assem. Conf. Abstr. 2010, 12, 4643. [Google Scholar]
- Willis, K.S. Remote sensing change detection for ecological monitoring in United States protected areas. Biol. Conserv. 2015, 182, 233–242. [Google Scholar] [CrossRef]
- Ju, W.; Gao, P.; Wang, J.; Zhou, Y.; Zhang, X. Combining an ecological model with remote sensing and GIS techniques to monitor soil water content of croplands with a monsoon climate. Agric. Water Manag. 2010, 97, 1221–1231. [Google Scholar] [CrossRef]
- Li, Y.; Cao, Z.; Long, H.; Liu, Y.; Li, W. Dynamic analysis of ecological environment combined with land cover and NDVI changes and implications for sustainable urban–rural development: The case of Mu Us Sandy Land, China. J. Clean. Prod. 2017, 142, 697–715. [Google Scholar] [CrossRef]
- Shan, W.; Jin, X.; Ren, J.; Wang, Y.; Xu, Z.; Fan, Y.; Gu, Z.; Hong, C.; Lin, J.; Zhou, Y. Ecological environment quality assessment based on remote sensing data for land consolidation. J. Clean. Prod. 2019, 239, 118126. [Google Scholar] [CrossRef]
- Jing, Y.; Zhang, F.; He, Y.; Kung, H.-t.; Johnson, V.C.; Arikena, M. Assessment of spatial and temporal variation of ecological environment quality in Ebinur Lake Wetland National Nature Reserve, Xinjiang, China. Ecol. Indic. 2020, 110, 105874. [Google Scholar] [CrossRef]
- Zhu, D.; Chen, T.; Zhen, N.; Niu, R. Monitoring the effects of open-pit mining on the eco-environment using a moving window-based remote sensing ecological index. Environ. Sci. Pollut. Res. 2020, 27, 15716–15728. [Google Scholar] [CrossRef] [PubMed]
- Imhoff, M.L.; Zhang, P.; Wolfe, R.E.; Bounoua, L. Remote sensing of the urban heat island effect across biomes in the continental USA. Remote Sens. Environ. 2010, 114, 504–513. [Google Scholar] [CrossRef]
- Sandholt, I.; Rasmussen, K.; Andersen, J. A simple interpretation of the surface temperature/vegetation index space for assessment of surface moisture status. Remote Sens. Environ. 2002, 79, 213–224. [Google Scholar] [CrossRef]
- Xu, H.Q. A remote sensing urban ecological index and its application. Shengtai Xuebao Acta Ecol. Sin. 2013, 33, 7853–7862. [Google Scholar] [CrossRef]
- Niu, X.; Li, Y. Remote sensing evaluation of ecological environment of anqing city based on remote sensing ecological index. Int. Arch. Photogramm. Remote Sens. Spat. Inf. Sci. ISPRS Arch. 2020, 43, 733–737. [Google Scholar] [CrossRef]
- Bai, X.; Du, P.; Guo, S.; Zhang, P.; Lin, C.; Tang, P.; Zhang, C. Monitoring land cover change and disturbance of the Mount Wutai World cultural landscape heritage protected area, based on remote sensing time-series images from 1987 to 2018. Remote Sens. 2019, 11, 1332. [Google Scholar] [CrossRef]
- Yue, H.; Liu, Y.; Li, Y.; Lu, Y. Eco-environmental quality assessment in china’s 35 major cities based on remote sensing ecological index. IEEE Access 2019, 7, 51295–51311. [Google Scholar] [CrossRef]
- Ji, J.; Wang, S.; Zhou, Y.; Liu, W.; Wang, L. Spatiotemporal Change and Landscape Pattern Variation of Eco-Environmental Quality in Jing-Jin-Ji Urban Agglomeration from 2001 to 2015. IEEE Access 2020, 8, 125534–125548. [Google Scholar] [CrossRef]
- Wen, X.; Ming, Y.; Gao, Y.; Hu, X. Dynamic monitoring and analysis of ecological quality of pingtan comprehensive experimental zone, a new type of sea island city, based on RSEI. Sustainability 2020, 12, 21. [Google Scholar] [CrossRef]
- Karbalaei Saleh, S.; Amoushahi, S.; Gholipour, M. Spatiotemporal ecological quality assessment of metropolitan cities: A case study of central Iran. Environ. Monit. Assess. 2021, 193, 305. [Google Scholar] [CrossRef]
- Li, Y.; Wu, L.; Han, Q.; Wang, X.; Zou, T.; Fan, C. Estimation of remote sensing based ecological index along the Grand Canal based on PCA-AHP-TOPSIS methodology. Ecol. Indic. 2020, 122, 107214. [Google Scholar] [CrossRef]
- Wu, S.; Gao, X.; Lei, J.; Zhou, N.; Guo, Z.; Shang, B. Ecological environment quality evaluation of the Sahel region in Africa based on remote sensing ecological index. J. Arid Land 2022, 14, 14–33. [Google Scholar] [CrossRef]
- Sun, J.; Hu, Y.; Li, Y.; Weng, L.; Bai, H.; Meng, F.; Wang, T.; Du, H.; Xu, D.; Lu, S. A Temporospatial Assessment of Environmental Quality in Urbanizing Ethiopia. arXiv 2022, arXiv:4051452. [Google Scholar] [CrossRef]
- Zhang, T.; Yang, R.; Yang, Y.; Li, L.; Chen, L. Assessing the urban eco-environmental quality by the remote-sensing ecological index: Application to Tianjin, North China. ISPRS Int. J. Geo Inf. 2021, 10, 475. [Google Scholar] [CrossRef]
- Yang, X.; Bai, Y.; Che, L.; Qiao, F.; Xie, L. Incorporating ecological constraints into urban growth boundaries: A case study of ecologically fragile areas in the Upper Yellow River. Ecol. Indic. 2021, 124, 107436. [Google Scholar] [CrossRef]
- Zhu, Q.; Guo, J.; Guo, X.; Chen, L.; Han, Y.; Liu, S. Relationship between ecological quality and ecosystem services in a red soil hilly watershed in southern China. Ecol. Indic. 2021, 121, 107119. [Google Scholar] [CrossRef]
- Yuan, B.; Fu, L.; Zou, Y.; Zhang, S.; Chen, X.; Li, F.; Deng, Z.; Xie, Y. Spatiotemporal change detection of ecological quality and the associated affecting factors in Dongting Lake Basin, based on RSEI. J. Clean. Prod. 2021, 302, 126995. [Google Scholar] [CrossRef]
- Hang, X.; Luo, X.-C.; Cao, Y.; Li, Y.-C. Ecological quality assessment and the impact of urbanization based on RSEI model for Nanjing, Jiangsu Province, China. Ying Yong Sheng Tai Xue Bao J. Appl. Ecol. 2020, 31, 219–229. [Google Scholar] [CrossRef]
- Yang, H.; Wang, Z.; Zhao, H.; Guo, Y. Water body extraction methods study based on RS and GIS. Procedia Environ. Sci. 2011, 10, 2619–2624. [Google Scholar] [CrossRef]
- Gao, B. NDWI—A normalized difference water index for remote sensing of vegetation liquid water from space. Remote Sens. Environ. 1996, 58, 257–266. [Google Scholar] [CrossRef]
- Liao, W.; Nie, X.; Zhang, Z. Interval association of remote sensing ecological index in China based on concept lattice. Environ. Sci. Pollut. Res. 2022, 29, 34194–34208. [Google Scholar] [CrossRef]
- Xue, L.; Yang, F.; Yang, C.; Wei, G.; Li, W.; He, X. Hydrological simulation and uncertainty analysis using the improved TOPMODEL in the arid Manas River basin, China. Sci. Rep. 2018, 8, 452. [Google Scholar] [CrossRef]
- Zhu, D.; Chen, T.; Wang, Z.; Niu, R. Detecting ecological spatial-temporal changes by Remote Sensing Ecological Index with local adaptability. J. Environ. Manag. 2021, 299, 113655. [Google Scholar] [CrossRef]
- Samuel, K.K.; Anthony, E.; Justine, N.; Patrick, B.; David, M.; Paul, M. Anthropogenic induced land use/cover change dynamics of Budongo-Bugoma landscape in the Albertine region, Uganda. Egypt. J. Remote Sens. Space Sci. 2022, 25, 639–649. [Google Scholar]
- Quan, W.; Wang, H. Spatiotemporal dynamics and evolution relationships between land-use/land cover change and landscape pattern in response to rapid urban sprawl process: A case study in Wuhan, China. Ecol. Eng. 2022, 182, 106716–106736. [Google Scholar]
- Wang, Q.Z.; Gao, M.F.; Zhang, H.J. Agroecological Efficiency Evaluation Based on Multi-Source Remote Sensing Data in a Typical County of the Tibetan Plateau. Land 2022, 11, 561. [Google Scholar] [CrossRef]
- Yang, X.; Meng, F.; Fu, P.; Zhang, Y.; Liu, Y. Spatiotemporal change and driving factors of the Eco-Environment quality in the Yangtze River Basin from 2001 to 2019. Ecol. Indic. 2021, 131, 108214–108226. [Google Scholar] [CrossRef]
- Huang, H.; Chen, W.; Zhang, Y.; Qiao, L.; Du, Y. Analysis of ecological quality in Lhasa Metropolitan Area during 1990–2017 based on remote sensing and Google Earth Engine platform. J. Geogr. Sci. 2021, 31, 265–280. [Google Scholar] [CrossRef]
- Yang, H.; Zhong, X.; Deng, S.; Nie, S. Impact of LUCC on landscape pattern in the Yangtze River Basin during 2001–2019. Ecol. Inform. 2022, 69, 101631–101645. [Google Scholar] [CrossRef]
- Gao, Y.; Li, Y.; Xu, H. Assessing Ecological Quality Based on Remote Sensing Images in Wugong Mountain. Earth Space Sci. 2022, 9, 001918. [Google Scholar] [CrossRef]











| Mine Number | Name | Time of Establishment |
|---|---|---|
| Mine 1 | Cement of Hushan, Anhui Tongling Conch Cement Company | 2011 |
| Mine 2 | Tongling Fengrun earth mining corporation Ltd. | 2003 |
| Mine 3 | Tongling Xiaoxiang mining corporation Ltd. | 2003 |
| Mine 4 | Anhui Niushan mining corporation Ltd. | 2001 |
| Mine 5 | TCIGCL Xinqiao mining corporation Ltd. | 2001 |
| Mine 6 | Limestone mine, Tongling Maodi mining corporation Ltd. | 2009 |
| Mine 7 | Tongling Yipin mining corporation Ltd. | 2005 |
| Mine 8 | Tongling Yuanda mining corporation Ltd. | 2004 |
| Mine 9 | Limestone mine of wulishan, Tongling Shangfeng Cement Co., Ltd. | 2003 |
| Mine 10 | Cement of Xiaochong, Tongling Shangfeng Cement Co., Ltd. | 2009 |
| NDVI | WET | NDBSI | LST | RSEI | |
|---|---|---|---|---|---|
| NDVI | 1 | ||||
| Wet | 0.25801 | 1 | |||
| NDBSI | −0.98998 | −0.28643 | 1 | ||
| LST | −0.81658 | −0.29619 | 0.792769 | 1 | |
| RSEI | 0.971831 | 0.284334 | −0.97835 | −0.68164 | 1 |
| Grade Index | Description |
|---|---|
| Poor (0 < RSEI < 0.2) | The conditions are relatively poor and human life is limited. |
| Inferior (0.2 < RSEI < 0.4) | The area has poor vegetation coverage, less precipitation and fewer species, which is easy to restrict human life. |
| Medium (0.4 < RSEI < 0.6) | The vegetation coverage is moderate, which is more suitable for human life and restricts human life to a certain extent. |
| Good (0.6 < RSEI < 0.8) | High vegetation coverage, rich biodiversity, suitable for human habitation. |
| Excellent (0.8 < RSEI < 1.0) | High vegetation coverage, rich biodiversity and stable ecological environment. |
| 2000 | 2010 | 2020 | |||||||
|---|---|---|---|---|---|---|---|---|---|
| RESI Mean | Area (km2) | % | RESI Mean | Area (km2) | % | RESI Mean | Area (km2) | % | |
| Poor (0~0.2) | 0.706 | 0 | 0 | 0.637 | 0 | 0 | 0.644 | 0 | 0 |
| Inferior (0.2~0.4) | 0.09 | 0.01 | 1.41 | 0.15 | 1.21 | 0.13 | |||
| Medium (0.4~0.6) | 43.47 | 4.66 | 206.41 | 21.65 | 118.54 | 12.42 | |||
| Good (0.6~0.8) | 523.73 | 56.18 | 606.83 | 63.66 | 756.63 | 79.30 | |||
| Excellent (0.8~1.0) | 364.95 | 39.15 | 138.59 | 14.54 | 77.78 | 8.15 | |||
| Total | 932.24 | 100 | 953.24 | 100 | 954.16 | 100 | |||
| 2010 | 2000 | ||||
|---|---|---|---|---|---|
| Water | Forest and Grassland | Cropland | Non-Vegetation | Sum | |
| water | 83.77 | 2.33 | 8.14 | 8.78 | 103.02 |
| Forest and grassland | 1.09 | 242.17 | 18.39 | 9.93 | 271.59 |
| Cropland | 10.80 | 38.91 | 349.36 | 79.76 | 478.84 |
| Non-vegetation | 13.30 | 12.02 | 78.83 | 77.81 | 181.95 |
| Sum | 108.97 | 295.44 | 454.72 | 176.29 | 1035.41 |
| 2020 | 2010 | ||||
|---|---|---|---|---|---|
| Water | Forest and Grassland | Cropland | Non-Vegetation | Sum | |
| water | 86.17 | 0.46 | 10.63 | 12.95 | 110.22 |
| Forest and grassland | 2.36 | 252.61 | 81.56 | 9.28 | 345.42 |
| Cropland | 1.58 | 6.18 | 237.39 | 28.06 | 273.21 |
| Non-vegetation | 12.89 | 12.74 | 149.25 | 131.65 | 306.55 |
| Sum | 103.02 | 271.59 | 478.84 | 181.95 | 1035.41 |
| Year | IJI (%) | CONTAG (%) | AI (%) | SHDI | SHAPE_MN (km2) | FRAC_MN |
|---|---|---|---|---|---|---|
| 2000 | 69.2496 | 57.5713 | 94.7248 | 1.1185 | 1.3840 | 1.5092 |
| 2010 | 64.6028 | 60.3458 | 95.3242 | 1.1948 | 1.3425 | 1.0556 |
| 2020 | 68.3044 | 57.3776 | 95.2078 | 1.2905 | 1.3335 | 1.0537 |
| Open Pit Mines | 2000 | 2010 | 2020 | ||||||||||||
|---|---|---|---|---|---|---|---|---|---|---|---|---|---|---|---|
| NDVI | Wet | NDBSI | LST | RSEI | NDVI | Wet | NDBSI | LST | RSEI | NDVI | Wet | NDBSI | LST | RSEI | |
| Mine 1 | 0.75 | –0.09 | –0.18 | 0.31 | 0.84 | 0.55 | –0.1 | –0.11 | 0.32 | 0.78 | 0.26 | –0.09 | 0.06 | 0.22 | 0.57 |
| Mine 2 | 0.56 | –0.13 | –0.07 | 0.36 | 0.68 | 0.19 | –0.22 | 0.06 | 0.54 | 0.51 | 0.21 | –0.06 | 0.04 | 0.47 | 0.56 |
| Mine 3 | 0.73 | –0.11 | –0.13 | 0.33 | 0.83 | 0.27 | –0.17 | 0.03 | 0.45 | 0.59 | 0.29 | –0.02 | 0.01 | 0.36 | 0.61 |
| Mine 4 | 0.12 | –0.1 | 0.08 | 0.41 | 0.57 | 0.12 | –0.05 | 0.09 | 0.57 | 0.46 | 0.13 | –0.03 | 0.05 | 0.43 | 0.58 |
| Mine 5 | 0.26 | –0.1 | 0.02 | 0.5 | 0.65 | 0.19 | –0.08 | 0.01 | 0.37 | 0.61 | 0.24 | –0.01 | –0.01 | 0.37 | 0.61 |
| Mine 6 | 0.81 | –0.08 | –0.19 | 0.28 | 0.86 | 0.43 | –0.09 | –0.04 | 0.21 | 0.65 | 0.2 | –0.04 | –0.02 | 0.29 | 0.61 |
| Mine 7 | 0.77 | –0.08 | –0.16 | 0.29 | 0.85 | 0.47 | –0.09 | –0.04 | 0.23 | 0.67 | 0.16 | –0.06 | 0.06 | 0.46 | 0.58 |
| Mine 8 | 0.75 | –0.08 | –0.16 | 0.25 | 0.83 | 0.42 | –0.07 | –0.01 | 0.15 | 0.63 | 0.22 | –0.06 | 0.06 | 0.49 | 0.58 |
| Mine 9 | 0.72 | –0.01 | –0.15 | 0.33 | 0.84 | 0.23 | –0.13 | 0.02 | 0.48 | 0.58 | 0.09 | –0.07 | 0.06 | 0.49 | 0.55 |
| Mine 10 | 0.79 | –0.11 | –0.19 | 0.36 | 0.87 | 0.55 | –0.15 | –0.05 | 0.38 | 0.69 | 0.29 | –0.09 | 0.09 | 0.42 | 0.59 |
Publisher’s Note: MDPI stays neutral with regard to jurisdictional claims in published maps and institutional affiliations. |
© 2022 by the authors. Licensee MDPI, Basel, Switzerland. This article is an open access article distributed under the terms and conditions of the Creative Commons Attribution (CC BY) license (https://creativecommons.org/licenses/by/4.0/).
Share and Cite
Tang, H.; Fang, J.; Xie, R.; Ji, X.; Li, D.; Yuan, J. Impact of Land Cover Change on a Typical Mining Region and Its Ecological Environment Quality Evaluation Using Remote Sensing Based Ecological Index (RSEI). Sustainability 2022, 14, 12694. https://doi.org/10.3390/su141912694
Tang H, Fang J, Xie R, Ji X, Li D, Yuan J. Impact of Land Cover Change on a Typical Mining Region and Its Ecological Environment Quality Evaluation Using Remote Sensing Based Ecological Index (RSEI). Sustainability. 2022; 14(19):12694. https://doi.org/10.3390/su141912694
Chicago/Turabian StyleTang, Huan, Jiawei Fang, Ruijie Xie, Xiuli Ji, Dayong Li, and Jing Yuan. 2022. "Impact of Land Cover Change on a Typical Mining Region and Its Ecological Environment Quality Evaluation Using Remote Sensing Based Ecological Index (RSEI)" Sustainability 14, no. 19: 12694. https://doi.org/10.3390/su141912694
APA StyleTang, H., Fang, J., Xie, R., Ji, X., Li, D., & Yuan, J. (2022). Impact of Land Cover Change on a Typical Mining Region and Its Ecological Environment Quality Evaluation Using Remote Sensing Based Ecological Index (RSEI). Sustainability, 14(19), 12694. https://doi.org/10.3390/su141912694

