Experimental Investigation of Particle Size Alteration and the Selective Crushing Phenomenon of Gangue during the Jaw Crushing Process
Abstract
:1. Introduction
2. Materials and Methods
2.1. Raw Material Preparation
2.2. Test Equipment
2.3. Scheme Design
3. Results and Discussion
3.1. Particle Size Distribution of Jaw-Crushed Gangue
3.2. Research on the Phenomenon of Selective Crushing of Gangue
3.2.1. Element Enrichment at Different Discharge Ports Widths
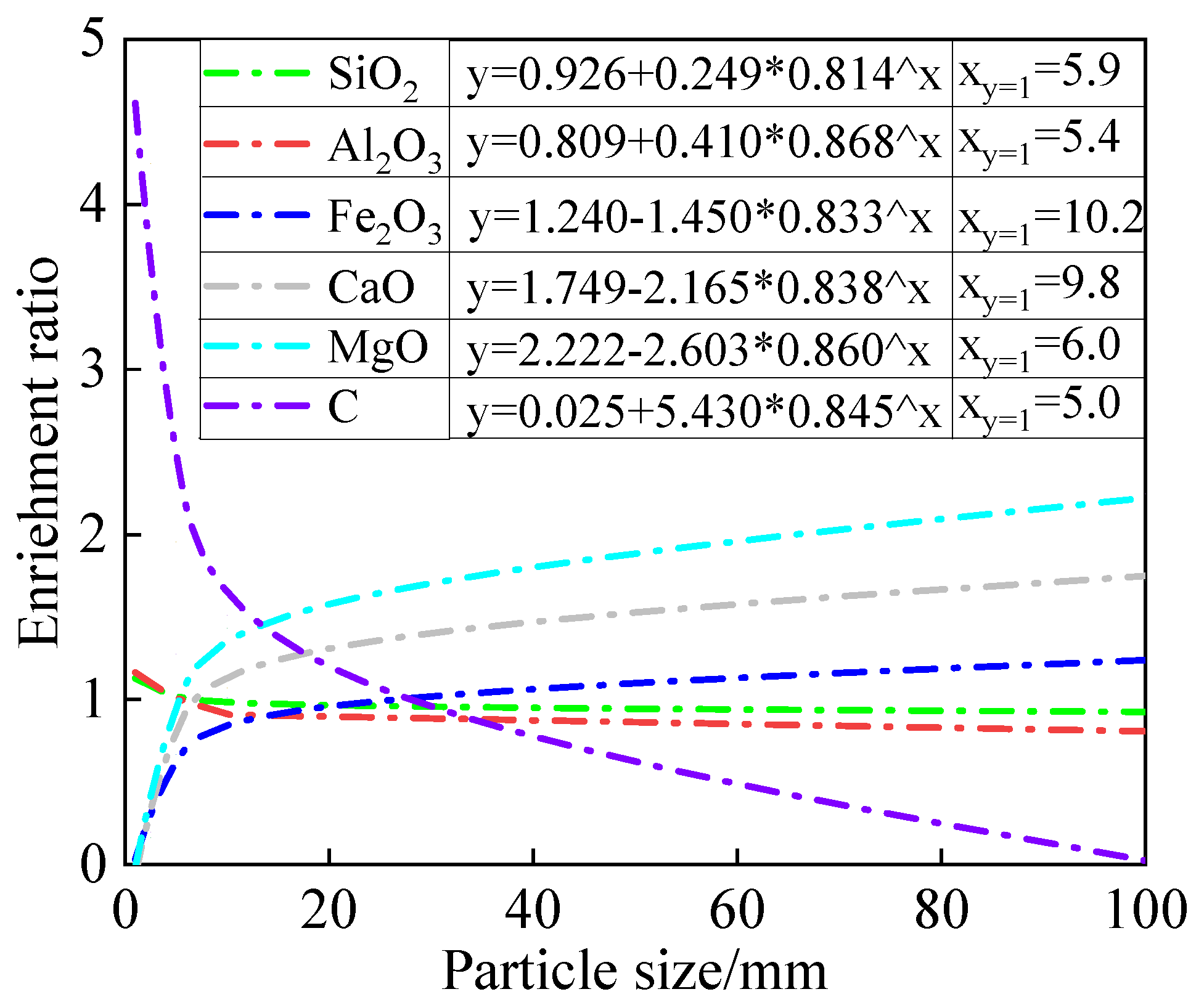
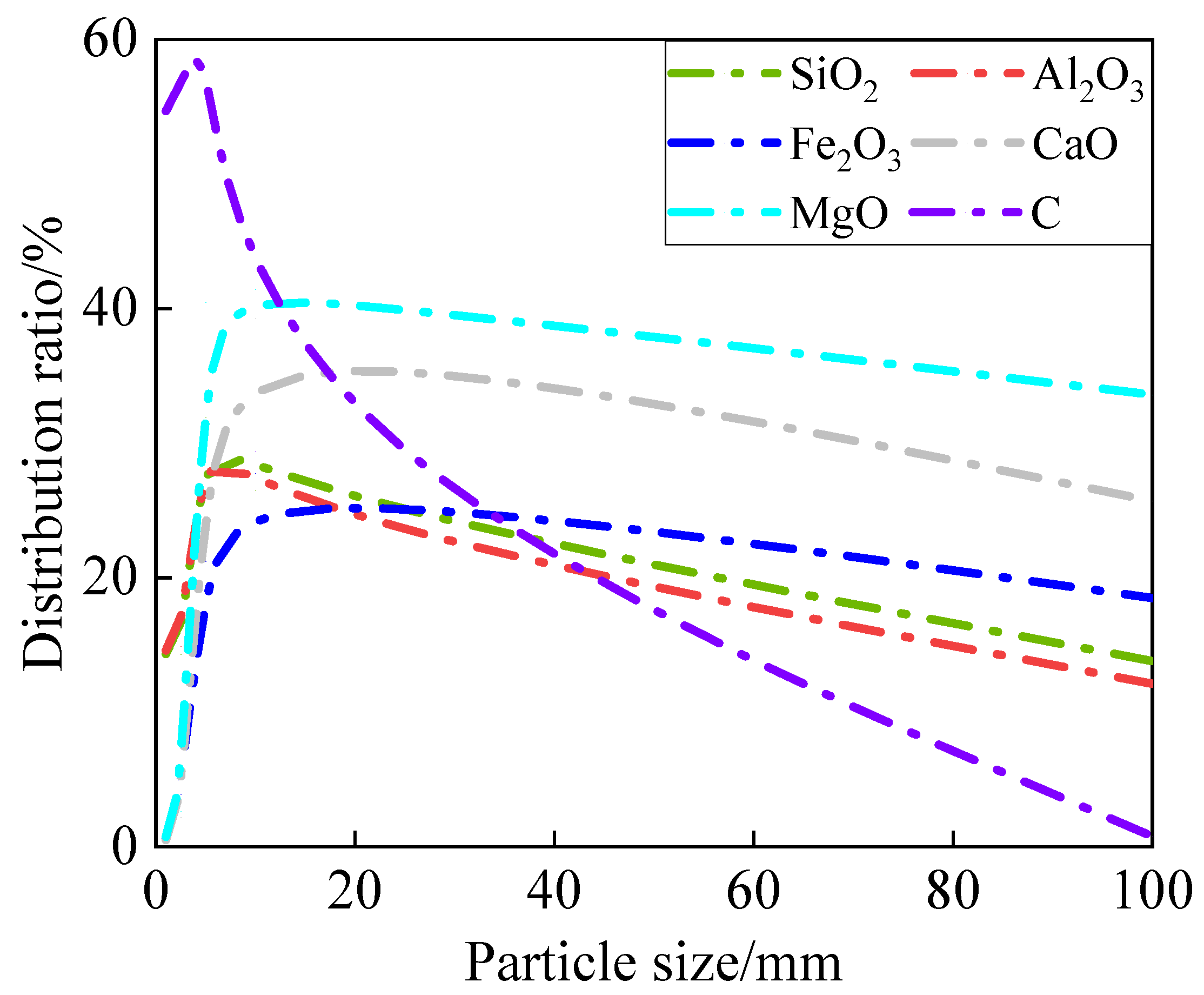
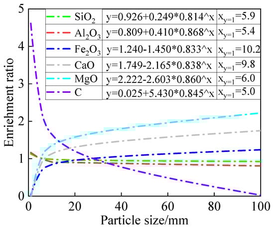
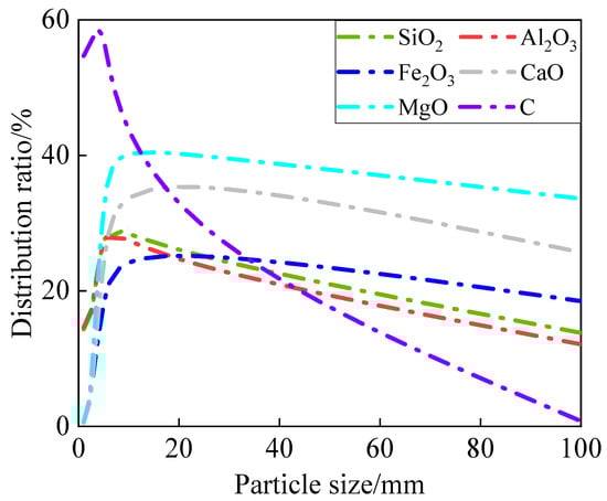
3.2.2. Elemental Enrichment at Different Particle Sizes
4. Summary
- (1)
- The R–R formula is used to describe the particle size distribution of gangue crushing at different port widths. The relationship between the characteristic particle size, uniformity index, and port width is obtained through a numerical fitting. Then, the particle size distribution model of gangue after jaw fracture is obtained:
- (2)
- By comparing the chemical composition of gangue at different particle size ranges after crushing, it was found that the distribution rate (ε) of SiO2, Al2O3, Fe2O3, CaO, and MgO always increased with the increase in the width of the discharge port. The distribution rate (ε) of the C element in the coarse-grained product decreased with the increase of the width of the discharge port. From the Δεmax of each component, it can be concluded that the influence of the width of the discharge port on the distribution rate (ε) of each component is Fe2O3 > SiO2 > Al2O3 > C > MgO > CaO.
- (3)
- The gangue exhibits an obvious selective crushing phenomenon in the crushing process. As the width of the discharge port/port increased, the gangue particles containing CaO and MgO were enriched in the coarse-grained products. The enrichment ratio (θ) increased gradually as the discharge port width decreased. The enrichment ratio (θ) of particles containing Fe2O3 fluctuated around 1.0 and gradually enriched from fine-grained to coarse-grained with the increased discharge port. The enrichment ratios (θ) of Al2O3 and SiO2 increased slowly with the width of the discharge port, and the range was concentrated between 0.95 and 1.0. The enrichment ratio (θ) of gangue particles containing C was always less than 1.0 and decreased with the increase of the discharge port width.
- (4)
- The variation law of each component of the gangue in the crushed particle size can be obtained, and the distribution rate (ε) of each element showed a law of first rising and then falling. Compared with Δεmax, it is evident that the effect of particle size on each component is C>MgO>CaO>Fe2O3>Al2O3 >SiO2. The trend of the enrichment ratio (θ) of each component in the broken gangue is consistent with the form . The enrichment ratios of SiO2, Al2O3, and C decreased with the increase in particle size, while MgO, CaO, and Fe2O3 decreased with the increase in particle size.
- (5)
- The research results have significance in guiding the selection of resource utilization methods of gangue with different particle sizes after crushing. For example, fine-particle gangue rich in the element C can be used for combustion and power generation; large-particle gangue rich in the elements CaO and MgO can be used for construction materials or road cornerstones, etc. Such selection is helpful to maximize the utilization value of gangue.
Author Contributions
Funding
Institutional Review Board Statement
Informed Consent Statement
Data Availability Statement
Acknowledgments
Conflicts of Interest
References
- Shang, Y.; Yang, F.-L.; Ning, X.; Dong, Y.-R.; Sang, N. Toxicity of Soil Leachate from Coal Gangue and Its Surrounding Village of Barley (Hordeum vulgare). Huan Jing Ke Xue Huanjing Kexue 2020, 41, 2936–2941. [Google Scholar] [PubMed]
- Wang, X.W.; Zhong, N.N.; Hu, D.M.; Liu, Z.Z.; Zhang, Z.H. Polycyclic aromatic hydrocarbon (PAHs) pollutants in groundwater from coal gangue stack area: Characteristics and origin. Water Sci. Technol. 2009, 59, 1043–1051. [Google Scholar] [CrossRef] [PubMed]
- Jiang, X.; Lu, W.X.; Zhao, H.Q.; Yang, Q.C.; Yang, Z.P. Potential ecological risk assessment and prediction of soil heavy-metal pollution around coal gangue dump. Nat. Hazards Earth Syst. Sci. 2014, 14, 1599–1610. [Google Scholar] [CrossRef]
- Zhang, Y.; Ling, T.C. Reactivity activation of waste coal gangue and its impact on the properties of cement-based materials∓A review. Constr. Build. Mater. 2020, 234, 117424. [Google Scholar] [CrossRef]
- Haibin, L.; Zhenling, L. Recycling utilization patterns of coal mining waste in China. Resour. Conserv. Recycl. 2010, 54, 1331–1340. [Google Scholar] [CrossRef]
- Zhao, J.; Wang, D.; Liao, S. Effect of mechanical grinding on physical and chemical characteristics of circulating fluidized bed fly ash from coal gangue power plant. Constr. Build. Mater. 2015, 101, 851–860. [Google Scholar] [CrossRef]
- Lü, Q.; Dong, X.; Zhu, Z.; Dong, Y. Environment-oriented low-cost porous mullite ceramic membrane supports fabricated from coal gangue and bauxite. J. Hazard. Mater. 2014, 273, 136–145. [Google Scholar] [CrossRef]
- Dang, W.; He, H.Y. Glass-ceramics fabricated by efficiently utilizing coal gangue. J. Asian Ceram. Soc. 2020, 8, 365–372. [Google Scholar] [CrossRef]
- Xu, G.L.; Sun, C.M.; Sun, Y.; Liao, H. A new comprehensive utilization method for coal gangue: Preparing alite-sulphoaluminate cement. In Advanced Materials Research; Trans Tech Publications Ltd.: Bäch, Switzerland, 2013; Volume 652, pp. 1527–1532. [Google Scholar]
- Wang, B.; Ma, Y.; Lee, X.; Wu, P.; Liu, F.; Zhang, X.; Li, L.; Chen, M. Environmental-friendly coal gangue-biochar composites reclaiming phosphate from water as a slow-release fertilizer. Sci. Total Environ. 2021, 758, 143664. [Google Scholar] [CrossRef]
- Ashfaq, M.; Heeralal, M.; Moghal, A.A.B. Characterization studies on coal gangue for sustainable geotechnics. Innov. Infrastruct. Solut. 2020, 5, 1–12. [Google Scholar] [CrossRef]
- Lavrinenko, A.A.; Svechnikova, N.Y.; Konovnitsyna, N.S.; Igumensheva, E.A.; Kuklina, O.V.; Khasanzyanova, A.I. Utilization of bituminous coal flotation wastes in the manufacture of ceramic brick. Solid Fuel Chem. 2018, 52, 406–410. [Google Scholar] [CrossRef]
- Wu, C.; Jiang, W.; Zhang, C.; Li, J.; Wu, S.; Wang, X.; Xu, Y.; Wang, W.; Feng, M. Preparation of solid-waste-based pervious concrete for pavement: A two-stage utilization approach of coal gangue. Constr. Build. Mater. 2022, 319, 125962. [Google Scholar] [CrossRef]
- Li, B.; Ju, F. An experimental investigation into the compaction characteristic of granulated gangue backfilling materials modified with binders. Environ. Earth Sci. 2018, 77, 1–9. [Google Scholar] [CrossRef]
- Wu, D.; Luo, F.; Li, M.; Diao, Y.; Guo, Y.; Xu, P. Macroscopic and microscopic study on the compression bearing characteristics and deformation failure mechanism of gangue with different particle sizes. Powder Technol. 2021, 383, 198–211. [Google Scholar] [CrossRef]
- Song, S.; Li, S.; Zhang, T.; Pan, H.; Liu, N.; Zhang, L. Study on the distribution pattern of particle re-crushing in the coal and rock mass crushing process under pressure. PLoS ONE 2022, 17, e0262235. [Google Scholar]
- Li, J.P.; Zheng, K.H.; Du, C.L. The distribution discipline of impact crushed on coal and gangue. J. China Coal Soc. 2013, 38, 54–58. [Google Scholar]
- Yang, D.-L.; Li, J.-P.; Du, C.-L.; Zheng, K.-H.; Liu, S.-Y. Particle size distribution of coal and gangue after impact-crush separation. J. Cent. South Univ. 2017, 24, 1252–1262. [Google Scholar] [CrossRef]
- Zhang, H.; Ouyang, S. Release characteristics of heavy metals from coal gangue under simulation leaching conditions. Energy Explor. Exploit. 2014, 32, 413–422. [Google Scholar] [CrossRef]
- Tang, Q.; Li, L.; Zhang, S.; Zheng, L.; Miao, C. Characterization of heavy metals in coal gangue-reclaimed soils from a coal mining area. J. Geochem. Explor. 2018, 186, 1–11. [Google Scholar] [CrossRef]
- Li, C.; Zheng, L.; Jiang, C.; Chen, X.; Ding, S. Characteristics of leaching of heavy metals from low-sulfur coal gangue under different conditions. Int. J. Coal Sci. Technol. 2021, 8, 780–789. [Google Scholar] [CrossRef]
- Legendre, D.; Zevenhoven, R. Assessing the energy efficiency of a jaw crusher. Energy 2014, 74, 119–130. [Google Scholar] [CrossRef]
- Moghadam, M.J.; Ajalloeian, R.; Hajiannia, A. Preparation and application of alkali-activated materials based on waste glass and coal gangue: A review. Constr. Build. Mater. 2019, 221, 84–98. [Google Scholar] [CrossRef]
- Li, J.; Wang, J. Comprehensive utilization and environmental risks of coal gangue: A review. J. Clean. Prod. 2019, 239, 117946. [Google Scholar] [CrossRef]
- Tan, W.F.; Wang, L.A.; Huang, C. Environmental effects of coal gangue and its utilization. Energy Sources Part A Recovery Util. Environ. Eff. 2016, 38, 3716–3721. [Google Scholar] [CrossRef]
- Yu, L.J.; Feng, Y.L.; Yan, W. The current situation of comprehensive utilization of coal gangue in China. In Advanced Materials Research; Trans Tech Publications Ltd.: Bäch, Switzerland, 2012; Volume 524, pp. 915–918. [Google Scholar]
- Johansson, M.; Bengtsson, M.; Evertsson, M.; Hulthén, E. A fundamental model of an industrial-scale jaw crusher. Miner. Eng. 2017, 105, 69–78. [Google Scholar] [CrossRef]
- González-Tello, P.; Camacho, F.; Vicaria, J.; González, P. A modified Nukiyama–Tanasawa distribution function and a Rosin–Rammler model for the particle-size-distribution analysis. Powder Technol. 2008, 186, 278–281. [Google Scholar] [CrossRef]
- Allaire, S.E.; Parent, L.E. Size guide number and Rosin–Rammler approaches to describe particle size distribution of granular organic-based fertilisers. Biosyst. Eng. 2003, 86, 503–509. [Google Scholar] [CrossRef]
- Delagrammatikas, G.; Tsimas, S. Grinding process simulation based on Rosin-Rammler equation. Chem. Eng. Commun. 2004, 191, 1362–1378. [Google Scholar] [CrossRef]
- Tambun, R.; Furukawa, K.; Hirayama, M.; Shimadzu, M.; Yamanaka, S.; Ohira, Y. Measurement and Estimation of the Particle Size Distribution by the Buoyancy Weighing–Bar Method and the Rosin–Rammler Equation. J. Chem. Eng. Jpn. 2018, 49, 229–233. [Google Scholar] [CrossRef]
- Sutherland, R.A.; Tolosa, C.A.; Tack, F.M.G.; Verloo, M.G. Characterization of selected element concentrations and enrichment ratiosin background and anthropogenically impacted roadside areas. Arch. Environ. Contam. Toxicol. 2000, 38, 428–438. [Google Scholar] [CrossRef]
- Bourennane, H.; Douay, F.; Sterckeman, T.; Villanneau, E.; Ciesielski, H.; King, D.; Baize, D. Mapping of anthropogenic trace elements inputs in agricultural topsoil from Northern France using enrichment factors. Geoderma 2010, 157, 165–174. [Google Scholar] [CrossRef]
- Reimann, C.; de Caritat, P. Distinguishing between natural and anthropogenic sources for elements in the environment: Regional geochemical surveys versus enrichment factors. Sci. Total Environ. 2005, 337, 91–107. [Google Scholar] [CrossRef] [PubMed]
- Duran, J. Sands, Powders, and Grains: An Introduction to the Physics of Granular Materials; Springer Science & Business Media: Berlin/Heidelberg, Germany, 2012. [Google Scholar]
- Henningsen, D. Crushing of sedimentary rock samples and its effect on shape and number of heavy minerals. Sedimentology 1967, 8, 253–255. [Google Scholar] [CrossRef]
- Du, F.; Bai, H. Thin Bedrock Coal Seam Overlying Rock Failure Mechanism under the Influence of the Depositional Environment. Electron. J. Geotech. Eng. 2012, 17, 3373–3384. [Google Scholar]
- Kasanin-Grubin, M. Clay mineralogy as a crucial factor in badland hillslope processes. Catena 2013, 106, 54–67. [Google Scholar] [CrossRef]
- Nugroho, S.A.; Wibisono, G.; Ongko, A.; Mauliza, A.Z. The Influence of High Plasticity and Expansive Clay Stabilization with Limestone on Unconfined Compression Strength. J. Civ. Eng. Forum 2021, 7, 147–154. [Google Scholar]
- Cokca, E.; Erol, O.; Armangil, F. Effects of compaction moisture content on the shear strength of an unsaturated clay. Geotech. Geol. Eng. 2004, 22, 285–297. [Google Scholar] [CrossRef]












| Width | SiO2 (%) | Al2O3 (%) | Fe2O3 (%) | CaO (%) | MgO (%) | C (%) | ||||||
|---|---|---|---|---|---|---|---|---|---|---|---|---|
| +3 mm | −3 mm | +3 mm | −3 mm | +3 mm | −3 mm | +3 mm | −3 mm | +3 mm | −3 mm | +3 mm | −3 mm | |
| 6 mm | 57.54 | 62.67 | 20.49 | 24.12 | 5.77 | 6.03 | 4.61 | 0.75 | 3.05 | 0.58 | 0.12 | 1.13 |
| 8 mm | 56.15 | 65.32 | 20.07 | 25.66 | 5.90 | 4.12 | 4.76 | 0.48 | 3.16 | 0.29 | 0.05 | 1.54 |
| 10 mm | 56.02 | 66.32 | 22.01 | 26.09 | 5.93 | 0.77 | 4.91 | 0.13 | 3.22 | 0.12 | 0.01 | 1.74 |
| Size/mm | Yield/% | Element Ratio/% | |||||
|---|---|---|---|---|---|---|---|
| SiO2 | Al2O3 | Fe2O3 | CaO | MgO | C | ||
| <1 | 12.7 | 67.32 | 26.09 | 0.27 | 0.13 | 0.12 | 1.59 |
| 1–2.5 | 13.26 | 64.31 | 25.48 | 1.67 | 0.53 | 0.40 | 1.57 |
| 2.5–5 | 31.67 | 60.10 | 22.75 | 3.82 | 2.94 | 2.58 | 0.72 |
| 5–10 | 27.42 | 57.54 | 20.49 | 5.77 | 4.61 | 3.05 | 0.39 |
| >10 | 14.95 | 55.10 | 18.41 | 7.05 | 5.53 | 4.54 | 0.02 |
Publisher’s Note: MDPI stays neutral with regard to jurisdictional claims in published maps and institutional affiliations. |
© 2022 by the authors. Licensee MDPI, Basel, Switzerland. This article is an open access article distributed under the terms and conditions of the Creative Commons Attribution (CC BY) license (https://creativecommons.org/licenses/by/4.0/).
Share and Cite
Zhu, L.; Gu, W.; Song, T.; Qiu, F. Experimental Investigation of Particle Size Alteration and the Selective Crushing Phenomenon of Gangue during the Jaw Crushing Process. Sustainability 2022, 14, 12395. https://doi.org/10.3390/su141912395
Zhu L, Gu W, Song T, Qiu F. Experimental Investigation of Particle Size Alteration and the Selective Crushing Phenomenon of Gangue during the Jaw Crushing Process. Sustainability. 2022; 14(19):12395. https://doi.org/10.3390/su141912395
Chicago/Turabian StyleZhu, Lei, Wenzhe Gu, Tianqi Song, and Fengqi Qiu. 2022. "Experimental Investigation of Particle Size Alteration and the Selective Crushing Phenomenon of Gangue during the Jaw Crushing Process" Sustainability 14, no. 19: 12395. https://doi.org/10.3390/su141912395
APA StyleZhu, L., Gu, W., Song, T., & Qiu, F. (2022). Experimental Investigation of Particle Size Alteration and the Selective Crushing Phenomenon of Gangue during the Jaw Crushing Process. Sustainability, 14(19), 12395. https://doi.org/10.3390/su141912395
