Settlement Characteristic of Warm Permafrost Embankment with Two-Phase Closed Thermosyphons in Daxing’anling Mountains Region
Abstract
:1. Introduction
2. Coupled Thermal–Mechanical Modeling
2.1. Coupled Thermal–Mechanical Model
2.1.1. Physics Models
2.1.2. Geometric Model
2.1.3. Boundary Conditions
2.1.4. Material Parameters
2.1.5. Two-Phase Closed Thermosyphon (TPCT)
2.2. Model Verification
2.2.1. On-Site Monitoring
2.2.2. Model Validation
3. Evolution Characteristics without TPCT
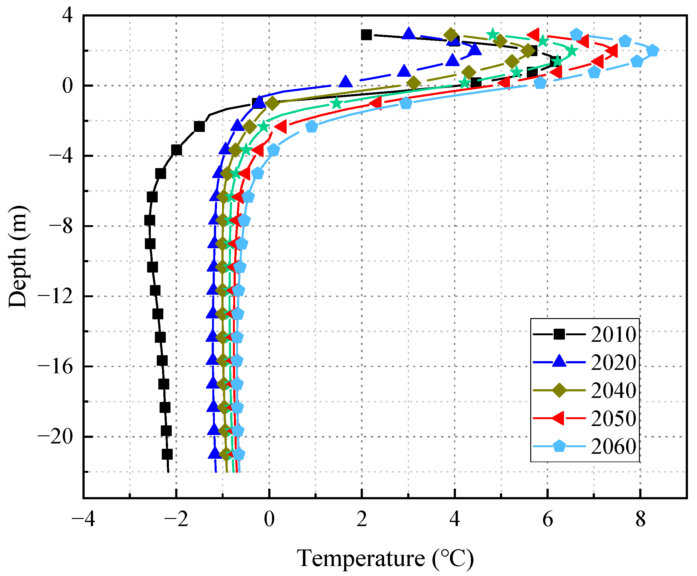
3.1. Temperature Field in 50 Years
3.2. Deformation Field in 50 Years
4. Influence of TPCTs
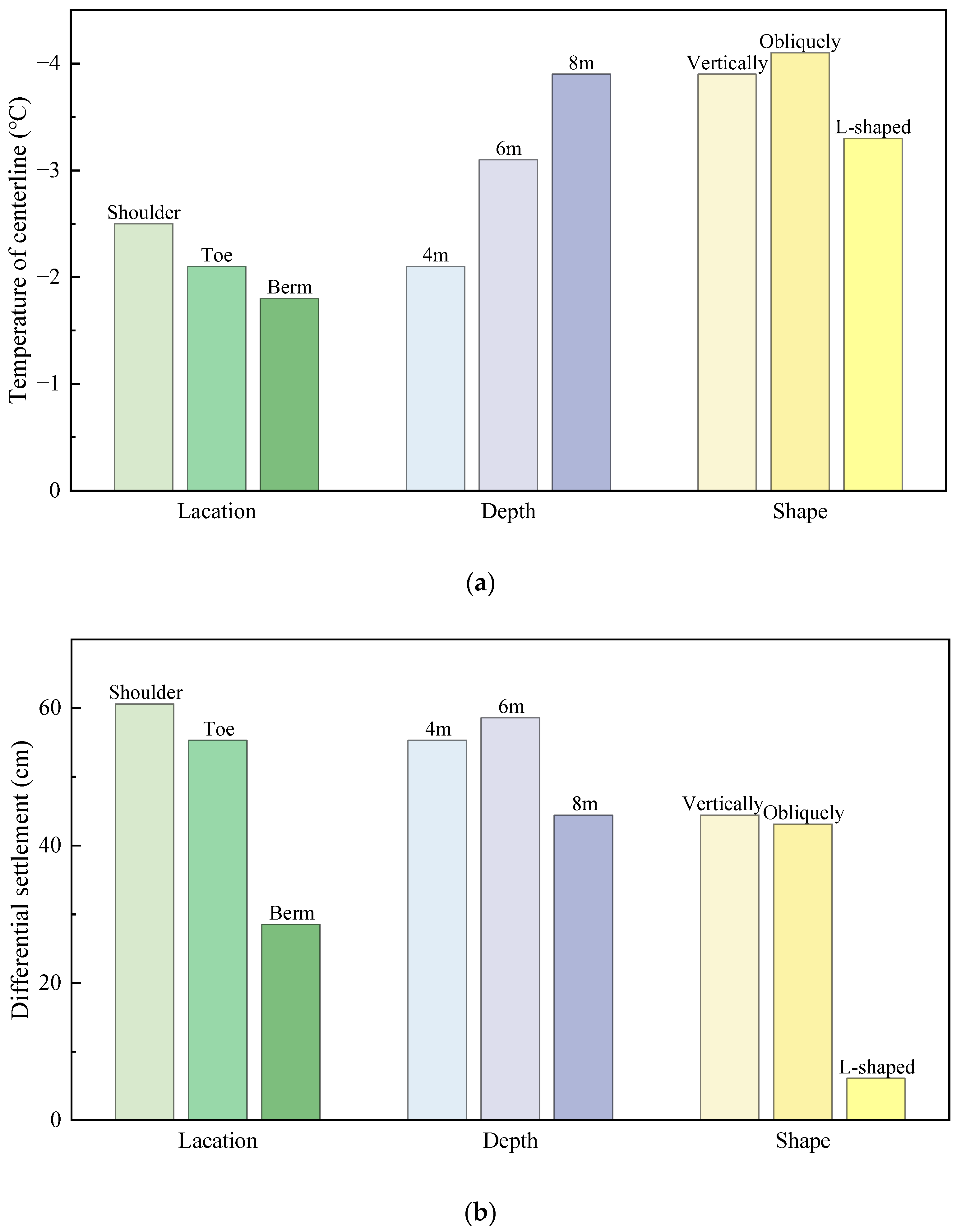
4.1. Locations of TPCTs
4.2. Depth of TPCTs
4.3. Shapes of TPCTs
4.4. Discussions
5. Conclusions
- (1)
- The permafrost under the embankment of the Mohe–Beijicun Highway will be in the process of warming and thawing in the next 50 years, and the permafrost table has decreased rapidly, which will lead to serious settlement of the embankment. In the first five years, the embankment settlement developed rapidly, and in the following 45 years, the embankment settlement will develop linearly.
- (2)
- TPCTs have an excellent cooling effect on the permafrost embankment. The buried depth of the TPCTs has a great impact on the cooling effect of the soil. When the buried depth is 6 m, the TPCTs has the best cooling effect. TPCTs installed on the shoulder of the embankment can also better cool the permafrost foundation.
- (3)
- Using TPCTs will inevitably cause differential deformation, especially when the cooling efficiency is better. The locations of the TPCTs and the shape of the TPCTs have a remarkable impact on the differential settlement of the ground within the range of the road surface, and the L-shaped TPCTs have the best effect on improving the differential settlement.
- (4)
- In order to ensure the cooling effect and reduce the differential settlement of the embankment, it is suggested that installing flexible L-shaped TPCTs should be adopted in the remedial project of the embankment thawing settlement of Mohe–Beijicun Highway.
Author Contributions
Funding
Institutional Review Board Statement
Informed Consent Statement
Data Availability Statement
Conflicts of Interest
References
- Zhou, Y.; Guo, D.; Qiu, G.; Cheng, G.; Li, S. Geocryology in China; Science Press: Beijing, China, 2000. [Google Scholar]
- Schiermeier, Q. Alpine thaw breaks ice over permafrost’s role. Nature 2003, 424, 712. [Google Scholar] [CrossRef] [PubMed]
- Wu, Q.; Li, Y.; Zhang, J.; Tong, C. A review of recent frozen soil engineering in permafrost regions along Qinghai-Tibet Highway, China. Permafr. Periglac. 2002, 13, 199–205. [Google Scholar] [CrossRef]
- Goering, D. Passively cooled railway embankments for use in permafrost areas. J. Cold Reg. Eng. 2003, 17, 119–133. [Google Scholar] [CrossRef]
- Lai, Y.; Zhang, L.; Zhang, S.; Mi, L. Cooling effect of ripped-stone embankments on Qing-Tibet railway under climatic warming. Chin. Sci. Bull. 2003, 48, 598–604. [Google Scholar] [CrossRef]
- Sun, W.; Wu, Y.; Guo, X. Influences of two-phase closed thermosyphon on permafrost roadbed stability. China J. Highw. Transp. 2009, 22, 15–20. [Google Scholar] [CrossRef]
- Wu, Q.; Li, S.; Liu, Y. The impact of climate warming on permafrost and Qinghai-Tibet railway. Eng. Sci. 2006, 4, 92–97. [Google Scholar]
- Zhang, Z.; Wu, Q.; Hou, M.; Tai, B.; An, Y. Permafrost change in Northeast China in the 1950s–2010s. Adv. Clim. Chang. Res. 2021, 12, 18–28. [Google Scholar] [CrossRef]
- Biskaborn, B.; Smith, S.; Jeannette, N.; Goncalo, V. Permafrost is Warming at a Global Scale. Nat Commun. 2019, 10, 264. [Google Scholar] [CrossRef]
- He, R.; Jin, H.; Luo, D.; Huang, Y.; Ma, F.; Li, X.; Wang, H.; Li, Y.; Jia, N.; Li, X.; et al. Changes in the permafrost environment under dual impacts of climate change and human activities in the Hola Basin, northern Da Xing’anling Mountains, Northeast China. Land Degrad. Dev. 2022, 33, 1219–1234. [Google Scholar] [CrossRef]
- Mao, Y.; Li, G.; Ma, W.; Mu, Y.; Wang, F.; Miao, J.; Wu, D. Field observation of permafrost degradation under Mo’he airport, Northeastern China from 2007 to 2016. Cold Reg. Sci. Technol. 2019, 161, 43–50. [Google Scholar] [CrossRef]
- Ye, M.; Yan, F.; Hu, F.; Mao, X. Freeze depth predicting of permafrost subgrade based on moisture and thermal coupling model. KSCE J. Civ. Eng. 2015, 19, 1707–1715. [Google Scholar] [CrossRef]
- Wang, S.; Niu, F.; Chen, J.; Dong, Y. Permafrost research in China related to express highway construction. Permafr. Periglac. 2020, 31, 406–416. [Google Scholar] [CrossRef]
- Liu, J.; Tai, B.; Fang, J. Ground temperature and deformation analysis for an expressway embankment in warm permafrost regions of the Tibet plateau. Permafr. Periglac. 2019, 30, 208–221. [Google Scholar] [CrossRef]
- Chen, L.; Yu, W.; Lu, Y.; Wu, P.; Han, F. Characteristics of heat fluxes of an oil pipeline armed with thermosyphons in permafrost regions. Appl. Therm. Eng. 2021, 190, 116694. [Google Scholar] [CrossRef]
- Mu, Y.; Li, G.; Yu, Q.; Ma, W.; Wang, D.; Wang, F. Numerical study of long-term cooling effects of thermosyphons around tower footings in permafrost regions along the Qinghai-Tibet Power Transmission Line. Cold Reg. Sci. Technol. 2016, 121, 237–249. [Google Scholar] [CrossRef]
- Lee, Y.; Mital, U. A two-phase closed thermosyphon. Int. J. Heat Mass Tran. 1972, 15, 1695–1707. [Google Scholar] [CrossRef]
- Noie, S. Heat transfer characteristics of a two-phase closed thermosyphon. Appl. Therm. Eng. 2005, 25, 495–506. [Google Scholar] [CrossRef]
- ForsstrOm, A.; Long, E.; Zarling, J.; Knutsson, S. Thermosyphon cooling of chena hot springs road. In Proceedings of the 11th International Conference on Cold Regions Engineering, Anchorage, AK, USA, 20–22 May 2002. [Google Scholar] [CrossRef]
- Markov, E.; Pulnikov, S.; Sysoev, Y. Calculation of freezing radius around vertical two-phase thermosyphon in subarctic climate. J. Eng. Sci. Technol. 2019, 14, 2913–2927. [Google Scholar]
- Yu, F.; Zhang, M.; Lai, Y.; Liu, Y.; Qi, J.; Yao, X. Crack formation of a highway embankment installed with two-phase closed thermosyphons in permafrost regions: Field experiment and geothermal modelling. Appl. Therm. Eng. 2017, 115, 670–681. [Google Scholar] [CrossRef]
- Pei, W.; Zhang, M.; Li, S.; Lai, Y.; Jin, L.; Zhai, W.; Yu, F.; Lu, J. Geotemperature control performance of two-phase closed thermosyphons in the shady and sunny slopes of an embankment in a permafrost region. Appl. Therm. Eng. 2017, 112, 986–998. [Google Scholar] [CrossRef]
- Pei, W.; Zhang, M.; Lai, Y.; Yan, Z.; Li, S. Evaluation of the ground heat control capacity of a novel air-L-shaped TPCT-ground (ALTG) cooling system in cold regions. Energy 2019, 179, 655–668. [Google Scholar] [CrossRef]
- Pei, W.; Zhang, M.; Wan, X.; Lai, Y.; Wang, C. Numerical optimization of the installing position for the L-shaped TPCT in a permafrost embankment based on the spatial heat control. Sol. Energy 2021, 224, 1406–1425. [Google Scholar] [CrossRef]
- Kukkapalli, V.K.; Kim, J.H.; Kim, S. Optimum design of thermosyphon evaporators for roadway embankment stabilization in the arctic regions. J. Mech. Sci. Technol. 2021, 35, 4757–4764. [Google Scholar] [CrossRef]
- Zhang, H.; Zhang, J.; Zhang, Z.; Chen, J.; You, Y. A consolidation model for estimating the settlement of warm permafrost. Comput. Geotech. 2016, 76, 43–50. [Google Scholar] [CrossRef]
- Zhang, M.; Pei, W.; Li, S.; Lu, J.; Jin, L. Experimental and numerical analyses of the thermo-mechanical stability of an embankment with shady and sunny slopes in a permafrost region. Appl. Therm. Eng. 2017, 127, 1478–1487. [Google Scholar] [CrossRef]
- Zheng, B.; Zhang, J.; Qin, Y. Investigation for the deformation of embankment underlain by warm and ice-rich permafrost. Cold Reg. Sci. Technol. 2010, 60, 161–168. [Google Scholar] [CrossRef]
- Ming, F.; Yu, Q.; Li, D. Investigation of embankment deformation mechanisms in permafrost regions. Transp. Geotech. 2018, 16, 21–28. [Google Scholar] [CrossRef]
- Qi, J.; Yao, X.; Yu, F.; Liu, Y. Study on thaw consolidation of permafrost under roadway embankment. Cold Reg. Sci. Technol. 2012, 81, 48–54. [Google Scholar] [CrossRef]
- Tian, Y.; Yang, Z.; Liu, Y.; Cai, X.; Shen, Y. Long-term thermal stability and settlement of heat pipe-protected highway embankment in warm permafrost regions. Eng. Geol. 2021, 292, 106269. [Google Scholar] [CrossRef]
- Yuan, C.; Yu, Q.; You, Y.; Guo, L. Formation mechanism of longitudinal cracks in expressway embankments with inclined thermosyphons in warm and ice-rich permafrost regions. Appl. Therm. Eng. 2018, 133, 21–32. [Google Scholar] [CrossRef]
- Zhang, M.; Lai, Y.; Dong, Y. Three-dimensional nonlinear analysis for the cooling characteristics of crushed-rock interlayer embankment with ventilated duct along the Qinghai-Tibet expressway in permafrost regions. J. Cold Reg. Eng. 2010, 24, 126–141. [Google Scholar] [CrossRef]
- Yang, Z.; Lee, K.; Liu, H. Permafrost thaw and ground settlement considering long-term climate impact in northern Alaska. J. Infrastruct. Preserv. Resil. 2021, 2, 8. [Google Scholar] [CrossRef]
- Yang, Z.; Sun, T.; Wang, J.; Zhang, F.; Zubeck, H.; Aleshire, L. Well casing subsidence in thawing permafrost: A case study. J. Cold Reg. Eng. 2020, 34, 04020009. [Google Scholar] [CrossRef]
- Mu, Y.; Li, G.; Ma, W.; Song, Z.; Zhou, Z.; Fei, W. Rapid permafrost thaw induced by heat loss from a buried warm-oil pipeline and a new mitigation measure combining seasonal air-cooled embankment and pipe insulation. Energy 2020, 203, 117919. [Google Scholar] [CrossRef]
- Shin, H.; Kodide, U. Thermal conductivity of ternary mixtures for concrete pavements. Cem. Concr. Comp. 2012, 34, 575–582. [Google Scholar] [CrossRef]
- Frank, M.; Robert, O. Fast Track Paving: Concrete Temperature Control and Traffic Opening Criteria for Bonded Conrete Overlays; Transtec, Inc.: Austin, TX, USA, 1999; p. 91. [Google Scholar]
- Li, S.; Lai, Y.; Zhang, M.; Dong, Y. Study on long-term stability of Qinghai-Tibet railway embankment. Cold Reg. Sci. Technol. 2009, 57, 139–147. [Google Scholar] [CrossRef]
- Tang, L.; Yang, L.; Wang, X.; Yang, G.; Ren, X.; Li, Z.; Li, G. Numerical analysis of frost heave and thawing settlement of the pile–soil system in degraded permafrost region. Environ. Earth Sci. 2021, 80, 693. [Google Scholar] [CrossRef]
- Tian, Y.; Liu, J. Nonlinear analysis for the cooling effect of road subgrade with varying spacings of thermosyphons in cold region. In Proceedings of the International Conference on Geotechnical and Earthquake Engineering, Chengdu, China, 25–27 October 2013. [Google Scholar] [CrossRef]



















| Layer | Heat Conductivity Coefficient (W∙m−1∙°C−1) | Specific Heat (J∙kg−1∙°C−1) | Density (kg/m3) | Moisture Content (%) | ||
|---|---|---|---|---|---|---|
| Cu | Cf | ρ | ω | |||
| Concrete pavement | 1.68 | 1.68 | 900 | 900 | 2450 | — |
| Base course | 1.57 | 1.57 | 1000 | 1000 | 2350 | — |
| Embankment | 1.82 | 1.98 | 1463 | 1129 | 1800 | 15 |
| Clay | 1.24 | 1.89 | 2090 | 1588 | 1500 | 30 |
| Sandstone | 1.51 | 1.69 | 877 | 771 | 2000 | 2 |
| Layer | a1 | b1 | a2 | b2 | ρ (kg/m3) | δ0 (%) |
|---|---|---|---|---|---|---|
| Concrete pavement | 31,000 | 0 | 0.15 | 0 | 2450 | — |
| Base course | 2000 | 0 | 0.2 | 0 | 2350 | — |
| Embankment | 34 | 8.37 | 0.41 | 0.052 | 1800 | 3 |
| Clay | 5 | 38.84 | 0.35 | 0.036 | 1500 | 25 |
| Sandstone | 140 | 107.81 | 0.25 | 0.004 | 2000 | 1 |
Publisher’s Note: MDPI stays neutral with regard to jurisdictional claims in published maps and institutional affiliations. |
© 2022 by the authors. Licensee MDPI, Basel, Switzerland. This article is an open access article distributed under the terms and conditions of the Creative Commons Attribution (CC BY) license (https://creativecommons.org/licenses/by/4.0/).
Share and Cite
Wang, G.; Bi, J.; Fan, Y.; Zhu, L.; Zhang, F.; Feng, D. Settlement Characteristic of Warm Permafrost Embankment with Two-Phase Closed Thermosyphons in Daxing’anling Mountains Region. Sustainability 2022, 14, 12272. https://doi.org/10.3390/su141912272
Wang G, Bi J, Fan Y, Zhu L, Zhang F, Feng D. Settlement Characteristic of Warm Permafrost Embankment with Two-Phase Closed Thermosyphons in Daxing’anling Mountains Region. Sustainability. 2022; 14(19):12272. https://doi.org/10.3390/su141912272
Chicago/Turabian StyleWang, Guanfu, Jiajun Bi, Youkai Fan, Long Zhu, Feng Zhang, and Decheng Feng. 2022. "Settlement Characteristic of Warm Permafrost Embankment with Two-Phase Closed Thermosyphons in Daxing’anling Mountains Region" Sustainability 14, no. 19: 12272. https://doi.org/10.3390/su141912272
APA StyleWang, G., Bi, J., Fan, Y., Zhu, L., Zhang, F., & Feng, D. (2022). Settlement Characteristic of Warm Permafrost Embankment with Two-Phase Closed Thermosyphons in Daxing’anling Mountains Region. Sustainability, 14(19), 12272. https://doi.org/10.3390/su141912272

