Time-Dependent Deformation and Long-Term Strength of Carbonaceous Mudstone under Dry and Wet Cycles
Abstract
:1. Introduction
2. Test Method
2.1. Specimen Characteristics
2.2. Dry and Wet Cycle Test
2.3. Triaxial Compression Creep Test
3. Test Results
4. Creep Analysis
4.1. Transient Strain
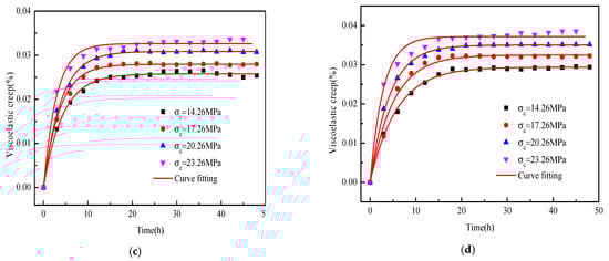
4.2. Viscoelastic Creep Analysis
4.3. Viscoplastic Creep Analysis
5. Long-Term Strength Analysis
5.1. The Steady-State Viscoplastic Creep Method
5.2. The Isochronous Curve Method
5.3. The Transition Creep Method
5.4. Analysis and Discussion
6. The Effects of Dry and Wet Cycles on Long-Term Strength
7. Conclusions
- (1)
- The transient strain, viscoelastic creep, and viscoplastic creep of carbonaceous mudstone increased with the number of dry and wet cycles, and the creep failure stress decreased. Therefore, the dry and wet cycles intensified the development of creep in carbonaceous mudstone and accelerated the creep failure of the rock.
- (2)
- Determining the long-term strength of carbonaceous mudstone with the threshold stress of steady-state viscoplastic creep rate was more advantageous than using the isochronous curve method and the transition creep method, thus providing a new method for studying the long-term strength of soft rocks.
- (3)
- The long-term strength of carbonaceous mudstone decays exponentially with the number of dry and wet cycles, and the long-term strength decay rate during the first three dry and wet cycles is about 215 times the average decay rate. Therefore, the cut slopes with carbonaceous mudstone should be waterproofed in time after excavation.
Author Contributions
Funding
Data Availability Statement
Acknowledgments
Conflicts of Interest
Abbreviations
| Transient strain | |
| Viscoelastic creep | |
| Viscoplastic creep | |
| Axial strain | |
| Steady-state viscoplastic creep rate | |
| Fitting parameter | |
| Fitting parameter | |
| Fitting parameter | |
| Long-term strength | |
| Number of dry and wet cycles |
References
- Zhao, Y.L.; Wang, Y.X.; Wang, W.J.; Wan, W.; Tang, J.Z. Modeling of non-linear rheological behavior of hard rock using triaxial rheological experiment. Int. J. Rock Mech. Min. Sci. 2017, 93, 66–75. [Google Scholar] [CrossRef]
- Sharma, K.; Kiyota, T.; Kyokawa, H. Effect of slaking on direct shear behaviour of crushed mudstones. Soils Found. 2017, 57, 288–300. [Google Scholar] [CrossRef]
- Ishizawa, T.; Danjo, T.; Sakai, N. Real-Time Prediction Method for Slope Failure Caused by Rainfall Using Slope Monitoring Records. J. Disaster Res. 2017, 12, 980–992. [Google Scholar] [CrossRef]
- Deng, H.F.; Zhou, M.L.; Li, J.L.; Sun, X.S.; Huang, Y.L. Creep degradation mechanism by water-rock interaction in the red-layer soft rock. Arab. J. Geosci. 2016, 9, 1–12. [Google Scholar] [CrossRef]
- Zhao, Y.L.; Zhang, L.Y.; Wang, W.J.; Wan, W.; Li, S.Q.; Ma, W.H.; Wang, Y.X. Creep behavior of intact and cracked limestone under multi-level loading and unloading cycles. Rock Mech. Rock Eng. 2017, 50, 1409–1424. [Google Scholar] [CrossRef]
- Liu, Z.; Zhou, C.Y.; Li, B.T.; Lu, Y.Q.; Yang, X. A dissolution-diffusion sliding model for soft rock grains with hydro-mechanical effect. J. Rock Mech. Geotech. Eng. 2018, 10, 457–467. [Google Scholar] [CrossRef]
- Qin, Z.; Fu, H.; Chen, X. A study on altered granite meso-damage mechanisms due to water invasion-water loss cycles. Environ. Earth Sci. 2019, 78, 1–10. [Google Scholar] [CrossRef]
- Wang, X.; Lian, B.; Feng, W. A nonlinear creep damage model considering the effect of dry-wet cycles of rocks on reservoir bank slopes. Water 2020, 12, 2396. [Google Scholar] [CrossRef]
- Damjanac, B.; Fairhurst, C. Evidence for a long-term strength threshold in crystalline rock. Rock Mech. Rock Eng. 2010, 43, 513–531. [Google Scholar] [CrossRef]
- Zha, E.; Zhang, Z.; Zhang, R.; Wu, S.; Li, C.; Ren, L.; Zhou, J. Long-term mechanical and acoustic emission characteristics of creep in deeply buried jinping marble considering excavation disturbance. Int. J. Rock Mech. Min. Sci. 2021, 139, 104603. [Google Scholar] [CrossRef]
- Wu, L.Z.; Li, B.; Huang, R.Q.; Sun, P. Experimental study and modeling of shear rheology in sandstone with non-persistent joints. Eng. Geol. 2017, 222, 201–211. [Google Scholar] [CrossRef]
- Nara, Y.; Takada, M.; Mori, D.; Owada, H.; Yoneda, T.; Kaneko, K. Subcritical crack growth and long-term strength in rock and cementitious material. Int. J. Fract. 2010, 164, 57–71. [Google Scholar] [CrossRef]
- Yang, X.; Wang, J.; Zhu, C.; He, M. Effect of water on long-term strength of column rocks based on creep behavior in Yungang Grottoes, China. Geotech. Geol. Eng. 2019, 37, 173–183. [Google Scholar] [CrossRef]
- González Sánchez, J.A.; Bilyy, O.L.; Yukhym, R.Y. Evaluation of the Strength of Limestone After Long-Term Weathering Under Natural Conditions. Mater. Sci. 2018, 53, 560–568. [Google Scholar] [CrossRef]
- Schmidtke, R.H.; Lajtai, E.Z. The long-term strength of Lac du Bonnet granite. Int. J. Rock Mech. Min. Sci. Geomech. Abstr. 1985, 22, 461–465. [Google Scholar] [CrossRef]
- Szczepanik, Z.; Milne, D.; Kostakis, K.; Eberhardt, E. Long term laboratory strength tests in hard rock. In Proceedings of the 10th ISRM Congress, Sandton, South Africa, 8–12 September 2003. [Google Scholar]
- Shen, M.R.; Chen, H.J. Testing study of long-term strength characteristics of red sandstone. Rock Soil Mech. 2011, 32, 3301–3305. [Google Scholar]
- Zhang, Q.Y.; Yang, W.D.; Chen, F.; Li, W.G.; Wang, J.H. Long-term strength and microscopic failure mechanism of hard brittle rocks. Chin. J. Geotech. Eng. 2011, 33, 1910–1918. [Google Scholar]
- GB/T50266-2013; National Standards Compilation Group of People’s Republic of China. Standard for Tests Method of Engineering Rock Masses. China Plan Press: Beijing, China, 2013.
- Zhao, M.L.; Zhang, Q.Y. The application of cubic spline interpolation function in determining rock rheological long-term strength. Appl. Mech. Mater. 2014, 580, 205–208. [Google Scholar] [CrossRef]
- Liu, J.F.; Lu, W.; Peng, J.L.; Lu, Z.; Yu, B. Experimental study on creep deformation and long-term strength of unloading-fractured marble. Eur. J. Environ. Civ. Eng. 2015, 19, 97–107. [Google Scholar]
- Liu, L.; Xu, W. Experimental researches on long-term strength of granite gneiss. Adv. Mater. Sci. Eng. 2015, 2015, 187616. [Google Scholar] [CrossRef]
- Wu, F.; Zhang, H.; Zou, Q.; Li, C.; Chen, J.; Gao, R. Viscoelastic-plastic damage creep model for salt rock based on fractional derivative theory. Mech. Mater. 2020, 150, 103600. [Google Scholar] [CrossRef]
- Hou, R.; Shi, Y.; Xu, L.; Fu, J.; Zhang, K. Evaluating long-term strength and time to failure of sandstone with different initial damage. Adv. Civ. Eng. 2020, 2020, 7149148. [Google Scholar] [CrossRef]
- Nara, Y.; Oe, Y.; Murata, S.; Ishida, T.; Kaneko, K. Estimation of Long-Term Strength of Rock Based on Subcritical Crack Growth. Eng. Geol. Soc. Territ. 2015, 2, 2157–2160. [Google Scholar]
- Ding, G.S.; Liu, J.F.; Wang, L.; Zhou, Z.W. Discussion on Determination Method of Long-Term Strength of Rock Salt. Energies 2020, 13, 2460. [Google Scholar] [CrossRef]
- Wu, F.; Gao, R.; Zou, Q.; Chen, J.; Liu, W.; Peng, K. Long-term strength determination and nonlinear creep damage con-stitutive model of salt rock based on multistage creep test: Implications for underground natural gas storage in salt cavern. Energy Sci. Eng. 2020, 8, 1592–1603. [Google Scholar] [CrossRef]
- Lin, Y.X.; Yin, Z.Y.; Wang, X.; Huang, L.C. A systematic 3D simulation method for geomaterials with block inclusions from image recognition to fracturing modelling. Theor. Appl. Fract. Mech. 2022, 117, 103194. [Google Scholar] [CrossRef]
- Zhao, Y.L.; Zhang, L.Y.; Wang, W.J.; Pu, C.Z.; Wan, W.; Tang, J.Z. Cracking and stress-strain behavior of rock-like material containing two flaws under uniaxial compression. Rock Mech. Rock Eng. 2016, 49, 2665–2687. [Google Scholar] [CrossRef]
- Liu, G.C.; Huang, X.; Pang, J.Y. The uniaxial creep characteristics of red sandstone under dry-wet cycles. Adv. Civ. Eng. 2020, 2020, 8841773. [Google Scholar] [CrossRef]
- Wang, Z.; Shen, M.R.; Gu, L.L.; Zhang, F. Creep behavior and long-term strength characteristics of greenschist under different confining pressures. Geotech. Test. J. 2017, 41, 20170143. [Google Scholar] [CrossRef]
- Li, S.N.; Huang, Z.H.; Liang, Q.; Liu, J.; Luo, S.L.; Zhou, W.Q. Evolution Mechanism of Mesocrack and Macrocrack Propagation in Carbonaceous Mudstone under the Action of Dry-Wet Cycles. Geofluids 2022, 2022, 6768370. [Google Scholar] [CrossRef]
- Zhao, Y.; Li, J.T.; Ma, G. Experimental study on the damage and degradation characteristics of red sandstone after dry and wet cycling by low magnetic field nuclear magnetic resonance (NMR) technique. Geofluids 2021, 2021, 8866028. [Google Scholar] [CrossRef]
- Zhang, F.R.; Jiang, A.N.; Yang, X.Y. Shear creep experiments and modeling of granite under dry-wet cycling. Bull. Eng. Geol. Environ. 2021, 80, 5897–5908. [Google Scholar] [CrossRef]
- Lin, Y.X.; Wang, X.; Ma, J.J.; Huang, L.C. A systematic approach for modelling the hydraulic fracturing of rocks with irregular inclusions using a combined finite-discrete method. Eng. Fract. Mech. 2022, 261, 108209. [Google Scholar] [CrossRef]
- Zhao, Y.L.; Wang, Y.X.; Tang, L.M. The compressive-shear fracture strength of rock containing water based on Druker-Prager failure criterion. Arab. J. Geosci. 2019, 12, 452. [Google Scholar] [CrossRef]
- Zhao, Y.; Zhang, L.; Wang, W.; Wan, W.; Ma, W. Separation of elastoviscoplastic strains of rock and a nonlinear creep model. Int. J. Geomech. 2018, 18, 04017129. [Google Scholar] [CrossRef]
- Jia, C.J.; Xu, W.Y.; Wang, R.B.; Wang, S.S.; Lin, Z.N. Experimental investigation on shear creep properties of undisturbed rock discontinuity in Baihetan Hydropower Station. Int. J. Rock Mech. Min. Sci. 2018, 104, 27–33. [Google Scholar] [CrossRef]
- Zhao, Y.L.; Liu, Q.; Lian, J.; Wang, Y.X.; Tang, L.M. Theoretical and numerical models of rock wing crack subjected to hydraulic pressure and far-field stresses. Arab. J. Geosci. 2020, 13, 926. [Google Scholar] [CrossRef]











| Density (g∙cm−3) | Water Content (%) | Uniaxial Compressive Strength (MPa) | Elasticity Modulus (GPa) | Longitudinal Wave Velocity (m∙s−1) | Water Absorption Capacity (%) | |
|---|---|---|---|---|---|---|
| 2.36~2.43 | 1.24 | 35.65 | 5.32 | 3084~3256 | 9.41~14.68 | 85.2~90.4 |
| Axial Compression/MPa | 0 Dry and Wet Cycle | 3 Dry and Wet Cycles | 6 Dry and Wet Cycles | 9 Dry and Wet Cycles | ||||
|---|---|---|---|---|---|---|---|---|
(10−4) | (10−4) | (10−4) | (10−4) | |||||
| 14.26 | 1.700 | 0.2991 | 2.164 | 0.3145 | 2.577 | 0.2341 | 2.936 | 0.1718 |
| 17.26 | 1.941 | 0.3728 | 2.467 | 0.2992 | 2.796 | 0.2749 | 3.247 | 0.1967 |
| 20.26 | 2.226 | 0.3518 | 2.648 | 0.3306 | 3.085 | 0.2554 | 3.502 | 0.2346 |
| 23.26 | 2.473 | 0.4105 | 2.900 | 0.3499 | 3.256 | 0.3444 | 3.711 | 0.3501 |
| Dry and Wet Cycles | (10−4) | (10−4) | |||
|---|---|---|---|---|---|
| 0 | 7.210 | 50.128 | 2.013 × 10−9 | 0.0104 | 0.1626 |
| 3 | 7.963 | 105.083 | 1.051 × 10−9 | 0.0046 | 0.2375 |
| 6 | 7.753 | 147.397 | 2.796 × 10−10 | 0.0103 | 0.0825 |
| 9 | 8.560 | 173.563 | 2.680 × 10−10 | 0.0191 | −0.1198 |
| Axial Compression (MPa) | Dry and Wet Cycles | |||
|---|---|---|---|---|
| 0 | 3 | 6 | 9 | |
| 23.26 | 0 | 0 | 0.36 | 0.62 |
| 26.26 | 0.03 | 1.10 | 1.62 | 1.72 |
| 29.26 | 0.74 | 1.26 | 2.42 | 4.10 |
| 32.26 | 3.55 | 5.85 | 4.70 | 11.72 |
| 35.26 | 3.93 | 12.74 | / | / |
| 0 Dry and Wet Cycles | 3 Dry and Wet Cycles | ||
| Axial Compression (MPa) | Fitting Function | Axial Compression (MPa) | Fitting Function |
| 14.26 | 14.26 | ||
| 17.26 | 17.26 | ||
| 20.26 | 20.26 | ||
| 23.26 | 23.26 | ||
| 26.26 | 26.26 | ||
| 29.26 | 29.26 | ||
| 32.26 | 32.26 | ||
| 6 Dry and Wet Cycles | 9 Dry and Wet Cycles | ||
| Axial Compression (MPa) | Fitting Function | Axial Compression (MPa) | Fitting Function |
| 14.26 | 14.26 | ||
| 17.26 | 17.26 | ||
| 20.26 | 20.26 | ||
| 23.26 | 23.26 | ||
| 26.26 | 26.26 | ||
| 29.26 | 29.26 | ||
| Dry and Wet Cycles | Long-Term Strength (MPa) | ||
|---|---|---|---|
| Steady-State Viscoplastic Creep Rate Method | Isochronous Curve Method | Transition Creep Method | |
| 0 | 26.47 | 32.26 | 26.26~29.26 |
| 3 | 23.13 | 29.26 | 23.26~26.26 |
| 6 | 20.52 | 26.26 | 20.26~23.26 |
| 9 | 18.95 | 26.26 | 17.26~20.26 |
Publisher’s Note: MDPI stays neutral with regard to jurisdictional claims in published maps and institutional affiliations. |
© 2022 by the authors. Licensee MDPI, Basel, Switzerland. This article is an open access article distributed under the terms and conditions of the Creative Commons Attribution (CC BY) license (https://creativecommons.org/licenses/by/4.0/).
Share and Cite
Li, S.-N.; Peng, Z.; Huang, Z.-H.; Liang, Q.; Liu, J.; Zhou, W.-Q. Time-Dependent Deformation and Long-Term Strength of Carbonaceous Mudstone under Dry and Wet Cycles. Sustainability 2022, 14, 12044. https://doi.org/10.3390/su141912044
Li S-N, Peng Z, Huang Z-H, Liang Q, Liu J, Zhou W-Q. Time-Dependent Deformation and Long-Term Strength of Carbonaceous Mudstone under Dry and Wet Cycles. Sustainability. 2022; 14(19):12044. https://doi.org/10.3390/su141912044
Chicago/Turabian StyleLi, Sheng-Nan, Zhu Peng, Zhong-Hua Huang, Qiao Liang, Jie Liu, and Wen-Quan Zhou. 2022. "Time-Dependent Deformation and Long-Term Strength of Carbonaceous Mudstone under Dry and Wet Cycles" Sustainability 14, no. 19: 12044. https://doi.org/10.3390/su141912044
APA StyleLi, S.-N., Peng, Z., Huang, Z.-H., Liang, Q., Liu, J., & Zhou, W.-Q. (2022). Time-Dependent Deformation and Long-Term Strength of Carbonaceous Mudstone under Dry and Wet Cycles. Sustainability, 14(19), 12044. https://doi.org/10.3390/su141912044

