Mechanical Properties and Microstructure of Alkali-Activated Soda Residue-Blast Furnace Slag Composite Binder
Abstract
:1. Introduction
2. Materials and Methods
2.1. Raw Materials
2.2. Mixing Ratio Design
2.3. Preparation of Samples
2.4. Experimental Method
3. Results and Discussion
3.1. Compressive Strength
3.2. Mortar Fluidity
3.3. XRD Analysis
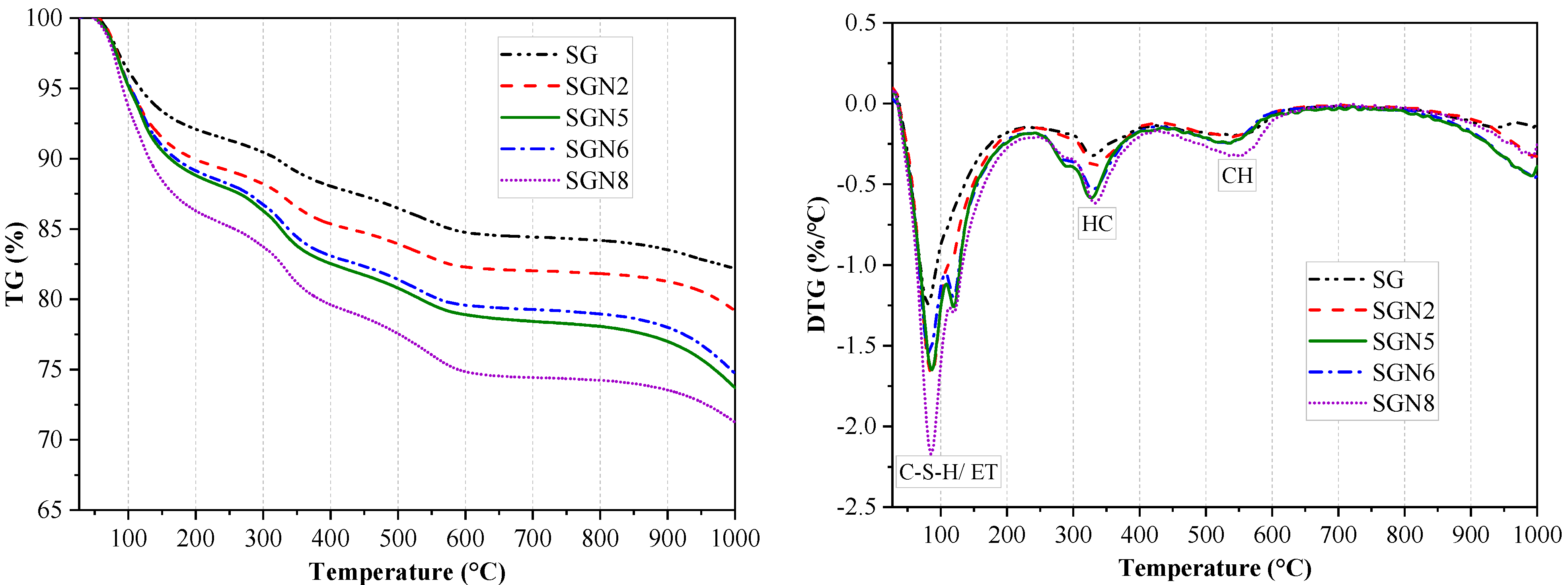
3.4. TG-DTG Analysis
3.5. FTIR Analysis
3.6. SEM Analysis
4. Conclusions
Author Contributions
Funding
Acknowledgments
Conflicts of Interest
References
- Provis, J.L.; Palomo, A.; Shi, C. Advances in understanding alkali-activated materials. Cem. Concr. Res. 2015, 78, 110–125. [Google Scholar] [CrossRef]
- Luukkonen, T.; Abdollahnejad, Z.; Yliniemi, J.; Kinnunen, P.; Illikainen, M. One-part alkali-activated materials: A review. Cem. Concr. Res. 2018, 103, 21–34. [Google Scholar] [CrossRef]
- Purdon, A.O. The action of alkalis on blast-furnace slag. J. Soc. Chem. Ind. 1940, 59, 191–202. [Google Scholar]
- Pacheco-Torgal, F.; Castro-Gomes, J.; Jalali, S. Alkali-activated binders: A review—Part 1. Historical background, terminology, reaction mechanisms and hydration products. Constr. Build. Mater. 2008, 22, 1305–1314. [Google Scholar] [CrossRef]
- de Azevedo, A.R.G. Special edition: Practical applications of durability of activated alkali and geopolymer materials. Case Stud. Constr. Mater. 2022, 17, e01161. [Google Scholar] [CrossRef]
- Zheng, W.; Chen, W.; Wang, Y. High-temperature resistance performance of alkali-activated slag cementitious materials. J. Huazhong Univ. Sci. Technol. 2009, 10, 96–99. [Google Scholar]
- Marvila, M.T.; Azevedo, A.R.G.; Oliveira, L.B.; Xavier, G.C.; Vieira, C.M.F. Mechanical, physical and durability properties of activated alkali cement based on blast furnace slag as a function of Na2O. Case Stud. Constr. Mater. 2021, 15, e00723. [Google Scholar] [CrossRef]
- Asaad, M.A.; Huseien, G.F.; Memon, R.P.; Ghoshal, S.K.; Mohammadhosseini, H.; Alyousef, R. Enduring performance of alkali-activated mortars with metakaolin as granulated blast furnace slag replacement. Case Stud. Constr. Mater. 2022, 16, e00845. [Google Scholar] [CrossRef]
- Islam, A.; Alengaram, U.J.; Jumaat, M.Z.; Bashar, I.I. The development of compressive strength of ground granulated blast furnace slag-palm oil fuel ash-fly ash based geopolymer mortar. Mater. Des. 2014, 56, 833–841. [Google Scholar] [CrossRef]
- Nasir, M.; Johari, M.A.M.; Maslehuddin, M.; Yusuf, M.O.; Al-Harthi, M.A. Influence of heat curing period and temperature on the strength of silico-manganese fume-blast furnace slag-based alkali-activated mortar. Constr. Build. Mater. 2020, 251, 118961. [Google Scholar] [CrossRef]
- Zhao, X.H.; Liu, C.Y.; Wang, L.; Zuo, L.M.; Zhu, Q.; Ma, W. Physical and mechanical properties and micro characteristics of fly ash-based geopolymers incorporating soda residue. Cem. Concr. Compos. 2019, 98, 125–136. [Google Scholar] [CrossRef]
- Song, R.; Zhao, Q.; Zhang, J.; Liu, J. Microstructure and Composition of Hardened Paste of Soda Residue-Slag-Cement Binding Material System. Front. Mater. 2019, 6, 211. [Google Scholar] [CrossRef]
- Zhao, X.; Liu, C.; Zuo, L.; Wang, L.; Zhu, Q.; Liu, Y.; Zhou, B. Synthesis and characterization of fly ash geopolymer paste for goaf backfill: Reuse of soda residue. J. Clean. Prod. 2020, 260, 121045. [Google Scholar] [CrossRef]
- Wang, Q.; Li, J.; Yao, G.; Zhu, X.; Arulrajah, A.; Hu, S.; Qiu, J.; Chen, P.; Lyu, X. Characterization of the mechanical properties and microcosmic mechanism of Portland cement prepared with soda residue. Constr. Build. Mater. 2020, 241, 117994. [Google Scholar] [CrossRef]
- Bai, X.; Ma, J.; Liu, J.; Zhang, M.; Yan, N.; Wang, Y. Field experimental investigation on filling the soda residue soil with liquid soda residue and liquid fly ash. Int. J. Damage Mech. 2020, 30, 502–517. [Google Scholar] [CrossRef]
- Ma, J.; Yan, N.; Zhang, M.; Liu, J.; Bai, X.; Wang, Y. Mechanical Characteristics of Soda Residue Soil Incorporating Different Admixture: Reuse of Soda Residue. Sustainability 2020, 12, 5852. [Google Scholar] [CrossRef]
- Yan, Y.; Sun, X.; Ma, F.; Li, J.; Shen, J.; Han, W.; Liu, X.; Wang, L. Removal of phosphate from wastewater using alkaline residue. J. Environ. Sci. 2014, 26, 970–980. [Google Scholar] [CrossRef]
- Ucal, G.O.; Mahyar, M.; Tokyay, M. Hydration of alinite cement produced from soda waste sludge. Constr. Build. Mater. 2018, 164, 178–184. [Google Scholar] [CrossRef]
- Liu, J.Z.; Zhao, Q.X.; Zhang, J.R.; An, S. Microstructure and composition of hardened paste of soda residue-slag complex binding materials. J. Build. Mater. 2019, 22, 872–877. [Google Scholar]
- Lin, Y.H.; Xu, D.Q.; Zhao, X.H. Experimental research on mechanical property and microstructure of blast furnace slag cementitious materials activated by soda residue. Bull. Chin. Ceram. Soc. 2019, 38, 2876–2881. [Google Scholar]
- Guo, W.; Zhang, Z.; Bai, Y.; Zhao, G.; Sang, Z.; Zhao, Q. Development and characterization of a new multi-strength level binder system using soda residue-carbide slag as composite activator. Constr. Build. Mater. 2021, 291, 123367. [Google Scholar] [CrossRef]
- Guo, W.; Wang, S.; Xu, Z.; Zhang, Z.; Zhang, C.; Bai, Y.; Zhao, Q. Mechanical performance and microstructure improvement of soda residue-carbide slag-ground granulated blast furnace slag binder by optimizing its preparation process and curing method. Constr. Build. Mater. 2021, 302, 124403. [Google Scholar] [CrossRef]
- Li, J.; Zhang, S.; Wang, Q.; Ni, W.; Li, Z. Feasibility of using fly ash–slag-based binder for mine backfilling and its associated leaching risks. J. Hazard. Mater. 2020, 400, 123191. [Google Scholar] [CrossRef]
- Guo, W.; Zhang, Z.; Zhao, Q.; Song, R.; Liu, J. Mechanical properties and microstructure of binding material using slag-fly ash synergistically activated by wet-basis soda residue-carbide slag. Constr. Build. Mater. 2021, 269, 121301. [Google Scholar] [CrossRef]
- GB/T 17671; Method of Testing Cements -Determination of Strength (ISO method). Standards Press of China: Beijing, China, 1999.
- GB/T 2419; Test Method for Fluidity of Cement Mortar. Standards Press of China: Beijing, China, 2005.
- Zhang, J.; Scherer, G.W. Comparison of methods for arresting hydration of cement. Cem. Concr. Res. 2011, 41, 1024–1036. [Google Scholar] [CrossRef]
- Jiao, Z.Z.; Wang, Y.; Zheng, W.Z.; Huang, W.X. Effect of dosage of sodium carbonate on the strength and drying shrinkage of sodium hydroxide based alkali-activated slag paste. Constr. Build. Mater. 2018, 179, 11–24. [Google Scholar] [CrossRef]
- Li, W.; Yi, Y. Use of carbide slag from acetylene industry for activation of ground granulated blast-furnace slag. Constr. Build. Mater. 2020, 238, 117713. [Google Scholar] [CrossRef]
- Zheng, W.; Zou, M.; Wang, Y. Literature review of alkali-activated cementitious materials. J. Build. Struct. 2019, 40, 28–39. [Google Scholar]
- Salih, M.A.; Farzadnia, N.; Ali, A.A.; Demirboga, R. Effect of different curing temperatures on alkali activated palm oil fuel ash paste. Constr. Build. Mater. 2015, 94, 116–125. [Google Scholar] [CrossRef]
- Lin, Y.; Xu, D.; Zhao, X. Properties and hydration mechanism of soda residue-activated ground granulated blast furnace slag cementitious materials. Materials 2021, 14, 2883. [Google Scholar] [CrossRef]
- Xu, D.; Ni, W.; Wang, Q.; Xu, C.; Jiang, Y. Preparation of clinker-free concrete by using soda residue composite cementitious material. J. Harbin Inst. Technol. 2020, 52, 151–160. [Google Scholar]
- Jiao, Z.Z.; Wang, Y.; Zheng, W.Z.; Huang, W.X. Effect of the activator on the performance of alkali-activated slag mortars with pottery sand as fine aggregate. Constr. Build. Mater. 2019, 197, 83–90. [Google Scholar] [CrossRef]
- Wang, W.C.; Wang, H.Y.; Lo, M.H. The fresh and engineering properties of alkali activated slag as a function of fly ash replacement and alkali concentration. Constr. Build. Mater. 2015, 84, 224–229. [Google Scholar] [CrossRef]
- Taylor, H.; Famy, C.; Scrivener, K. Delayed ettringite formation. Cem. Concr. Res. 2001, 31, 683–693. [Google Scholar] [CrossRef]
- Tian, X.; Xu, W.Y.; Song, S.X.; Rao, F.; Xia, L. Effects of curing temperature on the compressive strength and microstructure of copper tailing-based geopolymers. Chemosphere 2020, 253, 126754. [Google Scholar] [CrossRef]
- Phoo-Ngernkham, T.; Phiangphimai, C.; Intarabut, D.; Hanjitsuwan, S.; Damrongwiriyanupap, N.; Li, L.-Y.; Chindaprasirt, P. Low cost and sustainable repair material made from alkali-activated high-calcium fly ash with calcium carbide residue. Constr. Build. Mater. 2020, 247, 118543. [Google Scholar] [CrossRef]
- Han, F.; Liu, R.; Yan, P. Influence of slag on microstructure of complex binder pastes. J. Chin. Electron Microsc. Soc. 2014, 33, 40–45. [Google Scholar]
- Zhang, J.; Tan, H.; He, X.; Yang, W.; Deng, X. Utilization of carbide slag-granulated blast furnace slag system by wet grinding as low carbon cementitious materials. Constr. Build. Mater. 2020, 249, 118763. [Google Scholar] [CrossRef]
- Park, H.; Jeong, Y.; Jun, Y.; Jeong, K.-H.; Oh, J.E. Strength enhancement and poresize refifinement in clinker-free CaO-activated GGBFS systems through substitution with gypsum. Cem. Concr. Compos. 2016, 68, 57–65. [Google Scholar] [CrossRef]
- Ping, Y.; Kirkpatrick, R.J.; Poe, B.; Mcmillan, P.F.; Cong, X. Structure of Calcium Silicate Hydrate (C-S-H): Near-, Mid-, and Far-Infrared Spectroscopy. J. Am. Ceram. Soc. 2010, 82, 742–748. [Google Scholar]
- Mollah, M.Y.A.; Yu, W.; Schennach, R.; Cocke, D.L. A Fourier transform infrared spectroscopic investigation of the early hydration of Portland cement and the influence of sodium lignosulfonate. Cem. Concr. Res. 2000, 30, 267–273. [Google Scholar] [CrossRef]
- Ghosh, S.N.; Handoo, S.K. Infrared and Raman spectral studies in cement and concrete (review). Cem. Concr. Res. 1980, 10, 771–782. [Google Scholar] [CrossRef]
- Lodeiro, I.G.; Macphee, D.E.; Palomo, A.; Fernández-Jiménez, A. Effect of alkalis on fresh C–S–H gels. FTIR analysis. Cem. Concr. Res. 2009, 39, 147–153. [Google Scholar] [CrossRef]
- Fernandez, L.; Alonso, C.; Hidalgo, A.; Andrade, C. The role of magnesium during the hydration of C3S and CSH formation. Scanning electron microscopy and mid-infrared studies. Adv. Cem. Res. 2005, 17, 9–21. [Google Scholar] [CrossRef]
- Zhang, Y.; Sun, W.; Jia, Y.; Jin, Z. Composition and structure of hardened geopolymer products using infrared ray analysis methods. J. Wuhan Univ. Technol. 2005, 27, 31–34. [Google Scholar]
- Puertas, F.; Palacios, M.; Manzano, H.; Dolado, J.; Rico, A.; Rodríguez, J. A model for the CASH gel formed in alkali-activated slag cements. J. Eur. Ceram. Soc. 2011, 31, 2043–2056. [Google Scholar] [CrossRef]
- Zhang, Y.; Liu, X.; Xu, Y.; Tang, B.; Wang, Y.; Mukiza, E. Synergic effects of electrolytic manganese residue-red mud-carbide slag on the road base strength and durability properties. Constr. Build. Mater. 2019, 220, 364–374. [Google Scholar]
- Liu, C.B.; Ji, H.G.; Liu, J.H.; He, W.; Gao, C. Experimental study on slag composite cementitious material for solidifying coastal saline soil. J. Build. Mater. 2015, 18, 82–87. [Google Scholar]













| Chemical Composition (wt/%) | SR | GGBS |
|---|---|---|
| Ca | 43.2 | 33.7 |
| Si | 9.87 | 32.6 |
| Al | 3.25 | 17.1 |
| Fe | 0.91 | 1.18 |
| Mg | 9.77 | 7.40 |
| Ti | 0.12 | 1.54 |
| K | 0.29 | 0.57 |
| S | 5.57 | 3.21 |
| Na | 3.93 | 0.56 |
| Cl | 20.23 | - |
| Loss on ignition | 2.86 | 2.14 |
| Physical properties | ||
| Specific gravity (kg/m3) | 2351 | 2742 |
| Surface area (m2/kg) | 261.2 | 419.5 |
| Group | Content of Raw Materials in Binder/g | Na2O Content (%) | Standard Sand /g | Water-Binder Ratio | |||
|---|---|---|---|---|---|---|---|
| SR | GGBS | NaOH | |||||
| Mortar | SG | 180 | 270 | 0 | 0 | 1350 | 0.50 |
| SGN1 | 180 | 270 | 2.9 | 0.5 | 1350 | 0.50 | |
| SGN2 | 180 | 270 | 5.8 | 1.0 | 1350 | 0.50 | |
| SGN3 | 180 | 270 | 8.7 | 1.5 | 1350 | 0.50 | |
| SGN4 | 180 | 270 | 11.6 | 2.0 | 1350 | 0.50 | |
| SGN5 | 180 | 270 | 17.4 | 3.0 | 1350 | 0.50 | |
| SGN6 | 180 | 270 | 23.2 | 4.0 | 1350 | 0.50 | |
| SGN7 | 225 | 225 | 17.4 | 3.0 | 1350 | 0.50 | |
| SGN8 | 270 | 180 | 17.4 | 3.0 | 1350 | 0.50 | |
| SGN9 | 180 | 270 | 17.4 | 3.0 | 1350 | 0.40 | |
| SGN10 | 180 | 270 | 17.4 | 3.0 | 1350 | 0.45 | |
| SGN11 | 180 | 270 | 17.4 | 3.0 | 1350 | 0.55 | |
| Paste | SG | 180 | 270 | 0 | 0 | 0 | 0.50 |
| SGN2 | 180 | 270 | 5.8 | 1.0 | 0 | 0.50 | |
| SGN5 | 180 | 270 | 17.4 | 3.0 | 0 | 0.50 | |
| SGN6 | 180 | 270 | 23.2 | 4.0 | 0 | 0.50 | |
| SGN8 | 270 | 180 | 17.4 | 3.0 | 0 | 0.50 | |
Publisher’s Note: MDPI stays neutral with regard to jurisdictional claims in published maps and institutional affiliations. |
© 2022 by the authors. Licensee MDPI, Basel, Switzerland. This article is an open access article distributed under the terms and conditions of the Creative Commons Attribution (CC BY) license (https://creativecommons.org/licenses/by/4.0/).
Share and Cite
Zhang, Z.; Xie, C.; Sang, Z.; Li, D. Mechanical Properties and Microstructure of Alkali-Activated Soda Residue-Blast Furnace Slag Composite Binder. Sustainability 2022, 14, 11751. https://doi.org/10.3390/su141811751
Zhang Z, Xie C, Sang Z, Li D. Mechanical Properties and Microstructure of Alkali-Activated Soda Residue-Blast Furnace Slag Composite Binder. Sustainability. 2022; 14(18):11751. https://doi.org/10.3390/su141811751
Chicago/Turabian StyleZhang, Zhaoyun, Chuang Xie, Zhaohu Sang, and Dejun Li. 2022. "Mechanical Properties and Microstructure of Alkali-Activated Soda Residue-Blast Furnace Slag Composite Binder" Sustainability 14, no. 18: 11751. https://doi.org/10.3390/su141811751
APA StyleZhang, Z., Xie, C., Sang, Z., & Li, D. (2022). Mechanical Properties and Microstructure of Alkali-Activated Soda Residue-Blast Furnace Slag Composite Binder. Sustainability, 14(18), 11751. https://doi.org/10.3390/su141811751
