Next Article in Journal
Euro 2020 Held during the COVID-19 Period: Budapest Residents’ Perceptions
Next Article in Special Issue
Effect of Seismic Isolation on the Performance of High-Rise Buildings with Torsional Instability
Previous Article in Journal
Enhancing Policy Capacity for Better Policy Integration: Achieving the Sustainable Development Goals in a Post COVID-19 World
Previous Article in Special Issue
Research on the Realization Path of Railway Intelligent Construction Based on System Engineering
 
 
Font Type:
Arial Georgia Verdana
Font Size:
Aa Aa Aa
Line Spacing:
Column Width:
Background:
Article

Effect of Bentonite as Partial Replacement of Cement on Residual Properties of Concrete Exposed to Elevated Temperatures

1
NUST Institute of Civil Engineering (NICE), School of Civil and Environmental Engineering (SCEE), National University of Sciences and Technology (NUST), Sector H-12, Islamabad 44000, Pakistan
2
Department of Civil Engineering, COMSATS University Islamabad, Wah Campus, Wah 47040, Pakistan
3
Department of Building and Construction Techniques, Al-Mustaqbal University College, Hillah 51001, Iraq
4
Department of Engineering and Architectural Studies, Ara Institute of Canterbury, 130 Madras Street, Christchurch 8011, New Zealand
5
Faculty of Materials Science and Engineering, Gheorghe Asachi Technical University of Iasi, 700050 Iasi, Romania
6
Department of Civil Engineering, Swedish College of Engineering, Wah Cantt, Wah 47040, Pakistan
*
Authors to whom correspondence should be addressed.
Sustainability 2022, 14(18), 11580; https://doi.org/10.3390/su141811580
Submission received: 2 June 2022 / Revised: 28 August 2022 / Accepted: 5 September 2022 / Published: 15 September 2022

Abstract

:
This study investigated the effect of elevated temperature on the mechanical, physical and durability properties of normal strength concrete, modified with bentonite. The bentonite concrete was cast by substituting cement with bentonite content in proportions of 5, 10 and 15% by weight. Mechanical tests were conducted (compressive and splitting tensile strength). Furthermore, durability performance (mass loss and sorptivity) and specimen properties (elastic modulus, stress–strain behaviour, ductility and energy absorption) were evaluated and discussed. The results demonstrated that samples incorporating bentonite showed better fire endurance than the control mix. The inclusion of bentonite in concrete decreased the mass loss of the specimens exposed to high temperatures. The performance of bentonite concrete was better in terms of mechanical behaviour (compressive and tensile strength) than that of conventional concrete, and it had high resistance to water absorption. Higher ductility and energy absorption capacity were observed for the concrete specimen containing bentonite than its counterpart control specimens.

1. Introduction

A major hazard that built infrastructure may face in its lifetime is fire. Concrete degrades when it is exposed to fire. Typically, the compressive strength, the tensile strength and the modulus of elasticity of concrete degrades when it is exposed to high temperatures, resulting in its explosive destruction, thus endangering the bearing capacity of the concrete elements [1]. As the temperature rises, water starts to evaporate, causing calcium-silicate-hydrate (C–S–H) gel dehydration along with the decomposition of calcium hydroxide and calcium aluminates [1]. Free water vaporises at about 100 °C, Ca(OH)2 decomposes into calcium oxide (CaO) and H2O between 400 °C to 500 °C, and quartz transformation of aggregates occurs above 600 °C [2]. The extensive use of concrete as a building material requires having sound knowledge regarding its behaviour at high temperatures [3]. In addition, technology advancements have resulted in increasing demand to develop materials for various purposes that cannot be met by using conventional concrete. Moreover, in the past few years, the cost of, and demand for, cement has increased significantly [4]. Therefore, it is necessary to replace cement with a material that will not affect the residual properties of concrete, but rather will enhance them after exposure to high temperatures, and will also be cost-effective. To understanding the stability-enhanced mechanism of bentonite on cement-based materials for promoting its application as a low-cost viscosity modifying admixture (VMA), binary bentonite–water and ternary cement–bentonite–water systems can be analyzed. The interaction between cement slurry and (Li+, Na+, Ca2+) bentonite was analyzed by chemical analysis, XRD, XRF, XPS and SEM in previous studies. The results indicated that the interlayer ions of bentonite play important roles in improving the stability of fresh cement slurry, and the related performance of Ca2+ bentonite can be improved by introducing Li+; when cement/(Li+, Na+, Ca2+) bentonite systems were separated from water and dried, all bentonites almost returned to their original ordered structures and tended to form Ca2+ bentonite.
The use of supplementary cementitious materials (SCMs) can improve the properties of concrete and reduce pressure on natural resources and CO2 emissions. The environmental impact analysis revealed that utilization of BC and SF can reduce carbon emissions by approximately 23% compared to control mix.
In this regard, the characteristics and suitable use of clays as an alternative to cement in concrete have been studied for decades [5]. Previously, different materials were used to improve the overall behaviour of concrete exposed to elevated temperature, such as polypropylene fibres [6], steel fibres [7], carbon nanotubes [8], fly ash [9] and metakaolin [10]. However, these materials are either expensive or not freely available. Hence, this study uses bentonite as a partial replacement for cement in concrete. Bentonite is freely available in Jahangira [11] and Karak [12], Khyber Pakhtunkhwa, Pakistan. Bentonite is a clay mineral and possesses pozzolanic properties [13]. In previous studies, bentonite was incorporated as a partial replacement for cement to make a cost-effective concrete mix. Using bentonite as a partial replacement for cement will result in reducing greenhouse gas emissions because cement production emits a huge volume of greenhouse gases [14]. These hazardous gases can travel throughout the world in a week’s time [15]. Hence, to support green living, cement production should be reduced and supplementary materials, such as bentonite, should be used. Some previous studies have been conducted to investigate the effect of bentonite on the properties of mortar and concrete. Results from these previous studies indicated that bentonite can improve the pore structure of cementitious materials, thereby improving the durability of the structure, and the compressive strength of the concrete decreased with the bentonite content [12,16]. Sulfuric acid resistance has also been studied, and it was found that bentonite content lower than 25% performs better in terms of acid attack. The amount of bentonite replacement over 25% does not perform well when exposed to sulfuric acid [17,18]. S. Ahmad determined the compressive strength of concrete containing bentonite content on ambient and elevated temperatures. The results indicated no significant improvement with bentonite content in terms of compressive strength. However, 30% bentonite content showed better durability in terms of acid attack resistance [16]. Reddy et al. reported an experimental study of bentonite concrete and observed higher compressive strength with 20% bentonite content [19]. The response to elevated temperature and optimum bentonite content to be used in concrete is still unclear.
This research investigates the behaviour and residual properties of bentonite, when used as a partial replacement for cement, in concrete mixtures exposed to elevated temperatures (200 °C, 400 °C, 600 °C and 800 °C). Tests on residual properties, such as compressive strength, splitting tensile strength, stress–strain response, ductility, sorptivity and weight loss, were performed along with microscopic investigation, and the results were compared with those for the control samples, which were tested at room temperature. The empirical findings of this study can be used as input for the analysis and design of concrete structures containing bentonite content.

2. Experimental Investigation

2.1. Materials

Ordinary Portland Cement in compliance with ASTM C150 [20] was used as binding material, and its chemical properties are presented in Table 1. Sand was used as fine aggregate, and its properties are shown in Table 2. The maximum size of coarse aggregates used was 12.5 mm. Cement was partially replaced with bentonite (5%, 10% and 15%). The results of XRD of bentonite are shown in Figure 1. The average size of bentonite particles was 4 µm to 5 µm. Superplasticiser was used to make the mix workable [21], and the properties of superplasticiser are shown in Table 3.

2.2. Mix Proportion and Specimen Preparation

The experimental program was designed with concrete mixes containing 0, 5, 10 and 15% bentonite as a partial replacement for cement. A constant water–cement ratio of 0.58:1 was used. Given that increasing the percentage of bentonite generally makes the concrete mix harsh and reduces its workability, to adjust the workability of the concrete to 50 mm, superplasticiser (Sika viscocrete-3110) was introduced into the mix. The details of the mix proportions are presented in Table 4. Cylindrical specimens (100 × 200 mm) were cast and demoulded after 24 h and were kept in a water tank for curing under controlled conditions, as specified by ASTM.

2.3. Test Equipment and Procedure

A temperature-controlled furnace with temperature ranging up to 1100 °C was used. The furnace was equipped with a thermocouple, which was used to control the temperature. The samples were exposed to temperatures of 200 °C, 400 °C, 600 °C and 800 °C. RILEM test procedures were adopted for the holding time and heating rate per minute; the heating rate used in this test was 2–5 °C per minute [22,23]. A Universal Testing Machine with a capacity of 1000 kN was used to test the specimens under axial compression and tensile load. The compression test was performed in accordance with ASTM C 469 [24] with a loading rate of 0.2 MPa/s, and the modulus of elasticity was calculated from the stress–strain response. The splitting tensile strength test was performed in accordance with ASTM C 496 [25] with a loading rate of 0.025 MPa/s. A sorptivity test was also performed, and the water absorption by capillary action was measured before and after exposure to elevated temperatures. In addition, the weight loss after exposure to elevated temperatures was measured. Furthermore, the XRD and SEM tests were performed. Samples were cured under control conditions according to ASTM 192 (23 °C ± 2 °C, 95% humidity) [26].

3. Result and Discussion

The mechanical tests (compressive and tensile strength), the evaluation of properties (stress–strain response, elastic modulus, ductility and energy absorption), durability assessment (mass loss and sorptivity) and SEM (scanning electron microscope) analysis were performed under the residual conditions. These test results and properties are discussed in detail in the next section.

3.1. Mechanical Test

3.1.1. Compressive Strength

The compressive strength at room temperature depends mainly on the water–cement ratio, the aggregate type and size, the aggregate-paste interface transition zone, the curing condition and the admixtures [27]. At elevated temperatures, compressive strength mainly depends on additives, strength of concrete at room temperature and heating rate [28]. Up to 200 °C, changes in concrete occur due to loss of absorbed water; as a result, hydrothermal changes occur [29]. At 300 °C, the generation of internal stresses results in microcracking [30]. Above 400 °C, calcium hydroxide Ca(OH)2 disintegrates, resulting in further strength reduction [31]. At about 600 °C, strength reduces along with the reduction of stiffness, due to decomposition of the calcium silicate hydrate (CSH) gel [32]. Between the temperature range of 600 °C to 800 °C, calcium carbonate (CaCO3) decomposes, resulting in further loss of strength [29,33].
The experimental results for axial compression are shown in Figure 2 and Table 5 and Table 6. The compressive strength of 28.8, 29.1, 30.3 and 28.6 MPa was recorded for mix CM, 5BT, 10BT and 15BT, respectively. Figure 2 and Table 6 show that the compressive strength of the specimen increased as the bentonite content increased, up to 10% bentonite. Further increase of bentonite, beyond 10%, reduces the compressive strength of the concrete cylinders. The best possible reason for the increase in strength with bentonite is the pozzolanic reaction, which takes place at a slower rate than the hydration of cement, coupled with the microfiller effect caused by bentonite. Ahmad et al. [16] found that the compressive strength decreased with the increase in the percentage of bentonite used as the cement replacement. Studies on this topic have reported varying results, which is clearly due to the different heating temperatures used to prepare the bentonite sample. Notably, bentonite should be heated at 200 °C to achieve better strength of bentonite concrete.
The exposure temperature (200 to 800 °C) had a detrimental effect on the compressive strength of concrete, as shown in Figure 2 and Table 6. Residual compressive strengths of 28.0 MPa, 23.7 Mpa, 20.8 Mpa, 13.3 Mpa and 6.6 Mpa were recorded for the control specimens exposed to temperatures of 23 °C, 200 °C, 400 °C, 600 °C and 800 °C, respectively. This result shows a 16, 26, 52 and 76% decrease in the compressive strength of the samples exposed to 200, 400, 600 and 800 °C, respectively, compared with the compressive strength of the unheated specimen. The compressive strength of 5BT (5% Bentonite) at the exposure temperatures of 23 °C, 200 °C, 400 °C, 600 °C and 800 °C was recorded as 29.1 Mpa, 24.7 Mpa, 21.6 Mpa, 14.1 Mpa and 7.1 Mpa, respectively. This result shows a 15, 25, 51 and 76% decrease in the compressive strength at the exposure temperatures of 200, 400, 600 and 800 °C, respectively, compared with that of the unheated specimen. The compressive strength of 10BT (10% Bentonite) at 23 °C, 200 °C, 400 °C, 600 °C and 800 °C was recorded as 30.3 Mpa, 26.4 Mpa, 23.5 Mpa, 17.4 Mpa and 12.1 Mpa, respectively. Thus, the compressive strength at the exposure temperatures of 23 °C, 200 °C, 400 °C, 600 °C and 800 °C was lower by 13%, 22%, 42% and 60%, respectively, than that of the unheated sample. Moreover, the compressive strength of 15BT (15% Bentonite) at 23 °C, 200 °C, 400 °C, 600 °C and 800 °C was recorded as 28.6 Mpa, 23.2 Mpa, 19.7 Mpa, 12.9 Mpa and 7.9 Mpa, respectively. The recorded strength loss at exposure temperatures of 23 °C, 200 °C, 400 °C, 600 °C and 800 °C was 19%, 31%, 55% and 78%, respectively, compared with the compressive strength of the unheated specimen.
It can be observed from these results that the samples containing bentonite showed better performance at room temperature than the control mix did. The main reason behind this difference may be the pozzolanic reaction that occurs more slowly than the hydration of cement and also the filler effect that bentonite provides to the mix. The test results also showed significant improvement in the residual compressive strength of concrete with bentonite. The concrete containing 10% bentonite showed superior performance in terms of post-heated residual compressive strength. This is because the heat capacity of the mix containing bentonite is better than that of the control mix, and the thermal conductivity of the mix containing bentonite is low, which leads to improvement in the microstructure and reduction in the propagation of microcracks as shown in Figure 3. It can also be observed that the loss of compressive strength below 400 °C is very low.
The regression equations developed for the post-heated compressive strength of CM, BC5, BC10 and BC15 mix using the response surface methodology are shown in Equations (1)–(4), respectively. No experimental study is available for post-heated bentonite concrete. These equations can provide a guideline for comparing the test results of post-heated concrete. The equations were developed using statistical modelling using the multiregression method. The normal plot of residuals is shown in Figure 4, which reveals that the developed regression model is significant. The low difference between the predicted and the adjusted R2 shows the validity of the developed regression model (Table 7) (Figure 4).
Compressive   Strength   ( MPa ) = 30.038 0.028 T e   R 2 = 0.9808
Compressive   Strength   ( MPa ) = 30.665 0.0279 T e   R 2 = 0.9760
Compressive   Strength   ( MPa ) = 31.77 0.0232 T e   R 2 = 0.9493
Compressive   Strength   ( MPa ) = 29.211 0.0264 T e   R 2 = 0.9929

3.1.2. Splitting Tensile Strength

The splitting tensile strength test was performed in accordance with ASTM C 496 [25]. Figure 5 illustrates that the splitting tensile strength increased with an increase of bentonite, up to 10%, and that further increments of bentonite resulted in decreasing the splitting tensile strength. The Figure 5 also shows that increasing the exposure temperature resulted in decreased splitting tensile strength.
The exposure temperature (200 °C to 800 °C) had a damaging effect on the splitting tensile strength of concrete, as shown in Figure 5 and Table 6. A residual tensile strength of 3.2 Mpa, 2.2 Mpa, 1.5 Mpa, 0.9 Mpa and 0.4 Mpa was recorded for the control sample at 23 °C, 200 °C, 400 °C, 600 °C and 800 °C, respectively. This result shows 31%, 52%, 72% and 87% loss of tensile strength at 200 °C, 400 °C, 600 °C and 800 °C, respectively. Similarly, the splitting tensile strength recorded for 5BT (5% Bentonite) at 23 °C, 200 °C, 400 °C, 600 °C and 800 °C was 3.4, 2.3, 1.8, 1.09 and 0.6 Mpa, respectively. This result shows 30%, 45%, 68% and 82% loss of splitting tensile strength at 200 °C, 400 °C, 600 °C and 800 °C, respectively. The splitting tensile strength recorded for 10BT (10% Bentonite) at 23 °C, 200 °C, 400 °C, 600 °C and 800 °C was 3.7 Mpa, 2.8 Mpa, 2.3 Mpa, 1.5 Mpa and 0.9 Mpa, respectively. This result clearly shows that the loss of tensile strength at 200 °C, 400 °C, 600 °C and 800 °C was 25%, 38%, 60% and 76%, respectively. Similarly, the splitting tensile strength recorded for 15BT (15% Bentonite) at 23 °C, 200 °C, 400 °C, 600 °C and 800 °C was 3.5 Mpa, 2.5 Mpa, 1.8 Mpa, 1.0 Mpa and 0.5 Mpa, respectively. This result shows a loss of 27%, 40%, 70% and 83% splitting tensile strength at 200 °C, 400 °C, 600 °C and 800 °C, respectively. The best possible reason for the increase at elevated temperatures in the splitting tensile strength of the mixes that incorporate bentonite can be the better heat capacity of bentonite. Moreover, bentonite provides a filler effect to the concrete because the size of the bentonite particles is smaller than that of the cement particles.

3.1.3. Stress–Strain Behaviour

To envisage the behaviour of bentonite in concrete that is exposed to elevated temperatures, it is essential to consider the stress–strain behaviour of the control specimens that are exposed to high temperatures for comparison purposes. When concrete is exposed to heat, chemical and physical reactions occur at elevated temperatures, such as the loss of moisture, the dehydration of the cement paste and the decomposition of the aggregate. This phenomenon is responsible for internal microcracking and the loss of strength of concrete that is exposed to elevated temperatures. The experimentally obtained stress–strain curves reveal that as the temperature increased, the stress decreased and the peak strain increased. The stress–strain behaviour is illustrated in Figure 6. The recorded peak stress and the corresponding peak strain of the control mix (CM) at 23 °C was 28.805 MPa and 0.00214 mm/mm, respectively. At 200 °C, the peak stress decreased by 17% and the peak strain increased by 12%. At 400 °C, the peak stress decreased by 28% and the peak strain increased by 35%. Similarly, at 600 °C and 800 °C, the peak stress decreased by 54% and 77% and the strain increased by 114% and 357%, respectively. The test stress–strain curves of the specimens after exposure to different elevated temperatures are shown in Figure 6.
The stress–strain behaviour of the CM and 5BT (5% Bentonite) followed a similar trend up to the elastic limit. After the elastic limit, a significant increase in strain was observed in the 5BT mix compared with the CM mix. Furthermore, this effect was more evident for a higher temperature range (400 to 800 °C). At 23 °C, the recorded peak stress and the corresponding strain were 29.1 MPa and 0.00217 mm/mm, respectively. At 200 °C, the peak stress decreased by 15% and the corresponding strain increased by 12%. The residual strength at 200 °C still retained about 90% of the original unheated value. The peak stress decreased by 25% at 400 °C, and the strain increased by 38%. Similarly, at 600 °C and 800 °C, the peak stress decreased by 51% and 76% and the peak strain increased by 125% and 360%, respectively. It can be concluded from Figure 6 that the stress–strain relationship significantly changes with the increase in temperature. The strength decreases, whereas the deformation increases with temperature. These changes follow a trend similar to that mentioned in a previous study on conventional concrete that was exposed to elevated temperatures [34].
Similarly, 10BT (10% Bentonite) behaves better than CM, 5BT and 15BT. It can be observed from Figure 6 that at 23 °C, the peak stress and strain was 30.31 MPa and 0.00219 mm/mm. Figure 6 also shows that at 200 °C and 400°C, the stress decreased by 13% and 22%, whereas the strain increased by 14% and 46%, respectively. Similarly, at 600 °C and 800 °C, the stress decreased by 48% and 60%, and the strain increased by 137% and 388%, respectively. The peak strain increased with the increase in the exposure temperature for 10BT. The cement mortar structure became loose after high temperature exposure, which is attributed to the pore expansion owing to the vaporisation of the absorbed water. During the cooling phase, the ionised CaO decomposes from calcium hydroxide [Ca(OH)2], absorbs water and then reverts to Ca(OH)2. Thus, it results in the expansion of the concrete volume. The damage accumulated during the cooling process further reduces the residual strength. This is a possible explanation for the change in the peak strain. Figure 6 shows that the recorded ultimate stress and the corresponding strain at 23 °C for 15BT (15% Bentonite) was 28.6 MPa and 0.00218 mm/mm, respectively. At 200 °C and 400°C, the stress decreased by 19% and 31% and the corresponding strain increased by 13% and 37%, respectively. Similarly, at 600 °C and 800 °C, the stress decreased by 55% and 72%, and the strain increased by 120% and 354%, respectively. This result reveals the enhanced deformation capacity of concrete specimens containing 5% bentonite that are exposed to elevated temperatures (200 to 800 °C).

3.2. Discussion on Elastic Modulus, Ductility and Energy Absorption

The modulus of elasticity was calculated in accordance with ASTM C469 [35]. The modulus of elasticity was calculated on strain corresponding to 40% of the compressive stress for each targeted temperature. The results are shown in the form of absolute and relative loss of elastic modulus. Figure 7 clearly shows that the elastic modulus increased with the increase in the percentage of bentonite up to 10%. Beyond 10%, the elastic modulus started decreasing. It can also be observed that the elastic modulus started decreasing with the increase in the exposure temperature. It can be predicted from Figure 7 that the loss of elastic modulus is almost the same for all mixes.
It can be clearly observed from Figure 7 and Table 6 that the modulus of elasticity for the control mix at 23 °C, 200 °C, 400 °C, 600 °C and 800 °C was recorded as 26.1 GPa, 22.2 GPa, 17.6 GPa, 13.7 GPa and 8.6 GPa, respectively. Similarly, the loss of absolute modulus at 200 °C, 400 °C, 600 °C and 800 °C was 15%, 33%, 47% and 67%, respectively. For 5BT (5% Bentonite), the modulus of elasticity at 23 °C, 200 °C, 400 °C, 600 °C and 800 °C was recorded as 27.1 GPa, 22.9 GPa, 17.8 GPa, 13.9 GPa and 8.8 GPa, respectively. The loss of modulus for 5BT (5% Bentonite) was recorded as 15%, 34%, 49% and 67% at 200 °C, 400 °C, 600 °C and 800 °C, respectively. Figure 7 also shows that the modulus of elasticity for 10BT (10% Bentonite) at 23 °C, 200 °C, 400 °C, 600 °C and 800 °C was recorded as 27.9 GPa, 23.3 GPa, 1.4 GPa, 14.4 GPa and 9.3 GPa, respectively. For 10BT (10% Bentonite), the loss of modulus was recorded as 16%, 34%, 48% and 76% at 200 °C, 400 °C, 600 °C and 800 °C, respectively. The modulus of elasticity for 15BT (15% Bentonite) at 23 °C, 200 °C, 400 °C, 600 °C and 800 °C was recorded as 25.5 GPa, 21.5 GPa, 15 GPa, 12.3 GPa and 8.13 GPa, respectively. From Figure 7, it can be observed that the loss of modulus for 15BT (15% Bentonite) was recorded as 16%, 30%, 52% and 78% at 200 °C, 400 °C, 600 °C and 800 °C, respectively.
The ductility of the tested specimens was measured as the ratio of the ultimate strain of concrete to the corresponding yield strain. The yield strain was calculated as the strain corresponding to 65% unconfined compressive strength of concrete. Figure 8 and Table 6 show that ductility values of 0.4, 0.47, 0.68, 0.75 and 0.83 were recorded for the CM mix (0% bentonite) at 23 °C, 200 °C, 400 °C, 600 °C and 800 °C, respectively. A similar trend of ductility was observed for 5BT (5% bentonite). Ductility values of 0.52, 0.59, 0.83, 0.87 and 0.96 were recorded for 5BT at 23 °C, 200 °C, 400 °C, 600 °C and 800 °C, respectively. Higher ductility values were observed for the 10BT mix than for the CM and 5BT mixes. An enhancement of 53% and 19% in ductility was observed for 5BT and 10BT compared with that for CM at 23 and 800 °C, respectively. For this group (10BT), ductility values of 0.85, 0.77, 0.84, 0.94 and 1.03 were recorded at 23 °C, 200 °C, 400 °C, 600 °C and 800 °C, respectively. Furthermore, ductility values of 0.83, 0.79, 0.87, 0.99 and 1.04 were recorded for 10BT at 23 °C, 200 °C, 400 °C, 600 °C and 800 °C, respectively. It was concluded that the highest and lowest ductility values were observed for 15BT and CM mix irrespective of the corresponding temperature. However, the ductility values of 10BT and 15BT were very close to each other.
The stress–strain results showed that the mixture having bentonite showed higher peak stress as well as peak strain. Thus, the energy absorption of all formulations was computed and compared. Energy absorption was quantified by calculating the area under the stress–strain curve, and the area up to ultimate strain was considered for all mixes [36]. The area under the stress–strain curve for all mixes was calculated and compared with that for the control mix. Table 6 shows the energy absorption capacity of all mixes. It can be clearly observed that energy absorption increased by incorporating bentonite up to 10%, and that beyond that level, energy absorption started decreasing. The performance of the mix containing 10% bentonite was superior to that of all the other mixes. At 23 °C, 200 °C, 400 °C, 600 °C and 800 °C, energy absorption was recorded as 450.2 J/m3, 418.9 J/m3, 485.8 J/m3, 673.4 J/m3 and 867.7 J/m3, respectively. This is because the addition of bentonite, up to an optimum amount, improved the microstructure of the mix, which resulted in an improvement of the inelastic deformation without compromising the load carrying capacity. This increased energy absorption is attributed to the presence of bentonite, which efficiently resists the propagation of cracks.

3.3. Durability Test

3.3.1. Sorptivity Results at Room Temperature

Sorptivity is a material property that characterises the tendency of a material to absorb water through capillarity [37]. Sorptivity is a simple parameter and is used extensively to assess the resistance of concrete that is exposed to an aggressive environment [38].
The sorptivity test was performed in accordance with ASTM c 1585 [39]. The test results showed that the water absorption decreased as the cement substitution by bentonite increased. The decrease in water absorption is attributed to the chemical reaction between natural pozzolans and calcium hydroxide of hydrated cement paste that consumes more lime. Further, since the particle size of bentonite is smaller than that of conventional cement, it results in the packing of the binder phase and hence reduces porosity. This reduction in porosity is responsible for improved resistance to water absorption. The reported test results of sorptivity are in agreement with those of the previous literature [16]. Sorptivity is used to determine the concrete capability to convey and absorb water using capillary suction.
Figure 9 shows that water absorption by capillary action decreases by increasing the percentage of bentonite at 23 °C. The Figure 9 clearly shows that water absorption also increases with the increase in exposure temperature because free and absorbed water vanishes with a rise in temperature beyond 200 °C. Water absorption increases drastically as the temperature rises above 400 °C. For all mixes, water absorption at 600 °C and 800 °C increases to more than 150% of the water absorption at 23 °C. From this discussion, it is evident that water absorption decreases with the increase in bentonite content, regardless of the target temperature. The size of bentonite particles is smaller than cement; it provides a filler effect and makes concrete less porous, resulting in less water absorption under capillary action. Moreover, at high temperatures, bentonite behaves better than the control sample, due to the greater thermal capacity of bentonite, resulting in decreased crack propagation.

3.3.2. Mass Loss

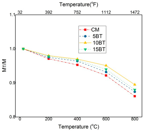
Mass loss is a very important characteristic in the evaluation of the durability of concrete. From previous studies, it can be noted that the mass loss in normal-strength concrete is lower than that in high-strength concrete. This is because in normal-strength concrete, there is enough room for the free water to easily vaporize without generating pore pressure, unlike in high-strength concrete.
It is evident from Figure 10 that the mass loss increases with temperature, and it is also shown that the mass loss decreases when the quantity of bentonite is increased up to 10%. Post this, mass loss again decreases. The mass recorded for the CM at 200 °C, 400 °C, 600 °C and 800 °C was 97.1%, 95.3%, 92.2% and 86.1%, and the mass loss was 2.9%, 4.7%, 7.8% and 13.9%, respectively. Furthermore, 97.5%, 96.4%, 93.2% and 87.4% mass was recorded for 5BT (5% Bentonite) at 200 °C, 400 °C, 600 °C and 800 °C, and mass loss was recorded as 2.5%, 3.6%, 6.8% and 12.6%, respectively. The Figure 10 also shows that the mass of 10BT (10% Bentonite) at 200 °C, 400 °C, 600 °C and 800 °C was 98%, 97%, 95.1% and 89.5%, and mass loss recorded was 2%, 3%, 4.9% and 10.5%, respectively. For 15BT (15% Bentonite), mass of 97.8%, 96.7%, 94% and 88% was recorded at 200 °C, 400 °C, 600 °C and 800 °C, and mass loss was recorded as 2.2%, 3.3%, 6% and 12%, respectively. From this discussion, it can be concluded that the mixes containing bentonite behaved better than the control mix. At high temperatures, bentonite behaves better than cement because of its greater heat capacity and lower thermal conductivity. High heat capacity does not support the propagation of cracks and results in better microstructure of the bentonite mix, compared with the control mix.

4. Conclusions

Results were generated from this study on the behavior of concrete when incorporating different proportions of bentonite (5%, 10% and 15%) and were compared with the results for conventional concrete after exposure temperatures of 200 °C, 400 °C, 600 °C and 800 °C. The research was conducted to report new data on the fire endurance of concrete containing bentonite content. Based on this study, the following conclusions can be drawn:
  • Samples containing 10% bentonite showed better performance in terms of residual compressive strength at all targeted temperatures.
  • The residual tensile strength followed a trend similar to that of the residual compressive strength. The performance of the sample containing 10% bentonite was superior to that of all other samples.
  • The water absorption of bentonite concrete increased with temperature irrespective of the percentage replacement of cement by bentonite. The increase was attributed to the improved microstructure and the filler effect of bentonite.
  • The bentonite content in concrete slightly improved its mass loss. However, the mass loss increased at a higher percentage of bentonite (15%) in concrete.
  • The bentonite concrete with 10% bentonite content showed significant improvement in energy absorption capacity. This finding shows that the bentonite concrete can be utilized in practical engineering applications that require high energy absorption.
  • The ductility of the concrete specimens improved significantly with increased bentonite content.
  • The performance of the concrete containing 10% bentonite content was superior, in terms of ultimate strength and the corresponding peak strain response, to that of the concrete mixes containing other percentages of bentonite content.
The research showed improvement in properties of concrete containing 10% bentonite content. This percentage of bentonite content improved the post-heated behavior of concrete. However, extreme care should be taken in using this specified percentage in practical engineering applications, as the data base is low, and further research should be directed towards drawing comparisons between bentonite samples obtained from various sources.

Author Contributions

Conceptualization, S.F.M., R.A.K., A.N. and J.A.; Data curation, S.F.M.; Formal analysis, R.F.T. and S.D.; Funding acquisition, A.M. and D.D.B.N.; Investigation, S.F.M., R.F.T. and A.N.; Methodology, S.F.M., A.A., R.A.K., S.D. and J.A.; Project administration, A.M.; Supervision, A.A. and A.M.; Writing—review & editing, A.M. and D.D.B.N. All authors have read and agreed to the published version of the manuscript.

Funding

This work was supported by Gheorghe Asachi Technical University of Iaşi—TUIASI-Romania, Scientific Research Funds, FCSU-2022.

Institutional Review Board Statement

Not applicable.

Informed Consent Statement

Not applicable.

Data Availability Statement

All the data available in main text.

Conflicts of Interest

The authors declare no conflict of interest.

References

  1. Hager, I. Behaviour of cement concrete at high temperature. Bull. Pol. Acad. Sci. Tech. Sci. 2013, 61, 145–154. [Google Scholar] [CrossRef]
  2. Harmathy, T. Thermal properties of concrete at elevated temperatures. J. Mater. 1970, 5, 47–74. [Google Scholar]
  3. Lea, F. The resistance to fire of concrete and reinforced concrete. J. Soc. Chem. Ind. 1922, 41, 395R–396R. [Google Scholar] [CrossRef]
  4. Schneider, M.; Romer, M.; Tschudin, M.; Bolio, H. Sustainable cement production—Present and future. Cem. Concr. Res. 2011, 41, 642–650. [Google Scholar] [CrossRef]
  5. Akbar, J.; Alam, B.; Ashraf, M.; Afzal, S.; Ahmad, A.; Shahzada, K. Evaluating the Effect of Bentonite on Strength and Durability of High Performance Concrete. Int. J. Adv. Struct. Geotech. Eng. 2013, 2, 1–5. [Google Scholar]
  6. Shihada, S. Effect of polypropylene fibers on concrete fire resistance. J. Civ. Eng. Manag. 2011, 17, 259–264. [Google Scholar] [CrossRef]
  7. Lau, A.; Anson, M. Effect of high temperatures on high performance steel fibre reinforced concrete. Cem. Concr. Res. 2006, 36, 1698–1707. [Google Scholar] [CrossRef]
  8. Baloch, W.L.; Khushnood, R.A.; Memon, S.A.; Ahmed, W.; Ahmad, S. Effect of elevated temperatures on mechanical performance of normal and lightweight concretes reinforced with carbon nanotubes. Fire Technol. 2018, 54, 1331–1367. [Google Scholar] [CrossRef]
  9. Xu, Y.; Wong, Y.; Poon, C.S.; Anson, M. Impact of high temperature on PFA concrete. Cem. Concr. Res. 2001, 31, 1065–1073. [Google Scholar] [CrossRef]
  10. Andrejkovičová, S.; Alves, C.; Velosa, A.; Rocha, F. Bentonite as a natural additive for lime and lime–metakaolin mortars used for restoration of adobe buildings. Cem. Concr. Compos. 2015, 60, 99–110. [Google Scholar] [CrossRef]
  11. Memon, S.A.; Arsalan, R.; Khan, S.; Lo, T.Y. Utilization of Pakistani bentonite as partial replacement of cement in concrete. Constr. Build. Mater. 2012, 30, 237–242. [Google Scholar] [CrossRef]
  12. Mirza, J.; Riaz, M.; Naseer, A.; Rehman, F.; Khan, A.; Ali, Q. Pakistani bentonite in mortars and concrete as low cost construction material. Appl. Clay Sci. 2009, 45, 220–226. [Google Scholar] [CrossRef]
  13. Saba, S.; Barnichon, J.-D.; Cui, Y.-J.; Tang, A.M.; Delage, P. Microstructure and anisotropic swelling behaviour of compacted bentonite/sand mixture. J. Rock Mech. Geotech. Eng. 2014, 6, 126–132. [Google Scholar] [CrossRef]
  14. Hendriks, C.A.; Worrell, E.; De Jager, D.; Blok, K.; Riemer, P. Emission reduction of greenhouse gases from the cement industry. In Proceedings of the Fourth International Conference on Greenhouse Gas Control Technologies, Interlaken, Austria, 30 August–2 September 1998; IEA GHG R&D Programme: Cheltenham, UK. [Google Scholar]
  15. Ramanathan, V.; Feng, Y. Air pollution, greenhouse gases and climate change: Global and regional perspectives. Atmos. Environ. 2009, 43, 37–50. [Google Scholar] [CrossRef]
  16. Ahmad, S.; Barbhuiya, S.A.; Elahi, A.; Iqbal, J. Effect of Pakistani bentonite on properties of mortar and concrete. Clay Miner. 2011, 46, 85–92. [Google Scholar] [CrossRef]
  17. Babaki, H.; Salem, A.; Jafarizad, A. Kinetic model for the isothermal activation of bentonite by sulfuric acid. Mater. Chem. Phys. 2008, 108, 263–268. [Google Scholar] [CrossRef]
  18. Taylor-Lange, S.C.; Juenger, M.C.; Siegel, J.A. Impact of cement renders on airborne ozone and carbon dioxide concentrations. Atmos. Environ. 2013, 70, 263–266. [Google Scholar] [CrossRef]
  19. Reddy, G.V.K.; Rao, V.R.; Reddy, M.A.K. Experimental investigation of strength parameters of cement and concrete by partial replacement of cement with Indian calcium bentonite. Int. J. Civ. Eng. Technol. 2017, 8, 512–518. [Google Scholar]
  20. ASTM C150; Standard Specification for Portland Cement. ASTM: West Conshohocke, PA, USA, 2001.
  21. Faroug, F.; Szwabowski, J.; Wild, S. Influence of superplasticizers on workability of concrete. J. Mater. Civ. Eng. 1999, 11, 151–157. [Google Scholar] [CrossRef]
  22. RILEM Technical Committee 200-HTC. Recommendation of RILEM TC 200-HTC: Mechanical concrete properties at high temperatures—modelling and applications: Part 2: Stress–strain relation. Mater. Struct. 2007, 40, 855–864. [CrossRef]
  23. RILEM Technical Committee 129-MHT. Test methods for mechanical properties of concrete at high temperatures: Part 5: Modulus of elasticity for service and accident conditions. Mater. Struct. 2004, 37, 139–144.
  24. ASTM C39/C39M; Standard Test Method for Compressive Strength of Cylindrical Concrete Specimens. ASTM: West Conshohocke, PA, USA, 2012.
  25. ASTM C496/C496M-17; Standard Test Method for Splitting Tensile Strength of Cylindrical Concrete Specimens. ASTM: West Conshohocke, PA, USA, 2011.
  26. ASTM C192/C192M; Standard Practice for Making and Curing Concrete Test Specimens in the Laboratory. ASTM: West Conshohocke, PA, USA, 2007.
  27. Mehta, P.K.; Monteiro, P.J. Concrete Microstructure, Properties and Materials; McGraw-Hill Education: New York, NY, USA, 2017. [Google Scholar]
  28. Kodur, V. Properties of concrete at elevated temperatures. ISRN Civ. Eng. 2014, 2014, 68510. [Google Scholar] [CrossRef]
  29. Khoury, G. Compressive strength of concrete at high temperatures: A reassessment. Mag. Concr. Res. 1992, 44, 291–309. [Google Scholar] [CrossRef]
  30. Hertz, K.D. Concrete strength for fire safety design. Mag. Concr. Res. 2005, 57, 445–453. [Google Scholar] [CrossRef]
  31. Li, M.; Qian, C.; Sun, W. Mechanical properties of high-strength concrete after fire. Cem. Concr. Res. 2004, 34, 1001–1005. [Google Scholar] [CrossRef]
  32. Phan, L.T.; Carino, N.J. Effects of test conditions and mixture proportions on behavior of high-strength concrete exposed to high temperatures. ACI Mater. J. 2002, 99, 54–66. [Google Scholar]
  33. Khaliq, W. Mechanical and physical response of recycled aggregates high-strength concrete at elevated temperatures. Fire Saf. J. 2018, 96, 203–214. [Google Scholar] [CrossRef]
  34. Felicetti, R.; Gambarova, P.G. Effects of high temperature on the residual compressive strength of high-strength siliceous concretes. ACI Mater. J. 1998, 95, 395–406. [Google Scholar]
  35. ASTM C 469; Standard Test Method for Static Modulus of Elasticity and Poisson’s Ratio of Concrete in Compression. American Society for Testing and Materials: West Conshohocke, PA, USA, 2002.
  36. Marara, K.; Erenb, Ö.; Yitmena, İ. Compression specific toughness of normal strength steel fiber reinforced concrete (NSSFRC) and high strength steel fiber reinforced concrete (HSSFRC). Mater. Res. 2011, 14, 239–247. [Google Scholar] [CrossRef]
  37. Hall, C. Water sorptivity of mortars and concretes: A review. Mag. Concr. Res. 1989, 41, 51–61. [Google Scholar] [CrossRef]
  38. Lockington, D.; Parlange, J.-Y.; Dux, P. Sorptivity and the estimation of water penetration into unsaturated concrete. Mater. Struct. 1999, 32, 342. [Google Scholar] [CrossRef]
  39. Ali, F. Is high strength concrete more susceptible to explosive spalling than normal strength concrete in fire? Fire Mater. 2002, 26, 127–130. [Google Scholar] [CrossRef]
Figure 1. X-Ray Diffraction test of Powdered Bentonite.
Figure 1. X-Ray Diffraction test of Powdered Bentonite.
Sustainability 14 11580 g001
Figure 2. Strength for control mix and bentonite-modified concrete mixtures at ambient and targeted temperatures (a) Compressive strength (b) Relative compressive strength.
Figure 2. Strength for control mix and bentonite-modified concrete mixtures at ambient and targeted temperatures (a) Compressive strength (b) Relative compressive strength.
Sustainability 14 11580 g002
Figure 3. Micrographs of 10BT mix exposed to elevated temperature (a) 200 °C; (b) 400 °C; (c) 600 °C; (d) 800 °C.
Figure 3. Micrographs of 10BT mix exposed to elevated temperature (a) 200 °C; (b) 400 °C; (c) 600 °C; (d) 800 °C.
Sustainability 14 11580 g003
Figure 4. Plot of residuals for BT15 mix.
Figure 4. Plot of residuals for BT15 mix.
Sustainability 14 11580 g004
Figure 5. Variation of splitting tensile strength at ambient and targeted temperatures for control mix and bentonite modified concrete (a) Absolute splitting tensile strength (b) Relative splitting tensile strength.
Figure 5. Variation of splitting tensile strength at ambient and targeted temperatures for control mix and bentonite modified concrete (a) Absolute splitting tensile strength (b) Relative splitting tensile strength.
Sustainability 14 11580 g005
Figure 6. Stress–strain response at ambient and elevated targeted temperatures (a) CM; (b) 5BT; (c) 10BT; (d) 15BT.
Figure 6. Stress–strain response at ambient and elevated targeted temperatures (a) CM; (b) 5BT; (c) 10BT; (d) 15BT.
Sustainability 14 11580 g006
Figure 7. Variation in modulus of elasticity of control mix and bentonite modified concrete at ambient and elevated temperatures (a) absolute elastic modulus, (b) relative elastic modulus.
Figure 7. Variation in modulus of elasticity of control mix and bentonite modified concrete at ambient and elevated temperatures (a) absolute elastic modulus, (b) relative elastic modulus.
Sustainability 14 11580 g007
Figure 8. Ductility of the tested specimens (CM, 5BT, 10BT and 15BT).
Figure 8. Ductility of the tested specimens (CM, 5BT, 10BT and 15BT).
Sustainability 14 11580 g008
Figure 9. Sorptivity at ambient and targeted temperature for control mix and bentonite modified mix.
Figure 9. Sorptivity at ambient and targeted temperature for control mix and bentonite modified mix.
Sustainability 14 11580 g009
Figure 10. Mass loss variation of specimens at targeted temperature.
Figure 10. Mass loss variation of specimens at targeted temperature.
Sustainability 14 11580 g010
Table 1. Chemical Composition of Cement and Bentonite.
Table 1. Chemical Composition of Cement and Bentonite.
CompoundCementBentonite
Silicon dioxide (SiO2)19.254.25
Aluminum oxide (Al2O3)9.6720.29
Ferric oxide (Fe2O3)3.288.70
Magnesium oxide (MgO)1.664.1
Calcium oxide (CaO)60.17.18
Sodium oxide (Na2O)0.811.24
Potassium oxide(K2O)1.183.95
Phosphorus pentoxide (P2O5)0.0681.107
Sulfur trioxide (SO3)2.65--
Titanium oxide (TiO2)--0.9
Zinc oxide (ZnO)--0.18
Table 2. Physical Properties of Fine and Coarse Aggregates.
Table 2. Physical Properties of Fine and Coarse Aggregates.
Aggregate TypeCoarse AggregateFine Aggregate
Maximum size12.5mm--
Water absorption (%)0.8%1.46%
Specific gravity (g/cm3)2.64172.474
Bulk density (kg/m3)1432
Crushing value21--
Fineness modulus--1.7
Table 3. Properties of superplasticizer.
Table 3. Properties of superplasticizer.
PropertiesValues
TypeViscoCrete-3100
ColourColourless to Yellowish
Consumption0.5–1%
Air contentsLess than 1%
Freezing point0 °C
FormLiquid
Density (at 25 °C)1.085 kg/L
Table 4. Mix Proportion (Mass Ratio).
Table 4. Mix Proportion (Mass Ratio).
Sample IDBentoniteCementFine AggregateCoarse AggregateWater
CM0778.05906.15985.202451.27
5BT38.90739.145906.15985.202451.27
10BT77.80700.245906.15985.202451.27
15BT116.70661.343906.15985.202451.27
Table 5. Relative Residual Splitting Tensile and Compressive Strength.
Table 5. Relative Residual Splitting Tensile and Compressive Strength.
Residual Compressive StrengthResidual Splitting Tensile Strength
Sample Name23 °C200 °C400 °C600 °C800 °C23 °C200 °C400 °C600 °C800 °C
CM10.830.720.460.2310.690.480.280.13
5BC10.850.750.490.2410.700.550.320.18
10BC10.870.780.580.4010.750.620.400.24
15BC10.810.690.450.2810.730.600.300.17
Table 6. Compressive Strength, Modulus of Elasticity, Energy Absorption, Tensile Strength and Ductility at Targeted Temperatures.
Table 6. Compressive Strength, Modulus of Elasticity, Energy Absorption, Tensile Strength and Ductility at Targeted Temperatures.
IDTemp.Compressive Strength (Mpa)Modulus of Elasticity (Gpa)Energy Absorption (J/m3)Tensile Strength (Mpa)Ductility
CM23 °C28.80526.18436.23.250.4
200 °C23.7922.27398.12.240.47
400 °C20.8817.613389.31.560.68
600 °C13.3313.75459.70.910.75
800 °C6.678.60523.60.420.83
5BT23 °C29.1027.10436.73.420.52
200 °C24.7022.90371.62.390.59
400 °C21.6917.86413.81.880.83
600 °C14.1213.94481.41.0940.87
800 °C7.108.89489.90.6150.96
10BT23 °C30.3127.93450.23.760.85
200 °C26.4723.36418.92.820.77
400 °C23.5918.48485.82.330.84
600 °C17.4814.44673.41.5040.94
800 °C12.109.37867.70.9021.03
15BT23 °C28.6625.56423.23.510.83
200 °C23.2321.54364.12.560.79
400 °C19.7515.00416.61.820.87
600 °C12.9312.30444.51.0530.99
800 °C7.958.13607.50.5961.04
Table 7. Experimental and predicted compressive strength using Response Surface Methodology.
Table 7. Experimental and predicted compressive strength using Response Surface Methodology.
IDExposure Temperature (°C)Compressive Strength Mpa (Experimental)Compressive Strength Mpa (Predicted)% ErrorResidual (R2)
CM2328.80529.3942.003810.9808
20023.7924.4382.6516080.9808
40020.8818.838−10.83980.9808
60013.3313.238−0.694970.9808
8006.677.63812.673470.9808
5BC2329.130.0213.0678530.9760
20024.725.0651.4562140.9760
40021.6919.465−11.43080.9760
60014.1213.865−1.839160.9760
8007.18.26514.095580.9760
10BC2330.3130.1314−0.592740.9493
20026.4726.025−1.709890.9493
40023.5921.385−10.3110.9493
60017.4816.745−4.389370.9493
80012.112.1050.0413050.9493
15BC2328.6628.6038−0.196480.9929
20023.2323.9312.9292550.9929
40019.7518.651−5.892450.9929
60012.9313.3713.2981830.9929
8007.958.0911.7426770.9929
Publisher’s Note: MDPI stays neutral with regard to jurisdictional claims in published maps and institutional affiliations.

Share and Cite

MDPI and ACS Style

Farhan Mushtaq, S.; Ali, A.; Khushnood, R.A.; Tufail, R.F.; Majdi, A.; Nawaz, A.; Durdyev, S.; Burduhos Nergis, D.D.; Ahmad, J. Effect of Bentonite as Partial Replacement of Cement on Residual Properties of Concrete Exposed to Elevated Temperatures. Sustainability 2022, 14, 11580. https://doi.org/10.3390/su141811580

AMA Style

Farhan Mushtaq S, Ali A, Khushnood RA, Tufail RF, Majdi A, Nawaz A, Durdyev S, Burduhos Nergis DD, Ahmad J. Effect of Bentonite as Partial Replacement of Cement on Residual Properties of Concrete Exposed to Elevated Temperatures. Sustainability. 2022; 14(18):11580. https://doi.org/10.3390/su141811580

Chicago/Turabian Style

Farhan Mushtaq, Sardar, Ather Ali, Rao Arsalan Khushnood, Rana Faisal Tufail, Ali Majdi, Adnan Nawaz, Serdar Durdyev, Dumitru Doru Burduhos Nergis, and Jawad Ahmad. 2022. "Effect of Bentonite as Partial Replacement of Cement on Residual Properties of Concrete Exposed to Elevated Temperatures" Sustainability 14, no. 18: 11580. https://doi.org/10.3390/su141811580

APA Style

Farhan Mushtaq, S., Ali, A., Khushnood, R. A., Tufail, R. F., Majdi, A., Nawaz, A., Durdyev, S., Burduhos Nergis, D. D., & Ahmad, J. (2022). Effect of Bentonite as Partial Replacement of Cement on Residual Properties of Concrete Exposed to Elevated Temperatures. Sustainability, 14(18), 11580. https://doi.org/10.3390/su141811580

Note that from the first issue of 2016, this journal uses article numbers instead of page numbers. See further details here.

Article Metrics

Back to TopTop