Next Article in Journal
In Situ Carbonized Polyvinyl Alcohol (PVA) Sponge by a Dehydration Reaction for Solar-Driven Interfacial Evaporation
Previous Article in Journal
Are There Differences in Thermal Comfort Perception of Children in Comparison to Their Caregivers’ Judgments? A Study on the Playgrounds of Parks in China’s Hot Summer and Cold Winter Region
 
 
Font Type:
Arial Georgia Verdana
Font Size:
Aa Aa Aa
Line Spacing:
Column Width:
Background:
Article

Does Low-Carbon City Policy Improve Industrial Capacity Utilization? Evidence from a Quasi-Natural Experiment in China

1
School of Investment Engineering Management, Dongbei University of Finance and Economics, Dalian 116025, China
2
School of Business Administration, Dongbei University of Finance and Economics, Dalian 116025, China
3
School of Urban Economics and Public Administration, Capital University of Economics and Business, Beijing 100070, China
*
Author to whom correspondence should be addressed.
Sustainability 2022, 14(17), 10941; https://doi.org/10.3390/su141710941
Submission received: 13 July 2022 / Revised: 19 August 2022 / Accepted: 29 August 2022 / Published: 1 September 2022

Abstract

:
A low-carbon city policy (LCC) is a comprehensive environmental regulation to promote urban green development and resolve the overcapacity contradiction. This study uses China’s low-carbon city pilot policy as a “quasi-natural experiment” based on a panel of 266 Chinese cities, covering three batches of low-carbon pilot cities from 2003 to 2019. We measure industrial capacity utilization at the city level and then construct a time-varying DID (TV-DID) model to investigate the effect of a low-carbon city policy on industrial capacity utilization in Chinese cities, exploring the mechanism, heterogeneity, and spatial effects. It is found that (1) LCC improves industrial capacity utilization by approximately 3.2%, and the above finding still holds after a series of robustness tests, such as the parallel trend test, PSM-DID, DDD, and placebo test. (2) LCC improves industrial capacity utilization through three channels: alleviating resource misallocation, promoting industrial structure upgrading, and stimulating technological innovation. (3) The improvement of LCC on industrial capacity utilization has heterogeneity and positive spatial spillover effect. (4) The heterogeneity analysis shows that the improvement of LCC on industrial capacity utilization is stronger in cities in the high quartile of industrial capacity utilization, cities in old industrial bases, cities along the “Belt and Road” route, and cities in a free-trade zone. The theoretical analysis and empirical results of this study provide empirical support for the promotion of low-carbon city policy globally and provide ideas for solving the overcapacity contradiction in the context of global decarbonization.

1. Introduction

Since the reform and opening up, China’s industrialization has accelerated and the economy has continued to develop at a high speed. However, this sloppy economic growth model of blind investment and disorderly expansion, detached from real demand, has led to a serious overcapacity contradiction. Overcapacity not only causes the idle and wasteful use of resources, leads to increased leverage, and increases economic systemic risks, but also causes deflation, rising unemployment, and increases macroeconomic uncertainty. In 2015, China’s Central Economic Work Conference put forward five major structural reform tasks, with solving the contradiction of overcapacity at the top of the five major tasks. In 2021, the State Council Government Work Report pointed out that the five major structural reform tasks will continue to be completed; therefore, overcapacity is an urgent problem for China to solve in the stage of high-quality economic development.
In 2013, the State Council issued the “Guidance on Resolving the Serious Overcapacity Contradiction”. It was clearly pointed out that the management of environmental access should be strengthened, and the supervision and management of hard constraints on environmental protection should be continuously strengthened. The bearing capacity of resources and environment was to force the transformation and upgrading of industrial structure and resolve the contradiction of overcapacity. In 2022, China’s Ministry of Ecology and Environment issued the “Opinions on Further Strengthening Prevention and Control of Heavy Metal Pollution”, in which it was mentioned that “we will promote the elimination of backward production capacity and overcapacity related to heavy metals in accordance with the law. Strictly implement ecological environmental protection and other related regulations and standards, and promote the closure and withdrawal of production capacity that cannot meet the requirements after rectification according to the law”. This shows that environmental regulation is not only an important path for China to accelerate the construction of an ecological civilization system and promote green development, but also an effective means to solve the overcapacity contradiction, which is important for promoting supply-side structural reform and achieving high-quality development. In recent years, the Chinese government has implemented a series of environmental regulations to promote decarbonization at the national, regional, and industry levels, among which is the “Notice on the Piloting of Low-Carbon Provinces, Regions, and Cities” issued by the China National Development and Reform Commission (NDRC). This attracted much attention, giving low-carbon cities various administrative tools, treating low-carbon city policy as a form of environmental regulation, and setting up pilots to experiment. So, does the environmental regulation represented by the low-carbon city policy improve the capacity utilization and solve the overcapacity contradiction?
Given this, the study focuses on the policy effects of the low-carbon city policy on industrial capacity utilization in Chinese cities. The low-carbon city policy started in 2010 when the NDRC issued the “Notice on the Piloting of Low-Carbon Provinces, Regions, and Cities”, which initiated the first batch of piloting of low-carbon cities, followed by the second and third batches of piloting in 2012 and 2017, respectively, involving 6 provinces, 81 cities, and 1 region. In this context, we attempt to answer the following questions in this study: Does the implementation of the low-carbon city pilot policy improve industrial capacity utilization in Chinese cities? Through what mechanism does the effect occur? Are there heterogeneity and spatial effects of such policy effects? Clarifying the above questions is of great practical significance for resolving overcapacity contradiction and promoting economic development transformation in the context of global decarbonization, as well as for consolidating the previous development achievements of low-carbon city construction and expanding the future policy space.
Essentially, a low-carbon city policy is an exploration of decoupling economic growth from carbon emissions [1,2], which is a kind of comprehensive environmental regulation. Although studies have been conducted to assess the impact effects of environmental regulation [3,4], the quantitative study by constructing environmental regulation indicators can hardly avoid endogenous problems such as measurement errors, omitted variables, and sample selection bias, which lead to biased estimation results. In contrast, the choice of low-carbon city policy as a quasi-natural experiment for the government to achieve environmental regulation provides a research opportunity to accurately and objectively assess the policy effects of environmental regulation.
The assessment of policy effects has a certain lag, and the policy effects of low-carbon cities have gradually received attention from scholars in recent years as the policy practice period advances. It has been found that the low-carbon city policy not only effectively reduces urban air pollution and the intensity of carbon emissions and industrial pollutant emissions [5,6,7,8] but also promotes industrial structure upgrading, green economic growth, and green technological innovation efficiency in pilot cities [9,10,11,12], achieving a balance between environmental performance and economic performance. The policy effects of the low-carbon city policy on the total factor productivity of enterprises [13] and the green technology innovation of enterprises [14] have been explored, enriching the existing research system from a microscopic perspective. The studies have provided abundant research basis for identifying the policy effects of low-carbon cities and understanding the inner transmission mechanisms. However, the above studies have a single perspective and can hardly reflect the effects of policy implementation comprehensively, showing certain limitations. Industrial capacity utilization integrates a multi-dimensional perspective examination of the policy effect, making up for the limitations. It is an important indicator of the macroeconomic cycle [15,16] and reflects issues at the micro-level such as the unemployment rate and market environment [17]. Therefore, this paper investigates low-carbon policy effects from the perspective of industrial capacity utilization as an important complement to existing studies.
This study enriches the research dimensions of low-carbon city policy effects and overcapacity problems, expands the boundaries of related research, and provides valuable policy insights for high-quality development and global decarbonization. The possible marginal contributions are focused on the following three aspects: (1) As the first study to measure industrial capacity utilization at the city level, it provides an important reference for studying the problem of overcapacity at the macro level in cities. (2) By integrating low-carbon city policy and industrial capacity utilization into a unified theoretical and empirical analysis framework, the heterogeneity of policy effects and spatial effects is further explored, enriching the research perspective and content of the overcapacity contradiction. (3) The exogenous shock of the low-carbon city policy is selected as the entry point, and the “net effect” of environmental regulation on the industrial capacity utilization is identified based on TV-DID, PSM-DID, DDD, and other international frontier research methods in the field of environmental economics. It is beneficial to overcome the endogeneity problem and make the identification strategy more rigorous.

2. Feature Fact Analysis and Theoretical Mechanisms

2.1. Characteristic Fact Analysis

Industrial capacity utilization (ICU) is the proportion of real industrial output to industrial capacity. Capacity utilization was first proposed by Cassels et al. (1937) [18] as a direct indicator of overcapacity; it is generally believed that there is overcapacity if the capacity utilization is below 75%, and the lower the capacity utilization, the more serious the overcapacity contradiction. The common measurement methods in academic research are the cost function method, stochastic frontier approach (SFA), cointegration method, and data envelopment analysis (DEA). Different measurement methods have their own strengths and limitations: (1) The cost function method was proposed by Klein (1960) [19] and Berndt et al. (1981) [20] and can comprehensively consider various factor inputs in the production process, and the measurement results are more objective and accurate, but the measurement process implies many strong assumptions and requires data on intermediate product inputs and a series of parameters; however, these data cannot be obtained from public channels, leading to subjective bias in parameter settings., which is difficult in practice. (2) The stochastic frontier approach (SFA) is a method for estimating efficiency using the stochastic frontier production function, which was developed by Aigner et al. (1977) [21] and Meeusen et al. (1977) [22], each independently; it is a parametric approach, and the parametric approach method requires setting specific production functions, such as the Cobb–Douglas production function, the fixed substitution elastic production function, and translog production function, etc. However, it is not possible to determine ex ante which production function is precisely applicable to a particular study, which may lead to a large bias. (3) The cointegration method is proposed by Shaikh et al. (2004) [23], which has no harsh prerequisite assumptions and avoids specific functional form setting, but the insufficient portrayal of overcapacity due to non-cyclical factors leads to the measurement results being affected by period selection. (4) Data envelopment analysis (DEA) is based on a linear programming approach to construct the optimal production frontier, and the measurement of industrial capacity utilization is achieved by comparing the distance between the actual production and the optimal production frontier. DEA is one of the most commonly used nonparametric frontier efficiency analysis methods, and was first proposed by Fare et al. (1989) [24] and used by Dong et al. (2015) [25] to measure the industrial capacity utilization at the industry level in China. This method does not need to set the form of production function in advance, nor does it need to give or calculate the input–output weights, but determines the weights through the optimization process, thus making the evaluation of the decision unit more objective. DEA has the advantages of both loose assumptions and measurement results not affected by cyclical factors, which is more applicable and wider than all the above methods. By comparing the above measurement methods, this study finally used data envelopment analysis (DEA) to measure the industrial capacity utilization (ICU).
For a given industrial fixed capital input K, industrial capacity can be expressed as Y (K). The extent to which industrial capacity is transformed into real industrial output is governed mainly by industrial variable inputs L and E, and technical efficiency TE, where L denotes industrial Labor input and E denotes industrial energy input, then the real industrial output function can be written as TE × Y(K,L,E). By definition, industrial capacity utilization is the ratio of real industrial output to industrial capacity. Kirkley et al. (2002) [26] argued that capacity utilization should be obtained using the additional output generated by the increased capacity rather than by the increased efficiency. In addition, Fare et al. (1989) [24] defined unbiased capacity utilization and biased capacity utilization, and considered that biased capacity utilization excluding the downward bias caused by technical inefficiency is unbiased capacity utilization. In summary, the unbiased industrial capacity utilization is chosen as the dependent variable in this study, and the derived equation is shown below.
ICU unbiased = ICU biased / T E = T E × Y ( K , L , E ) Y ( K ) / T E = Y ( K , L , E ) Y ( K )
where ICUunbiased and ICUbiased denote unbiased and biased industrial capacity utilization, respectively. The two output functions, Y(K,L,E) and Y (K), are measured by the DEA method using the following equations.
Max   Y j t ( K j t , L j t , E j t ) = i = 1 n λ i t y i t s . t .   i = 1 n λ i t y i t y j t   i = 1 n λ i t K i t K j t   i = 1 n λ i t L i t L j t   i = 1 n λ i t E i t E j t   i = 1 n λ i t = 1   λ i t 0
Max   Y j t ( K j t ) = i = 1 n λ i t y i t s . t .   i = 1 n λ i t y i t y j t   i = 1 n λ i t K i t K j t   i = 1 n λ i t = 1   λ i t 0
where t is the period, i or j is the city, and n is the total number of cities; λ denotes the weight vector, and i = 1 n λ i t = 1 denotes variable returns to scale (VRS). The measurement process of each variable is described as follows.
(1) Real industrial output y is measured by the total industrial output value above the scale and deflated by the industrial producer ex-factory price index in the province where it is located using 2003 as a benchmark; (2) industrial capital input K, in this measurement, is the industrial fixed capital stock, and based on data availability, fixed capital stock is chosen as a proxy variable, which is measured using the perpetual inventory method [27] and is deflated by the fixed asset investment price index of the province in which it is located using 2003 as a benchmark; (3) industrial labor input L is obtained by subtracting the number of employees in the secondary industry from the number of employees in the construction industry; (4) industrial energy input E, which is usually measured using energy consumption, uses industrial electricity consumption as a proxy variable due to the unavailability of industrial energy consumption in prefecture-level municipalities [28,29].
A description of the variables used to measure industrial capacity utilization by the DEA method is shown in Table 1.
Before calculating the industrial capacity utilization, to test whether the fixed capital stock can effectively evaluate the local industrial fixed capital stock in the same period, a panel cointegration test is used to test whether there is a stable long-term relationship between them based on provincial data from 2003 to 2019. First, panel unit root LLC, IPS, HT, Breitung, Fisher, and Hadri tests were conducted on provincial fixed capital investment and fixed assets of industrial enterprises above the scale, respectively, and both were found to be first-order single integers, which is not shown here due to space limitations; subsequently, panel cointegration Kao, Pedroni, and Westerlund tests were conducted on both. The results are shown in Table 2, and the p-values are less than 5%, indicating that the two have a stable cointegration relationship. Therefore, the inferred fixed capital stock can effectively evaluate the situation of industrial fixed capital stock in the same period.
Given that the BCC model is the most basic VRS model in the DEA method, it is more representative, so this study chose the BCC model as the benchmark measurement result. The industrial capacity utilization was measured based on the output perspective, with 1% and 99% tailoring to reduce the effect of extreme values or outliers. The final measurement results of the DEA method are shown in Table 3. It should be noted that the mean value of these measured results is lower than the mean value of the results measured by the cost function method due to the selection of global reference score and the large sample size in this study, which leads to a larger variance of the measured results and a more dispersed distribution between (0,1). Nevertheless, the measured results can still fully and accurately reflect the actual situation of all individual cities and their annual dynamic changes in industrial capacity utilization in Chinese cities.
During the period 2003–2019, industrial capacity utilization in Chinese cities as a whole showed a downward trend, and the changes in the industrial capacity utilization can be roughly divided into three stages by combining China’s economic operation cycle: 2003 to 2008, 2009 to 2012, and after 2013. The stages of the change in the annual mean of the industrial capacity utilization in Chinese cities and its growth rate are shown in Figure 1.
Industrial capacity utilization in Chinese cities rose steadily between 2003 and 2008. At the beginning of the 21st century, China gradually emerged from the Asian financial crisis, and its economy began to develop rapidly. In particular, China’s accession to the WTO in 2002 led to a steady increase in social investment rates and accelerated its integration into the economic globalization process. China’s State Council issued the Notice on Accelerating the Structural Adjustment of Overcapacity Industries in 2006, promoting governments at all levels to improve the capacity utilization of enterprises through restructuring, renovation, and elimination.
Industrial capacity utilization in Chinese cities declined in fluctuations during 2009–2012. In 2008, during the global economic crisis the global market was weak, thus, China experienced industrial product export difficulties, and whilst many industrial enterprises did not choose to go bankrupt, the economic stimulus policy at that time ignored the efficiency to continue to expand the scale of production, resulting in the overall industrial capacity utilization falling. In 2008–2010, the national industrial capacity utilization showed a sharp downward trend. In this context, China’s State Council issued the “Notice on Several Opinions on Suppressing Overcapacity and Duplicate Construction in Some Industries to Guide Healthy Industrial Development” and “Notice on Further Strengthening the Work of Eliminating Backward Production Capacity” in 2009 and 2010 to deal with the problem of overcapacity. Under the policy regulation, the industrial capacity utilization rebounded during 2010–2012, but compared with the first stage, still showed a decreasing trend.
After 2012, with the early withdrawal of the second phase of economic stimulus policy and the side effects of inefficient investment and zombie enterprises caused by the “four trillion” investment plan introduced in response to the global financial tsunami in 2008, the growth rate of industrial capacity utilization has gradually decreased, sharply in 2013 and 2014. According to previous years, it can be seen that the problem of overcapacity in China is mainly on the supply side. In 2015, the central government put forward the strategy of “supply-side structural reform” at the 11th meeting of the Leading Group of Finance and Economics, aiming to promote supply-side structural adjustment from the perspective of improving supply quality, correcting distortions in factor allocation and promoting industrial structure upgrades, so as to solve the problem at the source and improve capacity utilization to be more scientific and reasonable. In the same year, key national leader further proposed five major structural reform tasks at the Central Economic Work Conference; the task of “removing production capacity” was the first of the five major tasks. As a result, supply-side structural reforms caused a blizzard of industrial capacity utilization in 2015. After 2016, with the disappearance of China’s demographic dividend and the decline in economic growth, the industrial capacity utilization was on a downward trend but still rebounded compared with 2014.
In conclusion, from 2003 to 2019, the industrial capacity utilization in Chinese cities showed the characteristic fact that it was decreasing in fluctuation. Government regulation has an important impact on the change in industrial capacity utilization; so how does the environmental regulation represented by the low-carbon city policy affect the industrial capacity utilization in Chinese cities?

2.2. Theoretical Mechanisms

Low-carbon city policy is a kind of environmental regulation. Regulation refers to the government’s efforts to address market incompleteness, such as negative externalities arising from the behavior of economic agents, by setting standards and other means [30], referring to a broader scope than policy so that low-carbon city policy is included in environmental regulation. Existing studies have proved that environmental regulation has a certain improvement effect on capacity utilization, which is usually elaborated by the following two channels: compliance cost effect and innovation compensation effect [31,32]. The “Notice on the Piloting of Low-Carbon Provinces, Regions, and Cities” requires pilot cities to implement an emission target responsibility system, use market mechanisms to promote the implementation of greenhouse gas emission control targets, promote the concept of low-carbon living, and promote widespread participation and conscious action by the whole population, from which it can be seen that low-carbon city policy is a comprehensive environmental regulation, which takes into account command-and-control, market incentives, and public participation. Therefore, this study analyzes the impact of low-carbon city policy on industrial capacity utilization from three dimensions based on the different participating subjects. First, from the command-and-control perspective, the government directly increases the compliance costs of enterprises in terms of environmental protection expenditures by formulating environmental protection regulations, allocating emission limits and other environmental protection control measures that are mandatory, forcing enterprises with low industrial capacity utilization to reduce environmental management costs through technological innovation or optimize resource allocation through bankruptcy and restructuring, and improving the overall industrial capacity utilization of cities under the role of technological innovation mechanisms and resource allocation mechanisms [33,34]. Second, from the perspective of market incentive, the market investment and production behavior of enterprises are indirectly guided through the levy of sewage charges and environmental protection taxes, which stimulate the transformation of enterprises to green production and stimulate the vitality of enterprise technological innovation, and promote the improvement in industrial capacity utilization through the mechanism of industrial structure upgrading and technological innovation [35,36]. Third, from the perspective of public participation, the public’s green life and green consumption behavior form the demand-side feedback, while the public’s monitoring of policy implementation performance forms an effective complementary force to government regulation of the market, promoting the increase in the proportion of tertiary industry investment and improving the industrial capacity utilization through the industrial structure upgrading mechanism [37,38]. Therefore, as a comprehensive environmental regulation, low-carbon city policy combines the combined characteristics and advantages of three types of environmental regulations and has a positive impact on industrial capacity utilization.
Hypothesis 1 (H1).
LCC improves industrial capacity utilization.
The LCC increases the environmental management costs of industrial enterprises, leading to bankruptcy or lower fixed asset investment, and affects the overall industrial capacity utilization by alleviating the resource misallocation mechanism. The “Notice on the Piloting of Low-Carbon Provinces, Regions, and Cities” requires that pilot cities implement an emissions target responsibility system, and local governments will cascade these responsibility targets to local industrial enterprises through assessment and evaluation as a means of command and control. Under the premise of unchanged technical conditions, enterprises comply with the carbon emission responsibility target assessment requirements by alleviating resource misallocation, which in turn affects capacity utilization. On the one hand, the shrinking profit margin forces some enterprises with a small production scale and high pollution control costs to exit the market, and the reduction in the total number of enterprises will reduce the idle rate of equipment and alleviate the problem of resource misallocation, which in turn improves industrial capacity utilization. On the other hand, some enterprises reduce their investment plans and future production capacity due to the high cost of environmental management and improve the efficiency of resource allocation, which also leads to an increase in industrial capacity utilization.
Hypothesis 2 (H2).
LCC improves industry capacity utilization through the mechanism of alleviating resource misallocation.
The LCC changes the cost–benefit relationship of enterprises, promotes the adjustment of industrial structure, and influences the industrial capacity utilization in Chinese cities through the mechanism of industrial structure transformation and upgrading. By imposing emissions taxes and environmental protection taxes on low-carbon pilot cities, industrial enterprises with different capacity utilization rates will face different environmental compliance costs, prompting the market mechanism to play its full role [39]. To internalize the external cost of environmental pollution, enterprises will actively change the original factor input ratio, reduce the high pollution production chain and increase the proportion of clean energy and clean technology input, which will lead to the transformation and upgrading of the industrial structure under the competitive mechanism of superiority. In addition, during the implementation of the LCC, the public effectively monitors the environmental governance performance of the city, solves the information asymmetry between enterprises and the government, further increases the rectification of polluting enterprises, and promotes the exit of polluting enterprises from the market or transformation and upgrading; at the same time, the formation of the public’s low-carbon living concept will increase the green consumption demand, force the green development of enterprises, and promote the transformation and upgrading of industrial structure. The upgrading of industrial structure implies a relative decrease in ineffective industrial capacity, and industrial capacity utilization in Chinese cities can be improved.
Hypothesis 3 (H3).
LCC improves industrial capacity utilization through the mechanism of industrial structure upgrading.
The LCC stimulates enterprises to pursue profit maximization under the new constraints and forces them to invest in technological innovation, which affects industrial capacity utilization in Chinese cities through the technological innovation mechanism. Compulsory targets or levying taxes and fees on environmental management raise the compliance cost of environmental management for enterprises. In the context of the market environment of improving technology level and the stimulation of enterprises’ goal of profit maximization, enterprises are motivated to increase investment in R&D and innovation and adopt advanced production technology to improve productivity. When the positive effect of technological innovation exceeds the negative effect of environmental management cost enhancement on the production scale, and when the positive effect of technological innovation outweighs the negative effect of increased environmental management costs on a production scale, it will fundamentally reduce production costs. At the same time, enterprises with strong R&D capabilities have a demonstrable effect on technological innovation, which stimulates the improvement in technological innovation at the whole industry level [40]. Technological innovation fundamentally solves the problem of rising compliance costs faced by enterprises, promotes the green productivity of enterprises, and eliminates industrial enterprises with backward capacity through a competitive mechanism, leading to an increase in the overall industrial capacity utilization in Chinese cities [41].
Hypothesis 4 (H4).
LCC improves industrial capacity utilization through the mechanism of technological innovation.
Figure 2 shows the mechanism for LCC to improve industrial capacity utilization, clearly demonstrating the analytical process of the above hypothesis.

3. Case Study and Discussion

3.1. Model Setting

This study considers the low-carbon city pilot policy as a “quasi-natural experiment”, aiming to test whether the low-carbon city policy can improve the utilization of industrial capacity. A commonly used and effective method in the policy effects assessment literature is the difference-in-differences (DID) model [42], which has been widely used in policy research in the field of environmental economics [43]. First, the study population was divided into a treatment group (pilot cities implementing low-carbon city policy) and a control group (non-pilot cities not implementing low-carbon city policy); second, the factors that change over time before and after the policy implementation were removed by the first difference-in-differences; finally, the differences between the treatment and control groups were identified by the second difference-in-differences, so that the net effect of policy implementation could be identified. Considering that the three batches of low-carbon city pilots were established at different times, a more appropriate time-varying DID model (TV-DID) was chosen as the benchmark model in this study.
ICU i , t = α 0 + α 1 treat i × post t + i = 1 n β i controls i , t + μ i + λ t + ε i , t
where i and t denote city and year, respectively; ICU is the industrial capacity utilization; treat × post is the policy variable interaction term; controls is a set of covariates; μi and λt are city individual fixed effects and time fixed effects, respectively, as a way to remove other confounding factors that vary with different cities and over time; α0 is the intercept term; εi,t denotes the random error term. The coefficient α1 of the policy variable interaction term treat × post measures the net effect of the low-carbon city pilot on industrial capacity utilization and is the coefficient of focus.

3.2. Variable Descriptions

3.2.1. Dependent Variables and Independent Variables

The dependent variable is the industrial capacity utilization (ICU), and the measures and results are presented in Section 2.
The independent variable is the policy variable interaction term. The city grouping dummy variable treat, the period grouping dummy variable post, and the policy variable interaction term treat × post are constructed, where the city grouping dummy variable treat is assigned to 1 if the city is a low-carbon city pilot and 0 otherwise; the period grouping dummy variable post is assigned to 1 if the city is in the year when it is approved to be a pilot low-carbon city and the year after, otherwise it is taken as 0. The policy variable interaction term treat × post refers to the multiplication of each city grouping dummy variable and the period grouping dummy variable. This study focuses on the regression coefficient of treat × post; if it is significantly positive, it indicates that the low-carbon city pilot policy significantly improves industrial capacity utilization.

3.2.2. Covariates

The covariates that may affect industrial capacity utilization are selected by combining existing studies, and the covariates are further screened based on the Lasso regression method in machine learning, and the following five covariates are finally obtained to control the effect of differences in city characteristics on the regression results. (1) City size (pop_size). Packalen et al. (2015) [44] argue that larger cities have more advantages in terms of invention and creation activities, and that the agglomeration effect and knowledge spillover effect of large cities are stronger, and the innovation input has a greater effect on capacity utilization. In addition, the larger the city size, the more efficient the industrial land [45], while being more conducive to industrial structure transformation [46], is expected to have a positive impact on capacity utilization; it is generally believed that population density determines the city size [47,48], so this study uses the ratio of the total population at the end of the year to the land area of the administrative area to measure the city size. (2) Fiscal deficit (deficit). Due to the separation of fiscal power and authority between the central and local governments in China, local governments need to raise debt to cover their fiscal deficits in various ways due to development needs, resulting in excessive leverage and thus affecting capacity utilization [49]. Hartman et al. (2007) [50] argue that changes in demand due to deficit rate shocks affect capacity utilization over the same period, and Liu et al. (2019) [51] find a negative relationship between financial leverage and capacity utilization; this study uses the ratio of fiscal spending over fiscal revenue to GDP to measure the deficit rate according to the definition of deficit rate. (3) Educational level (education). The level of education reflects the quality of local human resources, and high-quality human resources are conducive to the increase in capacity utilization [52,53]; this study uses the proportion of education expenditure to fiscal expenditure to measure the level of education. (4) Financial development level (financial). Financial development is not only conducive to promoting the transformation of industrial structure [54] but also conducive to improving the efficiency of green development [55], thereby enhancing capacity utilization. Ma et al. (2020) [56] also find that credit support improves the capacity utilization of the whole steel industry; this study uses the ratio of the sum of deposits and loans of financial institutions to GDP at the end of the year as an indicator of the financial development level. (5) Opening degree (opening). The opening of additional markets can bring about an increase in capacity utilization; on the other hand, the increase in the capacity utilization rate brings about the opening of additional markets [57]. In addition, the appropriate introduction of foreign investment can not only promote economic growth but can also bring technological spillover effects, thus accelerating technological progress [58], so there is a positive impact on capacity utilization [59]. This study uses the ratio of the total industrial output value of foreign-invested enterprises to the total industrial output value of domestic enterprises to measure the openness degree. It should be noted that the covariates are logarithmically treated in order to reduce the absolute differences between data, to avoid the influence of individual extreme values, and to satisfy the classical linear model assumptions as much as possible.

3.2.3. Mediators

The mechanism variables are set according to the theoretical mechanism analysis, including the resource misallocation index, industrial structure upgrading index, and technological innovation index.
(1) The integrated resource misallocation index (misallocation). The resource misallocation index can be divided into the capital misallocation index τKi and the labor misallocation index τLi [60,61], which are calculated as shown below.
τ Ki = 1 γ Ki 1 , τ Li = 1 γ Li 1
where γKi and γLi are the absolute distortion coefficients of capital and labor factor prices, respectively. The calculation process is as follows.
γ Ki = ( L i L ) / ( s i β Ki β K ) , γ Li = ( L i L ) / ( s i β Li β L )
where Li is the number of employees in the city at the end of the year; si is the share of the real GDP of the city in the sum of the real GDP of all cities, which is calculated by deflating the regional GDP index of the province in which the city is located with the base year of 2003; and βK and βL are the weighted capital and labor output elasticities, respectively. The integrated resource misallocation index (misallocation) is calculated based on the entropy method by weighting τKi and τLi.
(2) Industrial structure upgrading index (upgrade). Upgrading the industrial structure is the process of establishing and realizing an efficient and effective industrial structure, and it is the process of evolving from the dominant share of the first industry to the dominant share of the second and third industries step by step [62,63]. In this study, we adopt the ratio of the value-added of the tertiary industry to the value-added of the secondary industry to measure the index of industrial structure upgrading.
(3) Technological innovation index (innovation). The existing literature mainly adopts three ways to measure the level of technological innovation: input (such as scientific expenditure, internal expenditure of R&D funds, etc.), output (such as green invention patents, green utility model patents, etc.), and efficiency (constructing innovation input–output function to measure) [64]. Technological innovation input is a prerequisite and an important factor for technological innovation, and to a certain extent, it reflects the government’s support for innovation and the innovation environment, which has a greater influence on technological innovation [65]. Therefore, this paper measures the level of technological innovation from the input perspective and uses the share of science expenditure in fiscal expenditure as a proxy variable.

3.3. Data Method

This study excludes some cities with serious data deficiencies and uses panel data of 266 prefecture-level and above cities from 2003 to 2019 as the study sample. The provincial industrial producer ex-factory price index, provincial fixed asset investment price index, and provincial total fixed capital formation are from the China Statistical Yearbook, the provincial gross regional product index is from the China Regional Economic Statistical Yearbook, the provincial fixed asset data of industrial enterprises above the scale are from the official website of the National Bureau of Statistics, and the rest of the data are from the China City Statistical Yearbook. This study uses the ARIMA method to address the missing value problem to construct balanced panel data. The descriptive statistics of the variables are shown in Table 4.

4. Results Discussion

4.1. Benchmark Regression Results

The estimation results based on the benchmark model are shown in Table 5. The BCC model is the base model for data envelopment analysis, and most of the relevant studies use the BCC model to measure capacity utilization, so it is used as the benchmark regression in this study. Columns (3) and (4) show the results of the regression with the industrial capacity utilization in Chinese cities measured by the variable returns to scale (VRS) Super-SBM model as the dependent variable, which is used as a reference comparison for the benchmark regression results. This study controls for city fixed effects and time fixed effects, and the standard errors of all regression analyses are corrected for White’s heteroskedasticity.
The regression results indicate that the low-carbon city policy improves local industrial capacity utilization in Chinese cities to some extent. As seen in Table 5, the coefficients of the interaction terms treat × post for the policy variables in columns (1)–(4) are significantly positive at the 1% level, indicating that the implementation of the low-carbon city policy can improve the industrial capacity utilization in Chinese cities to some extent, and the results of the benchmark regression in column (2) indicate that the implementation of the low-carbon city policy has improved the industrial capacity utilization in Chinese cities by approximately 3.2%. The coefficients of the policy variables in the regression results of (1), (3), and (4) are not very different, indicating that the lifting effect is robust. The covariates of city size, education level, financial development level, and opening degree all have a certain degree of improvement effect on the industrial capacity utilization in Chinese cities, which is consistent with theoretical expectations. The regression coefficient of fiscal deficit in the benchmark regression model is not significant, indicating that it is not a core factor affecting industrial capacity utilization in Chinese cities. Thus, hypothesis 1 holds.

4.2. Robustness Tests

4.2.1. Parallel Trend Test

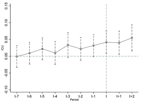
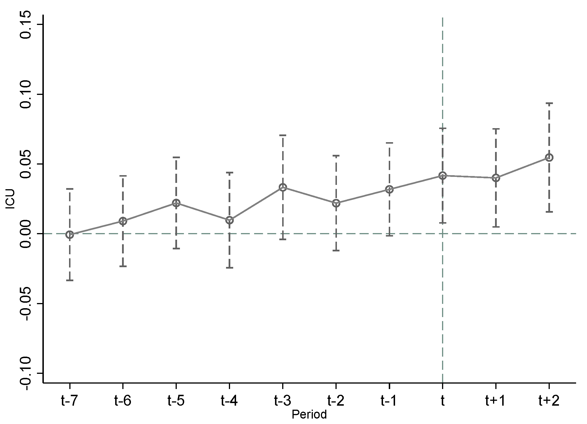
The premise of using the DID method for policy effect assessment is to satisfy the parallel trend assumption condition, i.e., the treatment group should maintain essentially the same evolutionary trend as the control group at the same point in time before being established as a low-carbon city pilot, in order to ensure the unbiased and valid estimation results. Therefore, this study used event analysis for parallel trend validation. The test results are reported in Figure 3, which plots the estimated regression coefficients of the interaction term treat × post for the policy variables for each period at 95% confidence intervals. It should be noted that in the time-varying DID parallel trend test, period t can represent different treatment periods rather than a specific year, such as the first batch of low-carbon city pilot establishment in 2010, the second batch of low-carbon city pilot establishment in 2012, and the third batch of low-carbon city pilot establishment in 2017; period t − n (n = 1,2, …) represents the nth year before the treatment period. The parallel trend test is mainly to test whether the 95% confidence interval of the regression coefficient of the interaction term treat × post for the policy variables in period t − n falls on 0. If yes, it indicates that it passes the parallel trend test, while period t + n (n = 1,2, …) represents the nth year after the treatment period.
It is observed that the coefficients of the interaction term treat × post are not significant before the approval of the establishment of the pilot low carbon city, which indicates that the evolution of the industrial capacity utilization of the treatment group before the approval of the establishment of the low-carbon city pilot and the control group at the same point in time are consistent, i.e., they pass the parallel trend test. The regression coefficients of the interaction term treat × post were already significantly positive in the year of the establishment of the pilot project because the local cities had already made sufficient preparations before applying for the pilot project to become a low-carbon city. The coefficients are significantly positive in all periods after approval as a low-carbon city pilot and show an increasing trend.

4.2.2. Removing the Control Group Sample Selection Bias: PSM-DID Model

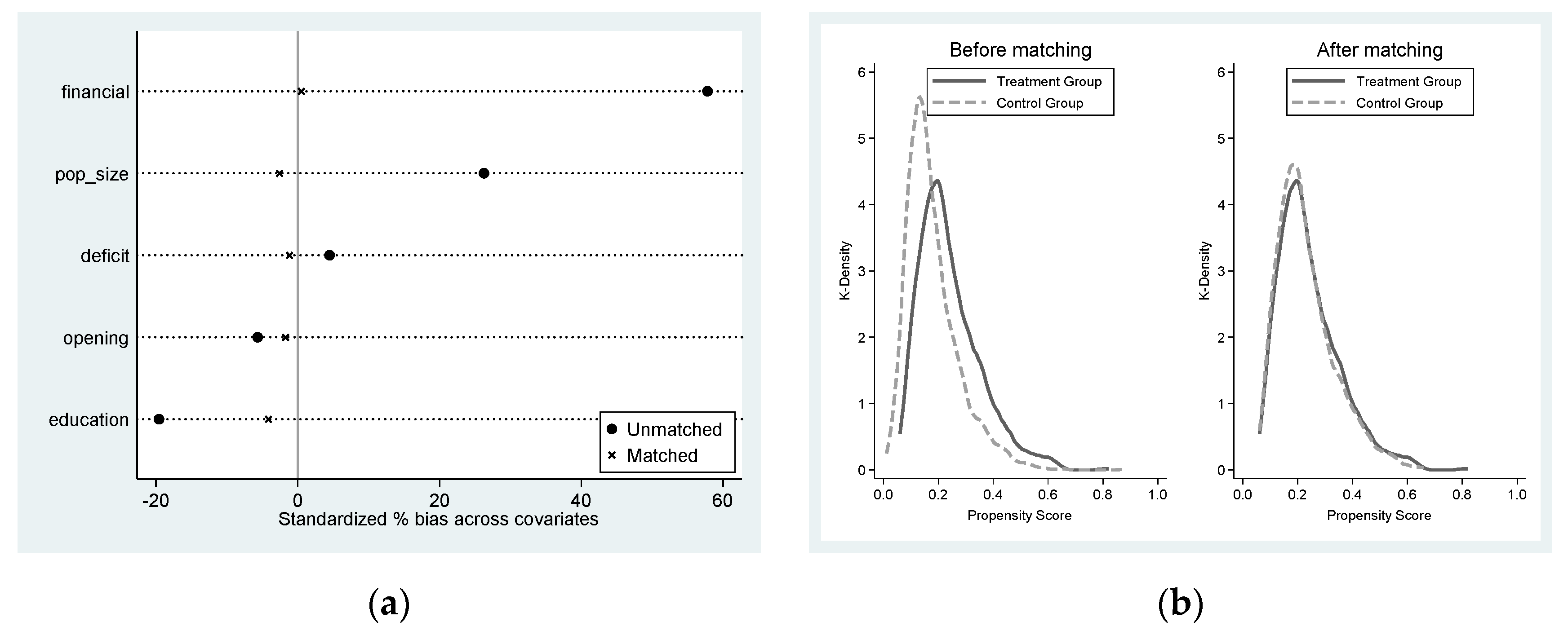
The sample of this study covers 266 cities at the prefectural level and above nationwide, and the characteristics of natural conditions and economic status vary greatly among the samples. Therefore, the control group should be matched to make it as similar as possible to the treatment group in all aspects of characteristics before applying the TV-DID model. To address this issue, this study adopts the PSM-DID model to test whether there is a control group sample selection bias in the benchmark regression that leads to unrobust results.
From the analysis at the time of covariate selection, it can be seen that the main factors affecting industrial capacity utilization are city size, fiscal deficit, education level, financial development level, and opening degree, so in order to make the matching results more scientific and reasonable, all covariates are selected as matching variables in PSM. The K-nearest neighbor matching method was selected to match the treatment group with the control group, and the balancing assumption and kernel density function of propensity score were plotted according to the matching results; the results are shown in Figure 4. After matching, the standardized bias across covariates is close to 0, and the kernel density curve of the propensity score value probability of the control group after matching is closer to that of the treatment group than before matching, which indicates that the matching effect becomes better, indicating that it is feasible and reasonable to use the PSM-DID method for robustness testing. The PSM-DID-based estimation results in columns (1) and (2) of Table 6 show that the low-carbon city pilot policy still significantly improves the industrial capacity utilization by 3.4% and 3.3% without and with covariates, respectively. The PSM-DID estimated results are not significantly different from the benchmark regression results, thus further demonstrating that the improvement of the low-carbon city policy on industrial capacity utilization is very robust.

4.2.3. Removing Other Policy Interference: DDD Model

China’s Ministry of Finance, the former Ministry of Environmental Protection, and the NDRC established a pilot policy on the emissions trading system in 2007, and the NDRC established a policy on carbon emissions trading in 2011, all of which may lead to mixed effects on the effect of low-carbon city policy on industrial capacity utilization in Chinese cities, resulting in “impure” benchmark regression results. To further exclude the possible interference of other policies on the study results during the same period, the difference-in-difference-in-difference (DDD) model is used.
To use the DDD method to exclude some other environmental policies that could not be taken into account in order to obtain the pure impact of low-carbon city pilot policies, in this study, the ratio of real industrial output value to real GDP is divided into two categories using the k-means clustering method, and the grouping dummy variable group is set so that cities with high industrial output value group = 1 and cities with low industrial output value group = 0; cities with a high share of industrial output have an industrial capacity utilization that is more vulnerable to environmental regulations. The DDD model is shown in Equation (7), and the grouping variable groupj and the grouping effect ηj are added to the benchmark model as follows.
ICU i , t = α 0 + α 1 treat i × post t × group j + i = 1 n β i controls i , t + μ i + λ t + η j + ε i , j , t
The estimated results of the DDD model are shown in columns (3) and (4) of Table 6. After excluding other policy disturbances, the low-carbon city policy still significantly improves the industrial capacity utilization, indicating that the results of the benchmark regression are robust. In addition, the triple difference term treat×post×group coefficient is significantly higher compared to the benchmark regression model, which indicates that the low-carbon city policy has a stronger effect on the increase in industrial capacity utilization after excluding the disturbing factors, which complements and supports the results of the benchmark regression.

4.2.4. Removing Random Factor Confounding: Placebo Test

One possible scenario is that the increase in industrial capacity utilization in Chinese cities is caused by unobservable random factors rather than by the low-carbon city policy. In this case, the benchmark regression results are “pseudo-regression”. To rule out these possibilities and to ensure that the findings of this study are reliable, a placebo test was conducted, drawing on Cantoni D (2017) [66].
The “pseudo” policy variable was constructed by randomly selecting 100 cities from a sample of 266 cities as the dummy experimental group and the remaining cities as the control group and randomly selecting one of the three pilot establishment years, 2010, 2012, and 2017, as the pilot establishment year for the dummy experimental group. The t-values of the estimated coefficients of the policy variables are shown in Figure 5, based on the regression of the benchmark model with 500 and 1000 random samples, respectively. The estimated coefficients of the policy variables are concentrated at approximately 0, far from their true values of 3.2%, and most of the scatter points are located above the dashed line parallel to the x-axis at 0.1, indicating that they are not significant at the 10% level. “psuedo” policy variable is not significant in either random sample. Thus, the placebo test results suggest that the effect of the low-carbon city policy improves industrial capacity utilization in Chinese cities is reliable and not caused by other unobservable randomness factors.

4.3. Mechanism Analysis

The benchmark regression results and a series of robustness tests confirm that low-carbon city policy can significantly improve industrial capacity utilization in Chinese cities, so through what intrinsic influence mechanism does this effect work? The theoretical hypothesis that a low-carbon city policy may improve industrial capacity utilization in Chinese cities through three channels, alleviating resource misallocation, promoting industrial structure upgrading, and stimulating technological innovation, has been proposed in the theoretical analysis section, and this study draws on the stepwise regression approach [67] to test it. The mechanism analysis sets the model as follows.
M i , t = γ 0 + γ 1 treat i × post t + i = 1 n δ i controls i , t + μ i + λ t + ν i , t
ICU i , t = φ 0 + φ 1 treat i × post t + φ 2 M i , t + i = 1 n σ i controls i , t + μ i + λ t + ξ i , t
Based on the previous theoretical analysis, this study selects the integrated resource misallocation index (misallocation), the industrial structure upgrading index (upgrade), and the technological innovation index (innovation) as the mediating variables M (mechanism variables) of Equations (8) and (9). The main concern is the interaction term treat × post of the policy variables of Equation (8) and the mediating variable of Equation (9) and coefficient significance of variable M. The other variables are consistent with the benchmark model.
The regression results based on the mechanism of Equations (8) and (9) are shown in Table 7. The regression results of Equation (8) in column (1), (3), and (5) and the coefficients of the policy variable interaction term treat × post are all significant at the 1% level with coefficients of −1.1%, 4.6%, and 0.3%, respectively, indicating that the low-carbon city pilot policy significantly alleviates resource misallocation, promotes industrial structure upgrading, and stimulates technological innovation, in that order. The regression results of Equation (9) in columns (2), (4), and (6) show that the integrated resource misallocation index, industrial structure upgrading index, and technology innovation index are all significant at the 1% level, indicating that alleviating resource misallocation, industrial structure upgrading, and technology innovation have significantly contributed to the improvement in industrial capacity utilization in Chinese cities, respectively. To ensure the robustness of the regression results, the Sobel test and Bootstrap test were further conducted. The results show that the p-values of the Sobel test for the three mediating variables are less than 0.05, and the confidence interval of the indirect effect in the Bootstrap test with the sampling number set to 500 does not contain 0, which further confirms that the mediating effects of the three mechanisms of action are valid and robust. Therefore, the empirical results verify the existence of the three transmission mechanisms, and hypotheses 2, 3, and 4 are valid.

5. Heterogeneity and Spatial Effect

5.1. Heterogeneity Analysis

Is it possible that different types of cities lead to different degrees of impact of low-carbon city policy on industrial capacity utilization in Chinese cities? To explore this question, it is useful to refine the variability, diversity, and patterns of low-carbon city policy effects. Therefore, this study discusses the heterogeneity of policy effects using two methods: panel quantile regression and group regression.

5.1.1. Panel Quantile Regression

Panel quantile regression is often used in many studies to reveal the marginal effects of independent variables on the heterogeneity of the dependent variable. This study explores the marginal effects of low-carbon city policy on cities with different degrees of industrial capacity utilization through a panel quantile model.
The results of the panel quantile regressions are shown in Table 8. The results show that the effect of low-carbon city policy on the industrial capacity utilization has quantile heterogeneity, i.e., the effect of low-carbon city policy on the industrial capacity utilization in the higher quantile is more pronounced. From a dynamic evolutionary perspective, the marginal effect of low-carbon city policy becomes larger as the industrial capacity utilization in Chinese cities improves, indicating that decarbonization and overcapacity resolution are more likely to reach a “win–win” situation.

5.1.2. Grouping Regression

(1) Old industrial bases (OIB) and non-old industrial bases (non-OIB). The National Plan for the Adjustment and Transformation of Old Industrial Bases (2013–2022) issued by China’s National Development and Reform Commission identifies 120 cities or municipal districts of provincial capitals in old industrial bases, which have strong industrial bases and concentrate many heavy industries, such as aerospace, defense and military industries, major equipment, metallurgy, petrochemicals, and others. They are the foundation and lifeblood of China’s industry and an important carrier for promoting independent innovation. However, most of the old industrial bases also have low capacity utilization, high energy consumption, heavy pollution, and high pressure on environmental protection, which are the key and difficult areas for promoting energy conservation, emission reduction, and ecological environmental protection. Given this, old industrial bases have stronger marginal effects and higher demands for industrial structure upgrading and technological innovation, and more room for improvement. Theoretically, the marginal effect of low-carbon city policy on industrial capacity utilization in Chinese city improvement is greater in old industrial bases than in non-old industrial bases. Columns (1) and (2) of Table 9 show the grouping regression results of old industrial bases, and the regression coefficients of low-carbon city policy variables in old industrial bases are significantly higher than those in non-old industrial bases, indicating that the policy effect is stronger in old industrial bases, which verifies the above theoretical hypothesis.
(2) Cities along the “Belt and Road” (B&R) and cities not along the Belt and Road (non-B&R). China’s “One Belt and One Road” refers to the Silk Road Economic Belt and the 21st Century Maritime Silk Road, with 18 provinces, autonomous regions, and municipalities directly under the central government. The “Belt and Road Initiative” advocates taking advantage of the vast inland depth, rich human resources, and good industrial base to promote regional interaction and cooperation and industrial agglomeration development and promote the optimization of resource allocation on a larger scale. The grouping regression results are shown in columns (3) and (4) of Table 9, which show that the coefficients of the interaction term of low-carbon city policy in cities along the Belt and Road are significantly higher than those in cities not along the Belt and Road, and the regression results of the latter are not significant, which verifies the above theoretical hypothesis.
(3) Cities involved in China’s free-trade zone (FTZ) and not involved in China’s free-trade zone (non-FTZ). At present, there are 21 FTAs in China, involving 1 province (Hainan Province), 4 municipalities directly under the central government, and 43 prefecture-level cities. Cities involved in FTZs can make full use of the status of FTZs as international investment centers, taking advantage of preferential policies such as taxation and foreign exchange use within the zones to further attract foreign investment and introduce advanced foreign technology and management experience, therefore facilitating a low-carbon city policy to improve the utilization of industrial capacity through technological innovation channels. The grouping regression results are shown in columns (5) and (6) of Table 9, where the regression coefficients of the low-carbon city policy variables are higher and more significant in the cities involved in China’s free-trade zones, indicating that the policy effects are stronger in the cities involved in China’s free-trade zones, verifying the above theoretical hypothesis.

5.2. Spatial Effect Analysis

In this study, the spatial autocorrelation test was conducted on the industrial capacity utilization in Chinese cities, and the results are shown in Table 10. Moran’s I value is significant and positive at the 5% level at both the annual and global levels, indicating that there is a significant positive correlation between industrial capacity utilization in Chinese cities in space. This indicates the need to introduce spatial effects to analyze the impact of low-carbon city policy on industrial capacity utilization.
In this study, a spatial DID model was selected to study the spatial spillover effect of low-carbon city policy on industrial capacity utilization in Chinese cities, and a spatial autocorrelation model (SAR) was finally selected by the LR test and LM test. The model is shown in Equation (10), where W refers to the spatial weight matrix, and other variables are consistent with the benchmark model.
ICU i , t = α 0 + α 1 W × CU i , t + α 2 treat i × post t + i = 1 n β i controls i , t + μ i + λ t + ε i , t
In this study, considering that the influence brought by the economic development weights cannot be controlled by using only the spatial adjacency weight matrix, the regression results of the spatial autocorrelation model of the adjacency matrix and the economic matrix are also given, where the economic matrix is constructed by the inverse of the absolute value of the difference between the real GDP per capita of the two cities, as shown in Table 11, where the direct effect reflects the influence of the explanatory variables in the region on the explanatory variables in the region and the indirect impact reflects the effects of the explanatory variables in other regions on the explanatory variables in this region [68]. After considering the spatial effect, the coefficient of the interaction term treat × post of the total effect policy variable is still significant and increases compared with the benchmark regression, indicating that the impact of the low-carbon city policy on industrial capacity utilization in Chinese cities has a positive spatial spillover effect.

6. Concluding Remarks

The theoretical analysis and the empirical findings of this study suggest that LCC improves industrial capacity utilization in Chinese cities by about 3.2%, and this finding remains significant after a series of robustness tests. In terms of the impact mechanism, the LCC improves industrial capacity utilization through three channels: alleviating resource misallocation, promoting industrial structure upgrading, and stimulating technological innovation. The heterogeneity analysis reveals that the effect of LCC on industrial capacity utilization is stronger in cities with high quantile of industrial capacity utilization, cities with old industrial bases, cities along the “Belt and Road” route, and cities involved in the free-trade zone. The spatial effect analysis shows that the impact of low-carbon city policy on industrial capacity utilization has a positive spatial spillover effect. The above findings provide the following policy implications for effectively promoting the construction of a low-carbon city and enhancing industrial capacity utilization.
First, the low-carbon city policy can improve the industrial capacity utilization in Chinese cities, which confirms the effectiveness and correctness of the decision of the Chinese central government to promote green transformation and resolve the overcapacity contradiction using environmental regulation. Therefore, the effective implementation of the low-carbon city policy should be continued to promote the green transformation of the whole economy and society and provide a feasible path to resolve the overcapacity contradiction in the context of global decarbonization. At the same time, the policy system related to environmental regulation should be continuously improved, and a multi-dimensional governance pattern combining mandatory environmental control measures, incentive environmental taxes and fees, and public supervision should be built to give full play to the policy effects of different types of environmental regulation on resolving overcapacity contradiction, further promoting high-quality urban development, and realizing the “win–win” situation of decarbonization and resolving capacity contradictions.
Second, three paths should be taken to improve industrial capacity utilization by alleviating resource misallocation, promoting industrial structure, and stimulating technological innovation, helping enterprises to accelerate the elimination of backward production capacity, improving green productivity, and resolving overcapacity contradiction. (1) It should effectively implement the carbon emission target responsibility mechanism to force enterprises to change the traditional sloppy investment mode in their production and operation activities, reasonably adjust and formulate the capacity investment plan to alleviate the resource misallocation problem, and then reduce the overall backward capacity investment in the city. (2) The market competition mechanism and public supervision mechanism should be improved to encourage enterprises to increase the proportion of investment in clean energy and clean technology with a high return rate and in line with the requirements of low-carbon city policy, to promote industrial structure upgrading and to reduce the proportion of invalid capacity investment in the city as a whole. (3) It should continuously improve the policy of talent introduction, create a favorable innovation environment, promote enterprises to introduce high-quality talent with an innovative spirit, set up R&D teams, increase R&D and innovation investment, improve enterprises’ green productivity, accelerate the elimination of backward production capacity, and support the low-carbon development of cities from the technical level.
Third, the targeting and coordination of environmental regulation should be enhanced, and sub-regionally differentiated low-carbon city policy should be implemented, while the spatial effects of low-carbon city policy should be emphasized to promote synergistic regional environmental governance. (1) It should give full play to the leading and demonstration role of cities with a high quartile of capacity utilization in the process of policy implementation and provide valuable empirical evidence for the continuous promotion of low-carbon city policy. (2) Considering that cities with old industrial bases, cities along the “Belt and Road” route, and cities involved in free-trade zones have stronger policy effects, we should make use of differentiated policy formulation based on the three paths to alleviate the differences between different regions in low-carbon city policy and promote the coordination of policy effects in different regions. (3) It should strengthen regional environmental governance cooperation, continuously improve the regional environmental collaborative governance mechanism, build a regional environmental governance pattern, give full play to the spatial effect of low-carbon city policy, and take the policy implementation cities as the core to radiate the green low-carbon transformation and industrial capacity utilization improvement in neighboring cities.
Accordingly, there are some recommendations for future studies. First, future studies may be limited to one city to conduct a case study to explore more in-depth theoretical mechanisms underlying the role of LCC on industrial capacity utilization improvement; in addition, we can also limit the samples of cities to a specific region, such as the “China Yangtze River Economic Zone”, “China Hong Kong–Zhuhai–Macao Bay Area”, or other regions mentioned in the heterogeneity analysis section of this study, so as to make the future study more focused. Second, researchers may conduct multi-dimensional exploration, such as studying the effect of LCC on industrial capacity utilization at the national industry level or micro-enterprise level. Third, exploring the impact of other types of low-carbon policies on industrial capacity utilization, such as the emission trading scheme (ETS), would be valuable to improve the research on resolving overcapacity in the context of global decarbonization.

Author Contributions

Conceptualization, Z.H. and L.W.; methodology, Z.H.; software, Z.H.; validation, Z.H., L.W. and Z.M.; formal analysis, Z.H.; investigation, Z.H.; resources, L.W.; data curation, Z.H.; writing—original draft preparation, Z.H. and Z.M.; writing—review and editing, Z.H. L.W., F.Z. and Z.M.; visualization, Z.H.; supervision, L.W.; project administration, L.W.; funding acquisition, L.W. All authors have read and agreed to the published version of the manuscript.

Funding

This research was funded by the key project of the National Social Science Foundation of China, grant number: 09&ZD026, under the name of “Research on Measures to Suppress Overcapacity and Control Duplication Construction”, which comes from the National Office of philosophy and Social Sciences.

Institutional Review Board Statement

Not applicable.

Informed Consent Statement

Not applicable.

Data Availability Statement

Not applicable.

Conflicts of Interest

The authors declare no conflict of interest.

References

  1. Soytas, U.; Sari, R. Energy consumption, economic growth, and carbon emissions: Challenges faced by an EU candidate member. Ecol. Econ. 2009, 68, 1667–1675. [Google Scholar] [CrossRef]
  2. Wang, Q.; Wang, S. Decoupling economic growth from carbon emissions growth in the United States: The role of research and development. J. Clean. Prod. 2019, 234, 702–713. [Google Scholar] [CrossRef]
  3. Jaffe, A.B.; Peterson, S.R.; Portney, P.R.; Stavins, R.N. Environmental Regulation and the Competitiveness of U.S. Manufacturing: What Does the Evidence Tell Us? J. Econ. Lit. 1995, 33, 132–163. [Google Scholar]
  4. Wu, H.; Hao, Y.; Ren, S. How do environmental regulation and environmental decentralization affect green total factor energy efficiency: Evidence from China. Energy Econ. 2020, 91, 104880. [Google Scholar] [CrossRef]
  5. Wu, Z.; Tang, J.; Wang, D. Low Carbon Urban Transitioning in Shenzhen: A Multi-Level Environmental Governance Perspective. Sustainability 2016, 8, 720. [Google Scholar] [CrossRef]
  6. Huo, W.; Qi, J.; Yang, T.; Liu, J.; Liu, M.; Zhou, Z. Effects of China’s pilot low-carbon city policy on carbon emission reduction: A quasi-natural experiment based on satellite data. Technol. Forecast. Soc. Change 2022, 175, 121422. [Google Scholar] [CrossRef]
  7. Yao, Y.; Shen, X. Environmental protection and economic efficiency of low-carbon pilot cities in China. Environ. Dev. Sustain. 2021, 23, 18143–18166. [Google Scholar] [CrossRef]
  8. Liu, T.L.; Song, Q.J.; Lu, J.; Qi, Y. An integrated approach to evaluating the coupling coordination degree between low-carbon development and air quality in Chinese cities. Adv. Clim. Change Res. 2021, 12, 710–722. [Google Scholar] [CrossRef]
  9. Zheng, J.; Shao, X.; Liu, W.; Kong, J.; Zuo, G. The impact of the pilot program on industrial structure upgrading in low-carbon cities. J. Clean. Prod. 2021, 290, 125868. [Google Scholar] [CrossRef]
  10. Zhang, H.; Huang, L.; Zhu, Y.; Si, H.; He, X. Does Low-Carbon City Construction Improve Total Factor Productivity? Evidence from a Quasi-Natural Experiment in China. Int. J. Environ. Res. Public. Health 2021, 18, 11974. [Google Scholar] [CrossRef]
  11. Song, M.; Zhao, X.; Shang, Y. The impact of low-carbon city construction on ecological efficiency: Empirical evidence from quasi-natural experiments. Resour. Conserv. Recycl. 2020, 157, 104777. [Google Scholar] [CrossRef]
  12. Qiu, S.; Wang, Z.; Liu, S. The policy outcomes of low-carbon city construction on urban green development: Evidence from a quasi-natural experiment conducted in China. Sustain. Cities Soc. 2021, 66, 102699. [Google Scholar] [CrossRef]
  13. Chen, H.; Guo, W.; Feng, X.; Wei, W.; Liu, H.; Feng, Y.; Gong, W. The impact of low-carbon city pilot policy on the total factor productivity of listed enterprises in China. Resour. Conserv. Recycl. 2021, 169, 105457. [Google Scholar] [CrossRef]
  14. Ma, J.; Hu, Q.; Shen, W.; Wei, X. Does the Low-Carbon City Pilot Policy Promote Green Technology Innovation? Based on Green Patent Data of Chinese A-Share Listed Companies. Int. J. Environ. Res. Public. Health 2021, 18, 3695. [Google Scholar] [CrossRef]
  15. Smets, F.; Wouters, R. Shocks and Frictions in US Business Cycles: A Bayesian DSGE Approach. Am. Econ. Rev. 2007, 97, 586–606. [Google Scholar] [CrossRef]
  16. Schmitt-Grohé, S.; Uribe, M. What’s news in business cycles. Econometrica 2012, 80, 2733–2764. [Google Scholar] [CrossRef]
  17. Parker, J.A. On Measuring the Effects of Fiscal Policy in Recessions. J. Econ. Lit. 2011, 49, 703–718. [Google Scholar] [CrossRef]
  18. Cassels, J.M. Excess Capacity and Monopolistic Competition. Q. J. Econ. 1937, 51, 426. [Google Scholar] [CrossRef]
  19. Klein, L.R. Some Theoretical Issues in the Measurement of Capacity. Econometrica 1960, 28, 272. [Google Scholar] [CrossRef]
  20. Berndt, E.R.; Morrison, C.J. Capacity Utilization Measures: Underlying Economic Theory and an Alternative Approach. Am. Econ. Rev. 1981, 71, 48–52. [Google Scholar]
  21. Aigner, D.; Lovell, C.A.K.; Schmidt, P. Formulation and estimation of stochastic frontier production function models. J. Econom. 1977, 6, 21–37. [Google Scholar] [CrossRef]
  22. Meeusen, W.; van Den Broeck, J. Efficiency Estimation from Cobb-Douglas Production Functions with Composed Error. Int. Econ. Rev. 1977, 18, 435. [Google Scholar] [CrossRef]
  23. Shaikh, A.M.; Moudud, J.K. Measuring Capacity Utilization in OECD Countries: A Cointegration Method; Working Paper; The Levy Economics Institute of Bard College: Annandale-on-Hudson, NY, USA, 2004. [Google Scholar]
  24. Fare, R.; Grosskopf, S.; Kokkelenberg, E.C. Measuring Plant Capacity, Utilization and Technical Change: A Nonparametric Approach. Int. Econ. Rev. 1989, 30, 655. [Google Scholar] [CrossRef]
  25. Dong, M.; Liang, Y.; Zhang, Q. Industrial capacity utilization of China: Industry comparisons, regional gap and affecting factors. Econ. Res. J. 2015, 50, 84–98. [Google Scholar]
  26. Kirkley, J.; Morrison Paul, C.J.; Squires, D. Capacity and Capacity Utilization in Common-pool Resource Industries. Environ. Resour. Econ. 2002, 22, 71–97. [Google Scholar] [CrossRef]
  27. Raymond, W. A Perpetual Inventory of National Wealth NBER Studies in Income and Wealth. Natl. Bur. Econ. Res. 1951, 14, 5–61. [Google Scholar]
  28. Lin, B.; Zhu, J. Fiscal spending and green economic growth: Evidence from China. Energy Econ. 2019, 83, 264–271. [Google Scholar] [CrossRef]
  29. Cheng, Y.; Shao, T.; Lai, H.; Shen, M.; Li, Y. Total-Factor Eco-Efficiency and Its Influencing Factors in the Yangtze River Delta Urban Agglomeration, China. Int. J. Environ. Res. Public. Health 2019, 16, 3814. [Google Scholar] [CrossRef]
  30. Crafts, N. Regulation and Productivity Performance. Oxf. Rev. Econ. Policy 2006, 22, 186–202. [Google Scholar] [CrossRef]
  31. Du, W.; Wang, F.; Li, M. Effects of environmental regulation on capacity utilization: Evidence from energy enterprises in China. Ecol. Indic. 2020, 113, 106217. [Google Scholar] [CrossRef]
  32. Yu, B.; Shen, C. Environmental regulation and industrial capacity utilization: An empirical study of China. J. Clean. Prod. 2020, 246, 118986. [Google Scholar] [CrossRef]
  33. Cole, D.H.; Grossman, P.Z. When is command-and-control efficient? Institutions, technology, and the comparative efficiency of alternative regulatory regimes for environmental protection. In The Theory and Practice of Command and Control in Environmental Policy; Routledge: London, UK, 2018; ISBN 1-315-19729-4. [Google Scholar]
  34. Tang, H.; Liu, J.; Wu, J. The impact of command-and-control environmental regulation on enterprise total factor productivity: A quasi-natural experiment based on China’s “Two Control Zone” policy. J. Clean. Prod. 2020, 254, 120011. [Google Scholar] [CrossRef]
  35. Yu, X.; Wang, P. Economic effects analysis of environmental regulation policy in the process of industrial structure upgrading: Evidence from Chinese provincial panel data. Sci. Total Environ. 2021, 753, 142004. [Google Scholar] [CrossRef] [PubMed]
  36. Song, M.; Wang, S.; Zhang, H. Could environmental regulation and R&D tax incentives affect green product innovation? J. Clean. Prod. 2020, 258, 120849. [Google Scholar] [CrossRef]
  37. Martens1, S. Public participation with Chinese characteristics: Citizen consumers in China’s environmental management. Environ. Polit. 2006, 15, 211–230. [Google Scholar] [CrossRef]
  38. Goulden, M.; Spence, A.; Wardman, J.; Leygue, C. Differentiating ‘the user’ in DSR: Developing demand side response in advanced economies. Energy Policy 2018, 122, 176–185. [Google Scholar] [CrossRef]
  39. André, F.J.; Cardenete, M.A.; Velázquez, E. Performing an environmental tax reform in a regional economy. A computable general equilibrium approach. Ann. Reg. Sci. 2005, 39, 375–392. [Google Scholar] [CrossRef]
  40. Shao, S.; Hu, Z.; Cao, J.; Yang, L.; Guan, D. Environmental Regulation and Enterprise Innovation: A Review. Bus. Strategy Environ. 2020, 29, 1465–1478. [Google Scholar] [CrossRef]
  41. Porter, M.E.; van der Linde, C. Toward a New Conception of the Environment-Competitiveness Relationship. J. Econ. Perspect. 1995, 9, 97–118. [Google Scholar] [CrossRef]
  42. Angrist, J.D.; Pischke, J.S. Mostly Harmless Econometrics: An Empiricist’s Companion; Princeton University Press: Princeton, NJ, USA, 2009; ISBN 0-691-12035-8. [Google Scholar]
  43. Butsic, V.; Lewis, D.J.; Radeloff, V.C.; Baumann, M.; Kuemmerle, T. Quasi-experimental methods enable stronger inferences from observational data in ecology. Basic Appl. Ecol. 2017, 19, 1–10. [Google Scholar] [CrossRef]
  44. Packalen, M.; Bhattacharya, J. Cities and Ideas; National Bureau of Economic Research: Cambridge, MA, USA, 2015. [Google Scholar] [CrossRef]
  45. Yan, S.; Peng, J.; Wu, Q. Exploring the non-linear effects of city size on urban industrial land use efficiency: A spatial econometric analysis of cities in eastern China. Land Use Policy 2020, 99, 104944. [Google Scholar] [CrossRef]
  46. Xu, H.; Jiao, M. City size, industrial structure and urbanization quality—A case study of the Yangtze River Delta urban agglomeration in China. Land Use Policy 2021, 111, 105735. [Google Scholar] [CrossRef]
  47. Levinson, D. Network Structure and City Size. PLoS ONE 2012, 7, e29721. [Google Scholar] [CrossRef]
  48. Tavares, A.F.; Carr, J.B. So Close, Yet so Far Away? the Effects of City Size, Density and Growth on Local Civic Participation. J. Urban Aff. 2013, 35, 283–302. [Google Scholar] [CrossRef]
  49. Godin, A.; Kinsella, S. Leverage, Liquidity and Crisis: A Simulation Study. 2011. [Google Scholar] [CrossRef]
  50. Hartman, H.C. Deficit-related explanations for the US interest rate conundrum. Appl. Econ. Lett. 2007, 14, 261–265. [Google Scholar] [CrossRef]
  51. Liu, G.; Zhang, X.; Zhang, W.; Wang, D. The impact of government subsidies on the capacity utilization of zombie firms. Econ. Model. 2019, 83, 51–64. [Google Scholar] [CrossRef]
  52. Yeo, B.; Grant, D. Exploring the effects of ICTs, workforce, and gender on capacity utilization. Inf. Technol. Dev. 2019, 25, 122–150. [Google Scholar] [CrossRef]
  53. Zhang, J.; Cai, W.; Philbin, S.P.; Li, H.; Lu, Q.-C.; Ballesteros-Pérez, P.; Yang, G. Measuring the capacity utilization of China’s transportation industry under environmental constraints. Transp. Res. Part Transp. Environ. 2020, 85, 102450. [Google Scholar] [CrossRef]
  54. Xu, L.; Tan, J. Financial development, industrial structure and natural resource utilization efficiency in China. Resour. Policy 2020, 66, 101642. [Google Scholar] [CrossRef]
  55. Yang, L.; Ni, M. Is financial development beneficial to improve the efficiency of green development? Evidence from the “Belt and Road” countries. Energy Econ. 2022, 105, 105734. [Google Scholar] [CrossRef]
  56. Ma, H.; Mei, X.; Tian, Y. The impacts and potential mechanisms of credit support with regard to overcapacity: Based on theoretical and empirical analyses of steel enterprises. Resour. Policy 2020, 68, 101704. [Google Scholar] [CrossRef]
  57. Damijan, J.P.; Kostevc, Č. Learning-by-Exporting: Continuous Productivity Improvements or Capacity Utilization Effects? Evidence from Slovenian Firms. Rev. World Econ. 2006, 142, 599–614. [Google Scholar] [CrossRef]
  58. Sun, H.; Liu, Z.; Chen, Y. Foreign direct investment and manufacturing pollution emissions: A perspective from heterogeneous environmental regulation. Sustain. Dev. 2020, 28, 1376–1387. [Google Scholar] [CrossRef]
  59. Wang, H.; Li, B. Environmental regulations, capacity utilization, and high-quality development of manufacturing: An analysis based on Chinese provincial panel data. Sci. Rep. 2021, 11, 19566. [Google Scholar] [CrossRef]
  60. Hsieh, C.-T.; Klenow, P.J. Misallocation and Manufacturing TFP in China and India*. Q. J. Econ. 2009, 124, 1403–1448. [Google Scholar] [CrossRef]
  61. Chen, Y.; Hu, W. Distortions, misallocation and losses: Theory and application. China Econ. Q. 2011, 10, 1401–1422. [Google Scholar] [CrossRef]
  62. Zhang, Y.J.; Liu, Z.; Zhang, H.; Tan, T.D. The impact of economic growth, industrial structure and urbanization on carbon emission intensity in China. Nat. Hazards 2014, 73, 579–595. [Google Scholar] [CrossRef]
  63. Li, K.; Lin, B. Economic growth model, structural transformation, and green productivity in China. Appl. Energy 2017, 187, 489–500. [Google Scholar] [CrossRef]
  64. Qi, Y.; Peng, W.; Xiong, N.N. The Effects of Fiscal and Tax Incentives on Regional Innovation Capability: Text Extraction Based on Python. Mathematics 2020, 8, 1193. [Google Scholar] [CrossRef]
  65. Kemp, R.; Pontoglio, S. The innovation effects of environmental policy instruments — A typical case of the blind men and the elephant? Ecol. Econ. 2011, 72, 28–36. [Google Scholar] [CrossRef]
  66. Cantoni, D.; Chen, Y.; Yang, D.Y.; Yuchtman, N.; Zhang, Y.J. Curriculum and Ideology. J. Polit. Econ. 2017, 125, 338–392. [Google Scholar] [CrossRef]
  67. Zhao, X.; Lynch, J.G.; Chen, Q. Reconsidering Baron and Kenny: Myths and Truths about Mediation Analysis. J. Consum. Res. 2010, 37, 197–206. [Google Scholar] [CrossRef]
  68. LeSage, J.; Pace, R.K. Introduction to Spatial Econometrics; Chapman and Hall/CRC: New York, NY, USA, 2009; ISBN 0-429-13808-3. [Google Scholar]
Figure 1. The phase division of the annual mean of industrial capacity utilization in Chinese cities and its growth rate.
Figure 1. The phase division of the annual mean of industrial capacity utilization in Chinese cities and its growth rate.
Sustainability 14 10941 g001
Figure 2. Mechanism for LCC to improve industrial capacity utilization.
Figure 2. Mechanism for LCC to improve industrial capacity utilization.
Sustainability 14 10941 g002
Figure 3. Parallel trend test.
Figure 3. Parallel trend test.
Sustainability 14 10941 g003
Figure 4. (a) Balancing assumption; (b) comparison of kernel density before and after propensity score matching.
Figure 4. (a) Balancing assumption; (b) comparison of kernel density before and after propensity score matching.
Sustainability 14 10941 g004
Figure 5. Placebo test results.
Figure 5. Placebo test results.
Sustainability 14 10941 g005
Table 1. Description of the variables used to measure the industrial capacity utilization by DEA method.
Table 1. Description of the variables used to measure the industrial capacity utilization by DEA method.
Variable Type.VariablesSymbolMeasurement
Output IndicatorsReal industrial outputyThe total industrial output value above the scale and deflated by the industrial producer ex-factory price index in the province where it is located, using 2003 as a benchmark
Input IndicatorsIndustrial Capital InputsKFixed capital stock, which is measured using the perpetual inventory method and is deflated by the fixed asset investment price index of the province in which it is located using 2003 as a benchmark
Industrial labor inputLThe number of employees in the secondary industry minus the number of employees in the construction industry gives
Industrial Energy InputsEUse of industrial electricity consumption as a proxy variable
Table 2. Cointegration analysis results.
Table 2. Cointegration analysis results.
Test MethodStatistic TypeStatistic Valuep-Value
Kao testModified Dickey–Fuller t3.1880.001
Pedroni testModified Phillips–Perron t5.0210.000
Westerlund testVariance ratio3.1250.001
Note: The data are collected from the China Statistical Yearbook and the official website of the National Bureau of Statistics.
Table 3. Calculation results of the unbiased industrial capacity utilization ICUunbiased in Chinese cities.
Table 3. Calculation results of the unbiased industrial capacity utilization ICUunbiased in Chinese cities.
YearNp25p50p75MeanSD
200345220.6200.7680.9550.7510.217
200445220.5990.7350.8640.7150.199
200545220.6000.7160.9200.7260.208
200645220.6010.7510.9750.7450.221
200745220.6000.7920.9520.7550.216
200845220.5500.7500.9390.7250.224
200945220.6130.7200.8490.7170.182
201045220.4880.6500.7880.6380.207
201145220.5490.7020.8370.6860.191
201245220.5490.6900.8130.6660.188
201345220.4670.6120.7360.5960.180
201445220.2380.4220.5990.4350.233
201545220.4270.5810.7320.5790.196
201645220.4010.5070.6530.5260.175
201745220.3600.4720.6310.4970.179
201845220.3390.4680.5940.4740.180
201945220.3520.4850.6040.4830.184
Overall45220.4680.6360.7980.6300.226
Note: “Overall” is the value of industrial capacity utilization of all cities in all years.
Table 4. Descriptive statistics.
Table 4. Descriptive statistics.
Variable TypeVariablesSymbolObsMinMaxMeanS.E.
Dependent
variable
Industrial capacity utilizationIUC45220.1061.0000.6300.226
Independent
variable
Low-carbon city policy variabletreat×post45220.0001.0000.1960.397
CovariatesCity sizepop_size4522−7.662−1.288−3.4090.227
Fiscal deficitdeficit4522−9.5440.584−2.7760.872
Education leveleducation4522−4.032−0.705−1.7251.049
Financial development levelfinancial4522−0.8973.0750.6420.258
Opening degreeopening4522−12.830−0.781−4.1540.363
MediatorsIntegrated resource misallocation indexmisallocation45220.0000.9990.9181.448
Industrial structure upgrading indexupgrade45220.0955.1540.8950.092
Technological innovation indexinnovation45220.0000.2070.0130.471
Note: The data are collected from the China Statistical Yearbook, China Regional Economic Statistical Yearbook, and China City Statistical Yearbook in previous years.
Table 5. Benchmark regression results and other measurement methods regression results.
Table 5. Benchmark regression results and other measurement methods regression results.
Variable(1)(2)(3)(4)
ICUICUICUICU
BCC/SBM(VRS)BCC/SBM(VRS)Super-SBM(VRS)Super-SBM(VRS)
treat × post0.033 ***0.032 ***0.037 ***0.033 ***
(0.007)(0.007)(0.007)(0.007)
pop_size 0.291 *** 0.382 ***
(0.038) (0.044)
deficit 0.001 0.003
(0.006) (0.007)
education 0.059 *** 0.078 ***
(0.014) (0.015)
financial 0.045 *** 0.038 **
(0.014) (0.015)
opening 0.005 * 0.004
(0.002) (0.003)
_cons0.623 ***1.705 ***0.614 ***2.049 ***
(0.002)(0.136)(0.002)(0.162)
CovariantNoYesNoYes
Year-FEYesYesYesYes
City-FEYesYesYesYes
N4522452245224522
R-squared0.7570.7630.7400.750
Note: Robust standard errors at the city level are in parentheses; ***, **, and * indicate significance at the 1%, 5%, and 10% levels, respectively.
Table 6. Regression results of PSM-DID model and DDD model.
Table 6. Regression results of PSM-DID model and DDD model.
Variable(1)(2)(3)(4)
ICUICUICUICU
PSM-DIDPSM-DIDDDDDDD
treat × post0.034 ***0.033 ***
(0.007)(0.007)
treat × post × group 0.118 ***0.105 ***
(0.010)(0.010)
pop_size 0.309 *** 0.253 ***
(0.039) (0.040)
deficit 0.002 −0.002
(0.006) (0.005)
education 0.061 *** 0.047 ***
(0.015) (0.014)
financial 0.042 *** 0.047 ***
(0.015) (0.014)
opening 0.003 0.004 *
(0.002) (0.002)
_cons0.624 ***1.755 ***0.623 ***1.547 ***
(0.002)(0.137)(0.002)(0.139)
CovariantNoYesNoYes
Year-FEYesYesYesYes
City-FEYesYesYesYes
Group-FENoNoYesYes
N4461446145224522
R-squared0.7570.7640.7610.766
Note: Robust standard errors at the city level are in parentheses; *** and * indicate significance at the 1% and 10% levels, respectively.
Table 7. Regression results of mechanism analysis.
Table 7. Regression results of mechanism analysis.
VariableAlleviating Resource
Misallocation
Industrial Structure
Upgrading
Technology
Innovation
(1)(2)(3)(4)(5)(6)
MisallocationICUUpgradeICUInnovationICU
treat × post−0.011 ***0.026 ***0.046 ***0.031 ***0.003 ***0.028 ***
(0.001)(0.007)(0.012)(0.007)(0.001)(0.007)
misallocation −0.558 ***
(0.069)
upgrade 0.026 ***
(0.009)
innovation 1.312 ***
(0.331)
pop_size−0.075 ***0.249 ***0.151 *0.287 ***0.018 ***0.267 ***
(0.016)(0.038)(0.087)(0.039)(0.006)(0.040)
deficit0.0010.001−0.0100.000−0.0010.002
(0.002)(0.006)(0.009)(0.006)(0.001)(0.006)
education−0.021 ***0.047 ***0.140 ***0.055 ***0.006 *0.051 ***
(0.004)(0.014)(0.025)(0.015)(0.003)(0.016)
financial−0.0040.043 ***0.389 ***0.035 **−0.005 ***0.051 ***
(0.004)(0.014)(0.035)(0.015)(0.001)(0.014)
opening−0.0000.004 *−0.0050.005 *0.000 *0.004 *
(0.000)(0.002)(0.006)(0.002)(0.000)(0.002)
_cons0.635 ***2.060 ***1.342 ***1.671 ***0.086 ***1.592 ***
(0.054)(0.137)(0.315)(0.138)(0.021)(0.144)
CovariantYesYesYesYesYesYes
Year−FEYesYesYesYesYesYes
City−FEYesYesYesYesYesYes
N452245224522452245224522
R−squared0.9330.7660.8220.7630.6700.765
Note: Robust standard errors at the city level are in parentheses; ***, **, and * indicate significance at the 1%, 5%, and 10% levels, respectively.
Table 8. Panel quantile regression results.
Table 8. Panel quantile regression results.
Variable(1)(2)(3)(4)(5)
P10P25P50P75P90
ICUICUICUICUICU
treat × post0.0230.026 **0.032 ***0.038 **0.041 *
(0.017)(0.013)(0.011)(0.017)(0.022)
pop_size0.379 ***0.345 ***0.289 ***0.236 ***0.204 *
(0.093)(0.069)(0.059)(0.091)(0.119)
deficit0.0020.0010.000−0.001−0.002
(0.013)(0.010)(0.009)(0.013)(0.017)
education0.0480.052 **0.059 ***0.066 *0.070
(0.034)(0.026)(0.022)(0.034)(0.044)
financial0.0550.051 *0.045 **0.0390.036
(0.035)(0.026)(0.023)(0.035)(0.045)
opening0.0030.0030.0050.0060.006
(0.006)(0.005)(0.004)(0.006)(0.008)
CovariantYesYesYesYesYes
Year-FEYesYesYesYesYes
City-FEYesYesYesYesYes
N45224522452245224522
Note: Robust standard errors at the city level are in parentheses; ***, **, and * indicate significance at the 1%, 5%, and 10% levels, respectively.
Table 9. Grouping regression results.
Table 9. Grouping regression results.
Variable(1)(2)(3)(4)(5)(6)
OIBNon-OIBB&RNon-B&RFTZNon-FTZ
ICUICUICUICUICUICU
treat×post0.051 ***0.026 ***0.067 ***0.0100.066 ***0.016 **
(0.009)(0.009)(0.010)(0.009)(0.013)(0.008)
pop_size0.457 ***0.104 **0.312 ***0.231 ***0.101 **0.326 ***
(0.058)(0.048)(0.049)(0.063)(0.045)(0.055)
deficit0.0020.005−0.0050.0090.003−0.002
(0.008)(0.008)(0.008)(0.007)(0.007)(0.008)
education0.092 ***0.085 ***0.054 **0.032 **0.0410.052 ***
(0.018)(0.020)(0.025)(0.016)(0.032)(0.016)
financial−0.0130.059 ***0.041 **0.033 *−0.0040.067 ***
(0.019)(0.021)(0.020)(0.019)(0.038)(0.017)
opening0.0020.010 ***0.0040.0030.016 *0.002
(0.003)(0.004)(0.003)(0.004)(0.010)(0.002)
_cons2.427 ***1.090 ***1.868 ***1.414 ***1.060 ***1.817 ***
(0.208)(0.168)(0.192)(0.198)(0.156)(0.200)
CovariantYesYesYesYesYesYes
Year−FEYesYesYesYesYesYes
City−FEYesYesYesYesYesYes
N18842581202424417563709
R-squared0.7850.7370.7590.7770.8130.764
Note: Robust standard errors at the city level are in parentheses; ***, **, and * indicate significance at the 1%, 5%, and 10% levels, respectively.
Table 10. Local Moran’s I index and global Moran’s I index.
Table 10. Local Moran’s I index and global Moran’s I index.
YearLocal Moran’s IE.V.S.E.Z-Statisticp-Value
20030.198−0.0040.0424.7620.000
20040.195−0.0040.0424.7060.000
20050.173−0.0040.0424.1800.000
20060.203−0.0040.0424.8870.000
20070.153−0.0040.0423.7020.000
20080.148−0.0040.0423.5820.000
20090.087−0.0040.0422.1330.033
20100.123−0.0040.0422.9970.003
20110.175−0.0040.0424.2240.000
20120.203−0.0040.0424.8870.000
20130.302−0.0040.0427.2320.000
20140.340−0.0040.0428.1230.000
20150.204−0.0040.0424.9130.000
20160.252−0.0040.0426.0540.000
20170.256−0.0040.0426.1310.000
20180.256−0.0040.0426.1500.000
20190.275−0.0040.0426.5950.000
Global Moran’s I0.358−0.0000.01036.8780.000
Note: The table shows the Local Moran’s I index and its statistical characteristics from 2003 to 2019 and the Global Moran’s I index and its statistical characteristics.
Table 11. Spatial DID model regression results.
Table 11. Spatial DID model regression results.
Effect TypeVariable(1)(2)(3)(4)
ICUICUICUICU
Adjacency MatrixAdjacency MatrixEconomic MatrixEconomic Matrix
Direct effecttreat × post0.025 **0.025 **0.030 **0.029 **
pop_size 0.250 *** 0.289 ***
deficit 0.001 0.001
education 0.039 0.056 **
financial 0.029 0.039
opening 0.005 * 0.005 *
Indirect effecttreat × post0.012 *0.011 *0.009 *0.009 *
pop_size 0.113 0.090 **
deficit 0.001 0.001
education 0.018 * 0.017 *
financial 0.013 0.012
opening 0.002 * 0.001
Total effecttreat × post0.037 **0.036 **0.039 **0.038 **
pop_size 0.362 *** 0.379 ***
deficit 0.002 0.002
education 0.056 * 0.074 **
financial 0.043 0.052
opening 0.008 * 0.007 *
CovariantNoYesNoYes
Year-FEYesYesYesYes
City-FEYesYesYesYes
N4461446145224522
Note: ***, **, and * indicate significance at the 1%, 5%, and 10% levels, respectively.
Publisher’s Note: MDPI stays neutral with regard to jurisdictional claims in published maps and institutional affiliations.

Share and Cite

MDPI and ACS Style

Han, Z.; Wang, L.; Zhao, F.; Mao, Z. Does Low-Carbon City Policy Improve Industrial Capacity Utilization? Evidence from a Quasi-Natural Experiment in China. Sustainability 2022, 14, 10941. https://doi.org/10.3390/su141710941

AMA Style

Han Z, Wang L, Zhao F, Mao Z. Does Low-Carbon City Policy Improve Industrial Capacity Utilization? Evidence from a Quasi-Natural Experiment in China. Sustainability. 2022; 14(17):10941. https://doi.org/10.3390/su141710941

Chicago/Turabian Style

Han, Zhipeng, Liguo Wang, Feifei Zhao, and Zijun Mao. 2022. "Does Low-Carbon City Policy Improve Industrial Capacity Utilization? Evidence from a Quasi-Natural Experiment in China" Sustainability 14, no. 17: 10941. https://doi.org/10.3390/su141710941

APA Style

Han, Z., Wang, L., Zhao, F., & Mao, Z. (2022). Does Low-Carbon City Policy Improve Industrial Capacity Utilization? Evidence from a Quasi-Natural Experiment in China. Sustainability, 14(17), 10941. https://doi.org/10.3390/su141710941

Note that from the first issue of 2016, this journal uses article numbers instead of page numbers. See further details here.

Article Metrics

Back to TopTop