A Novel Safety Assessment Framework for Pavement Friction Evolution Due to Traffic on Horizontal Curves
Abstract
:1. Introduction
2. Methodology
2.1. Single-Vehicle Risk Assessment Model
2.1.1. Evolution of Friction Supply
2.1.2. Skidding Limit State Function
2.2. Reliability Theory
2.3. Multi-Vehicle Risk Index
3. Numerical Study
3.1. Basic Model Parameters
3.1.1. Speed
3.1.2. Mean Profile Depth (MPD)
3.1.3. Vehicle Parameters
3.2. Parametric Study Results
3.2.1. Influence of Traffic Characteristics on Friction Coefficient
3.2.2. Model Comparison
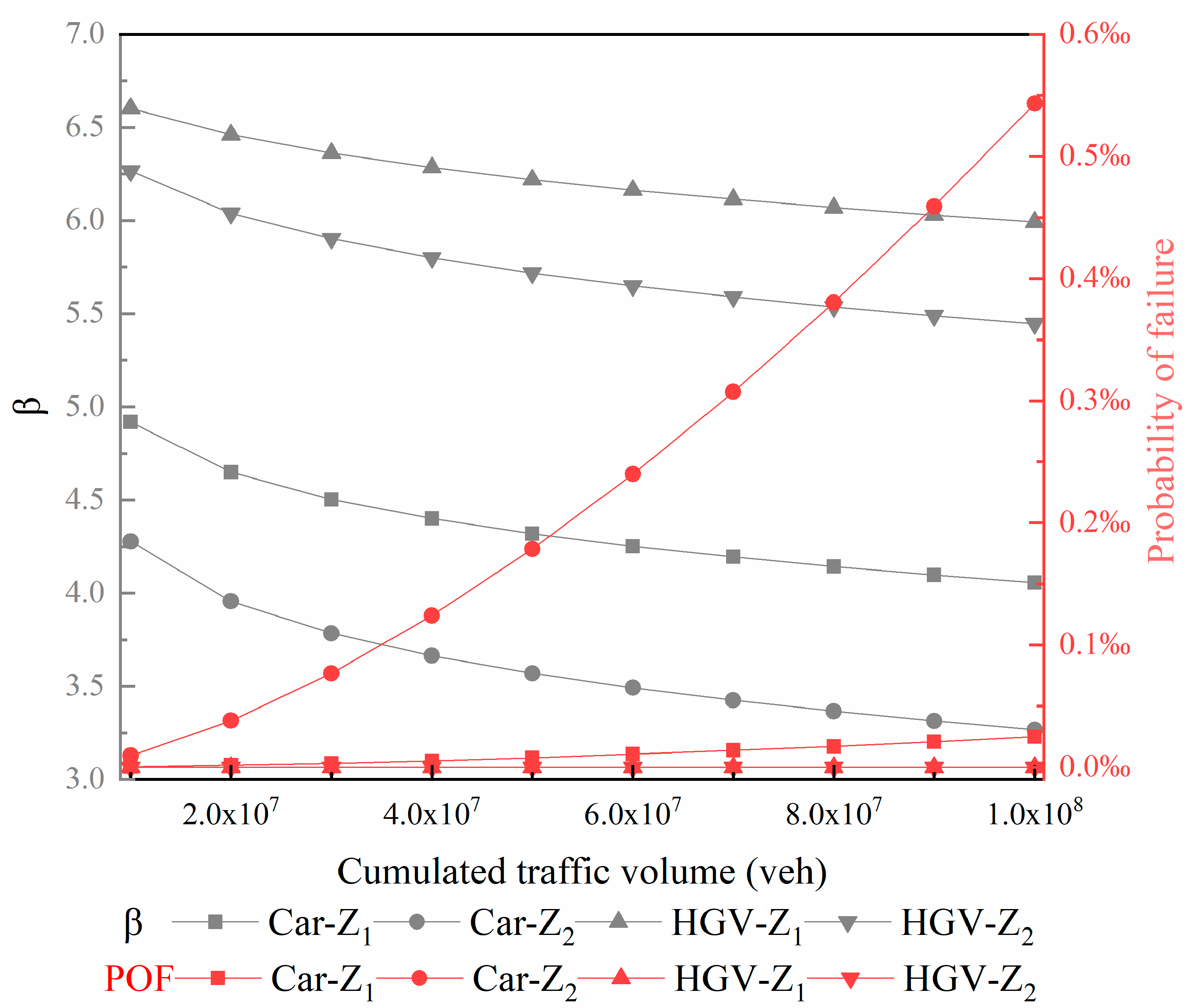
3.2.3. Safety Assessment for Different Traffic Characteristics
4. Conclusions
Author Contributions
Funding
Institutional Review Board Statement
Informed Consent Statement
Data Availability Statement
Acknowledgements
Conflicts of Interest
References
- Hall, J.W.; Smith, K.; Titus-Glover, L.; Evans, L.; Wambold, J.; Yager, T.; Rado, Z. NCHRP Web-Only Document 108: Guide for Pavement Friction; Transportation Research Board of the National Academies: Washington, DC, USA, 2009; p. 257. [Google Scholar]
- Buddhavarapu, P.; Banerjee, A.; Prozzi, J.A. Influence of pavement condition on horizontal curve safety. Accid. Anal. Prev. 2013, 52, 9–18. [Google Scholar] [CrossRef] [PubMed]
- Wang, D.; Chen, X.; Oeser, M.; Stanjek, H.; Steinauer, B. Study of micro-texture and skid resistance change of granite slabs during the polishing with the Aachen Polishing Machine. Wear 2014, 318, 1–11. [Google Scholar] [CrossRef]
- Zou, Y.; Yang, G.; Huang, W.; Lu, Y.; Qiu, Y.; Wang, K.C.P. Study of Pavement Micro- and Macro-Texture Evolution Due to Traffic Polishing Using 3D Areal Parameters. Materials 2021, 14, 5769. [Google Scholar] [CrossRef] [PubMed]
- Wang, D.W.; Zhang, Z.Y.; Kollmann, J.; Oeser, M. Development of aggregate micro-texture during polishing and correlation with skid resistance. Int. J. Pavement Eng. 2020, 21, 629–641. [Google Scholar] [CrossRef]
- Chen, F.; Chen, S.R. Reliability-based assessment of vehicle safety in adverse driving conditions. Transp. Res. Pt. C-Emerg. Technol. 2011, 19, 156–168. [Google Scholar] [CrossRef]
- Hou, G.Y.; Chen, S.R.; Chen, F. Framework of simulation-based vehicle safety performance assessment of highway system under hazardous driving conditions. Transp. Res. Pt. C-Emerg. Technol. 2019, 105, 23–36. [Google Scholar] [CrossRef]
- AASHTO. A Policy on Geometric Design of Highways and Streets, 7th ed.; American Association of State Highway and Transportation Officials: Washington, DC, USA, 2018. [Google Scholar]
- Echaveguren, T.; Bustos, M.; de Solminihac, H. Assessment of horizontal curves of an existing road using reliability concepts. Can. J. Civ. Eng. 2005, 32, 1030–1038. [Google Scholar] [CrossRef]
- Pratt, M.P.; Geedipally, S.R.; Wilson, B.; Das, S.; Brewer, M.; Lord, D. Pavement Safety-Based Guidelines for Horizontal Curve Safety. Texas A&M University: College Station, TX, USA, 2018. [Google Scholar]
- Pratt, M.P.; Geedipally, S.R.; Avelar, R.E.; Le, M. Horizontal Curve Evaluation Handbook; Texas A&M Transportation Institute: Austin, TX, USA, 2020. [Google Scholar]
- Lord, D.; Mannering, F. The statistical analysis of crash-frequency data: A review and assessment of methodological alternatives. Transp. Res. Pt. A-Policy Pract. 2010, 44, 291–305. [Google Scholar] [CrossRef]
- Mannering, F.L.; Shankar, V.; Bhat, C.R. Unobserved heterogeneity and the statistical analysis of highway accident data. Anal. Methods Accid. Res. 2016, 11, 1–16. [Google Scholar] [CrossRef]
- Zheng, L.; Sayed, T.; Mannering, F. Modeling traffic conflicts for use in road safety analysis: A review of analytic methods and future directions. Anal. Methods Accid. Res. 2021, 29, 100142. [Google Scholar] [CrossRef]
- You, K.; Sun, L.; Gu, W. Reliability-Based Risk Analysis of Roadway Horizontal Curves. J. Transp. Eng. 2012, 138, 1071–1081. [Google Scholar] [CrossRef]
- Hofko, B.; Kugler, H.; Chankov, G.; Spielhofer, R. A laboratory procedure for predicting skid and polishing resistance of road surfaces. Int. J. Pavement Eng. 2019, 20, 439–447. [Google Scholar] [CrossRef]
- Wambold, J.C.; Antle, C.E.; Henry, J.J.; Rado, Z. International PIARC Experiment to Compare and Harmonize Texture and Skid Resistance Measurements. In PIARC Technical Committee on Surface Characteristics C-1; World Road Association: Paris, France, 1995; p. 346. [Google Scholar]
- Donnell, E.; Wood, J.; Himes, S.; Torbic, D. Use of Side Friction in Horizontal Curve Design A Margin of Safety Assessment. Transp. Res. Rec. 2016, 2588, 61–70. [Google Scholar] [CrossRef]
- PIARC World Road Association. Report of the Committee on Surface Characteristics; PIARC: Brussels, Belgium, 1987. [Google Scholar]
- Lamm, R. Highway Design and Traffic Safety Engineering Handbook; McGraw-Hill: New York, NY, USA, 1999. [Google Scholar]
- Olson, P.L.; Cleveland, D.E.; Fancher, P.S.; Kostyniuk, L.P.; Schneider, L.W. Parameters Affecting Stopping Sight Distance; Transportation Research Board, National Research Council: Washington, DC, USA, 1984. [Google Scholar]
- Co.Ltd, CFHC. Design Specification for Highway Alignment; China Communication Press: Beijing, China, 2017; Volume JTG D20-2017. [Google Scholar]
- Chang, T.-H. Effect of vehicles’ suspension on highway horizontal curve design. J. Transp. Eng. 2001, 127, 89–91. [Google Scholar] [CrossRef]
- Hasofer, A.M.; Lind, N.C. An Exact and Invariant First-order Reliability Format. J. Eng. Mech. 1973, 100, 111–121. [Google Scholar]
- Caliendo, C.; Guida, M.; Parisi, A. A crash-prediction model for multilane roads. Accid. Anal. Prev. 2007, 39, 657–670. [Google Scholar] [CrossRef] [PubMed]
- Gaweesh, S.M.; Ahmed, M.M. Evaluating the safety effectiveness of a weather-based variable speed limit for a rural mountainous freeway in Wyoming. J. Transp. Saf. Secur. 2020, 12, 1205–1230. [Google Scholar] [CrossRef]
- Wang, W.; Chen, J.; Guo, X. Traffic Engineering; Southeast University Press: Nanjing, China, 2019. [Google Scholar]
- Plati, C.; Pomoni, M. Impact of Traffic Volume on Pavement Macrotexture and Skid Resistance Long-Term Performance. Transp. Res. Rec. 2019, 2673, 314–322. [Google Scholar] [CrossRef]
- Gillespie, T.D. Fundamentals of Vehicle Dynamics; ASME: New York, NY, USA, 1995; Volume 48, p. B154. [Google Scholar]
- Sil, G.; Nama, S.; Maji, A.; Maurya, A.K. Effect of horizontal curve geometry on vehicle speed distribution: A four-lane divided highway study. Transp. Lett. 2019, 10, 713–722. [Google Scholar] [CrossRef]
- Himes, S.C. Reliability Based Design of Horizontal Curves Considering the Effects of Grades; The Pennsylvania State University: State College, PA, USA, 2013. [Google Scholar]
- Kane, M.; Zhao, D.; De-Larrard, F.; Do, M.T. Laboratory evaluation of aggregate polishing as a function of load and velocity. Application to the prediction of damages on skid resistance of road surfaces due to trucks and passenger cars. Road Mater. Pavement Des. 2012, 13, 312–326. [Google Scholar] [CrossRef]







| Radius (m) | Design Speed (km/h) | Posted Speed(km/h) | Lane | Length (m) | Gradient (%) | Superelevation (%) |
|---|---|---|---|---|---|---|
| 1000 | 100 | 100 | 4 | 574 | 2.84 | 5 |
| Vehicles | Sample Size | Normal Parameters | Most Extreme Differences | Asymp.sig. (2-Tailed) | Kolmogorov- Smirnov Z | |||
|---|---|---|---|---|---|---|---|---|
| Mean | Std.Deviation | Absolute | Positive | Negative | ||||
| Car | 117 | 103.27 | 11.17 | 0.06 | 0.06 | -0.04 | 0.06 | 0.20 |
| HGV | 79 | 78.56 | 9.38 | 0.09 | 0.09 | -0.07 | 0.09 | 0.20 |
| Section | Geometrical Design | CTV (veh) | Initial MPD (mm) | Recent MPD (mm) |
|---|---|---|---|---|
| A1 | Straight/relatively straight alignment and slope less than 3% | 22 × 107 | 1.02 | 1.04 |
| A2 | 22 × 107 | 1.02 | 1.04 | |
| A3 | 22 × 107 | 1.08 | 1.15 | |
| A4 | 21.7 × 107 | 1.16 | 1.22 | |
| A5 | 34.2 × 107 | 1.1 | 1.14 | |
| A6 | 33.6 × 107 | 1.17 | 1.16 | |
| B1 | Straight/relatively straight alignment and slope less than 3% | 9.16 × 107 | 1.26 | 1.31 |
| B2 | 5.31 × 107 | 1.26 | 1.43 | |
| B3 | 9.47 × 107 | 1.42 | 1.66 | |
| B4 | 5.07 × 107 | 1.27 | 1.61 | |
| B5 | 3.58 × 107 | 1.19 | 1.26 | |
| C1 | Higher curvature and maximum slope 3–6% | 17 × 107 | 1.59 | 1.69 |
| C2 | 18.5 × 107 | 1.55 | 1.73 | |
| C3 | 8 × 107 | 1.34 | 1.5 | |
| C4 | 8.41 × 107 | 1.27 | 1.46 |
Publisher’s Note: MDPI stays neutral with regard to jurisdictional claims in published maps and institutional affiliations. |
© 2022 by the authors. Licensee MDPI, Basel, Switzerland. This article is an open access article distributed under the terms and conditions of the Creative Commons Attribution (CC BY) license (https://creativecommons.org/licenses/by/4.0/).
Share and Cite
Xu, G.; Xu, J.; Gao, C.; Sun, R.; Shan, H.; Ma, Y.; Ran, J. A Novel Safety Assessment Framework for Pavement Friction Evolution Due to Traffic on Horizontal Curves. Sustainability 2022, 14, 10714. https://doi.org/10.3390/su141710714
Xu G, Xu J, Gao C, Sun R, Shan H, Ma Y, Ran J. A Novel Safety Assessment Framework for Pavement Friction Evolution Due to Traffic on Horizontal Curves. Sustainability. 2022; 14(17):10714. https://doi.org/10.3390/su141710714
Chicago/Turabian StyleXu, Guilong, Jinliang Xu, Chao Gao, Rishuang Sun, Huagang Shan, Yongji Ma, and Jinsong Ran. 2022. "A Novel Safety Assessment Framework for Pavement Friction Evolution Due to Traffic on Horizontal Curves" Sustainability 14, no. 17: 10714. https://doi.org/10.3390/su141710714
APA StyleXu, G., Xu, J., Gao, C., Sun, R., Shan, H., Ma, Y., & Ran, J. (2022). A Novel Safety Assessment Framework for Pavement Friction Evolution Due to Traffic on Horizontal Curves. Sustainability, 14(17), 10714. https://doi.org/10.3390/su141710714

