Study on the Decoupling Relationship and Rebound Effect between Economic Growth and Carbon Emissions in Central China
Abstract
:1. Introduction
2. Review of the Literature
2.1. Research on Decoupling between Economic Growth and Carbon Emissions
2.2. Research on the Rebound Effect
3. Materials and Methods
3.1. Calculation of Carbon Dioxide Emissions
3.2. Calculation of Decoupling Elasticity Coefficient
3.3. Carbon Emission Rebound Effect Model Construction
3.3.1. Contribution Rate of Technological Advancement to Economic Growth
3.3.2. Decomposition of Carbon Emissions Intensity Based on Logarithmic Mean Divisia Index (LMDI)
3.3.3. Rebound Effect of Carbon Emissions
3.4. Data Sources
4. Results and Analysis
4.1. Analysis of the Time Evolution Trend of Carbon Dioxide and Economic Development in Central China
4.2. Spatial-Temporal Evolution Analysis of the Decoupling Relationship between Carbon Emissions and Economic Growth in Different Provinces
4.2.1. Analysis of Time Characteristics
4.2.2. Analysis of Spatial Characteristics
4.3. Analysis of Rebound Effect of Carbon Emission in Central China
5. Conclusions and Policy Recommendations
5.1. Conclusions
- Before 2006, the primary industry in central China accounted for a large proportion, the degree of industrialization was low, and the economy developed slowly. Later, each province began to develop the heavy industry through its own resource endowment, and economic growth accelerated. The Shanxi Province is affected by its coal-based resource industry structure, and economic development has been relatively slow. With economic development, the central region consumes a lot of energy, and the total carbon emission is on the rise, nearly trebling since 2000. Because of the different industrial structures and resource conditions among provinces, carbon emissions vary greatly and show a gradient structure, from high to low, of the Shanxi, Henan, Hubei, Anhui, Hunan, and Jiangxi provinces, in order.
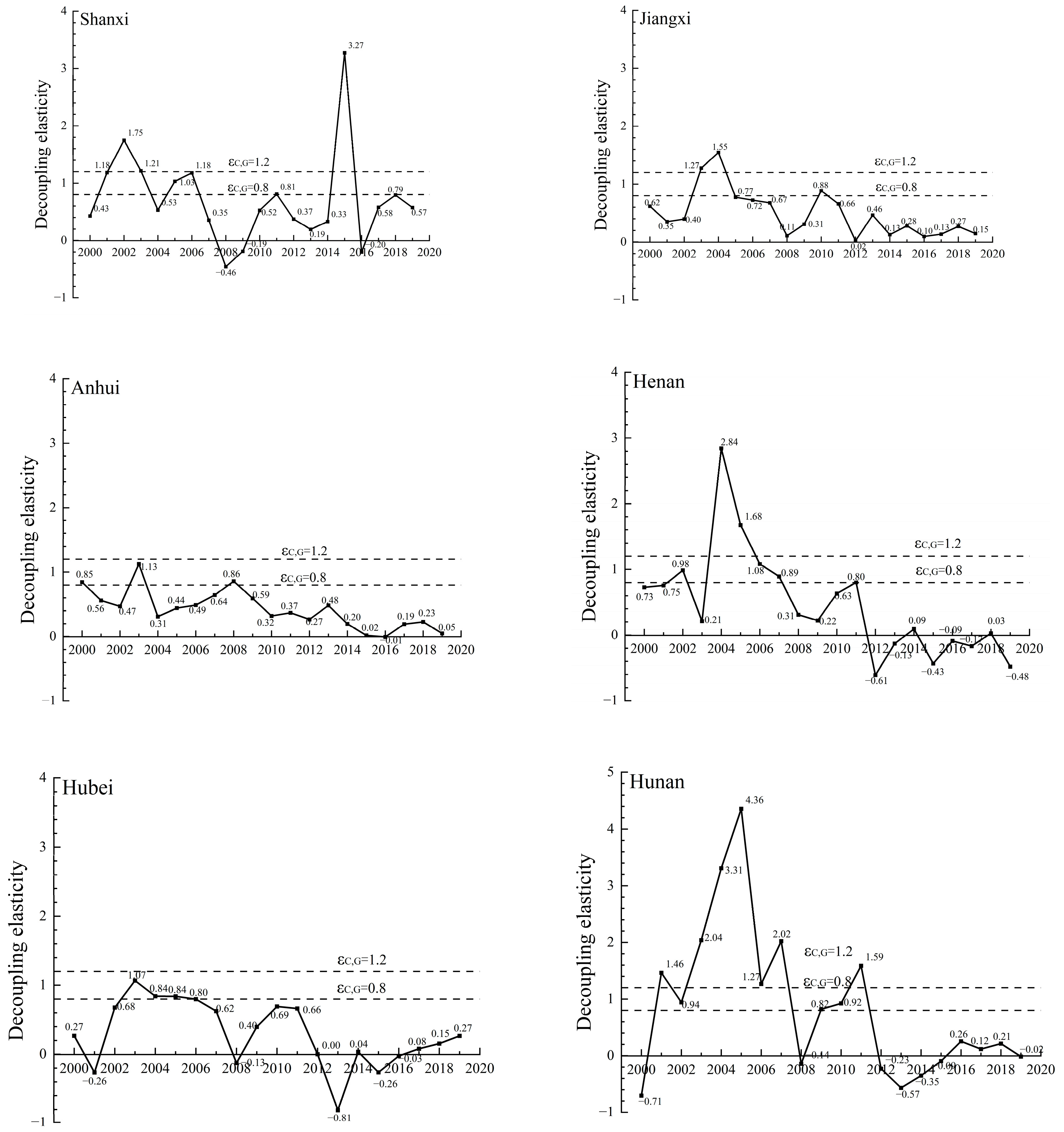
- By summing up all kinds of decoupling index values, we conclude that economic growth in central China has roughly experienced a process from expansive coupling to expansive negative decoupling to weak decoupling from carbon emission, with slight differences among provinces. With the adjustment and upgrading of industrial structure, the proportion of the secondary industry in the Anhui, Hubei and Jiangxi provinces has declined. With the implementation of energy-saving and emission reduction policies, the growth rate of carbon dioxide emissions has been controlled and the decoupling of economic growth from carbon emissions was achieved in 85% of the years. The Henan and Shanxi provinces are large provinces of heavy industry and coal resources, respectively, and their industrial structures cannot achieve large changes in a short period of time, resulting in Henan’s economic development relying on massive resource consumption, while Shanxi’s economic growth is dominated by a rough-and-ready approach, with only 50% of the years in decoupling. The Hunan Province takes industrial industry as the leading industry, with high resource consumption and low energy efficiency, leading to a higher ratio of carbon emissions to economic growth than other provinces, and a poor decoupling situation between economic growth and carbon emissions.
- In nearly half of the years in the sample period, technical advancement contributed positively to the economic growth of central China, signifying that there is a significant positive correlation between technological advancement and economic development. However, it was negative in some years, so there was a situation of technological ineffectiveness in some years. These years of technological inefficiency mainly boosted economic growth by increasing the input of factors of production. For example, from 2000 to 2002, the central region was the center of ineffective technology. In addition, the fundamental driver of the shift in carbon emission intensity was technological advancement, showing an overall downwards trend, but in some years, such as 2003 and 2011, carbon intensity rose because of ineffective technology. According to the results of the rebound effect, most of the years of the rebound effect belong to the “tempering effect”, that is, although technological progress reduces carbon emission intensity, it increases carbon emissions by driving output growth.
5.2. Policy Suggestions
Author Contributions
Funding
Institutional Review Board Statement
Informed Consent Statement
Data Availability Statement
Conflicts of Interest
Abbreviations
| IPCC | Intergovernmental Panel on Climate Change |
| EKC | environmental Kuznets curve |
| SDA | structural decomposition analysis |
| IDA | index decomposition analysis |
| TFP | total factor productivity |
| LMDI | Logarithmic Mean Divisia Index |
| CI | carbon intensity |
| CC | carbon emission coefficient |
| EI | energy intensity |
| CS | carbon emission saving |
| CR | carbon emission rebound |
| RE | rebound effect |
References
- Mohsin, M.; Naseem, S.; Sarfraz, M.; Azam, T. Assessing the effects of fuel energy consumption, foreign direct investment and GDP on CO2 emission: New data science evidence from Europe & Central Asia. Fuel 2022, 314, 123098. [Google Scholar]
- Grossman, G.M.; Krueger, A.B. Environmental Impacts of a North American Free Trade Agreement. CEPR Discuss. Pap. 1992, 8, 223–250. [Google Scholar]
- Shi, C. Decoupling analysis and peak prediction of carbon emission based on decoupling theory. Sustain. Comput. Informatics Syst. 2020, 28, 100424. [Google Scholar] [CrossRef]
- Tapio, P. Towards a theory of decoupling: Degrees of decoupling in the EU and the case of road traffic in Finland between 1970 and 2001. Transp. Policy 2005, 12, 137–151. [Google Scholar] [CrossRef]
- Pereira, M.G.; da Silva, N.F.; Freitas, M.A.V. Energy transition: The nexus between poverty and CO2 emissions in Brazil. Int. J. Innov. Sustain. 2019, 13, 376–391. [Google Scholar] [CrossRef]
- Hossain, M.A.; Chen, S.S. Decoupling of energy-related CO2 emissions from economic growth: A case study of Bangladesh. Environ. Sci. Pollut. R 2020, 27, 20844–20860. [Google Scholar] [CrossRef]
- Zhao, X.; Jiang, M.; Zhang, W. Decoupling between Economic Development and Carbon Emissions and Its Driving Factors: Evidence from China. Int. J. Environ. Res. Public Health 2022, 19, 2893. [Google Scholar] [CrossRef]
- Yang, J.; Hao, Y.; Feng, C. A race between economic growth and carbon emissions: What play important roles towards global low-carbon development? Energy Econ. 2021, 100, 105327. [Google Scholar] [CrossRef]
- Dong, J.; Li, C.B.; Wang, Q.Q. Decomposition of carbon emission and its decoupling analysis and prediction with economic development: A case study of industrial sectors in Henan Province. J. Clean Prod. 2021, 321, 129019. [Google Scholar] [CrossRef]
- Gan, C.; Wang, K.; Voda, M. Decoupling relationship between carbon emission and economic development in the service sector: Case of 30 provinces in China. Environ. Sci. Pollut. Res. 2022, 1–13. [Google Scholar] [CrossRef]
- Wu, Y.; Chau, K.W.; Lu, W.S.; Shen, L.Y.; Shuai, C.Y.; Chen, J.D. Decoupling relationship between economic output and carbon emission in the Chinese construction industry. Environ. Impact Assess Rev. 2018, 71, 60–69. [Google Scholar] [CrossRef]
- Han, H.B.; Zhong, Z.Q.; Guo, Y.; Xi, F.; Liu, S.L. Coupling and decoupling effects of agricultural carbon emissions in China and their driving factors. Environ. Sci. Pollut. R 2018, 25, 25280–25293. [Google Scholar] [CrossRef] [PubMed]
- Kan, W. Carbon dioxide from fossil fuels: Adapting to uncertainty. Energy Policy 1980, 8, 318–330. [Google Scholar]
- Jin, L.; Chang, Y.H.; Wang, M.; Zheng, X.Z.; Yang, J.X.; Gu, J. The dynamics of CO2 emissions, energy consumption, and economic development: Evidence from the top 28 greenhouse gas emitters. Environ. Sci. Pollut. Res. 2021, 29, 36565–36574. [Google Scholar] [CrossRef]
- Chen, P.-Y.; Chen, S.-T.; Hsu, C.-S.; Chen, C.-C. Modeling the global relationships among economic growth, energy consumption and CO2 emissions. Renew. Sust. Energy Rev. 2016, 65, 420–431. [Google Scholar] [CrossRef]
- Chen, P.-Y.; Chen, S.-T.; Chen, C.-C. Energy consumption and economic growth—New evidence from meta analysis. Energy Policy 2012, 44, 245–255. [Google Scholar] [CrossRef]
- Stern, D.I. Energy and economic growth in the USA. Energy Econ. 1993, 15, 137–150. [Google Scholar] [CrossRef]
- Pao, H.-T.; Chen, H.; Li, Y.-Y. Competitive dynamics of energy, environment, and economy in the U.S. Energy 2015, 89, 449–460. [Google Scholar] [CrossRef]
- Ahmad, A.; Zhao, Y.H.; Shahbaz, M.; Bano, S.; Zhang, Z.H.; Wang, S.; Liu, Y. Carbon emissions, energy consumption and economic growth: An aggregate and disaggregate analysis of the Indian economy. Energy Policy 2016, 96, 131–143. [Google Scholar] [CrossRef]
- Setyari, N.P.W.; Kusuma, W.G.A. Economics and Environmental Development: Testing the Environmental Kuznets Curve Hypothesis. IJEEP 2021, 11, 51–58. [Google Scholar] [CrossRef]
- Dong, K.Y.; Hochman, G. CO2 emissions, economic and population growth, and renewable energy: Empirical evidence across regions. Energy Econ. 2018, 75, 180–192. [Google Scholar] [CrossRef]
- Zhang, Y.J.; Da, Y.B. The decomposition of energy-related carbon emission and its decoupling with economic growth in China. Renew. Sust. Energy Rev. 2015, 41, 1255–1266. [Google Scholar] [CrossRef]
- Chang, C.-P.; Dong, M.; Sui, B.; Chu, Y. Driving forces of global carbon emissions: From time- and spatial-dynamic perspectives. Econ. Model. 2019, 77, 70–80. [Google Scholar] [CrossRef]
- Ren, Y.Y.; Ren, X.; Hu, J.B. Driving factors of China’s city-level carbon emissions from the perspective of spatial spillover effect. Carbon Manag. 2019, 10, 551–566. [Google Scholar] [CrossRef]
- Alam, M.J.; Begum, I.A.; Buysse, J.; Van Huylenbroeck, G. Energy consumption, carbon emissions and economic growth nexus in Bangladesh: Cointegration and dynamic causality analysis. Energy Policy 2012, 45, 217–225. [Google Scholar] [CrossRef]
- Azizalrahman, H.; Hasyimi, V. A model for urban sector drivers of carbon emissions. Sustain. Cities Soc. 2019, 44, 46–55. [Google Scholar] [CrossRef]
- Khazzoom, J.D. Energy savings from more the adoption of more efficient appliances. Energy J. 1987, 8, 85–89. [Google Scholar]
- Druckman, A.; Chitnis, M.; Sorrell, S.; Jackson, T. Missing carbon reductions? Exploring rebound and backfire effects in UK households. Energy Policy 2011, 39, 3572–3581. [Google Scholar] [CrossRef]
- Yang, L.; Wang, J.; Shi, J. Can China meet its 2020 economic growth and carbon emissions reduction targets? J. Clean Prod. 2017, 142, 993–1001. [Google Scholar] [CrossRef]
- Li, D.; Gao, M.; Hou, W.; Song, M.; Chen, J. A modified and improved method to measure economy-wide carbon rebound effects based on the PDA-MMI approach. Energy Policy 2020, 147, 111862. [Google Scholar] [CrossRef]
- Brännlund, R.; Ghalwash, T.; Nordström, J. Increased energy efficiency and the rebound effect: Effects on consumption and emissions. Energy Econ. 2007, 29, 1–17. [Google Scholar] [CrossRef]
- Jin, S.H. The effectiveness of energy efficiency improvement in a developing country: Rebound effect of residential electricity use in South Korea. Energy Policy 2007, 35, 5622–5629. [Google Scholar] [CrossRef]
- Santarius, T. Investigating meso-economic rebound effects: Production-side effects and feedback loops between the micro and macro level. J. Clean Prod. 2016, 134, 406–413. [Google Scholar] [CrossRef]
- Sorrell, S. Jevons’ Paradox revisited: The evidence for backfire from improved energy efficiency. Energy Policy 2009, 37, 1456–1469. [Google Scholar] [CrossRef]
- Li, X.Y. Study on the impact of energy rebound effect on carbon emission reduction at different stages of urbanization in China. Ecol. Indic. 2021, 120, 106983. [Google Scholar] [CrossRef]
- Li, X.Y.; Xu, H.Z. Effect of local government decision-making competition on carbon emissions: Evidence from China’s three urban agglomerations. Bus. Strategy Environ. 2020, 29, 2418–2431. [Google Scholar] [CrossRef]
- Koesler, S.; Swales, K.; Turner, K. International spillover and rebound effects from increased energy efficiency in Germany. Energy Econ. 2016, 54, 444–452. [Google Scholar] [CrossRef]
- Figus, G.; McGregor, P.G.; Swales, J.K.; Turner, K. Do sticky energy prices impact the time paths of rebound effects associated with energy efficiency actions? Energy Econ. 2020, 86, 104657. [Google Scholar] [CrossRef]
- Nishant, R.; Teo, T.S.H.; Goh, M. Energy Efficiency Benefits: Is Technophilic Optimism Justified? IEEE Trans. Eng. Manag. 2014, 61, 476–487. [Google Scholar] [CrossRef]
- Mizobuchi, K. An empirical study on the rebound effect considering capital costs. Energy Econ. 2008, 30, 2486–2516. [Google Scholar] [CrossRef]
- Wei, T.; Liu, Y. Estimation of global rebound effect caused by energy efficiency improvement. Energy Econ. 2017, 66, 27–34. [Google Scholar] [CrossRef]
- Du, Q.; Li, Z.; Li, Y.; Bai, L.B.; Li, J.T.; Han, X. Rebound effect of energy efficiency in China’s construction industry: A general equilibrium analysis. Environ. Sci. Pollut. R 2019, 26, 12217–12226. [Google Scholar] [CrossRef] [PubMed]
- Wang, X.L.; Wen, X.H.; Xie, C.P. An evaluation of technical progress and energy rebound effects in China’s iron & steel industry. Energy Policy 2018, 123, 259–265. [Google Scholar]
- Hu, Y.; Peng, L.; Li, X.; Yao, X.J.; Lin, H.; Chi, T.H. A novel evolution tree for analyzing the global energy consumption structure. Energy 2018, 147, 1177–1187. [Google Scholar] [CrossRef]
- Li, H.; Bao, Q.; Ren, X.S. Reducing rebound effect through fossil subsidies reform: A comprehensive evaluation in China. J. Clean Prod. 2017, 141, 305–314. [Google Scholar] [CrossRef]
- Gu, W.; Zhao, X.H.; Yan, X.B.; Wang, C.; Li, Q. Energy technological progress, energy consumption, and CO2 emissions: Empirical evidence from China. J. Clean Prod. 2019, 236, 117666. [Google Scholar] [CrossRef]
- Andreoni, V.; Galmarini, S. Decoupling economic growth from carbon dioxide emissions: A decomposition analysis of Italian energy consumption. Energy 2012, 44, 682–691. [Google Scholar] [CrossRef]
- de Freitas, L.C.; Kaneko, S. Decomposing the decoupling of CO2 emissions and economic growth in Brazil. Ecol. Econ. 2011, 70, 1459–1469. [Google Scholar] [CrossRef]
- Wang, Q.; Jiang, X.T.; Li, R.R. Comparative decoupling analysis of energy-related carbon emission from electric output of electricity sector in Shandong province, China. Energy 2017, 127, 78–88. [Google Scholar] [CrossRef]
- Xu, W.H.; Xie, Y.L.; Xia, D.H.; Ji, L.; Huang, G.H. A multi-sectoral decomposition and decoupling analysis of carbon emissions in Guangdong province, China. J. Environ. Manag. 2021, 298, 113485. [Google Scholar] [CrossRef]
- Zaman, K.; Moemen, M.A.-E. Energy consumption, carbon dioxide emissions and economic development: Evaluating alternative and plausible environmental hypothesis for sustainable growth. Renew. Sust. Energy Rev. 2017, 74, 1119–1130. [Google Scholar] [CrossRef]
- Yang, L.; Li, Z. Technology advance and the carbon dioxide emission in China—Empirical research based on the rebound effect. Energy Policy 2017, 101, 150–161. [Google Scholar] [CrossRef]
- Lin, B.Q.; Liu, X. Dilemma between economic development and energy conservation: Energy rebound effect in China. Energy 2012, 45, 867–873. [Google Scholar] [CrossRef]





| Type | Decoupling State | ∆GDP | ||
|---|---|---|---|---|
| Decoupling | Strong decoupling | (0, +∞) | (−∞, 0) | (−∞, 0) |
| Weak decoupling | (0, +∞) | (0, +∞) | [0, 0.8] | |
| Recessive decoupling | (−∞, 0) | (−∞, 0) | (1.2, +∞) | |
| Coupling | Expansive coupling | (0, +∞) | (0, +∞) | [0.8, 1.2] |
| Recessive coupling | (−∞, 0) | (−∞, 0) | [0.8, 1.2] | |
| Negative decoupling | Expansive negative decoupling | (0, +∞) | (0, +∞) | (1.2, +∞) |
| Weak negative decoupling | (−∞, 0) | (−∞, 0) | [0, 0.8] | |
| Strong negative decoupling | (−∞, 0) | (0, +∞) | (−∞, 0) |
| Year | Shanxi | Anhui | Jiangxi | Henan | Hubei | Hunan | ||||||
|---|---|---|---|---|---|---|---|---|---|---|---|---|
| CR | CS | CR | CS | CR | CS | CR | CS | CR | CS | CR | CS | |
| 2000 | −105 | 318 | −54.2 | 8.9 | −14.5 | 6.5 | −30.4 | 24.5 | −56.8 | 54.9 | −34.0 | 15.3 |
| 2001 | −105 | −69.3 | −53.9 | 33.5 | −21.9 | 15.1 | −106.6 | 23.1 | −49.2 | 99.3 | −71.4 | −6.5 |
| 2002 | −325 | −576 | −47.6 | 38.5 | −43.8 | 14.1 | −184.7 | 3.2 | −143 | 15.5 | −48.3 | 1.1 |
| 2003 | 2940 | −100 | 51.7 | −16 | 22.9 | −12 | 1672.9 | 111.7 | 1349 | −19 | 530.0 | −23.5 |
| 2004 | 186.4 | 579.6 | 210 | 69.7 | 189.3 | −22 | 66.2 | −292 | 118 | 6.32 | 80.0 | −68.7 |
| 2005 | 173.2 | −46.5 | 32.4 | 45.7 | 30.6 | 11.2 | 161.4 | −119 | 70.7 | 10.6 | 46.5 | −144.9 |
| 2006 | −110 | −128 | 13.3 | 44.1 | −19.7 | 14.2 | −145.2 | 35.2 | 0.36 | 10.8 | −81.4 | 18.3 |
| 2007 | −103 | 1043 | −106 | 25.1 | −68.6 | 20.7 | −107.7 | 97.8 | −133 | 46.5 | −61.0 | −38.7 |
| 2008 | −247 | 1351 | −60.1 | −12 | 23.4 | 54.8 | −245.8 | 239.1 | −122 | 195 | −68.6 | 132.5 |
| 2009 | −340 | 639.7 | −43.2 | 34.2 | −51.5 | 36.6 | −37.7 | 221.3 | −91 | 67.4 | −70.2 | 43.7 |
| 2010 | 2517 | 362.3 | 411 | 96.3 | 322.2 | −11 | 1107.2 | 103.4 | 1117 | 16.1 | 567.0 | 34.0 |
| 2011 | 126 | −26.8 | 165 | 69.2 | 50.8 | 12.2 | 347.5 | 44.2 | 103 | 11.9 | 9.2 | −29.9 |
| 2012 | −118 | 509 | −40.5 | 78.1 | 13.6 | 54.6 | −51.1 | 452.1 | 28.7 | 157 | 20.7 | 144.0 |
| 2013 | −184 | 650 | −121 | 23.0 | −60.7 | 14.1 | −265.6 | 219.3 | −87 | 288 | −53.0 | 138.4 |
| 2014 | −196 | 258 | −144 | 68.4 | −116 | 41.1 | −369.9 | 158.4 | −204 | 73 | −176 | 130.2 |
| 2015 | 0.2 | −1123 | −178 | 98.5 | 45.8 | 22.1 | 90.5 | 242.6 | −84 | 107 | 131 | 70.6 |
| 2016 | 260 | 636 | 732 | 98.6 | 85.2 | 32.5 | 848.7 | 136.9 | 259 | 57 | 60.8 | 44.4 |
| 2017 | 583 | 164 | 141 | 45.9 | 254 | 30.3 | 315.3 | 135.4 | 517 | 34 | 336.4 | 55.3 |
| 2018 | 227 | −57 | 118 | 41.3 | −35 | 17.6 | −84.5 | 83.8 | −36 | 26.5 | −57.3 | 44.7 |
| 2019 | −440 | 163 | −176 | 66.6 | −16 | 24.3 | −59.2 | 159.1 | −121 | 7.65 | −105 | 54.0 |
Publisher’s Note: MDPI stays neutral with regard to jurisdictional claims in published maps and institutional affiliations. |
© 2022 by the authors. Licensee MDPI, Basel, Switzerland. This article is an open access article distributed under the terms and conditions of the Creative Commons Attribution (CC BY) license (https://creativecommons.org/licenses/by/4.0/).
Share and Cite
Liu, K.; Zhao, M.; Xie, X.; Zhou, Q. Study on the Decoupling Relationship and Rebound Effect between Economic Growth and Carbon Emissions in Central China. Sustainability 2022, 14, 10233. https://doi.org/10.3390/su141610233
Liu K, Zhao M, Xie X, Zhou Q. Study on the Decoupling Relationship and Rebound Effect between Economic Growth and Carbon Emissions in Central China. Sustainability. 2022; 14(16):10233. https://doi.org/10.3390/su141610233
Chicago/Turabian StyleLiu, Ke, Mingxue Zhao, Xinyue Xie, and Qian Zhou. 2022. "Study on the Decoupling Relationship and Rebound Effect between Economic Growth and Carbon Emissions in Central China" Sustainability 14, no. 16: 10233. https://doi.org/10.3390/su141610233
APA StyleLiu, K., Zhao, M., Xie, X., & Zhou, Q. (2022). Study on the Decoupling Relationship and Rebound Effect between Economic Growth and Carbon Emissions in Central China. Sustainability, 14(16), 10233. https://doi.org/10.3390/su141610233

