The Influence of Knowledge on Managing Risk for the Success in Complex Construction Projects: The IPMA Approach
Abstract
1. Introduction
2. Framework
2.1. Risk Management (RM)
| Ref | Code | Title | Scope | Version | ||
|---|---|---|---|---|---|---|
| 1st | Last | |||||
| [72] | NS 5814 | Requirements for Risk Assessment | Norway | 1991 | 2008 | |
| [73] | AS/NZS 4360 | Risk Management | Australia New Zealand | 1995 | 2004 | * |
| [74] | BS 8444-3:1996 | Risk management. Guide to Risk Analysis of Technological Systems | UK | 1996 | 1996 | |
| [75] | PRAM Guide | Project Risk Analysis and Management Guide | UK | 1997 | 2004 | * |
| [76] | CAN/CSA-Q850 | Risk Management. Guideline for Decision-Makers | Canada | 1997 | 2009 | * |
| [77] | BS 6079-3 | Project Management. Guide to the Management of Business Project Risk | UK | 2000 | 2019 | ** |
| [78] | JIS Q2001 | Guidelines for Development and Implementation of Risk Management System | Japan | 2001 | 2007 | * |
| [79] | BS/IEC 62198 | Project Risk Management. Application Guidelines | UK | 2001 | 2014 | |
| [80] | ANSI/IEEE 1540 | Standard for Software Life Cycle Processes. Risk Management | USA | 2001 | 2006 | *** |
| [81] | BSI/PD ISO/IEC Guide 73 | Risk Management. Vocabulary. Guidelines for Use in Standards | UK | 2002 | 2009 | |
| [82] | IRM/AIRMIC/ALARM | Risk Management Standard | UK | 2002 | 2002 | |
| [83] | ONR 49000 | Risk Management for Organizations and Systems: Concepts and Foundations | Austria | 2004 | 2014 | |
| [84] | COSO ERM | Enterprise Risk Management. Integrated Framework | USA | 2004 | 2017 | |
| [85] | ISO/IEC 16085 | Systems and software engineering. Life cycle processes. Risk management | International | 2004 | 2020 | |
| [86] | BS 31100 | Risk management. Code of Practice | UK | 2008 | 2011 | |
| [87] | ISO 31000 | Risk Management | International | 2009 | 2018 | |
| [88] | ISO/IEC 31010 | Risk management. Risk Assessment Techniques | International | 2009 | 2019 | |
2.2. Knowledge Management (KM)
- Storage, access and transfer. They focus on the application of methods, strategies, techniques and tools that provide the storage of knowledge and facilitate its access and transfer within organizations.
- Technology. They focus on the use of computer systems to support the deployment of technological tools that facilitate decision-making in organizational processes.
- Socio-culture. They encourage an organizational culture that promotes the generation of knowledge linking social processes and organizational learning by means of building confidence, enabling resourcefulness, fostering communication and emphasizing collaboration.
- Holism. They integrate the sustainable improvement in handling the knowledge on all levels of organizations, supporting business viability, competitiveness and growth through the identification, capture, transformation, consolidation, evaluation and dissemination of knowledge.
| Model | Features |
|---|---|
| 1 Wiig [120] | Construction and Use: Construction, Retention, Staging and Application Dimensions: Integrity, Connection, Congruence and Perspective |
| 1 Nonaka and Takeuchi [121] | Principles: Epistemology and Ontology Cyclical Processes: Socialization, Externalization, Combination, and Internalization |
| 1 Bustelo and Amarilla [122] | Practical Initiatives: Information Management, HR Management, Measurement of Intangible Assets |
| 2 BSC [123] | Levels: Corporation, Business and Function Areas: Learning and Growth, Business Process, Customer View and Financial Data |
| 2 IAM [124] | Intagible Assets: External Structure, Internal Structure and Staff Competence Tangible Assets: Growth, Innovation, Efficiency and Stability |
| 2 PTCC [125] | Enhanced Performance: Managing Knowledge Asset, Getting the Organization Ready, Leveraging Knowledge |
| 2 Technological [126] | Process Layers: Acquisition, Refinement, Storage and Retrieval, Distribution and Presentation |
| 3 KPMG Consulting [127] | Factors: Commitment to Learning, Development of Mechanisms and Infrastructures |
| 3 Skandia Navigator [128] | Levels: 1: Renewal and Development. 2: Process, Human and Customer. 3: Financial |
| 3 APQC (KMAT) [129] | Benchmarking: Competition, Compromise, Cooperation and Collaboration Sections: Leadership, Culture, Technology, Measurement and Process |
| 3 Arthur Andersen [130] | Individuals: Experiment, Learn, Create, Cooperate and Innovate (Capture, Distribute) Organization: Analyze, Synthesize, Apply, Assess and Innovate (Capture, Distribute) |
| 3 IADE (Intellectus) [131] | Capital: Staff, Organization, Technology, Business, Society, Entrepreneurship and Innovation |
| 3 STAR [132] | Elements: Strategy (Direction), People, Structure (Power), Rewards (Motivation) and Processes |
| 4 Dynamic-Rotational [133] | Spiral Processes: Acquisition, Socialization, Structuring, Integration, Valuation and Detection |
| 4 Organizational [134] | Agents: Strategy, Organizational Learning, Intellectual Capital, Frontiers (Environment) |
| 4 Generational [135] | Nested Domains for Production, Integration and Business Process Environment: Individuals, Groups and Organization |
| 4 Integrated-Situational [136] | Stages for Relational, Business and Intellectual Capital: Acquisition, Storage, Transformation, Distribution and Usage |
| 4 Jashapara [137] | Elements: Strategy, Systems and Technologies, Culture, Organizational Learning |
| 4 Holistic [138] | Processes: Socialization, Creation, Adaptation (Modeling), Dissemination and Application |
| 4 EKMM + SERM [139] | Elements: ERP System, Strategy, Technology, Planning and Monitoring, Organization, Culture |
| 4 GKMF [140] | Processes: Business, Knowledge and Context Stakeholders: Individual, Organizational and Cultural (Communities) |
| 4 Hamburg [141] | Spheres: Influence (Actors, Context), Development (Culture, Processes, Structures) and Action |
| 4 Marketing [142] | Levels: I (Cooperation), II (Promotion), III (Synergy), IV (Interprocessing Networks) |
| 4 NUSANTARA [143] | Levels: Vision and Mission, CSFs, Processes, Information, Cycles, Structures and Services |
- Value generation: KM feeds RM processes, reducing negative impacts of threats and preventing unforeseen events in project environments.
- Open communication: Barriers that interfere with communication hinder KM results, reducing the RM effectiveness, which affects the project performance.
- Individual commitment: The whole organization must maintain both KM and RM.
- Organizational commitment: Both KM and RM strategies must be aligned with the organizational values and culture so that all areas can participate proactively.
2.3. The IPMA Model in Project Management (PM)
2.4. Sustained Success (SS)
3. Methodology
3.1. Questionnaire Design
- Establishing causal relationships in paths with multiple variables.
- Verifying data fit.
- Assessing measurement error.
- Estimating latent variables via observed variables.
- First step. From the literature sources, a list is composed (and refined later) of
- ○
- Features of knowledge and risk management, filtered by critical success factors required for knowledge and risk management.
- ○
- Criteria for managing knowledge and risk, filtered by success criteria in construction projects, businesses and organizations.
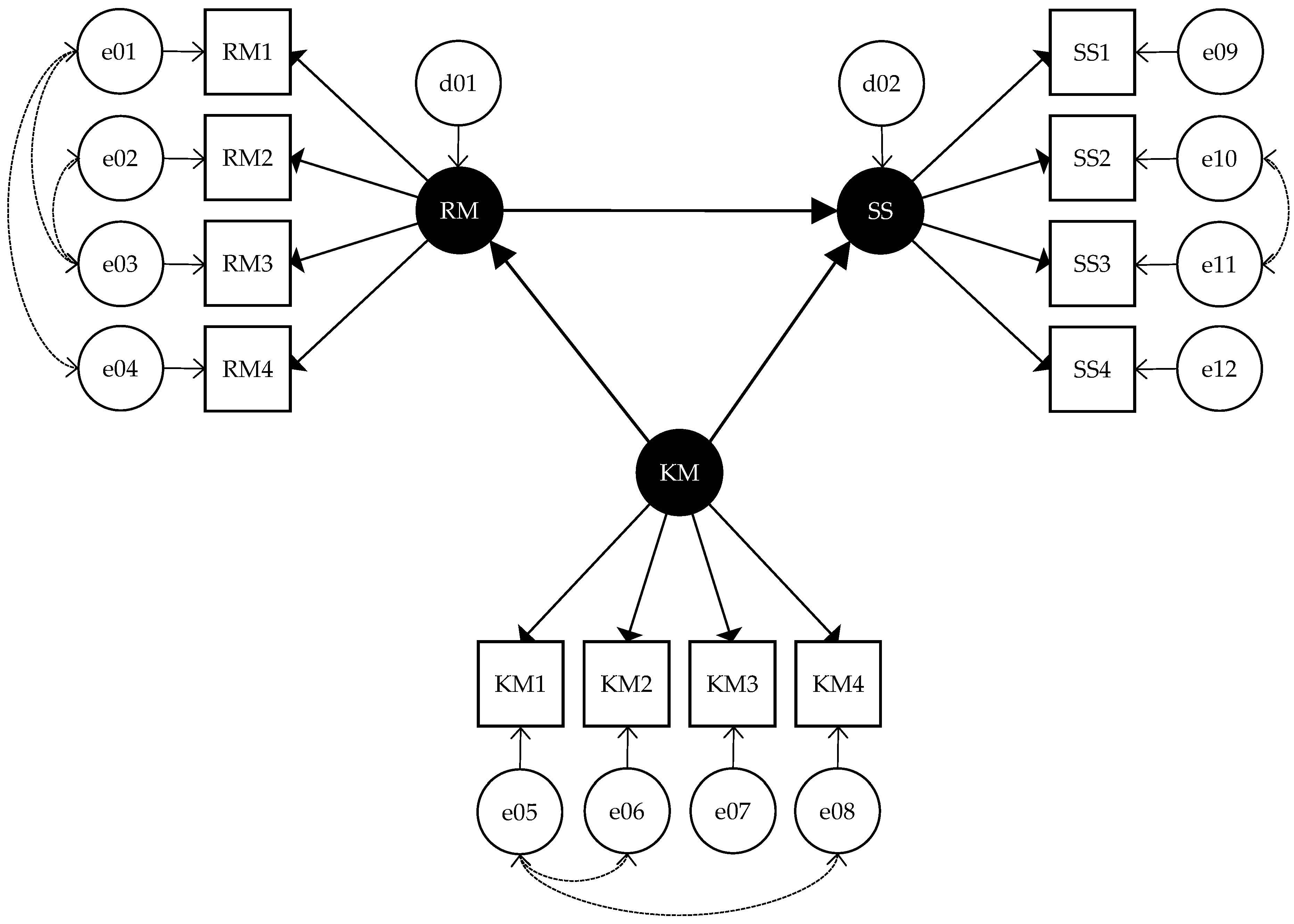
- Risk Management (RM), considering risk identification, backup strategy design, periodic evaluation and forecast of alternative scenarios and routes:
- ○
- RM1. Identification of sources of threats and opportunities.
- ○
- RM2. Assessment of probability and severity of threats and opportunities.
- ○
- RM3. Selection of strategies for addressing risks.
- ○
- RM4. Monitoring and evaluation of implemented risk responses.
- Knowledge management (KM), considering multidisciplinarity, compilation of lessons learned, value creation, and competence and process approaches:
- ○
- KM1. Research, development, innovation and improvement.
- ○
- KM2. Alignment of project goals with organizational vision and mission.
- ○
- KM3. Establishment of project management policies and procedures.
- ○
- KM4. Adequacy of roles and responsibilities of people involved.
- Sustained Success (SS), considering effectiveness, efficiency, impact and replicability (management, results, business and organization):
- ○
- SS1. Project baseline accomplishment, including project results.
- ○
- SS2. Organizational prosperity, including performance and scalability.
- ○
- SS3. Client satisfaction, including flexibility and consistency.
- ○
- SS4. Business continuity assurance, including reliability and sustainability.
3.2. Model Validation
- Official associations of technicians with legal attributions for the design, supervision and coordination of construction works, such as:
- ○
- CSCAE (Higher Council of Architects of Spain)
- ○
- CGATE (Spanish General Council of Technical Architecture)
- ○
- CICCP (College of Roads, Canals and Ports Engineers of Spain)
- ○
- CITOP (College of Technical Engineers in Public Works of Spain)
- ○
- CGCOII (Higher Council of Industrial Engineers of Spain)
- ○
- COGITI (Spanish General Council of Technical Industrial Engineering)
- PM professional associations, such as:
- ○
- AEIPRO (Spanish Project Management and Engineering Association)
- ○
- PMI Spanish Chapters (Andalusia, Balearics, Barcelona, Madrid and Valencia)
- Working PM groups in social networks, such as:
- ○
- AECMA (Spanish Association of Construction Management)
- ○
- AEGC (Spanish Construction Management Association)
- ○
- AEPDP (Spanish Association of Project Management Practitioners)
- ○
- CCPM (Construction Certified Project Managers)
- ○
- CMAS (Construction Management Association of Spain)
- ○
- DIP (Integrated Project Management)
4. Results
- The relationship between knowledge management and risk management (influence of KM on RM) reaches 0.892, which means that knowledge management positively justifies 79.6% of the variance in risk management. It can be noted that this result is higher than 75% of the total.
- The relationship between risk management and sustained success (influence of RM on SS) reaches 0.751, which means that risk management positively justifies 56.4% of the variance in sustained success. It can be noted that this result is higher than 50% of the total.
- The relationship between knowledge management and sustained success (influence of KM on SS) reaches 0.339, which means that risk management positively justifies 11.5% of the variance in the sustained success by a direct effect. In addition, knowledge management also positively justifies 44.9% of the variance in sustained success by an indirect effect, summing up to 56.4%. It can be noted that this result is higher than 50% of the total. However, to consider the indirect effect, the Sobel test must be significant:
- ○
- KM (independent variable) predicts SS (dependent variable).
- ○
- KM (independent variable) predicts RM (mediator).
- ○
- RM (mediator) predicts SS (dependent variable).
5. Conclusions
Supplementary Materials
Author Contributions
Funding
Institutional Review Board Statement
Informed Consent Statement
Data Availability Statement
Acknowledgments
Conflicts of Interest
Appendix A
| Element of Competence | Knowledge Involved |
|---|---|
| Strategy: | Critical success factors. Management control systems. |
| Governance, structures and processes: | Basic principles and characteristics of management by projects. |
| Compliance, standards and regulations: | Professional standards and norms. |
| Element of Competence | Knowledge Involved |
|---|---|
| Personal communication: | Communication technologies. |
| Relationships and engagement: | Network theories. |
| Conflict and crisis: | Creativity techniques. Conflict stage models. Crisis plans. Worst case scenarios. |
| Resourcefulness: | Techniques to solicit views of others. Conceptual thinking. Abstraction techniques. Strategic thinking methods. Analytic techniques. Convergent and divergent thinking. Creativity methods. Innovation processes and techniques. Lateral thinking. Systems thinking. Synergy and holistic thinking. Scenario analyses. SWOT techniques. Creativity theories. Brainstorming techniques. Converging techniques. |
| Result orientation: | Organization theories. Efficiency principles. Effectiveness principles. |
| Element of Competence | Knowledge Involved |
|---|---|
| Design: | Critical success factors and success criteria. Lessons learned. Benchmarking. Complexity. Project, program, and portfolio success. Project, program, and portfolio management success. Leadership styles. Strategies. Performance management. Organization project design rules and methodologies. Specific methodologies related to business and context. Organizational models. Theory of change. |
| Requirements, objectives, and benefits: | Expectations, needs and requirements. Fit for use, fit for purpose. Value management. Acceptance criteria. Benefits mapping. Goal analyses. Strategy setting. |
| Scope: | Configuration management. Hierarchical and non-hierarchical structures. Planning packages. Scope creep. Constraints. Work breakdown structure (WBS) and product breakdown structure (PBS). Work packages. |
| Time: | Planning types. Estimation methods. Levelling. Scheduling methods. Resource allocation. Network analyses. Baselines. Phases. Milestones. Fast modeling and prototyping. Spiral/iterative/agile development processes. |
| Organization and information: | Organizational models. Document management systems. Information and documentation systems. Information plans. Regulatory requirements. Information security. |
| Quality: | Validation and verification. Process quality management tools Product quality management. Cost of quality. Quality management standards Organizational quality analysis tools. Standard operating procedures. Policies implementation. Inspection methods and techniques. Risk-based testing. |
| Finance: | Financial accounting basics. Cost estimating methods. Cost calculation techniques. Design-to-cost/target costing. Processes and governance for cost management. Methods for monitoring and controlling expenditures. Performance indicators. Reporting standards. Forecasting methods. Financing options. Financial management concepts and terms. Relevant conventions, agreements, legislation, and regulations. |
| Resources: | Resource allocation methods. Resource assessment. Resource utilization calculations and collection techniques. Competence management. Procurement processes, supply, and demand concepts. Training. |
| Procurement and partnership: | Sourcing strategies. Make/buy analyses. Supplier development methodologies. Organizational procurement policies, procedures, and practices. Procurement methods. Contract types. Claim management processes, methods, and tools. Tender procedures and practices. Contractual judicial knowledge. Contractual terms and conditions. Supply chain management. |
| Plan and control: | Phase/stage transitions. Reporting. Project office. Deming cycle: plan-do-check-act. Requests for change. Management by objectives. Management by exception. Lessons learned reports. Phase/stage/sprint/release planning. Decisions to fund and make or buy. Exception reports. Issue reports. Project management plans. Project (phase) evaluation. Discharges. Decision making authorities. |
| Stakeholders: | Stakeholder interests. Stakeholder influences. Engagement strategies. Communication plans. Collaborative agreements and alliances. External environment scanning relating to contextual development. |
| Change and transformation: | Learning styles for individuals and organizations. Organizational change management theories. Impact of change on individuals. Personal change management techniques. Group dynamics. Impact analyses. Actor analyses. Motivation theories. Theories of change. |
References
- The Standish Group. Chaos Report 2015; The Standish Group: Boston, MA, USA, 2015. [Google Scholar]
- Varajão, J.; Domingues, C.E.; Ribeiro, P.; Paiva, A. Failures in software project management—Are we alone? A comparison with construction industry. J. Mod. Proj. Manag. 2014, 2, 22–27. [Google Scholar] [CrossRef]
- Bryde, D.J.; Volm, J.M. Perceptions of owners in German construction projects: Congruence with project risk theory. Constr. Manag. Econ. 2009, 27, 1059–1071. [Google Scholar] [CrossRef]
- Zhang, L.; Fan, W. Improving performance of construction projects. Eng. Constr. Archit. Manag. 2013, 20, 195–207. [Google Scholar] [CrossRef]
- Mahamid, I. Factors contributing to poor performance in construction projects: Studies of Saudi Arabia. Aust. J. Multi-Discip. Eng. 2016, 12, 27–38. [Google Scholar] [CrossRef]
- Oppong, G.D.; Chan, A.P.C.; Dansoh, A. A review of stakeholder management performance attributes in construction projects. Int. J. Proj. Manag. 2017, 35, 1037–1051. [Google Scholar] [CrossRef]
- Omar, H.; Mahdjoubi, L. Practical solutions for improving the suboptimal performance of construction projects using Dubai construction projects as an example. Eng. Constr. Archit. Manag. 2022. [Google Scholar] [CrossRef]
- Anaman, K.A.; Osei-Amponsah, C. Analysis of the causality links between the growth of the construction industry and the growth of the macro-economy in Ghana. Constr. Manag. Econ. 2007, 25, 951–961. [Google Scholar] [CrossRef]
- Choy, C.F. Revisiting the “Bon curve”. Constr. Manag. Econ. 2011, 29, 695–712. [Google Scholar] [CrossRef]
- Chiang, Y.H.; Tao, L.; Wong, F.K.W. Causal relationship between construction activities, employment and GDP: The case of Hong Kong. Habitat Int. 2015, 46, 1–12. [Google Scholar] [CrossRef]
- Escavy, J.I.; Herrero, M.J.; Trigos, L.; Sanz-Pérez, E. Demographic vs economic variables in the modelling and forecasting of the demand of aggregates: The case of the Spanish market (1995–2016). Resour. Policy 2020, 65, 101537. [Google Scholar] [CrossRef]
- Leviäkangas, P.; Mok-Paik, S.; Moon, S. Keeping up with the pace of digitization: The case of the Australian construction industry. Technol. Soc. 2017, 50, 33–43. [Google Scholar] [CrossRef]
- Demirkesen, S.; Ozorhon, B. Measuring Project Management Performance: Case of Construction Industry. Eng. Manag. J. 2017, 29, 258–277. [Google Scholar] [CrossRef]
- Dixit, S.; Sharma, K. An Empirical Study of Major Factors Affecting Productivity of Construction Projects. In Emerging Trends in Civil Engineering. Lecture Notes in Civil Engineering; Springer: Cham, Switzerland, 2020; Volume 61, pp. 121–129. ISBN 978-9811514043. [Google Scholar]
- García de Soto, B.; Agustí-Juan, I.; Joss, S.; Hunhevicz, J. Implications of Construction 4.0 to the workforce and organizational structures. Int. J. Constr. Manag. 2019, 22, 205–217. [Google Scholar] [CrossRef]
- Kifokeris, D.; Xenidis, Y. Constructability: Outline of Past, Present, and Future Research. J. Constr. Eng. Manag. 2017, 143, 04017035. [Google Scholar] [CrossRef]
- Collins, W.; Parrish, K.; Gibson, G.E. Development of a Project Scope Definition and Assessment Tool for Small Industrial Construction Projects. J. Manag. Eng. 2017, 33, 04017015. [Google Scholar] [CrossRef]
- Tavakolan, M.; Etemadinia, H. Fuzzy Weighted Interpretive Structural Modeling: Improved Method for Identification of Risk Interactions in Construction Projects. J. Constr. Eng. Manag. 2017, 143, 04017084. [Google Scholar] [CrossRef]
- Lepanjuuri, K.; Humphrey, A. Survey of Employment by Occupation in the Construction Industry; NatCen Social Research: London, UK, 2016. [Google Scholar]
- Cerezo-Narváez, A.; Pastor-Fernández, A.; Otero-Mateo, M.; Ballesteros-Pérez, P. The Relationship between Building Agents in the Context of Integrated Project Management: A Prospective Analysis. Buildings 2021, 11, 184. [Google Scholar] [CrossRef]
- Luo, L.; He, Q.; Jaselskis, E.J.; Xie, J. Construction Project Complexity: Research Trends and Implications. J. Constr. Eng. Manag. 2017, 143, 04017019. [Google Scholar] [CrossRef]
- Haaskjold, H.; Andersen, B.; Langlo, J.A. Dissecting the project anatomy: Understanding the cost of managing construction projects. Prod. Plan. Control 2021, 19, 1–22. [Google Scholar] [CrossRef]
- Afzal, F.; Yunfei, S.; Nazir, M.; Bhatti, S.M. A review of artificial intelligence based risk assessment methods for capturing complexity-risk interdependencies. Int. J. Manag. Proj. Bus. 2019, 14, 300–328. [Google Scholar] [CrossRef]
- Nguyen, T.S.; Mohamed, S.; Mostafa, S. Project stakeholder’s engagement and performance: A comparison between complex and non-complex projects using SEM. Built Environ. Proj. Asset Manag. 2021, 11, 804–818. [Google Scholar] [CrossRef]
- Cerezo-Narváez, A.; Otero-Mateo, M.; Pastor-Fernández, A. Influence of scope management in construction industry projects. DYNA Manag. 2016, 4, 1–15. [Google Scholar] [CrossRef]
- Cerezo-Narváez, A.; Otero-Mateo, M.; Pastor-Fernández, A. From Requirements Agreement to Changes Integration: Keys for Not Failing in Construction Projects. DYNA Ing. E Ind. 2017, 92, 254. [Google Scholar] [CrossRef]
- Cerezo-Narváez, A.; Pastor-Fernández, A.; Otero-Mateo, M.; Ballesteros-Pérez, P. Integration of cost and work breakdown structures in the management of construction projects. Appl. Sci. 2020, 10, 1386. [Google Scholar] [CrossRef]
- Baccarini, D. The concept of project complexity: A review. Int. J. Proj. Manag. 1996, 14, 201–204. [Google Scholar] [CrossRef]
- Zegarra, O.; Alarcón, L.F. Coordination of teams, meetings, and managerial processes in construction projects: Using a lean and complex adaptive mechanism. Prod. Plan. Control 2019, 30, 736–763. [Google Scholar] [CrossRef]
- Thamhain, H. Managing Risks in Complex Projects. Proj. Manag. J. 2013, 44, 20–35. [Google Scholar] [CrossRef]
- Oehmen, J.; Olechowski, A.; Robert Kenley, C.; Ben-Daya, M. Analysis of the effect of risk management practices on the performance of new product development programs. Technovation 2014, 34, 441–453. [Google Scholar] [CrossRef]
- Saunders, F.C.; Gale, A.W.; Sherry, A.H. Responding to project uncertainty: Evidence for high reliability practices in large-scale safety–critical projects. Int. J. Proj. Manag. 2016, 34, 1252–1265. [Google Scholar] [CrossRef]
- Kwok, H.C.A.; Then, D.; Skitmore, M. Risk Management in Singapore Construction Joint Ventures. J. Constr. Res. 2000, 1, 139–149. [Google Scholar]
- Zhang, X. Critical Success Factors for Public–Private Partnerships in Infrastructure Development. J. Constr. Eng. Manag. 2005, 131, 3–14. [Google Scholar] [CrossRef]
- Zwikael, O.; Globerson, S. From Critical Success Factors to Critical Success Processes. Int. J. Prod. Res. 2006, 44, 3433–3449. [Google Scholar] [CrossRef]
- Lu, W.; Shen, L.; Yam, M.C. Critical Success Factors for Competitiveness of Contractors: China Study. J. Constr. Eng. Manag. 2008, 134, 972–982. [Google Scholar] [CrossRef]
- Ogwueleka, A. The critical success factors influencing project performance in Nigeria. Int. J. Manag. Sci. Eng. Manag. 2011, 6, 343–349. [Google Scholar] [CrossRef]
- Rabechini-Junior, R.; Monteiro-de-Carvalho, M. Understanding the Impact of Project Risk Management on Project Performance: An Empirical Study. J. Technol. Manag. Innov. 2013, 8, 11–12. [Google Scholar] [CrossRef]
- Tsiga, Z.; Emes, M.; Smith, A. Critical success factors for projects in the petroleum industry. Procedia Comput. Sci. 2017, 121, 224–231. [Google Scholar] [CrossRef]
- Doskočil, R.; Lacko, B. Risk Management and Knowledge Management as Critical Success Factors of Sustainability Projects. Sustainability 2018, 10, 1438. [Google Scholar] [CrossRef]
- Dyson, T. A revolution in military learning? Cross-functional teams and knowledge transformation by lessons-learned processes. Eur. Secur. 2020, 29, 483–505. [Google Scholar] [CrossRef]
- Tan, W. Knowledge management in the construction industry: The strategy of Singapore. Int. J. Constr. Manag. 2015, 15, 10–16. [Google Scholar] [CrossRef]
- Cerezo-Narváez, A.; de los Ríos Carmenado, I.; Pastor-Fernández, A.; Yagüe Blanco, J.; Otero-Mateo, M. Project Management Competences by Teaching and Research Staff for the Sustained Success of Engineering Education. Educ. Sci. 2019, 9, 44. [Google Scholar] [CrossRef]
- Geraldi, J.; Maylor, H.; Williams, T. Now, let’s make it really complex (complicated). Int. J. Oper. Prod. Manag. 2011, 31, 966–990. [Google Scholar] [CrossRef]
- Remington, K.; Pollack, J. Tools for complex projects. In Aspects of Complexity: Managing Projects in a Complex World; Cooke-Davies, T., Crawford, L., Patton, J.R., Stevens, C., Williams, T.M., Eds.; Project Management Institute: Newtown Square, PA, USA, 2011; pp. 29–40. ISBN 978-1935589303. [Google Scholar]
- Lu, Y.; Luo, L.; Wang, H.; Le, Y.; Shi, Q. Measurement model of project complexity for large-scale projects from task and organization perspective. Int. J. Proj. Manag. 2015, 33, 610–622. [Google Scholar] [CrossRef]
- ISO 9004; Quality Management—Quality of an Organization—Guidance to Achieve Sustained Success. International Organization for Standardization: Geneva, Switzerland, 2018.
- ISO 21502:2020; Project, Programme and Portfolio Management—Guidance on Project Management. International Organization for Standardization: Geneva, Switzerland, 2020.
- Pirozzi, M. The Stakeholder Perspective: Relationship Management to Increase Value and Success Rates of Projects; CRC Press: Boca Raton, FL, USA, 2020; ISBN 978-0367184766. [Google Scholar]
- Khallaf, R.; Naderpajouh, N.; Hastak, M. A systematic approach to develop risk registry frameworks for complex projects. Built Environ. Proj. Asset Manag. 2018, 8, 334–347. [Google Scholar] [CrossRef]
- Cederling, U.; Ekinge, R.; Lennartsson, B.; Taxen, L.; Wedlund, T. A project management model based on shared understanding. In Proceedings of the 33rd Annual Hawaii International Conference on System Sciences, Maui, HI, USA, 7 January 2000; IEEE: Maui, HI, USA, 2000; Volume 1, p. 10. [Google Scholar]
- Procca, A.E. Development of a Project Management Model for a Government Research and Development Organization. Proj. Manag. J. 2008, 39, 33–57. [Google Scholar] [CrossRef]
- Rivera, A.; Kashiwagi, D. Creating a New Project Management Model through Research. Procedia Eng. 2016, 145, 1370–1377. [Google Scholar] [CrossRef]
- Miguel, A.; Madria, W.; Polancos, R. Project Management Model: Integrating Earned Schedule, Quality, and Risk in Earned Value Management. In Proceedings of the 2019 IEEE 6th International Conference on Industrial Engineering and Applications (ICIEA), Tokyo, Japan, 26–29 April 2019; pp. 622–628. [Google Scholar]
- Lalmi, A.; Fernandes, G.; Souad, S.B. A conceptual hybrid project management model for construction projects. Procedia Comput. Sci. 2021, 181, 921–930. [Google Scholar] [CrossRef]
- Spender, J. Getting value from knowledge management. TQM Mag. 2006, 18, 238–254. [Google Scholar] [CrossRef]
- Li, J.; Sun, M.; Han, D.; Wu, X.; Yang, B.; Mao, X.; Zhou, Q. A governance platform for multi-project management in shipyards. Comput. Ind. Eng. 2018, 120, 179–191. [Google Scholar] [CrossRef]
- Guertler, M.R.; Sick, N. Exploring the enabling effects of project management for SMEs in adopting open innovation—A framework for partner search and selection in open innovation projects. Int. J. Proj. Manag. 2021, 39, 102–114. [Google Scholar] [CrossRef]
- De Marco, A.; Mangano, G.; Magistris, P. De Evaluation of Project Management Practices in the Automotive Original Equipment Manufacturers. Procedia Comput. Sci. 2021, 181, 310–324. [Google Scholar] [CrossRef]
- Cabeças, A.; Marques da Silva, M. Project Management in the Fourth Industrial Revolution. Techno Rev. Int. Technol. Sci. Soc. Rev. 2021, 9, 79–96. [Google Scholar] [CrossRef]
- Munro, L.T.; Ika, L. Guided by the beauty of our weapons: Comparing project management standards inside and outside international development. Dev. Pract. 2020, 30, 934–952. [Google Scholar] [CrossRef]
- Zhang, Y.; Liu, S.; Tan, J.; Jiang, G.; Zhu, Q. Effects of risks on the performance of business process outsourcing projects: The moderating roles of knowledge management capabilities. Int. J. Proj. Manag. 2018, 36, 627–639. [Google Scholar] [CrossRef]
- Manab, N.A.; Aziz, N.A.A. Integrating knowledge management in sustainability risk management practices for company survival. Manag. Sci. Lett. 2019, 9, 585–594. [Google Scholar] [CrossRef]
- Durst, S.; Zieba, M. Mapping knowledge risks: Towards a better understanding of knowledge management. Knowl. Manag. Res. Pract. 2019, 17, 1–13. [Google Scholar] [CrossRef]
- Sellke, P.; Renn, O. Risk, Society and Environmental Policy: Risk Governance in a Complex World. In Environmental Sociology; Springer: Dordrecht, The Netherlands, 2010; pp. 295–321. [Google Scholar]
- Duy Nguyen, L.; Ogunlana, S.O.; Thi Xuan Lan, D. A study on project success factors in large construction projects in Vietnam. Eng. Constr. Archit. Manag. 2004, 11, 404–413. [Google Scholar] [CrossRef]
- Urbański, M.; Haque, A.U.; Oino, I. The moderating role of risk management in project planning and project success: Evidence from construction businesses of Pakistan and the UK. Eng. Manag. Prod. Serv. 2019, 11, 23–35. [Google Scholar] [CrossRef]
- Serpella, A.F.; Ferrada, X.; Howard, R.; Rubio, L. Risk management in construction projects: A Knowledge-based approach. Procedia-Soc. Behav. Sci. 2014, 119, 653–662. [Google Scholar] [CrossRef]
- Hillson, D. Capturing Upside Risk: Finding and Managing Opportunities in Projects; CRC Press: Boca Raton, FL, USA, 2019; ISBN 978-0815382515. [Google Scholar]
- Rehacek, P. Risk management standards for project management. Int. J. Adv. Appl. Sci. 2017, 4, 1–13. [Google Scholar] [CrossRef]
- Kutsch, E.; Hall, M. Deliberate ignorance in project risk management. Int. J. Proj. Manag. 2010, 28, 245–255. [Google Scholar] [CrossRef]
- NS 5814; Requirements for Risk Assessment. Norsk Standard: Oslo, Norway, 1991.
- AS/NZS 4360; Risk Management. Standards Australia: Homebush, Australia, 1995; ISBN 978-0733701474.
- BS 8444-3; Risk management—Part 3. Guide to Risk Analysis of Technological Systems. British Standards Institution: London, UK, 1996; ISBN 978-0580261107.
- Simon, P.; Hillson, D.; Newland, K. PRAM Project Risk Analysis and Management Guide; Association for Project Management: Buckinghamshire, UK, 1997; ISBN 978-0953159000. [Google Scholar]
- CAN/CSA-Q850-97; Risk Management. Guideline for Decision-Makers. Canadian Standards Association: Etobicoke, ON, Canada, 1997.
- BS 6079-3; Project Management—Part 3. Guide to the Management of Business Related Project Risk. British Standards Institution: London, UK, 2000; ISBN 978-0580331220.
- JIS Q 2001; Guidelines for Development and Implementation of Risk Management System. Japanese Standards Association: Tokyo, Japan, 2001; ISBN 978-4542301757.
- BS IEC 62198; Project Risk Management. Application Guidelines. British Standards Institution: London, UK, 2001; ISBN 978-0580390197.
- ANSI/IEEE 1540; Standard for Software Life Cycle Processes—Risk Management. Institute of Electrical and Electronics Engineers: New York, NY, USA, 2001; ISBN 978-0738128351.
- BSI/PD ISO/IEC Guide 73; Guide 73 Risk Management—Vocabulary. Guidelines for Use in Standards. British Standards Institution: London, UK, 2002; ISBN 978-0580401787.
- IRM; Risk Management Standard. Institute of Risk Management: London, UK, 2002.
- ONR 49000 2004; Risk Management for Organizations and Systems. Concepts and Foundations. 1st ed. Austrian Standards Institute: Viena, Austria, 2004.
- COSO ERM; Enterprise Risk Management. Integrated Framework. 1st ed. Committee of Sponsoring Organizations of the Treadway Commission: New York, NY, USA, 2004.
- ISO/IEC 16085; Systems and Software Engineering—Life Cycle Processes—RISK Management. International Organization for Standardization: Geneva, Switzerland, 2006.
- BS 31100; Risk Management. Code of Practice. 1st ed. British Standards Institution: London, UK, 2008; ISBN 978-0580649080.
- ISO 31000; Risk Management. Principles and Guidelines. 1st ed. International Organization for Standardization: Geneva, Switzerland, 2009.
- ISO/IEC 31010; Risk Management. Risk Assessment Techniques. 1st ed. International Organization for Standardization: Geneva, Switzerland, 2009.
- Rosenfeld, Y. Cost of quality versus cost of non-quality in construction: The crucial balance. Constr. Manag. Econ. 2009, 27, 107–117. [Google Scholar] [CrossRef]
- Ahiaga-Dagbui, D.D.; Tokede, O.; Morrison, J.; Chirnside, A. Building high-performing and integrated project teams. Eng. Constr. Archit. Manag. 2020, 27, 3341–3361. [Google Scholar] [CrossRef]
- Rehacek, P. Application and usage of the standards for project management and their comparison. J. Eng. Appl. Sci. 2017, 12, 994–1002. [Google Scholar] [CrossRef]
- Sanjuan, A.G.; Froese, T. The application of project management standards and success factors to the development of a project management assessment tool. Procedia-Soc. Behav. Sci. 2013, 74, 91–100. [Google Scholar] [CrossRef]
- Anton, S.G.; Nucu, A.E.A. Enterprise Risk Management: A Literature Review and Agenda for Future Research. J. Risk Financ. Manag. 2020, 13, 281. [Google Scholar] [CrossRef]
- Ferreira de Araújo Lima, P.; Crema, M.; Verbano, C. Risk management in SMEs: A systematic literature review and future directions. Eur. Manag. J. 2020, 38, 78–94. [Google Scholar] [CrossRef]
- Micán, C.; Fernandes, G.; Araújo, M. Project portfolio risk management: A structured literature review with future directions for research. Int. J. Inf. Syst. Proj. Manag. 2021, 8, 67–84. [Google Scholar] [CrossRef]
- Sharma, S.; Gupta, A.K. Risk Identification and Management in Construction Projects: Literature Review. Int. J. Humanit. Arts Soc. Sci. 2019, 5, 224–231. [Google Scholar] [CrossRef]
- Choi, Y.; Ye, X.; Zhao, L.; Luo, A.C. Optimizing enterprise risk management: A literature review and critical analysis of the work of Wu and Olson. Ann. Oper. Res. 2016, 237, 281–300. [Google Scholar] [CrossRef]
- Haimes, Y.Y. Total risk management. Risk Anal. 1991, 11, 169–171. [Google Scholar] [CrossRef]
- Schatteman, D.; Herroelen, W.; Van de Vonder, S.; Boone, A. Methodology for integrated risk management and proactive scheduling of construction projects. J. Constr. Eng. Manag. 2008, 134, 885–893. [Google Scholar] [CrossRef]
- Davies, D.; Bain Hogg, A. Risk management. Comput. Law Secur. Rev. 1997, 13, 336–339. [Google Scholar] [CrossRef]
- Dickinson, G. Enterprise Risk Management: Its Origins and Conceptual Foundation. Geneva Pap. Risk Insur.-Issues Pract. 2001, 26, 360–366. [Google Scholar] [CrossRef]
- Ngai, E.W.T.; Moon, K.K.; Lam, S.S.; Chin, E.S.K.; Tao, S.S.C. Social media models, technologies, and applications. Ind. Manag. Data Syst. 2015, 115, 769–802. [Google Scholar] [CrossRef]
- Hanisch, B.; Lindner, F.; Mueller, A.; Wald, A. Knowledge management in project environments. J. Knowl. Manag. 2009, 13, 148–160. [Google Scholar] [CrossRef]
- Álvarez Álvarez, M.J.; Castro Rojas, M.; Peña Guarin, G. Knowledge management: A perspective from quality management and document management. SIGNOS—Investig. Sist. Gestión 2015, 5, 101. [Google Scholar] [CrossRef]
- Donate, M.J.; Guadamillas, F. Knowledge management strategy and innovative posture in Castilla-La Mancha companies. An exploratory study. Eur. Res. Manag. Bus. Econ. 2010, 16, 31–54. [Google Scholar] [CrossRef][Green Version]
- Mohamad, A.A.; Ramayah, T.; Lo, M.C. Sustainable Knowledge Management and Firm Innovativeness: The Contingent Role of Innovative Culture. Sustainability 2020, 12, 6910. [Google Scholar] [CrossRef]
- Sánchez, M. Brief inventory of models for knowledge management in organizations. Comput. Sci. 2005, 13, 1–18. [Google Scholar]
- Cerezo-Narváez, A.; Pastor-Fernández, A.; Otero-Mateo, M.; Ballesteros-Pérez, P.; Rodríguez-Pecci, F. Knowledge as an Organizational Asset for Managing Complex Projects: The Case of Naval Platforms. Sustainability 2021, 13, 885. [Google Scholar] [CrossRef]
- Collison, C.; Parcell, G. Learning to Fly: Practical Lessons from One of the World’s Leading Knowledge Companies; Wiley: Hoboken, NJ, USA, 2001; ISBN 978-1841121246. [Google Scholar]
- Magnier-Watanabe, R.; Benton, C. Management innovation and firm performance: The mediating effects of tacit and explicit knowledge. Knowl. Manag. Res. Pract. 2017, 15, 325–335. [Google Scholar] [CrossRef]
- Cairó, O.; Bork, D. Tacit to explicit knowledge conversion. Cogn. Process. 2017, 18, 461–477. [Google Scholar] [CrossRef]
- Alvarenga, A.; Matos, F.; Godina, R.; CO Matias, J. Digital Transformation and Knowledge Management in the Public Sector. Sustainability 2020, 12, 5824. [Google Scholar] [CrossRef]
- Barragán, A. An approach to taxonomy of knowledge management models. Intang. Cap. 2009, 5, 65–101. [Google Scholar] [CrossRef][Green Version]
- Tang, H.; Ma, Z.; Xiao, J.; Xiao, L. Toward a more Efficient Knowledge Network in Innovation Ecosystems: A Simulated Study on Knowledge Management. Sustainability 2020, 12, 6328. [Google Scholar] [CrossRef]
- Valmohammadi, C.; Sofiyabadi, J.; Kolahi, B. How do Knowledge Management Practices Affect Sustainable Balanced Performance? Mediating Role of Innovation Practices. Sustainability 2019, 11, 5129. [Google Scholar] [CrossRef]
- Viswanathan, S.K.; Tripathi, K.K.; Jha, K.N. Influence of risk mitigation measures on international construction project success criteria—A survey of Indian experiences. Constr. Manag. Econ. 2020, 38, 207–222. [Google Scholar] [CrossRef]
- Ekemen, M.A.; Şeşen, H. Dataset on social capital and knowledge integration in project management. Data Br. 2020, 29, 105233. [Google Scholar] [CrossRef]
- Hernández, Y.; Vargas, G. Toward the construction of emerging knowledge for local risk management. Geogr. Quad. 2015, 24, 15–34. [Google Scholar] [CrossRef]
- UNE 412001; Practical Guidance on Knowledge Management. Spanish Association for Standardisation and Certification: Madrid, Spain, 2008.
- Wiig, K.M. Knowledge Management Foundations: Thinking about Thinking: How People and Organizations Create, Represent and Use Knowledge; Schema Press: Arlington, TX, USA, 1993; Volume 1, ISBN 978-0963892509. [Google Scholar]
- Nonaka, I.; Takeuchi, H. The Knowledge-Creating Company: How Japanese Companies Create the Dynamics of Innovation; Everyman’s library; Oxford University Press: Oxford, UK, 1995; ISBN 978-0195092691. [Google Scholar]
- Bustelo, C.; Amarilla, R. Knowledge management and information management. PH J. 2001, 34, 226–230. [Google Scholar] [CrossRef]
- Kaplan, R.S.; Norton, D.P. strategic learning & the balanced scorecard. Strateg. Leadersh. 1996, 24, 18–24. [Google Scholar] [CrossRef]
- Sveiby, K.E. The Intangible Assets Monitor. J. Hum. Resour. Costing Account. 1997, 2, 73–97. [Google Scholar] [CrossRef]
- Arellano, F. Development of strategic model for assimilation, utilization and knowledge transfer in oil organizations. In Proceedings of the XVIII International Congress of Accounting, Administration and Informatics; National Association of Accounting and Management Faculties and Schools, Mexico City, Mexico, 2–4 October 2013; pp. 1–16. [Google Scholar]
- Kerschberg, L. Knowledge Management in Heterogeneous Data Warehouse Environments. In XXIII Systems Engineering Workshop; Springer: Berlin/Heidelberg, Germany, 2001; pp. 1–10. [Google Scholar]
- Tejedor, B.; Aguirre, A. Logos Project: Research on the learning capacity of Spanish companies. Econ. Stud. Bull. 1998, 53, 231–249. [Google Scholar]
- Edvinsson, L.; Malone, M.S. Intellectual Capital: The Proven Way to Establish Your Company’s Real Value by Measuring Its Hidden Brainpower; Piatkus: London, UK, 1998; ISBN 978-0749918507. [Google Scholar]
- De Jager, M. The KMAT: Benchmarking knowledge management. Libr. Manag. 1999, 20, 367–372. [Google Scholar] [CrossRef]
- Dutta, S.; De Meyer, A. Knowledge Management at Arthur Andersen (Denmark). In Knowledge Management and Business Model Innovation; IGI Global: Hershey, PA, USA, 2001; pp. 384–401. ISBN 978-1878289988. [Google Scholar]
- Bueno, E.; del Real, H.; Fernández, P.; Longo, M.; Merino, C.; Murcia, C.; Salmador, M.P. Model for the Measurement and Management of Intellectual Capital: The Intellectus Model; CIC-IADE: Madrid, Spain, 2011. [Google Scholar]
- Galbraith, J.R. The STAR Model; Galbraith Management Consultants: Denver, CO, USA, 2012. [Google Scholar]
- Goñi Zabala, J.J. Model and Management of Innovation Capital in Companies; University of Navarra: Pamplona, Spain, 2001. [Google Scholar]
- Bueno, E. Main approaches and trends in knowledge management. In Knowledge Management: Theoretical Developments and Applications; La Coria: Trujillo, Spain, 2003; pp. 21–54. ISBN 978-8488611277. [Google Scholar]
- McElroy, M.W. Second-generation knowledge management. In The New Knowledge Management. Complexity, Learning, and Sustainable Innovation; Routledge: London, UK, 2003; pp. 3–32. ISBN 978-0750676083. [Google Scholar]
- Riesco, M. Knowledge Management in Business Environments. “Integrated-Situational Model” from a Social and Technological Perspective; Pontifical University of Salamanca: Salamanca, Spain, 2004. [Google Scholar]
- Jashapara, A. Knowledge Management. An Integrated Approach; Polskie Wydawnictwo Ekonomiczne: Warsaw, Poland, 2006; ISBN 978-8320816310. [Google Scholar]
- Angulo, E.; Negrón, M. Holistic Model for knowledge management. Sci. E-J. Manag. Sci. 2008, 11, 38–51. [Google Scholar]
- Oztemel, E.; Arslankaya, S.; KorkusuzPolat, T. Enterprise knowledge management model (EKMM) in strategic enterprise resource management (SERM). Procedia-Soc. Behav. Sci. 2011, 24, 870–879. [Google Scholar] [CrossRef]
- Pawlowsky, P.; Schmid, S. Interrelations between strategic orientation, knowledge management, innovation and performance. Empirical findings from a national survey in Germany. Int. J. Knowl. Manag. Stud. 2012, 5, 185. [Google Scholar] [CrossRef]
- Krenz, P.; Basmer, S.-V.; Buxbaum-Conradi, S.; Wulfsberg, J.P. Hamburg Model of Knowledge Management. In Enabling Manufacturing Competitiveness and Economic Sustainability; Springer: Cham, Switzerland, 2014; pp. 389–394. [Google Scholar]
- Sztangret, I. Holistic model of marketing knowledge management in the case of IT products. Logistyka 2015, 2, 1593–1601. [Google Scholar]
- Cahyaningsih, E.; Sensuse, D.I.; Arymurthy, A.M.; Wibowo, W.C. NUSANTARA: A New Model of Knowledge Management in Government Human Capital Management. Procedia Comput. Sci. 2017, 124, 61–68. [Google Scholar] [CrossRef]
- Hillson, D. Managing overall project risk. In PMI Global Congress 2014—EMEA; Project Management Institute: Dubai, United Arab Emirates, 2014. [Google Scholar]
- PMI. The Standard for Risk Management in Portfolios, Programs, and Projects; Project Management Institute: Newtown Square, PA, USA, 2019; ISBN 978-1628255652. [Google Scholar]
- Jensen, A.F.; Thuesen, C.; Geraldi, J. The projectification of everything: Projects as a human condition. Proj. Manag. J. 2016, 47, 21–34. [Google Scholar] [CrossRef]
- Schoper, Y.-G.; Wald, A.; Ingason, H.T.; Fridgeirsson, T.V. Projectification in Western economies: A comparative study of Germany, Norway and Iceland. Int. J. Proj. Manag. 2018, 36, 71–82. [Google Scholar] [CrossRef]
- Lundin, R.A.; Arvidsson, N.; Brady, T.; Ekstedt, E.; Midler, C.; Sydow, J. Managing and Working in Project Society. Institutional Challenges of Temporary Organizations; Cambridge University Press: Cambridge, UK, 2015; ISBN 978-1107077652. [Google Scholar]
- ICB. Individual Competence Baseline for Project, Programme & Portfolio Management, 4th ed.; IPMA: Zurich, Switzerland, 2015; ISBN 978-9492338013. [Google Scholar]
- OCB. Organisational Competence Baseline for Developing Competence in Managing by Projects, 1st ed.; IPMA: Zurich, Switzerland, 2016; ISBN 978-9492338068. [Google Scholar]
- PEB. Project Excellence Baseline for Achieving Excellence in Projects and Programmes, 1st ed.; IPMA: Zurich, Switzerland, 2016; ISBN 978-9492338051. [Google Scholar]
- PMCDF. Project Manager Competency Development Framework, 3rd ed.; Project Management Institute: Newtown Square, PA, USA, 2017; ISBN 978-1628250916. [Google Scholar]
- PMI. Implementing Organizational Project Management: A Practice Guide; PMI: Newtown Square, PA, USA, 2014; ISBN 978-1628250350. [Google Scholar]
- PMI. A Guide to the Project Management Body of Knowledge, 6th ed.; Project Management Institute: Newtown Square, PA, USA, 2017; ISBN 978-1628251845. [Google Scholar]
- EU. The PM2 Project Management Methodology Guide, 1st ed.; Publications Office of the European Union: Luxembourg, 2016; ISBN 978-9279638725. [Google Scholar]
- PMI. PMI’s Pulse of the Profession® In-Depth Report: The Competitive Advantage of Effective Talent Management; Project Management Institute: Newtown Square, PA, USA, 2013. [Google Scholar]
- Vukomanović, M.; Young, M.; Huynink, S. IPMA ICB 4.0: A global standard for project, programme and portfolio management competences. Int. J. Proj. Manag. 2016, 34, 1703–1705. [Google Scholar] [CrossRef]
- Chipulu, M.; Neoh, J.G.; Ojiako, U.; Williams, T. A multidimensional analysis of project manager competences. IEEE Trans. Eng. Manag. 2013, 60, 506–517. [Google Scholar] [CrossRef]
- Jugdev, K.; Thomas, J.; Delisle, C.L. Rethinking project management—Old truths and new insights. Int. Proj. Manag. J. 2001, 7, 36–43. [Google Scholar]
- Ojiako, U.; Chipulu, M.; Ashleigh, M.; Williams, T. Project management learning: Key dimensions and saliency from student experiences. Int. J. Proj. Manag. 2014, 32, 1445–1458. [Google Scholar] [CrossRef]
- Ojiako, U.; Chipulu, M.; Marshall, A.; Ashleigh, M.J.; Williams, T. Project management learning: A comparative study between engineering students’ experiences in South Africa and the United Kingdom. Proj. Manag. J. 2015, 46, 47–62. [Google Scholar] [CrossRef]
- Cerezo-Narváez, A.; Ceca, M.J.B.; Blanco, J.L.Y. Traceability of Intra- and Interpersonal Skills: From Education to Labor Market. In Human Capital and Competences in Project Management; Otero-Mateo, M., Pastor-Fernández, A., Eds.; InTech: Rijeka, Croatia, 2018; pp. 87–110. ISBN 978-9535137870. [Google Scholar]
- Strang, K. Achieving organizational learning across projects. In PMI® Global Congress 2003—North America; PMI: Baltimore, MD, USA, 2003; p. 10. [Google Scholar]
- Pant, I.; Baroudi, B. Project management education: The human skills imperative. Int. J. Proj. Manag. 2008, 26, 124–128. [Google Scholar] [CrossRef]
- Awan, M.H.; Ahmed, K.; Zulqarnain, W. Impact of project manager’s soft leadership skills on project success. J. Poverty Invest. Dev. 2015, 8, 27–47. [Google Scholar]
- Kandelousi, N.S.; Ooi, J.; Abdollahi, A. Key success factors for managing projects. Int. Sch. Sci. Res. Innov. 2011, 5, 1185–1189. [Google Scholar]
- Cousillas, S.M.; Rodríguez, V.; Villanueva, J.M.; Álvarez, J.V. Análisis de factores de éxito y causas de fracaso en proyectos: Detección de patrones de comportamiento mediante técnicas de clustering. In Proceedings of the 17th International Congress on Project Management and Engineering, Logroño, Spain, 21–23 April 2021; pp. 190–202. [Google Scholar]
- Camilleri, E. Project Sucess: Critical Factors and Behavoiurs, 1st ed.; Gower Publishing: Burlington, VT, USA, 2011; ISBN 978-0566092282. [Google Scholar]
- Omidvar, G.; Samad, Z.A.; Alias, A. A framework for job-related competencies required for project managers. Int. J. Res. Manag. Technol. 2014, 4, 1–10. [Google Scholar]
- Takey, S.M.; de Carvalho, M.M. Competency mapping in project management: An action research study in an engineering company. Int. J. Proj. Manag. 2015, 33, 784–796. [Google Scholar] [CrossRef]
- Müller, R.; Geraldi, J.; Turner, J.R. Relationships between leadership and success in different types of project complexities. IEEE Trans. Eng. Manag. 2012, 59, 77–90. [Google Scholar] [CrossRef]
- Cicmil, S.; Cooke-Davies, T.; Crawford, L.; Richardson, K. Exploring the Complexity of Projects: Implications of Complexity Theory for Project Management Practice; Project Management Institute: Newtown Square, PA, USA, 2009; ISBN 978-1933890951. [Google Scholar]
- Cooke-Davies, T. Complexity in project management and the management of complex crojects. In Aspects of Complexity: Managing Projects in a Complex World; Cooke-Davies, T., Crawford, L., Patton, J.R., Stevens, C., Williams, T.M., Eds.; Project Management Institute: Newtown Square, PA, USA, 2011; pp. 1–13. ISBN 978-1935589303. [Google Scholar]
- Project Management Institute. A Guide to the Project Management Body of Knowledge. PMBOK Guide, 7th ed.; PMI: Newtown Square, PA, USA, 2021; ISBN 978-1628256642. [Google Scholar]
- Cheng, M.I.; Dainty, A.R.J.; Moore, D.R. What makes a good project manager? Hum. Resour. Manag. J. 2005, 15, 25–37. [Google Scholar] [CrossRef]
- Crawford, L. Senior management perceptions of project management competence. Int. J. Proj. Manag. 2005, 23, 7–16. [Google Scholar] [CrossRef]
- Le Deist, F.D.; Winterton, J. What is competence? Hum. Resour. Dev. Int. 2005, 8, 27–46. [Google Scholar] [CrossRef]
- Binkley, M.; Erstad, O.; Herman, J.; Raizen, S.; Ripley, M. Defining 21st Century Skills. Draft White Paper 1; The University of Melbourne: Melbourne, Australia, 2010. [Google Scholar]
- Onisk, M. Is Measuring Soft-Skills Training Really Possible? Appcon: Sidney, Australia, 2011. [Google Scholar]
- Omidvar, G.; Jaryani, F.; Samad, Z.B.A.; Zafarghandi, S.F.; Nasab, S.S. A proposed framework for project managers’ competencies and role of e-portfolio to meet these competencies. Int. J. E-Educ. E-Bus. E-Manag. E-Learn. 2011, 1, 311–321. [Google Scholar] [CrossRef]
- Teijeiro, M.; Rungo, P.; Freire, M.J. Graduate competencies and employability: The impact of matching firms’ needs and personal attainments. Econ. Educ. Rev. 2013, 34, 286–295. [Google Scholar] [CrossRef]
- Rehacek, P. Standards ISO 21500 and PMBoK Guide for Project Management. Int. J. Eng. Sci. Innov. Technol. 2014, 3, 288–295. [Google Scholar]
- Azim, S.; Gale, A.; Lawlor-Wright, T.; Kirkham, R.; Khan, A.; Alam, M. The importance of soft skills in complex projects. Int. J. Manag. Proj. Bus. 2010, 3, 387–401. [Google Scholar] [CrossRef]
- Ahern, T.; Leavy, B.; Byrne, P.J. Knowledge formation and learning in the management of projects: A problem solving perspective. Int. J. Proj. Manag. 2014, 32, 1423–1431. [Google Scholar] [CrossRef]
- Butler, A.G. Project management: A study in organizational conflict. Acad. Manag. J. 2012, 16, 84–101. [Google Scholar] [CrossRef]
- Apenko, S.N.; Klimenko, O.A. Differentiation criteria for strategic and non-strategic project and programmes. In Proceedings of the 12th International Scientific and Technical Conference on Computer Sciences and Information Technologies (CSIT), Lviv, Ukraine, 5–8 September 2017; pp. 52–57. [Google Scholar]
- Slavyanska, V. The project manager’s competencies as a basic factor influensing the team effectiveness. N. Knowl. J. Sci. 2017, 6, 17–28. [Google Scholar]
- Wagner, R. Organisational competence in project management—New perspectives on assessing and developing organisations. J. Proj. Progr. Portf. Manag. 2012, 3, 45–57. [Google Scholar] [CrossRef]
- Rietiker, S.; Wagner, R.; Cron, D.; Dierig, S. Organisationale Kompetenz—Eine neue Perspective für die Projektarbeit. GPM Dtsch. Ges. Proj. 2010, 21, 15–23. [Google Scholar]
- Swanigan, C.L. Examining the Factors of Leadership in Project Management: A Qualitative Multiple Case Study; University of Phoenix: Phoenix, AZ, USA, 2016. [Google Scholar]
- Kerzner, H. Project Management BEST Practices: Achieving Global Excellence, 4th ed.; John Wiley & Sons: New Jersey, NJ, USA, 2018; ISBN 978-1119468851. [Google Scholar]
- Grant, R.M. Prospering in dynamically-competitive environments: Organizational capability as knowledge integration. Organ. Sci. 1996, 7, 375–387. [Google Scholar] [CrossRef]
- Belassi, W.; Tukel, O.I. A new framework for determining critical success/failure factors in projects. Int. J. Proj. Manag. 1996, 14, 141–151. [Google Scholar] [CrossRef]
- Rockart, J.F. The changing role of the information systems executive: A critical success factors perspective. Sloan Manage. Rev. 1982, 24, 1–42. [Google Scholar]
- Kuen, C.W.; Zailani, S.; Fernando, Y. Critical factors influencing the project success amongst manufacturing companies in Malaysia. Afr. J. Bus. Manag. 2009, 3, 16–27. [Google Scholar]
- Shenhar, A.J.; Tishler, A.; Dvir, D.; Lipovetsky, S.; Lechler, T. Refining the search for project success factors: A multivariate, typological approach. R D Manag. 2002, 32, 111–126. [Google Scholar] [CrossRef]
- Bornmann, L.; Haunschild, R. Measuring field-normalized impact of papers on specific societal groups: An altmetrics study based on Mendeley Data. Res. Eval. 2017, 26, 230–241. [Google Scholar] [CrossRef]
- Kulatunga, U.; Amaratunga, D.; Haigh, R. Implementation of critical success factors in construction research and development process. Int. J. Eng. Sci. Technol. 2010, 2, 96–106. [Google Scholar] [CrossRef][Green Version]
- Otero Mateo, M.; Pastor Fernandez, A.; Portela Nuñez, J.M. el Éxito Sostenido Desde la Perspectiva de LA Dirección Y Gestión de Proyectos. DYNA Manag. 2014, 2, 9. [Google Scholar] [CrossRef]
- Lu, Y.; Liu, B.; Li, Y. Collaboration Networks and Bidding Competitiveness in Megaprojects. J. Manag. Eng. 2021, 37, 04021064. [Google Scholar] [CrossRef]
- Chen, Y.Q.; Zhang, Y.B.; Liu, J.Y.; Mo, P. Interrelationships among Critical Success Factors of construction projects based on the Structural Equation Model. J. Manag. Eng. 2012, 28, 243–251. [Google Scholar] [CrossRef]
- Norizam, A.; Malek, M.A. Developing critical success factors (CSFs) for effective construction management in Malaysia industry. Asian Soc. Sci. 2013, 9, 211–218. [Google Scholar] [CrossRef]
- Yong, Y.C.; Mustaffa, N.E. Critical success factors for Malaysian construction projects: An empirical assessment. Constr. Manag. Econ. 2013, 31, 959–978. [Google Scholar] [CrossRef]
- Alias, Z.; Zawawi, E.M.A.; Yusof, K.; Aris, N.M. Determining Critical Success Factors of Project Management Practice: A Conceptual Framework. Procedia—Soc. Behav. Sci. 2014, 153, 61–69. [Google Scholar] [CrossRef]
- Gudienė, N.; Banaitis, A.; Podvezko, V.; Banaitienė, N. Identification and evaluation of the critical success factors for construction projects in Lithuania: AHP approach. J. Civ. Eng. Manag. 2014, 20, 350–359. [Google Scholar] [CrossRef]
- Nilashi, M.; Zakaria, R.; Ibrahim, O.; Majid, M.Z.A.; Zin, R.M.; Farahmand, M. MCPCM: A DEMATEL-ANP-based multi-criteria decision-making approach to evaluate the critical success factors in construction projects. Arab. J. Sci. Eng. 2015, 40, 343–361. [Google Scholar] [CrossRef]
- Ngacho, C.; Das, D. A performance evaluation framework of construction projects: Insights from literature. Int. J. Proj. Organ. Manag. 2015, 7, 151. [Google Scholar] [CrossRef]
- Banihashemi, S.; Hosseini, M.R.; Golizadeh, H.; Sankaran, S. Critical success factors (CSFs) for integration of sustainability into construction project management practices in developing countries. Int. J. Proj. Manag. 2017, 35, 1103–1119. [Google Scholar] [CrossRef]
- Maghsoodi, A.I.; Khalilzadeh, M. Identification and evaluation of construction projects’ critical success factors employing fuzzy-TOPSIS approach. KSCE J. Civ. Eng. 2018, 22, 1593–1605. [Google Scholar] [CrossRef]
- Sohu, S.; Jhatial, A.A.; Ullah, K.; Lakhiar, M.T.; Shahzaib, J. Determining the critical success factors for highway construction projects in Pakistan. Eng. Technol. Appl. Sci. Res. 2018, 8, 2685–2688. [Google Scholar] [CrossRef]
- Kiani Mavi, R.; Standing, C. Critical success factors of sustainable project management in construction: A fuzzy DEMATEL-ANP approach. J. Clean. Prod. 2018, 194, 751–765. [Google Scholar] [CrossRef]
- Li, Y.; Song, H.; Sang, P.; Chen, P.-H.; Liu, X. Review of Critical Success Factors (CSFs) for green building projects. Build. Environ. 2019, 158, 182–191. [Google Scholar] [CrossRef]
- Pham, V.Q.; Nguyen, B.K.Q.; Van Tu, B.; Pham, H.T.T.; Le, T.Q. Critical success factors of project management: The case of construction related projects in Vietnam. J. Asian Financ. Econ. Bus. 2019, 6, 223–230. [Google Scholar] [CrossRef]
- Shayan, S.; Pyung Kim, K.; Tam, V.W.Y. Critical success factor analysis for effective risk management at the execution stage of a construction project. Int. J. Constr. Manag. 2022, 22, 379–386. [Google Scholar] [CrossRef]
- Wuni, I.Y.; Shen, G.Q. Critical success factors for modular integrated construction projects: A review. Build. Res. Inf. 2020, 48, 763–784. [Google Scholar] [CrossRef]
- Mathar, H.; Assaf, S.; Hassanain, M.A.; Abdallah, A.; Sayed, A.M.Z. Critical success factors for large building construction projects. Built Environ. Proj. Asset Manag. 2020, 10, 349–367. [Google Scholar] [CrossRef]
- Hooper, D.; Coughlan, J.; Mullen, M. Structural Equation Modelling: Guidelines for Determining Model Fit. Electron. J. Bus. Res. Methods 2008, 6, 53–60. [Google Scholar] [CrossRef]
- Smith, S.D.; Beausang, P.; Moriarty, D.; Campbell, J.M. Subjectivity in data extraction: A study based on construction hazard identification. In Proceedings of the 24th Annual Conference of the Association of Researchers in Construction Management, (ARCOM); Association of Researchers in Construction Management (ARCOM): Cardiff, UK, 2008; Volume 2, pp. 1065–1073. [Google Scholar]
- Xiong, B.; Skitmore, M.; Xia, B.; Masrom, M.A.; Ye, K.; Bridge, A. Examining the influence of participant performance factors on contractor satisfaction: A structural equation model. Int. J. Proj. Manag. 2014, 32, 482–491. [Google Scholar] [CrossRef]
- Cho, K.M.; Hong, T.H.; Hyun, C.T. Effect of project characteristics on project performance in construction projects based on structural equation model. Expert Syst. Appl. 2009, 36, 10461–10470. [Google Scholar] [CrossRef]
- Kline, R.B. Principles and Practice of Structural Equation Modeling, 3rd ed.; The Guilford Press: New York, NY, USA, 2011; ISBN 978-1606238776. [Google Scholar]
- Moshagen, M. The Model Size Effect in SEM: Inflated Goodness-of-Fit Statistics Are Due to the Size of the Covariance Matrix. Struct. Equ. Model. A Multidiscip. J. 2012, 19, 86–98. [Google Scholar] [CrossRef]
- George, D.; Mallery, P. SPSS for Windows Step-by-Step: A Simple Guide and Reference, 7th ed.; Routledge: Abingdon, UK, 2006; ISBN 978-0205515851. [Google Scholar]
- Hair Jr., J. F.; Black, W.C.; Babin, B.J.; Anderson, R.E. Multivariate Data Analysis, 7th ed.; Pearson Education Limited: Harlow, UK, 2014; ISBN 978-1292021904. [Google Scholar]
- Washington, S.P.; Karlaftis, M.G.; Mannering, F. Statistical and Econometric Methods for Transportation Data Analysis, 2nd ed.; CRC Press: Roca Raton, FL, USA, 2010; ISBN 978-1420082852. [Google Scholar]
- Wheaton, B.; Muthen, B.; Alwin, D.F.; Summers, G.F. Assessing Reliability and Stability in Panel Models. Sociol. Methodol. 1977, 8, 84–136. [Google Scholar] [CrossRef]
- Steiger, J.H. Understanding the limitations of global fit assessment in structural equation modeling. Pers. Individ. Dif. 2007, 42, 893–898. [Google Scholar] [CrossRef]
- Tabachnick, B.G.; Fidell, L.S. Using Multivariate Statistics, 5th ed.; Allyn & Bacon: Needham Heights, MA, USA, 2006; ISBN 978-0205459384. [Google Scholar]
- Bentler, P.M. Comparative fit indexes in structural models. Psychol. Bull. 1990, 107, 238–246. [Google Scholar] [CrossRef]
- Ho, R. Handbook of Univariate and Multivariate Data Analysis and Interpretation with SPSS; Chapman and Hall/CRC: Boca Raton, FL, USA, 2006; ISBN 9780429148538. [Google Scholar]
- Sobel, M.E. Asymptotic Confidence Intervals for Indirect Effects in Structural Equation Models. Sociol. Methodol. 1982, 13, 290. [Google Scholar] [CrossRef]







| Dimension: | Criteria: | Factors: | [201] 2012 Chen et al. | [202] 2013 Norizam and Malek | [203] 2013 Yong & Mustaffa | [204] 2014 Alias et al. | [205] 2014 Gudienė wt al. | [206] 2015 Nilashi et al. | [207] 2015 Ngacho & Das | [208] 2017 Banihashemi et al. | [209] 2018 Maghsoodi and Khalilzadeh | [210] 2018 Sohu et al. | [211] 2018 Kiani Mavi and St&ing | [212] 2019 Li et al. | [213] 2019 Pham et al. | [214] 2019 Shayan, Pyung Kim & Tam | [215] 2020 Wuni and Shen | [216] 2020 Mathar et al. |
|---|---|---|---|---|---|---|---|---|---|---|---|---|---|---|---|---|---|---|
| Context | Replicability | Strategy | × | × | × | × | × | × | × | × | ||||||||
| Definition of objectives and priorities | × | × | × | × | × | × | × | × | × | × | × | × | ||||||
| Alignment of needs with goals | × | × | × | × | ||||||||||||||
| Environment management | × | × | × | × | × | × | × | × | × | × | × | × | ||||||
| Contextual stability | × | × | × | × | ||||||||||||||
| Share of Knowledge | × | × | × | × | × | × | × | × | × | × | × | × | × | |||||
| Impact | Organizational support | × | × | × | × | × | × | × | × | × | × | × | × | × | × | × | ||
| PM methodology | × | × | × | × | × | × | × | × | × | × | × | × | × | × | × | |||
| Effective decision-making process | × | × | × | × | × | × | × | |||||||||||
| Use of lessons learned | × | × | × | × | × | × | × | × | × | × | × | × | × | |||||
| Responsiveness of client | × | × | × | × | × | × | × | × | ||||||||||
| Trust among stakeholders | × | × | × | × | × | × | × | × | × | |||||||||
| Project | Effectiveness | Scope of work and constraints | × | × | × | × | × | × | × | × | × | |||||||
| Compliance with rules and regulations | × | × | × | × | × | × | ||||||||||||
| Effective change management | × | × | × | × | × | × | × | |||||||||||
| Effective communication protocol | × | × | × | × | × | × | × | × | × | × | × | × | ||||||
| Effective tendering process | × | × | × | × | × | × | × | × | × | × | × | × | ||||||
| Effective risk management | × | × | × | × | × | × | × | × | × | × | × | × | × | × | × | |||
| Efficiency | Commitment to project delivery | × | × | × | × | × | × | × | × | × | × | × | × | × | × | × | × | |
| Reliable estimates | × | × | × | × | × | × | × | × | × | × | × | × | × | |||||
| Availability of resources | × | × | × | × | × | × | × | × | × | × | × | × | × | × | × | |||
| Allocation of roles and responsibilities | × | × | × | × | × | × | × | × | × | × | × | × | × | × | ||||
| Team building and motivation | × | × | × | × | × | × | × | × | × | × | ||||||||
| Staff competence | × | × | × | × | × | × | × | × | × | × | × | × | × | × | × | × |
| Scale (1–5 Likert) | 1 | 2 | 3 | 4 | 5 |
|---|---|---|---|---|---|
| Age (in years) | <25 | 25–30 | 31–45 | 46–60 | >60 |
| Company size (staff) | Freelance (0) | Micro (1–9) | Small (10–49) | Medium (50–249) | Large (>250) |
| Project complexity (time in months, cost in EUR) | very simple <4, <100 k | simple 4–12, 100–500 k | normal 13–24, 500 k–2 M | complex 25–48, 2 M–5 M | very complex >48, >5 M |
| PM training degree | Undergraduate | Graduate | Postgraduate | Master | PhD |
| Experience in PM (in years) | <1 | 1–5 | 6–10 | 11–20 | >20 |
| Organizational role (management function) | engineer or technician | project team member | project manager | program manager | portfolio manager |
| Questions | Responses | Units | % |
|---|---|---|---|
| Organizational Size | Self-employment | 79 | 20.79 |
| Micro | 107 | 28.16 | |
| Small | 61 | 16.05 | |
| Medium | 46 | 12.11 | |
| Large | 87 | 22.89 | |
| Project Complexity | Very Simple | 33 | 8.68 |
| Simple | 44 | 11.58 | |
| Normal | 122 | 32.11 | |
| Complex | 97 | 25.53 | |
| Very Complex | 84 | 22.11 | |
| Organizational Role | Technician/Engineer | 92 | 24.21 |
| Member Project Team | 70 | 18.42 | |
| Project Manager | 156 | 41.05 | |
| Program Manager | 35 | 9.21 | |
| Portfolio Manager | 27 | 7.11 | |
| Age | <25 years | 2 | 0.53 |
| 25–30 years | 28 | 7.37 | |
| 31–45 years | 245 | 64.47 | |
| 46–60 years | 90 | 23.68 | |
| >60 years | 15 | 3.95 | |
| Training in PM (Degree) | Neither/Undergraduate | 74 | 19.47 |
| Graduate | 75 | 19.74 | |
| Postgraduate | 119 | 31.32 | |
| Master | 97 | 25.53 | |
| Doctorate | 15 | 3.95 | |
| Experience in PM | <1 year | 39 | 10.26 |
| 1–5 years | 66 | 17.37 | |
| 6–10 years | 105 | 27.63 | |
| 11–20 years | 124 | 32.63 | |
| >20 years | 46 | 12.11 |
| Dimension | Factor/Criterion | μ | σ | r i-t |
|---|---|---|---|---|
| Knowledge Management | KM1 | 3.62 | 1.18 | 0.76 |
| KM2 | 3.84 | 0.97 | 0.65 | |
| KM3 | 3.83 | 1.13 | 0.56 | |
| KM4 | 4.12 | 0.89 | 0.70 | |
| KM | 3.85 | 1.06 | 0.92 | |
| Risk Management | RM1 | 3.84 | 0.85 | 0.64 |
| RM2 | 3.88 | 0.82 | 0.61 | |
| RM3 | 3.83 | 0.88 | 0.66 | |
| RM4 | 3.70 | 1.00 | 0.68 | |
| RM | 3.81 | 0.89 | 0.89 | |
| Sustained Success | SS1 | 4.23 | 0.85 | 0.63 |
| SS2 | 4.11 | 0.82 | 0.70 | |
| SS3 | 4.65 | 0.61 | 0.56 | |
| SS4 | 4.22 | 0.89 | 0.74 | |
| SS | 4.30 | 0.82 | 0.90 |
| Model | Parameter | Measurement | Criterion | Status |
|---|---|---|---|---|
| AFM | χ2/DF | 82.941/45 = 1.843 | <3 | Ok |
| RMSEA | 0.047 | <0.08 | ||
| GFI | 0.975 | >0.9 | ||
| IFM | CFI | 0.974 | >0.9 |
Publisher’s Note: MDPI stays neutral with regard to jurisdictional claims in published maps and institutional affiliations. |
© 2022 by the authors. Licensee MDPI, Basel, Switzerland. This article is an open access article distributed under the terms and conditions of the Creative Commons Attribution (CC BY) license (https://creativecommons.org/licenses/by/4.0/).
Share and Cite
Cerezo-Narváez, A.; Pastor-Fernández, A.; Otero-Mateo, M.; Ballesteros-Pérez, P. The Influence of Knowledge on Managing Risk for the Success in Complex Construction Projects: The IPMA Approach. Sustainability 2022, 14, 9711. https://doi.org/10.3390/su14159711
Cerezo-Narváez A, Pastor-Fernández A, Otero-Mateo M, Ballesteros-Pérez P. The Influence of Knowledge on Managing Risk for the Success in Complex Construction Projects: The IPMA Approach. Sustainability. 2022; 14(15):9711. https://doi.org/10.3390/su14159711
Chicago/Turabian StyleCerezo-Narváez, Alberto, Andrés Pastor-Fernández, Manuel Otero-Mateo, and Pablo Ballesteros-Pérez. 2022. "The Influence of Knowledge on Managing Risk for the Success in Complex Construction Projects: The IPMA Approach" Sustainability 14, no. 15: 9711. https://doi.org/10.3390/su14159711
APA StyleCerezo-Narváez, A., Pastor-Fernández, A., Otero-Mateo, M., & Ballesteros-Pérez, P. (2022). The Influence of Knowledge on Managing Risk for the Success in Complex Construction Projects: The IPMA Approach. Sustainability, 14(15), 9711. https://doi.org/10.3390/su14159711

