Impact of Tillage and Straw Treatment Methods on Rice Growth and Yields in a Rice–Ratoon Rice Cropping System
Abstract
:1. Introduction
2. Materials and Methods
2.1. Experimental Site and Description
2.2. Experimental Design
2.3. Sampling and Data Collection
2.3.1. Yield and Yield Components
2.3.2. Root Function
2.3.3. Photosynthetic Properties
2.4. Statistical Analyses
3. Results
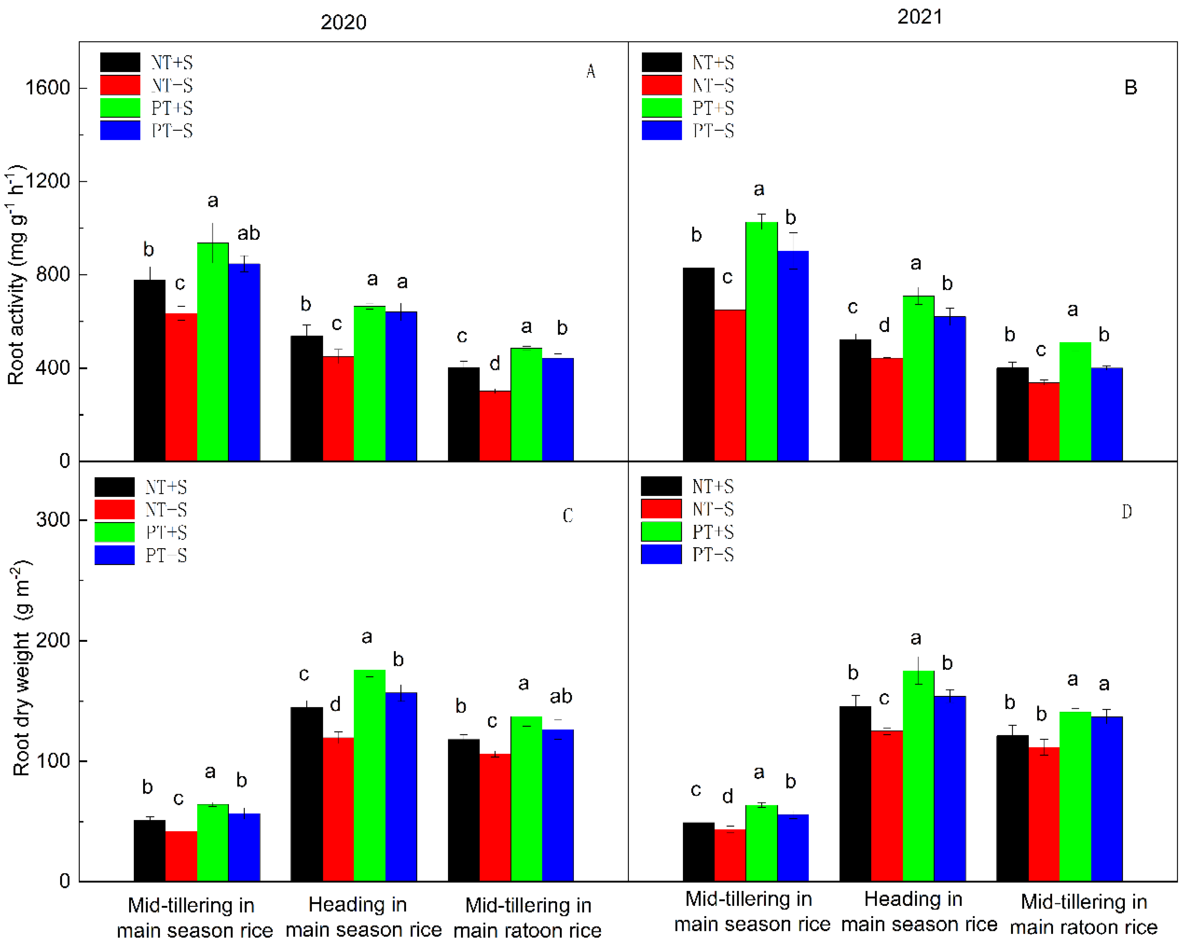
3.1. Root Activity and Root Dry Weight
3.2. Leaf Area Index, Net Photosynthetic Rate, and Chlorophyll Content
3.3. Main-Season Rice Yield and Yield Composition
3.4. Ratoon-Season Rice Yield and Yield Composition
4. Discussion
4.1. Impact of Tillage and Straw Returning on Growth and Yield of the Main-Season Rice
4.2. Impact of Tillage and Straw Returning on Growth and Yield of the Ratoon-Season Rice
5. Conclusions
Author Contributions
Funding
Institutional Review Board Statement
Informed Consent Statement
Data Availability Statement
Conflicts of Interest
References
- Li, G.; Tang, J.; Zheng, J.; Chu, C. Exploration of rice yield potential: Decoding agronomic and physiological traits. Crop J. 2021, 9, 577–589. [Google Scholar] [CrossRef]
- Fahad, S.; Hasanuzzaman, M.; Alam, M.; Ullah, H.; Saeed, M.; Khan, I.A.; Adnan, M. Environment, Climate, Plant and Vegetation Growth; Springer: Berlin/Heidelberg, Germany, 2020. [Google Scholar]
- Ren, D.; Li, Y.; He, G.; Qian, Q. Multifloret spikelet improves rice yield. New Phytol. 2020, 225, 2301–2306. [Google Scholar] [CrossRef] [PubMed]
- Dong, H.; Chen, Q.; Wang, W.; Peng, S.; Huang, J.; Cui, K.; Nie, L. The growth and yield of a wet-seeded rice-ratoon rice system in central China. Field Crop. Res. 2017, 208, 55–59. [Google Scholar] [CrossRef]
- Yin, Y.; Peng, X.; Guo, S.; Zhai, L.; Hua, L.; Wang, H.; Liu, H. How to improve the light-simplified and cleaner production of rice in cold rice areas from the perspective of fertilization. J. Clean Prod. 2022, 361, 131694. [Google Scholar] [CrossRef]
- Wang, W.; He, A.; Jiang, G.; Sun, H.; Nie, L. Ratoon rice technology: A green and resource-efficient way for rice production. Adv. Agron. 2020, 159, 135–167. [Google Scholar]
- Shen, X.; Zhang, L.; Zhang, J. Ratoon rice production in central China: Environmental sustainability and food production. Sci. Total Environ. 2021, 764, 142850. [Google Scholar] [CrossRef]
- Jiang, P.; Xu, F.; Zhang, L.; Liu, M.; Xiong, H.; Guo, X.; Zhu, Y.; Zhou, X. Impact of tillage and crop establishment methods on rice yields in a rice-ratoon rice cropping system in Southwest China. Sci. Rep. 2021, 11, 18421. [Google Scholar] [CrossRef]
- Huang, J.; Wu, J.; Chen, H.; Zhang, Z.; Fang, C.; Shao, C.; Lin, W.; Weng, P.; Muhammad, U.K.; Lin, W. Optimal management of nitrogen fertilizer in the main rice crop and its carrying-over effect on ratoon rice under mechanized cultivation in Southeast China. J. Integr. Agr. 2022, 21, 351–364. [Google Scholar] [CrossRef]
- Li, S.; Guo, L.; Cao, C.; Li, C. Integrated assessment of carbon footprint, energy budget and net ecosystem economic efficiency from rice fields under different tillage modes in central China. J. Clean Prod. 2021, 295, 126398. [Google Scholar] [CrossRef]
- Liu, T.; Huang, J.; Chai, K.; Cao, C.; Li, C. Effects of N fertilizer sources and tillage practices on NH3 volatilization, grain yield, and N use efficiency of rice fields in Central China. Front. Plant Sci. 2018, 9, 385. [Google Scholar] [CrossRef]
- Islam, S.F.; Sander, B.O.; Quilty, J.R.; De Neergaard, A.; Van Groenigen, J.W.; Jensen, L.S. Mitigation of greenhouse gas emissions and reduced irrigation water use in rice production through water-saving irrigation scheduling, reduced tillage and fertiliser application strategies. Sci. Total Environ. 2020, 739, 140215. [Google Scholar] [CrossRef] [PubMed]
- Choudhury, S.G.; Srivastava, S.; Singh, R.; Chaudhari, S.K.; Sharma, D.K.; Singh, S.K.; Sarkar, D. Tillage and residue management effects on soil aggregation, organic carbon dynamics and yield attribute in rice—Wheat cropping system under reclaimed sodic soil. Soil Tillage Res. 2014, 136, 76–83. [Google Scholar] [CrossRef]
- Bu, R.; Ren, T.; Lei, M.; Liu, B.; Li, X.; Cong, R.; Zhang, Y.; Lu, J. Tillage and straw-returning practices effect on soil dissolved organic matter, aggregate fraction and bacteria community under rice-rice-rapeseed rotation system. Agric. Ecosyst. Environ. 2020, 287, 106681. [Google Scholar] [CrossRef]
- Wang, X.; Qi, J.; Zhang, X.; Li, S.; Virk, A.L.; Zhao, X.; Xiao, X.; Zhang, H. Effects of tillage and residue management on soil aggregates and associated carbon storage in a double paddy cropping system. Soil Tillage Res. 2019, 194, 104339. [Google Scholar] [CrossRef]
- Xue, J.; Pu, C.; Liu, S.; Chen, Z.; Chen, F.; Xiao, X.; Lal, R.; Zhang, H. Effects of tillage systems on soil organic carbon and total nitrogen in a double paddy cropping system in Southern China. Soil Tillage Res. 2015, 153, 161–168. [Google Scholar] [CrossRef]
- Pandey, D.; Agrawal, M.; Bohra, J.S.; Adhya, T.K.; Bhattacharyya, P. Recalcitrant and labile carbon pools in a sub-humid tropical soil under different tillage combinations: A case study of rice—Wheat system. Soil Tillage Res. 2014, 143, 116–122. [Google Scholar] [CrossRef]
- Blanco-Canqui, H.; Ruis, S.J. No-tillage and soil physical environment. Geoderma 2018, 326, 164–200. [Google Scholar] [CrossRef]
- Dossou-Yovo, E.R.; Brüggemann, N.; Jesse, N.; Huat, J.; Agbossou, E.K. Reducing soil CO2 emission and improving upland rice yield with no-tillage, straw mulch and nitrogen fertilization in northern Benin. Soil Tillage Res. 2016, 156, 44–53. [Google Scholar] [CrossRef] [Green Version]
- Denardin, L.G.D.O.; Carmona, F.D.C.; Veloso, M.G.; Martins, A.P.; Freitas, T.F.S.D.; Carlos, F.S.; Marcolin, L.; Camargo, F.A.D.O.; Anghinoni, I. No-tillage increases irrigated rice yield through soil quality improvement along time. Soil Tillage Res. 2019, 186, 64–69. [Google Scholar] [CrossRef]
- Min, H.; Zhou, X.; Cao, F.; Bing, X.; Zou, Y. No-tillage effect on rice yield in China: A meta-analysis. Field Crop Res. 2015, 183, 126–137. [Google Scholar]
- Liang, X.; Zhang, H.; He, M.; Yuan, J.; Xu, L.; Tian, G. No-tillage effects on grain yield, N use efficiency, and nutrient runoff losses in paddy fields. Environ. Sci. Pollut. R 2016, 23, 21451–21459. [Google Scholar] [CrossRef] [PubMed]
- Qya, B.; Rla, B.; Kla, B.; Rma, B. A review of crop straw pretreatment methods for biogas production by anaerobic digestion in China. Renew. Sustain. Energy Rev. 2019, 107, 51–58. [Google Scholar]
- Wang, J.; Wang, X.; Xu, M.; Feng, G.; Zhang, W.; Lu, C.A. Crop yield and soil organic matter after long-term straw return to soil in China. Nutr. Cycl. Agroecosys 2015, 102, 371–381. [Google Scholar] [CrossRef]
- Yin, H.; Zhao, W.; Li, T.; Cheng, X.; Liu, Q. Balancing straw returning and chemical fertilizers in China: Role of straw nutrient resources. Renew. Sustain. Energy Rev. 2018, 81, 2695–2702. [Google Scholar] [CrossRef]
- Zhang, L.; Liu, Y.; Hao, L. Contributions of open crop straw burning emissions to PM2.5 concentrations in China. Environ. Res. Lett. 2016, 11, 14014. [Google Scholar] [CrossRef]
- Kalkhajeh, Y.K.; He, Z.; Yang, X.; Lu, Y.; Zhou, J.; Gao, H.; Ma, C. Co-application of nitrogen and straw-decomposing microbial inoculant enhanced wheat straw decomposition and rice yield in a paddy soil. J. Agric. Food Res. 2021, 4, 100134. [Google Scholar] [CrossRef]
- Maneepitak, S.; Ullah, H.; Paothong, K.; Kachenchart, B.; Datta, A.; Shrestha, R.P. Effect of water and rice straw management practices on yield and water productivity of irrigated lowland rice in the Central Plain of Thailand. Agr. Water Manag. 2019, 211, 89–97. [Google Scholar] [CrossRef]
- Zhu, L.; Hu, N.; Zhang, Z.; Xu, J.; Tao, B.; Meng, Y. Short-term responses of soil organic carbon and carbon pool management index to different annual straw return rates in a rice—Wheat cropping system. Catena 2015, 135, 283–289. [Google Scholar] [CrossRef]
- Jin, Z.; Shah, T.; Zhang, L.; Liu, H.; Peng, S.; Nie, L. Effect of straw returning on soil organic carbon in rice—wheat rotation system: A review. Food Energy Secur. 2020, 9, e200. [Google Scholar] [CrossRef] [Green Version]
- Xu, F.; Zhang, L.; Zhou, X.; Guo, X.; Zhu, Y.; Liu, M.; Xiong, H.; Jiang, P. The ratoon rice system with high yield and high efficiency in China: Progress, trend of theory and technology. Field Crop Res. 2021, 272, 108282. [Google Scholar] [CrossRef]
- Yang, L.; Wang, Y.; Kobayashi, K.; Zhu, J.; Huang, J.; Yang, H.; Wang, Y.; Dong, G.; Liu, G.; Han, Y. Seasonal changes in the effects of free—Air CO2 enrichment (FACE) on growth, morphology and physiology of rice root at three levels of nitrogen fertilization. Global Change Biol. 2008, 14, 1844–1853. [Google Scholar] [CrossRef]
- Ramasamy, S.; Ten Berge, H.; Purushothaman, S. Yield formation in rice in response to drainage and nitrogen application. Field Crop Res. 1997, 51, 65–82. [Google Scholar] [CrossRef]
- Tian, G.; Gao, L.; Kong, Y.; Hu, X.; Xie, K.; Zhang, R.; Ling, N.; Shen, Q.; Guo, S. Improving rice population productivity by reducing nitrogen rate and increasing plant density. PLoS ONE 2017, 12, e182310. [Google Scholar] [CrossRef] [Green Version]
- Wellburn, A.R.; Lichtenthaler, H. Formulae and program to determine total carotenoids and chlorophylls a and b of leaf extracts in different solvents. In Advances in Photosynthesis Research; Springer: Berlin/Heidelberg, Germany, 1984; pp. 9–12. [Google Scholar]
- Jat, R.K.; Sapkota, T.B.; Singh, R.G.; Jat, M.L.; Kumar, M.; Gupta, R.K. Seven years of conservation agriculture in a rice—wheat rotation of Eastern Gangetic Plains of South Asia: Yield trends and economic profitability. Field Crop. Res. 2014, 164, 199–210. [Google Scholar] [CrossRef]
- Yadav, G.S.; Lal, R.; Meena, R.S.; Babu, S.; Das, A.; Bhowmik, S.N.; Datta, M.; Layak, J.; Saha, P. Conservation tillage and nutrient management effects on productivity and soil carbon sequestration under double cropping of rice in north eastern region of India. Ecol. Indic. 2019, 105, 303–315. [Google Scholar] [CrossRef]
- Tian, D.; Niu, S. A global analysis of soil acidification caused by nitrogen addition. Environ. Res. Lett. 2015, 10, 24019. [Google Scholar] [CrossRef]
- Han, J.; Shi, J.; Zeng, L.; Xu, J.; Wu, L. Effects of nitrogen fertilization on the acidity and salinity of greenhouse soils. Environ. Sci. Pollut. Res. 2015, 22, 2976–2986. [Google Scholar] [CrossRef]
- Wang, X.; Qi, J.Y.; Liu, B.Y.; Kan, Z.R.; Zhao, X.; Xiao, X.P.; Zhang, H.L. Strategic tillage effects on soil properties and agricultural productivity in the paddies of Southern China. Land Degrad. Dev. 2020, 31, 1277–1286. [Google Scholar] [CrossRef]
- Fahad, S.; Sönmez, O.; Saud, S.; Wang, D.; Wu, C.; Adnan, M.; Arif, M. Engineering Tolerance in Crop Plants Against Abiotic Stress; CRC Press: Boca Raton, FL, USA, 2021. [Google Scholar]
- Li, S.; Jiang, X.; Wang, X.; Wright, A.L. Tillage effects on soil nitrification and the dynamic changes in nitrifying microorganisms in a subtropical rice-based ecosystem: A long-term field study. Soil Tillage Res. 2015, 150, 132–138. [Google Scholar] [CrossRef]
- Long, S.P. Photosynthesis engineered to increase rice yield. Nat. Food 2020, 1, 105. [Google Scholar] [CrossRef] [Green Version]
- Badshah, M.A.; Naimei, T.; Zou, Y.; Ibrahim, M.; Wang, K. Yield and tillering response of super hybrid rice Liangyoupeijiu to tillage and establishment methods. Crop J. 2014, 2, 79–86. [Google Scholar] [CrossRef] [Green Version]
- Guo, L.; Zhang, L.; Liu, L.; Sheng, F.; Cao, C.; Li, C. Effects of long-term no tillage and straw return on greenhouse gas emissions and crop yields from a rice-wheat system in central China. Agric. Ecosyst. Environ. 2021, 322, 107650. [Google Scholar] [CrossRef]
- Wang, X.; He, C.; Cheng, H.; Liu, B.; Li, S.; Wang, Q.; Liu, Y.; Zhao, X.; Zhang, H. Responses of greenhouse gas emissions to residue returning in China’s croplands and influential factors: A meta-analysis. J. Environ. Manag. 2021, 289, 112486. [Google Scholar] [CrossRef] [PubMed]
- Huang, S.; Zeng, Y.; Wu, J.; Shi, Q.; Pan, X. Effect of crop residue retention on rice yield in China: A meta-analysis. Field Crop Res. 2013, 154, 188–194. [Google Scholar] [CrossRef]
- Liu, P.; He, J.; Li, H.; Wang, Q.; Lu, C.; Zheng, K.; Liu, W.; Zhao, H.; Lou, S. Effect of straw retention on crop yield, soil properties, water use efficiency and greenhouse gas emission in China: A meta-analysis. Int. J. Plant Prod. 2019, 13, 347–367. [Google Scholar] [CrossRef]
- Olk, D.C.; Jimenez, R.R.; Moscoso, E.; Gapas, P. Phenol accumulation in a young humic fraction following anaerobic decomposition of rice crop residues. Soil Sci. Soc. Am. J. 2009, 73, 943–951. [Google Scholar] [CrossRef] [Green Version]
- Peng, S.; Buresh, R.J.; Huang, J.; Zhong, X.; Zou, Y.; Yang, J.; Wang, G.; Liu, Y.; Hu, R.; Tang, Q. Improving nitrogen fertilization in rice by sitespecific N management. A review. Agron Sustain. Dev. 2010, 30, 649–656. [Google Scholar] [CrossRef]
- Chu, G.; Wang, Z.; Zhang, H.; Liu, L.; Yang, J.; Zhang, J. Alternate wetting and moderate drying increases rice yield and reduces methane emission in paddy field with wheat straw residue incorporation. Food Energy Secur. 2015, 4, 238–254. [Google Scholar] [CrossRef]
- Song, K.; Yang, J.; Xue, Y.; Lv, W.; Zheng, X.; Pan, J. Influence of tillage practices and straw incorporation on soil aggregates, organic carbon, and crop yields in a rice-wheat rotation system. Sci. Rep. 2016, 6, 1–12. [Google Scholar] [CrossRef]
- Memon, M.S.; Guo, J.; Tagar, A.A.; Perveen, N.; Ji, C.; Memon, S.A.; Memon, N. The effects of tillage and straw incorporation on soil organic carbon status, rice crop productivity, and sustainability in the rice-wheat cropping system of eastern China. Sustainability 2018, 10, 961. [Google Scholar] [CrossRef] [Green Version]
- Zhang, L.; Zheng, J.; Chen, L.; Shen, M.; Zhang, X.; Zhang, M.; Bian, X.; Zhang, J.; Zhang, W. Integrative effects of soil tillage and straw management on crop yields and greenhouse gas emissions in a rice—Wheat cropping system. Eur. J. Agron 2015, 63, 47–54. [Google Scholar] [CrossRef]
- Tang, H.; Li, C.; Shi, L.; Wen, L.; Cheng, K.; Li, W.; Xiao, X. Functional soil organic matter fraction in response to short-term tillage management under the double-cropping rice paddy field in southern of China. Environ. Sci. Pollut. R 2021, 28, 48438–48449. [Google Scholar] [CrossRef] [PubMed]
- Asenso, E.; Zhang, L.; Tang, L.; Issaka, F.; Tian, K.; Li, J.; Hu, L. Moldboard plowing with direct seeding improves soil properties and sustainable productivity in ratoon rice farmland in Southern China. Sustainability 2019, 11, 6499. [Google Scholar] [CrossRef] [Green Version]
- He, A.; Wang, W.; Jiang, G.; Sun, H.; Jiang, M.; Man, J.; Cui, K.; Huang, J.; Peng, S.; Nie, L. Source-sink regulation and its effects on the regeneration ability of ratoon rice. Field Crop. Res. 2019, 236, 155–164. [Google Scholar] [CrossRef]
- Song, K.; Zhang, G.; Ma, J.; Peng, S.; Lv, S.; Xu, H. Greenhouse gas emissions from ratoon rice fields among different varieties. Field Crop. Res. 2022, 277, 108423. [Google Scholar] [CrossRef]
- Zhao, H.; Sun, B.; Lu, F.; Zhang, G.; Wang, X.; Ouyang, Z. Straw incorporation strategy on cereal crop yield in China. Crop Sci. 2015, 55, 1773–1781. [Google Scholar] [CrossRef]



| Years | Treatments | Spikes Density | Spikelets per Panicle | Grain Filling Rate | 1000-Grain Weight | Yield |
|---|---|---|---|---|---|---|
| m−2 | % | g | t ha−1 | |||
| 2020 | NT+S | 250.26 ± 11.96 a | 154.60 ± 1.44 b | 79.07 ± 1.93 a | 27.84 ± 0.53 b | 8.13 ± 0.16 b |
| NT-S | 209.53 ± 13.25 b | 148.24 ± 3.13 b | 75.37 ± 2.99 a | 25.94 ± 0.20 c | 5.57 ± 0.30 c | |
| PT+S | 274.97 ± 7.43 a | 170.50 ± 5.73 a | 75.44 ± 1.45 a | 28.51 ± 0.14 a | 9.81 ± 0.54 a | |
| PT-S | 250.87 ± 21.96 a | 171.79 ± 3.94 a | 77.30 ± 1.72 a | 27.67 ± 0.10 b | 8.59 ± 0.42 b | |
| 2021 | NT+S | 244.62 ± 2.77 b | 155.42 ± 2.43 b | 76.69 ± 3.71 a | 26.74 ± 0.44 a | 7.50 ± 0.56 c |
| NT-S | 210.12 ± 14.13 c | 152.04 ± 2.85 b | 79.07 ± 4.05 a | 25.01 ± 0.35 b | 6.12 ± 0.20 d | |
| PT+S | 281.25 ± 3.83 a | 174.86 ± 10.4 a | 77.39 ± 4.39 a | 27.07 ± 0.42 a | 9.92 ± 0.10 a | |
| PT-S | 241.24 ± 8.93 b | 173.66 ± 7.10 a | 80.05 ± 2.74 a | 26.51 ± 0.11 a | 8.81 ± 0.53 b | |
| Year (Y) | ns | ns | ns | *** | ns | |
| T | *** | *** | ns | *** | *** | |
| S | *** | ns | ns | *** | *** | |
| Y*T | ns | ns | ns | ns | ns | |
| Y*S | ns | ns | ns | ns | ns | |
| T*S | ns | ns | ns | ** | * | |
| Y*T*S | ns | ns | ns | ns | ns | |
| Years | Treatments | Spikes Density | Spikelets per Panicle | Grain Filling Rate | 1000-Grain Weight | Yield |
|---|---|---|---|---|---|---|
| m−2 | % | g | t ha−1 | |||
| 2020 | NT+S | 243.35 ± 4.63 b | 80.98 ± 2.78 a | 69.02 ± 2.33 a | 25.73 ± 0.85 b | 3.3 ± 0.08 b |
| NT-S | 212.42 ± 4.58 d | 70.64 ± 1.51 b | 71.04 ± 2 a | 24.26 ± 0.28 c | 2.43 ± 0.05 c | |
| PT+S | 267.93 ± 2.9 c | 86.13 ± 1.73 a | 68.67 ± 2.14 a | 26.64 ± 0.12 a | 4.04 ± 0.16 a | |
| PT-S | 229.35 ± 7.11 a | 84.39 ± 4.94 a | 69.87 ± 0.36 a | 25.48 ± 0.31 b | 3.22 ± 0.21 b | |
| 2021 | NT+S | 254.95 ± 8.87 ca | 79.93 ± 0.8 b | 73.68 ± 2.97 a | 25.07 ± 0.22 b | 3.41 ± 0.1 b |
| NT-S | 209.97 ± 8.63 b | 71.55 ± 2.00 c | 71.9 ± 2.08 a | 23.99 ± 0.48 c | 2.44 ± 0.13 c | |
| PT+S | 265.68 ± 7.37 a | 89.46 ± 1.38 a | 71.43 ± 0.77 a | 25.97 ± 0.5 a | 4.11 ± 0.2 a | |
| PT-S | 257.68 ± 6.6 a | 82.82 ± 2.3 b | 70.99 ± 1.19 a | 25.48 ± 0.15 ab | 3.58 ± 0.06 b | |
| Year (Y) | ** | ns | ** | * | * | |
| T | *** | *** | ns | *** | *** | |
| S | *** | *** | ns | *** | *** | |
| Y*T | ns | ns | ns | ns | ns | |
| Y*S | ns | ns | ns | ns | ns | |
| T*S | * | * | ns | ns | * | |
| Y*T*S | ns | ns | ns | ns | ns | |
Publisher’s Note: MDPI stays neutral with regard to jurisdictional claims in published maps and institutional affiliations. |
© 2022 by the authors. Licensee MDPI, Basel, Switzerland. This article is an open access article distributed under the terms and conditions of the Creative Commons Attribution (CC BY) license (https://creativecommons.org/licenses/by/4.0/).
Share and Cite
Li, S.; Zhang, Y.; Guo, L.; Li, X. Impact of Tillage and Straw Treatment Methods on Rice Growth and Yields in a Rice–Ratoon Rice Cropping System. Sustainability 2022, 14, 9290. https://doi.org/10.3390/su14159290
Li S, Zhang Y, Guo L, Li X. Impact of Tillage and Straw Treatment Methods on Rice Growth and Yields in a Rice–Ratoon Rice Cropping System. Sustainability. 2022; 14(15):9290. https://doi.org/10.3390/su14159290
Chicago/Turabian StyleLi, Shengchun, Yilin Zhang, Lihao Guo, and Xiaofang Li. 2022. "Impact of Tillage and Straw Treatment Methods on Rice Growth and Yields in a Rice–Ratoon Rice Cropping System" Sustainability 14, no. 15: 9290. https://doi.org/10.3390/su14159290
APA StyleLi, S., Zhang, Y., Guo, L., & Li, X. (2022). Impact of Tillage and Straw Treatment Methods on Rice Growth and Yields in a Rice–Ratoon Rice Cropping System. Sustainability, 14(15), 9290. https://doi.org/10.3390/su14159290

