Conditions Affecting Wind-Induced PM10 Resuspension as a Persistent Source of Pollution for the Future City Environment
Abstract
:1. Introduction
2. Materials and Methods
2.1. Methodology Background
2.2. Description of the Locations
2.3. The Measurements
2.4. Processing the Records of PM10 Concentrations
2.5. Data Statistics
2.6. Evaluation of the Records of PM10 Concentration
3. Results and Discussion
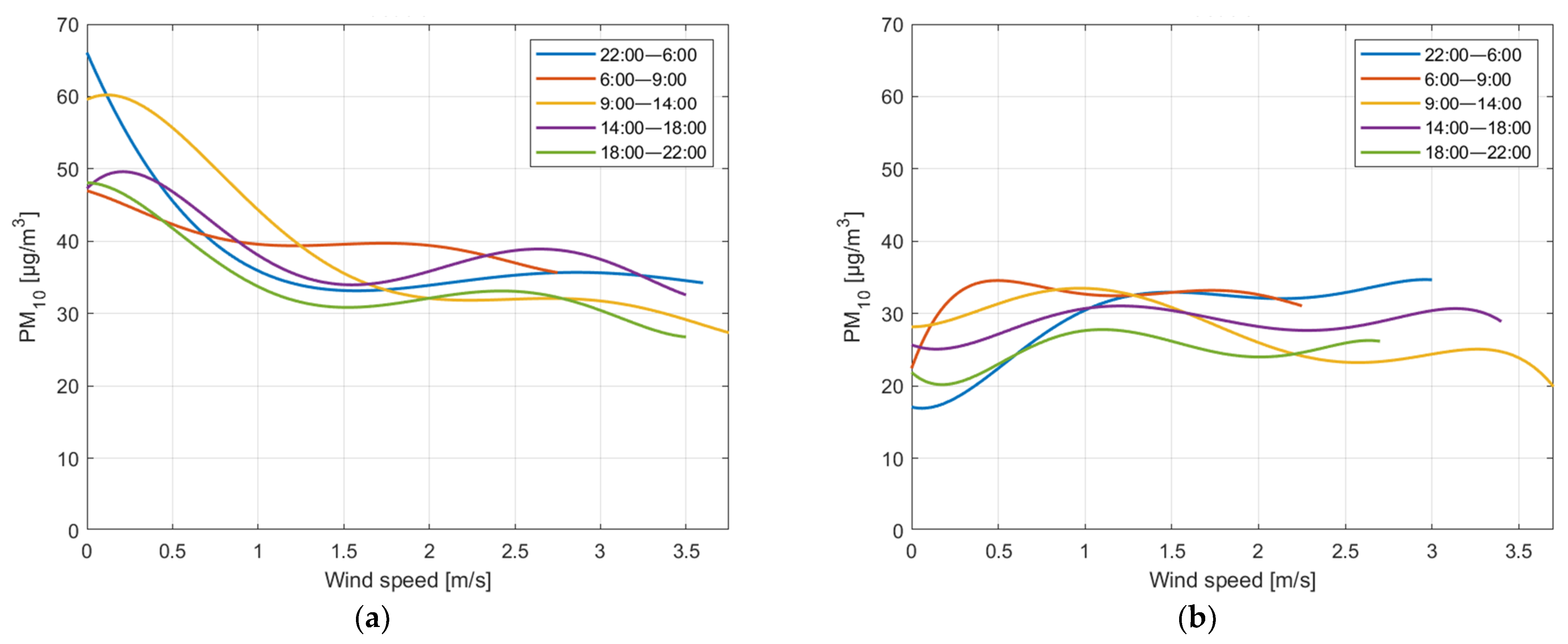
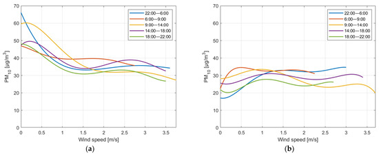
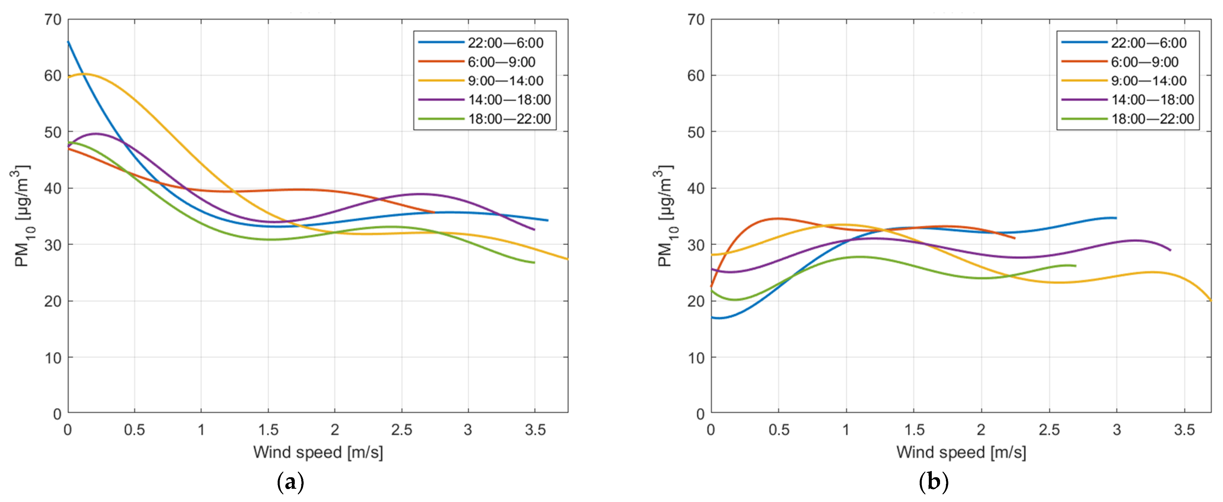
3.1. Results Obtained from Work with the Records
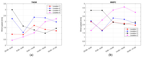
3.2. Results of the Evaluation of the Threshold Speeds Causing Resuspension (TWRS, MWPC)
3.3. Comparison of the Results Obtained in the Locations
3.4. Comparison of the Results with Published Studies
4. Conclusions
Supplementary Materials
Author Contributions
Funding
Data Availability Statement
Conflicts of Interest
References
- Amato, F.; Schaap, M.; Reche, C.; Querol, X. Road Traffic: A Major Source of Particulate Matter in Europe. In Urban Air Quality in Europe; Viana, M., Ed.; Springer: Berlin/Heidelberg, Germany, 2013. [Google Scholar]
- Schraufnagel, D.E. The Health Effects of Ultrafine Particles. Exp. Mol. Med. 2020, 52, 311–317. [Google Scholar] [CrossRef]
- World Health Organization. Ambient Air Pollution: A Global Assessment of Exposure and Burden of Disease. Clean Air J. 2016, 26, 6. [Google Scholar] [CrossRef]
- Stanaway, J.D.; Afshin, A.; Gakidou, E. Erratum: Global, Regional, and National Comparative Risk Assessment of 84 Behavioral, Environmental and Occupational, and Metabolic Risks or Clusters of Risks for 195 Countries and Territories, 1990–2017: A Systematic Analysis for the Global Burden of Disease Study 2017. Lancet 2019, 393, 1923–1994. [Google Scholar] [CrossRef] [Green Version]
- Karagulian, F.; Belis, C.A.; Dora, C.F.C.; Prüss-Ustün, A.M.; Bonjour, S.; Adair-Rohani, H.; Amann, M. Contributions to Cities’ Ambient Particulate Matter (PM): A Systematic Review of Local Source Contributions at Global Level. Atmos. Environ. 2015, 120, 475–483. [Google Scholar] [CrossRef]
- Harrison, R.M.; Allan, J.; Carruthers, D.; Heal, M.R.; Lewis, A.C.; Marner, B.; Murrells, T.; Williams, A. Non-Exhaust Vehicle Emissions of Particulate Matter and VOC from Road Traffic: A Review. Atmos. Environ. 2021, 262, 118592. [Google Scholar] [CrossRef]
- Alves, C.A.; Vicente, A.M.P.; Calvo, A.I.; Baumgardner, D.; Amato, F.; Querol, X.; Pio, C.; Gustafsson, M. Physical and Chemical Properties of Non-Exhaust Particles Generated from Wear Between Pavements and Tyres. Atmos. Environ. 2020, 224, 117252. [Google Scholar] [CrossRef]
- Pospíšil, J.; Jícha, M. Mezní Rychlost Resuspenze Částic PM10 v Prostředí Městské Zástavby; Česká Aerosolová Společnost: Prague, Czech Republic, 2007; pp. 33–34. [Google Scholar]
- Harrison, R.M.; Yin, J.; Mark, D.; Stedman, J.; Appleby, R.S.; Booker, J.; Moorcroft, S. Studies of the Coarse Particle (2.5–10 μm) Component in UK Urban Atmospheres. Atmos. Environ. 2001, 35, 3667–3679. [Google Scholar] [CrossRef]
- Jarrah, M.; Mayel, S.; Tatarko, J.; Funk, R.; Kuka, K. A Review of Wind Erosion Models: Data Requirements, Processes, and Validity. Catena 2020, 187, 104388. [Google Scholar] [CrossRef]
- Panagos, P.; Katsoyiannis, A. Soil Erosion Modelling: The New Challenges as the Result of Policy Developments in Europe. Environ. Res. 2019, 172, 470–474. [Google Scholar] [CrossRef]
- Jones, A.M.; Harrison, R.M.; Baker, J.B.H. The Wind Speed Dependence of the Concentrations of Airborne Particulate Matter and NOx. Atmos. Environ. 2010, 44, 1682–1690. [Google Scholar] [CrossRef]
- Grundström, M.; Hak, C.; Chen, D.; Hallquist, M.; Pleijel, H. Variation and Co-Variation of PM10, Particle Number Concentration, NOx and NO2 in the Urban Air—Relationships with Wind Speed, Vertical Temperature Gradient and Weather Type. Atmos. Environ. 2015, 120, 317–327. [Google Scholar] [CrossRef]
- Kassomenos, P.; Vardoulakis, S.; Chaloulakou, A.; Grivas, G.; Borge, R.; Lumbreras, J. Levels, Sources and Seasonality of Coarse Particles (PM10–PM2.5) in Three European Capitals—Implications for Particulate Pollution Control. Atmos. Environ. 2012, 54, 337–347. [Google Scholar] [CrossRef] [Green Version]
- Thorpe, A.J.; Harrison, R.M.; Boulter, P.G.; McCrae, I.S. Estimation of Particle Resuspension Source Strength on a Major London Road. Atmos. Environ. 2007, 41, 8007–8020. [Google Scholar] [CrossRef]
- Henry, C. Particle Resuspension from Complex Surfaces: Current Knowledge and Limitations. arXiv 2018, arXiv:1802.06448. Available online: https://arxiv.org/abs/1802.06448 (accessed on 8 March 2021).
- Nicholson, K.W.; Branson, J.R.; Giess, P.; Cannell, R.J. The Effects of Vehicle Activity on Particle Resuspension. J. Aerosol Sci. 1989, 20, 1425–1428. [Google Scholar] [CrossRef]
- Loosmore, G.A. Evaluation and Development of Models for Resuspension of Aerosols at Short Times after Deposition. Atmos. Environ. 2003, 37, 639–647. [Google Scholar] [CrossRef]
- Wang, Y.; Zhao, Y.; Yao, J. Large Eddy Simulation of Particle Deposition and Resuspension in Turbulent Duct Flows. Adv. Powder Technol. 2019, 30, 656–671. [Google Scholar] [CrossRef]
- Gotoh, K.; Takebe, S.; Masuda, H.; Banba, Y. The Effect of Humidity on the Removal of Fine Particles on a Solid Surface using High-speed Air Jet. KONA Powder Part. J. 1995, 13, 191–203. [Google Scholar] [CrossRef] [Green Version]
- Ibrahim, A.H.; Dunn, P.F.; Brach, R.M. Microparticle Detachment from Surfaces Exposed to Turbulent Air Flow: Effects of Flow and Particle Deposition Characteristics. J. Aerosol Sci. 2004, 35, 805–821. [Google Scholar] [CrossRef]
- Amato, F.; Schaap, M.; van der Gon, H.A.D.; Pandolfi, M.; Alastuey, A.; Keuken, M.; Querol, X. Effect of rain events on the mobility of road dust load in two Dutch and Spanish roads. Atmos. Environ. 2012, 62, 352–358. [Google Scholar] [CrossRef]
- Young, T.M.; Heeraman, D.A.; Sirin, G.; Ashbaugh, L.L. Resuspension of Soil as a Source of Airborne Lead near Industrial Facilities and Highways. Environ. Sci. Technol. 2002, 36, 2484–2490. [Google Scholar] [CrossRef] [PubMed]
- Nasr, B.; Ahmadi, G.; Ferro, A.R.; Dhaniyala, S. A model for Particle Removal from Surfaces with Large-Scale Roughness in Turbulent Flows. Aerosol Sci. Technol. 2019, 54, 291–303. [Google Scholar] [CrossRef]
- Ziskind, G. Particle Resuspension from Surfaces: Revisited and Re-Evaluated. Rev. Chem. Eng. 2006, 22. [Google Scholar] [CrossRef]
- Etyemezian, V.; Gillies, J.A.; Mastin, L.G.; Crawford, A.; Hasson, R.; Van Eaton, A.R.; Nikolich, G. Laboratory Experiments of Volcanic Ash Resuspension by Wind. J. Geophys. Res. Atmos. 2019, 124, 9534–9560. [Google Scholar] [CrossRef]
- Giess, P.; Goddard, A.; Shaw, G. Factors Affecting Particle Resuspension from Grass Swards. J. Aerosol Sci. 1997, 28, 1331–1349. [Google Scholar] [CrossRef]
- Nicholson, K.W. Wind Tunnel Experiments on the Resuspension of Particulate Material. Atmos. Environ. Part A Gen. Top. 1993, 27, 181–188. [Google Scholar] [CrossRef]
- Google (n.d.). Google Maps City of Brno and Surroundings, Czech Republic. Available online: https://goo.gl/maps/qvjH8qHwgtmkexgn6 (accessed on 20 July 2022).
- Jin, X.; Yang, L.; Du, X.; Yang, Y. Transport Characteristics of PM2.5 Inside Urban Street Canyons: The Effects of Trees and Vehicles. Build. Simul. 2017, 10, 337–350. [Google Scholar] [CrossRef]
- Styles, J. A Wind Tunnel Study of the Velocity Field Above a Model Plant Canopy; CSIRO: Canberra, Australia, 1997. [Google Scholar]
- Stull, R.B. An Introduction to Boundary Layer Meteorology; Springer Science & Business Media: Berlin/Heidelberg, Germany, 1988. [Google Scholar] [CrossRef]
- Garland, J.A. Some Recent Studies of the Resuspension of Deposited Material from Soil and Grass; Elsevier Science Publishing Co., Inc.: New York, NY, USA, 1983. [Google Scholar]
- Amato, F.; Pandolfi, M.; Alastuey, A.; Lozano, A.; González, J.C.; Querol, X. Impact of Traffic Intensity and Pavement Aggregate Size on Road Dust Particles Loading. Atmos. Environ. 2013, 77, 711–717. [Google Scholar] [CrossRef]







| Time Period | Location 1 | Location 2 | Location 3 | Location 4 |
|---|---|---|---|---|
| 22:00–6:00 | 146 | 226 | 801 | 3842 |
| 6:00–9:00 | 487 | 894 | 975 | 835 |
| 9:00–14:00 | 1315 | 1588 | 822 | 1423 |
| 14:00–18:00 | 789 | 1884 | 1658 | 1073 |
| 18:00–21:00 | 167 | 1169 | 1499 | 774 |
| Parameter | Location 1 | Location 2 | Location 3 | Location 4 |
|---|---|---|---|---|
| Surface types | Vegetation 38%, paved surfaces 18%, roads 19%, buildings 25% | Vegetation 19%, paved surfaces 42%, roads 26%, buildings 13% | Vegetation 36%, paved surfaces 18%, roads 25%, buildings 21% | Vegetation 28%, roads 57%, bare soil 15% |
| Average surface feature height [m] | 0.032 | 0.042 | 0.033 | 0.044 |
| Mean TWSR [m/s] | 1.21 ± 0.31 | 1.99 ± 0.53 | 1.67 ± 0.76 | 1.28 ± 0.78 and 3.52 ± 1.41 |
| Mean MWPC [m/s] | 2.5 ± 0.58 | 2.74 ± 0.79 | 3.29 ± 0.82 | 2.69 ± 1.22 and 5.87 ± 2.54 |
| Calculated friction velocity interval (TWSR to MWPC) [m/s] | 0.11 to 0.24 | 0.21 to 0.29 | 0.16 to 0.32 | 0.13 to 0.28/0.37 to 0.63 |
| Corresponding experiment | [28] | [28] | [27] | [27,33] |
| Surface type in experiment and its feature height | Vegetation and concrete (0.003 and 0.05) | Vegetation and concrete (0.003 and 0.05) | Vegetation (0.1 and 0.3) | Vegetation and bare soil (0.1 and 0.01) |
| Friction velocity interval from the corresponding experiment [m/s] | 0.1 to 0.4 | 0.1 to 0.4 | 0.3 to 1.4 | 0.2 to 0.8 |
Publisher’s Note: MDPI stays neutral with regard to jurisdictional claims in published maps and institutional affiliations. |
© 2022 by the authors. Licensee MDPI, Basel, Switzerland. This article is an open access article distributed under the terms and conditions of the Creative Commons Attribution (CC BY) license (https://creativecommons.org/licenses/by/4.0/).
Share and Cite
Linda, J.; Pospíšil, J.; Köbölová, K.; Ličbinský, R.; Huzlík, J.; Karel, J. Conditions Affecting Wind-Induced PM10 Resuspension as a Persistent Source of Pollution for the Future City Environment. Sustainability 2022, 14, 9186. https://doi.org/10.3390/su14159186
Linda J, Pospíšil J, Köbölová K, Ličbinský R, Huzlík J, Karel J. Conditions Affecting Wind-Induced PM10 Resuspension as a Persistent Source of Pollution for the Future City Environment. Sustainability. 2022; 14(15):9186. https://doi.org/10.3390/su14159186
Chicago/Turabian StyleLinda, Jakub, Jiří Pospíšil, Klaudia Köbölová, Roman Ličbinský, Jiří Huzlík, and Jan Karel. 2022. "Conditions Affecting Wind-Induced PM10 Resuspension as a Persistent Source of Pollution for the Future City Environment" Sustainability 14, no. 15: 9186. https://doi.org/10.3390/su14159186
APA StyleLinda, J., Pospíšil, J., Köbölová, K., Ličbinský, R., Huzlík, J., & Karel, J. (2022). Conditions Affecting Wind-Induced PM10 Resuspension as a Persistent Source of Pollution for the Future City Environment. Sustainability, 14(15), 9186. https://doi.org/10.3390/su14159186

