Nitrogen Recovery from Different Livestock Slurries with an Innovative Stripping Process
Abstract
:1. Introduction
2. Materials and Methods
3. Results and Discussion
3.1. Physicochemical Characteristics of Input Slurries and Reactor Outputs
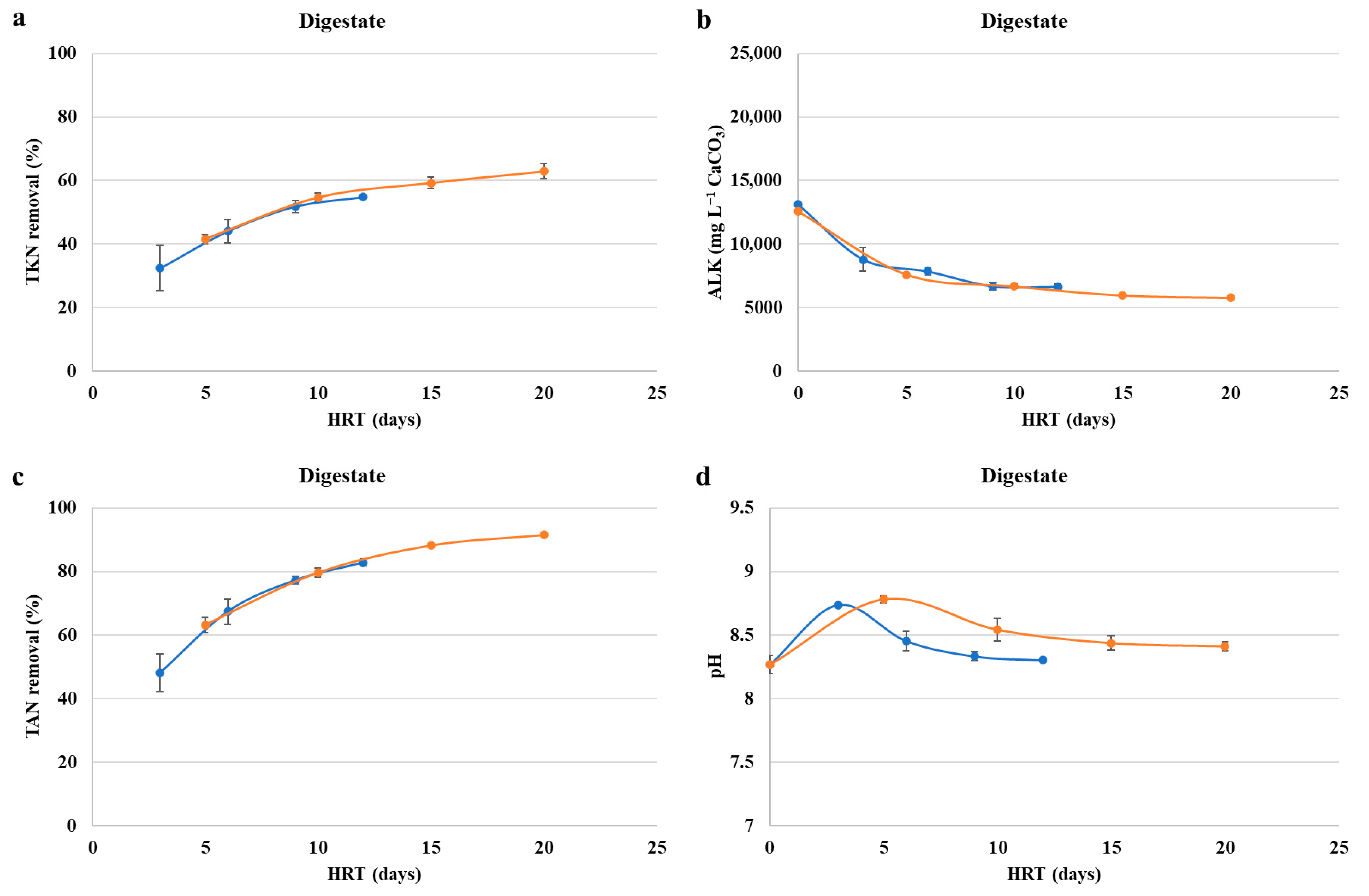
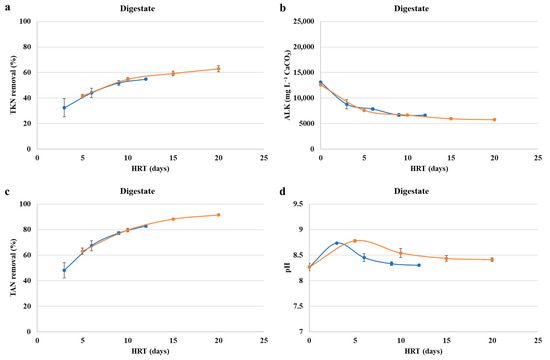
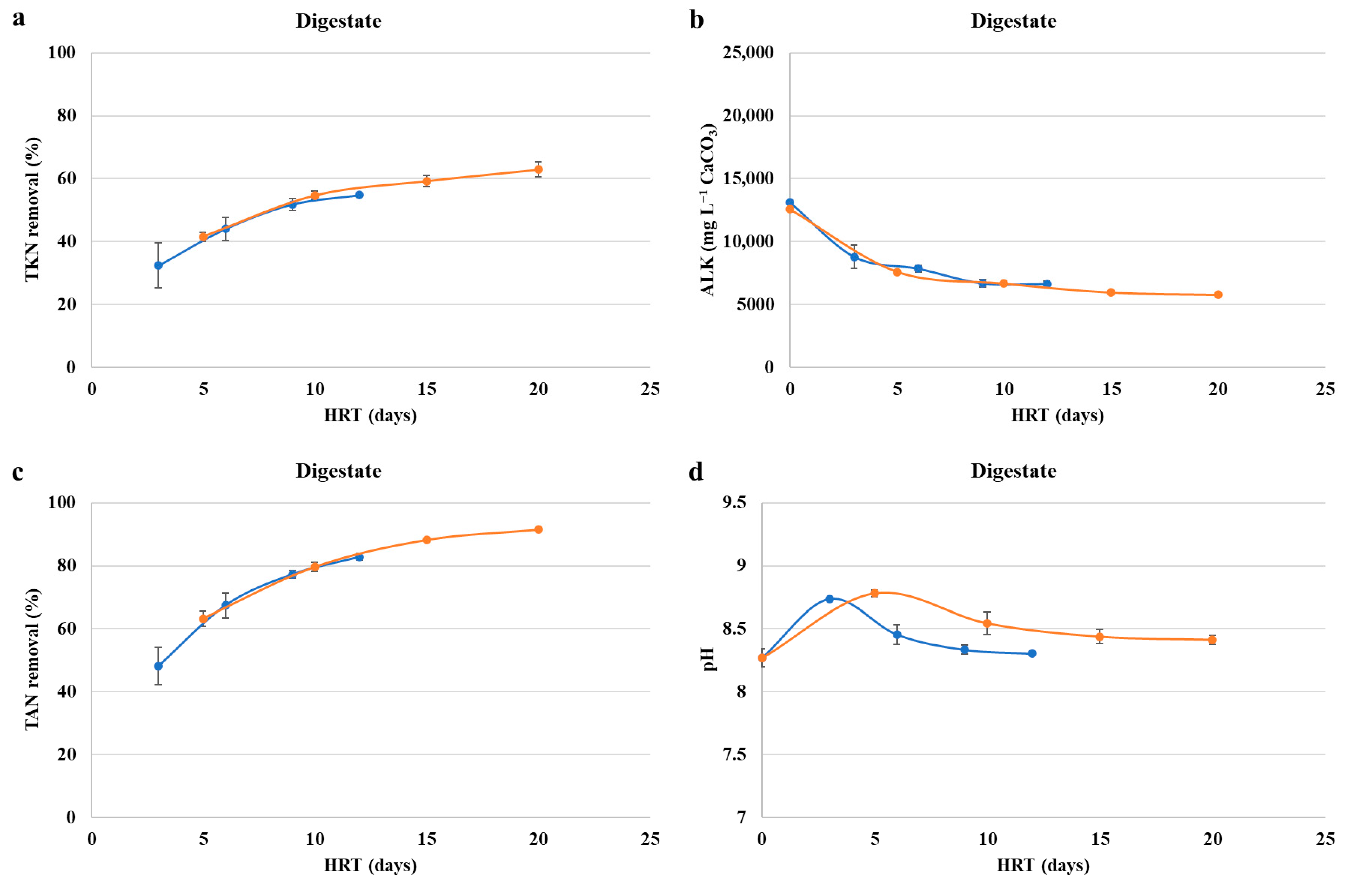
3.2. TAN Removal
3.3. Reactor Performance and Statistical Analysis
4. Conclusions
Author Contributions
Funding
Institutional Review Board Statement
Data Availability Statement
Conflicts of Interest
References
- Limoli, A.; Langone, M.; Andreottola, G. Ammonia removal from raw manure digestate by means of a turbulent mixing stripping process. J. Environ. Manag. 2016, 176, 1–10. [Google Scholar] [CrossRef] [PubMed]
- Pratt, C.; Redding, M.; Hill, J.; Jensen, P.D. Does manure management affect the latent greenhouse gas emitting potential of livestock manures? Waste Manag. 2015, 46, 568–576. [Google Scholar] [CrossRef] [PubMed]
- Szogi, A.A.; Vanotti, M.B.; Ro, K.S. Methods for Treatment of Animal Manures to Reduce Nutrient Pollution Prior to Soil Application. Curr. Pollut. Rep. 2015, 1, 47–56. [Google Scholar] [CrossRef]
- Burton, C.H.; Turner, C. Manure Management: Treatment Strategies for Sustainable Agriculture, 2nd ed.; Silsoe Research Institute: Bedford, UK, 2003; pp. 57–108. [Google Scholar]
- Georgiou, D.; Liliopoulos, V.; Aivasidis, A. Upgrading of biogas by utilizing aqueous ammonia and the alkaline effluent from air-stripping of anaerobically digested animal manure. Application on the design of a semi-industrial plant unit. J. Water Process. Eng. 2020, 36, 101318. [Google Scholar] [CrossRef]
- Provolo, G.; Perazzolo, F.; Mattachini, G.; Finzi, A.; Naldi, E.; Riva, E. Nitrogen removal from digested slurries using a simplified ammonia stripping technique. Waste Manag. 2017, 69, 154–161. [Google Scholar] [CrossRef]
- Finzi, A.; Mattachini, G.; Lovarelli, D.; Riva, E.; Provolo, G. Technical, economic, and environmental assessment of a collective integrated treatment system for energy recovery and nutrient removal from livestock manure. Sustainability 2020, 12, 2756. [Google Scholar] [CrossRef] [Green Version]
- Pedizzi, C.; Noya, I.; Sarli, J.; González-García, S.; Lema, J.M.; Moreira, M.T.; Carballa, M. Environmental assessment of alternative treatment schemes for energy and nutrient recovery from livestock manure. Waste Manag. 2018, 77, 276–286. [Google Scholar] [CrossRef]
- Provolo, G.; Mattachini, G.; Finzi, A.; Cattaneo, M.; Guido, V.; Riva, E. Global Warming and Acidification Potential Assessment of a Collective Manure Management System for Bioenergy Production and Nitrogen Removal in Northern Italy. Sustainability 2018, 10, 3653. [Google Scholar] [CrossRef] [Green Version]
- Alitalo, A.; Alakukku, L.; Aura, E. Process design and dynamics of a series of continuously fed aerated tank reactors treating dairy manure. Bioresour. Technol. 2013, 144, 350–359. [Google Scholar] [CrossRef]
- Dai, H.; Han, T.; Sun, T.; Zhu, H.; Wang, X.; Lu, X. Nitrous oxide emission during denitrifying phosphorus removal process: A review on the mechanisms and influencing factors. J. Environ. Manag. 2021, 278, 111561. [Google Scholar] [CrossRef]
- Brienza, C.; Sigurnjak, I.; Meier, T.; Michels, E.; Adani, F.; Schoumans, O.; Vaneeckhaute, C.; Meers, E. Techno-economic assessment at full scale of a biogas refinery plant receiving nitrogen rich feedstock and producing renewable energy and biobased fertilisers. J. Clean. Prod. 2021, 308, 127408. [Google Scholar] [CrossRef] [PubMed]
- Pandey, B.; Chen, L. Technologies to recover nitrogen from livestock manure—A review. Sci. Total Environ. 2021, 784, 147098. [Google Scholar] [CrossRef] [PubMed]
- Chojnacka, K.; Moustakas, K.; Witek-Krowiak, A. Bio-Based Fertilizers: A Practical Approach towards Circular Economy. Bioresour. Technol. 2020, 295, 122223. [Google Scholar] [CrossRef] [PubMed]
- Eskicioglu, C.; Galvagno, G.; Cimon, C. Approaches and processes for ammonia removal from side-streams of municipal effluent treatment plants. Bioresour. Technol. 2018, 268, 797–810. [Google Scholar] [CrossRef]
- García-González, M.C.; Vanotti, M.B. Recovery of ammonia from swine manure using gas permeable membranes: Effect of waste strength and pH. Waste Manag. 2015, 38, 455–461. [Google Scholar] [CrossRef]
- Zarebska, A.; Romero Nieto, D.; Christensen, K.V.; Fjerbæk Søtoft, L.; Norddahl, B. Ammonium fertilizers production from manure: A critical review. Crit. Rev. Environ. Sci. Technol. 2015, 45, 1469–1521. [Google Scholar] [CrossRef]
- Baldi, M.; Collivignarelli, M.C.; Abbà, A.; Benigna, I. The Valorization of Ammonia in Manure Digestate by Means of Alternative Stripping Reactors. Sustainability 2018, 10, 3073. [Google Scholar] [CrossRef] [Green Version]
- Sandars, D.L.; Audsley, E.; Cañete, C.; Cumby, T.R.; Scotford, I.M.; Williams, A.G. Environmental benefits of livestock manure management practices and technology by life cycle assessment. Biosyst. Eng. 2003, 84, 267–281. [Google Scholar] [CrossRef]
- Pexas, G.; Mackenzie, S.G.; Wallace, M.; Kyriazakis, I. Cost-effectiveness of environmental impact abatement measures in a European pig production system. Agric. Syst. 2020, 182, 102843. [Google Scholar] [CrossRef]
- Basosi, R.; Spinelli, D.; Fierro, A.; Jez, S. Mineral nitrogen fertilizers: Environmental impact of production and use. In Fertilizers: Components, Uses in Agriculture and Environmental Impacts, 1st ed.; Lòpez-Valdez, F., Luqueno, F.F., Eds.; NOVA Science Publishers Hauppauge: New York, NY, USA, 2014; Chapter 1; pp. 3–43. [Google Scholar]
- Guštin, S.; Marinšek-Logar, R. Effect of pH, temperature and air flow rate on the continuous ammonia stripping of the anaerobic digestion effluent. Process. Saf. Environ. Prot. 2011, 89, 61–66. [Google Scholar] [CrossRef]
- Palakodeti, A.; Azman, S.; Rossi, B.; Dewil, R.; Appels, L. A critical review of ammonia recovery from anaerobic digestate of organic wastes via stripping. Renew. Sustain. Energy Rev. 2021, 143, 110903. [Google Scholar] [CrossRef]
- Melgaço, L.A.O.; Meers, E.; Mota, C.R. Ammonia recovery from food waste digestate using solar heat-assisted stripping-absorption. Waste Manag. 2020, 113, 244–250. [Google Scholar] [CrossRef]
- Georgiou, D.; Liliopoulos, V.; Aivasidis, A. Investigation of an integrated treatment technique for anaerobically digested animal manure: Lime reaction and settling, ammonia stripping and neutralization by biogas scrubbing. Bioresour. Technol. Rep. 2019, 5, 127–133. [Google Scholar] [CrossRef]
- Bonmatı, A.; Flotats, X. Air stripping of ammonia from pig slurry: Characterisation and feasibility as a pre- or post-treatment to mesophilic anaerobic digestion. Waste Manag. 2003, 23, 261–272. [Google Scholar] [CrossRef]
- Di Capua, F.; Adani, F.; Pirozzi, F.; Esposito, G.; Giordano, A. Air side-stream ammonia stripping in a thin film evaporator coupled to high-solid anaerobic digestion of sewage sludge: Process performance and interactions. J. Environ. Manag. 2021, 295, 113075. [Google Scholar] [CrossRef] [PubMed]
- Lei, X.; Sugiura, N.; Feng, C.; Maekawa, T. Pretreatment of anaerobic digestion effluent with ammonia stripping and biogas purification. J. Hazard. Mater. 2007, 145, 391–397. [Google Scholar] [CrossRef] [PubMed]
- Zhao, Q.B.; Ma, J.; Zeb, I.; Yu, L.; Chen, S.; Zheng, Y.M.; Frear, C. Ammonia recovery from anaerobic digester effluent through direct aeration. Chem. Eng. J. 2015, 279, 31–37. [Google Scholar] [CrossRef]
- Song, Y.C.; Woo, J.H.; Oh, G.G.; Kim, D.H.; Lee, C.Y.; Kim, H.W. External electric field promotes ammonia stripping from wastewater. Water Res. 2021, 203, 117518. [Google Scholar] [CrossRef] [PubMed]
- APHA. Standard Methods for the Examination of Water and Wastewater; American Public Health Association; American Water Works Association and Water Environment Federation: Washington, DC, USA, 2012. [Google Scholar]
- Finzi, A.; Oberti, R.; Negri, A.S.; Perazzolo, F.; Cocolo, G.; Tambone, F.; Cabassi, G.; Provolo, G. Effects of Measurement Technique and Sample Preparation on NIR Spectroscopy Analysis of Livestock Slurry and Digestates. Biosyst. Eng. 2015, 134, 42–54. [Google Scholar] [CrossRef]
- Wang, F.; Pei, M.; Qiu, L.; Yao, Y.; Zhang, C.; Qiang, H. Performance of Anaerobic Digestion of Chicken Manure under Gradually Elevated Organic Loading Rates. Int. J. Environ. Res. Public Health 2019, 16, 2239. [Google Scholar] [CrossRef] [Green Version]
- Tao, W.; Ukwuani, A.T. Coupling Thermal Stripping and Acid Absorption for Ammonia Recovery from Dairy Manure: Ammonia Volatilization Kinetics and Effects of Temperature, PH and Dissolved Solids Content. Chem. Eng. J. 2015, 280, 188–196. [Google Scholar] [CrossRef]
- Laureni, M.; Palatsi, J.; Bonmati, A. Influence of Pig Slurry Characteristics on Ammonia Stripping Efficiencies and Quality of the Recovered Ammonium-Sulfate Solution. J. Chem. Technol. Biotechnol. 2013, 88, 1654–1662. [Google Scholar] [CrossRef]





| Test | Slurry | Reactor | Individual HRT per Reactor (Days) | Overall HRT (Days) | T (°C) | Headspace Airflow Rate (L min−1) | Intermittent Injection Airflow Rate (L min−1) |
|---|---|---|---|---|---|---|---|
| 1 | Pig (PS12) | R1 | 3 | 3 | 40 | 30/20 | 0/10 1 |
| R2 | 6 | 30 | 0 | ||||
| R3 | 9 | ||||||
| R4 | 12 | ||||||
| 2 | Pig (PS20) | R1 | 5 | 5 | 30/20 | 0/10 1 | |
| R2 | 10 | 30 | 0 | ||||
| R3 | 15 | ||||||
| R4 | 20 | ||||||
| 3 | Cattle (DCS12) | R1 | 3 | 3 | 30/20 | 0/10 1 | |
| R2 | 6 | 30 | 0 | ||||
| R3 | 9 | ||||||
| R4 | 12 | ||||||
| 4 | Cattle (DCS20) | R1 | 5 | 5 | 30/20 | 0/10 1 | |
| R2 | 10 | 30 | 0 | ||||
| R3 | 15 | ||||||
| R4 | 20 | ||||||
| 5 | Digestate (D12) | R1 | 3 | 3 | 30/20 | 0/10 1 | |
| R2 | 6 | 30 | 0 | ||||
| R3 | 9 | ||||||
| R4 | 12 | ||||||
| 6 | Digestate (D20) | R1 | 5 | 5 | 30/20 | 0/10 1 | |
| R2 | 10 | 30 | 0 | ||||
| R3 | 15 | ||||||
| R4 | 20 |
| Pig Slurry | Dairy Cattle Slurry | Digestate | |||||||||||||
|---|---|---|---|---|---|---|---|---|---|---|---|---|---|---|---|
| Input PS12 | R1 | R2 | R3 | R4 | Input DCS12 | R1 | R2 | R3 | R4 | Input D12 | R1 | R2 | R3 | R4 | |
| HRT (Days) | - | 3 | 6 | 9 | 12 | - | 3 | 6 | 9 | 12 | - | 3 | 6 | 9 | 12 |
| TS (g kg−1) | 48.0 (±8.2) | 57.7 (±0.9) | 52.7 (±3.7) | 49.6 (±4.4) | 50.9 (±2.7) | 42.9 (±0.2) | 36.1 (±0.6) | 37.7 (±1.7) | 38.7 (±0.8) | 35.2 (±0.9) | 33.1 (±3.7) | 37.7 (±0.8) | 40.7 (±1.5) | 45.3 (±0.6) | 51.5 (±1.3) |
| VS (g kg−1) | 26.5 (±5.7) | 32.6 (±0.7) | 29.4 (±3.1) | 26.8 (±3.0) | 27.1 (±2.9) | 29.1 (±0.2) | 24.2 (±0.4) | 25.1 (±1.3) | 25.5 (±0.8) | 22.9 (±1.2) | 20.9 (±2.0) | 23.7 (±0.7) | 24.9 (±0.5) | 28.0 (±0.7) | 31.8 (±0.6) |
| Ash (g kg−1) | 21.6 (±2.1) | 25.1 (±0.5) | 23.3 (±1.1) | 22.7 (±1.9) | 23.7 (±0.7) | 13.9 (±0.1) | 11.9 (±0.3) | 12.6 (±0.4) | 13.2 (±0.5) | 12.3 (±0.3) | 12.2 (±0.9) | 14.0 (±0.2) | 15.8 (±1.0) | 17.4 (±0.2) | 19.7 (±0.8) |
| VS (%TS) | 54.8 (±3.1) | 56.5 (±0.6) | 55.8 (±1.2) | 54.1 (±0.6) | 53.3 (±2.5) | 67.7 (±0.3) | 67.0 (±0.2) | 66.6 (±0.9) | 65.8 (±1.5) | 64.9 (±2.2) | 63.1 (±0.7) | 62.8 (±0.7) | 61.2 (±1.3) | 61.7 (±1.1) | 61.8 (±0.8) |
| Ash (%TS) | 45.2 (±3.1) | 43.5 (±0.6) | 44.2 (±1.2) | 45.9 (±0.6) | 46.7 (±2.5) | 32.3 (±0.3) | 33.0 (±0.2) | 33.4 (±0.9) | 34.2 (±1.5) | 35.1 (±2.2) | 36.9 (±0.7) | 37.2 (±0.7) | 38.8 (±1.3) | 38.3 (±1.1) | 38.2 (±0.8) |
| TKN (g kg−1) | 5.6 (±0.1) | 3.5 (±0.6) | 3.4 (±0.4) | 3.2 (±0.5) | 2.9 (±0.7) | 2.8 (±0.1) | 2.6 (±0.1) | 2.2 (±0.1) | 2.1 (±0.0) | 2.0 (±0.0) | 3.5 (±0.1) | 2.4 (±0.3) | 2.0 (±0.2) | 1.7 (±0.1) | 1.6 (±0.0) |
| TAN (g kg−1) | 4.0 (±0.1) | 2.4 (±0.6) | 2.1 (±0.3) | 1.9 (±0.2) | 1.6 (±0.2) | 1.3 (±0.0) | 1.2 (±0.0) | 1.1 (±0.2) | 0.9 (±0.0) | 0.8 (±0.1) | 2.2 (±0.0) | 1.1 (±0.1) | 0.7 (±0.1) | 0.5 (±0.0) | 0.4 (±0.0) |
| Organic N (g kg−1) | 1.6 (±0.1) | 1.1 (±0.1) | 1.3 (±0.2) | 1.4 (±0.3) | 1.3 (±0.4) | 1.4 (±0.1) | 1.3 (±0.1) | 1.1 (±0.1) | 1.3 (±0.0) | 1.2 (±0.1) | 1.3 (±0.1) | 1.3 (±0.1) | 1.3 (±0.1) | 1.2 (±0.1) | 1.2 (±0.1) |
| TAN/TKN (%) | 71.6 (±1.5) | 69.5 (±5.2) | 62.4 (±0.3) | 57.7 (±3.3) | 55.1 (±4.5) | 48.0 (±1.5) | 48.3 (±1.5) | 49.0 (±6.5) | 40.5 (±1.3) | 39.6 (±4.3) | 61.9 (±1.2) | 47.4 (±1.6) | 36.1 (±4.0) | 29.3 (±2.4) | 23.6 (±1.9) |
| pH | 7.9 (±0.1) | 8.7 (±0.0) | 8.4 (±0.0) | 8.3 (±0.1) | 8.0 (±0.1) | 7.3 (±0.1) | 8.4 (±0.1) | 8.6 (±0.1) | 8.5 (±0.1) | 8.5 (±0.1) | 8.3 (±0.1) | 8.7 (±0.0) | 8.5 (±0.1) | 8.3 (±0.0) | 8.3 (±0.0) |
| ALK (mg L−1 CaCO3) | 22,403 (±474) | 16,887 (±1994) | 16,042 (±182) | 16,131 (±1032) | 14,464 (±1069) | 11,330 (±524) | 10,468 (±196) | 9353 (±459) | 9064 (±688) | 8769 (±587) | 13,118 (±55) | 8800 (±929) | 7859 (±257) | 6688 (±301) | 6646 (±237) |
| ORP | −416 (±12) | −376 (±39) | −570 (±25) | −559 (±30) | −543 (±26) | −417 (±16) | −421 (±9) | −397 (±13) | −369 (±16) | −356 (±14) | −390 (±64) | −147 (±35) | −466 (±13) | −462 (±10) | −448 (±17) |
| SARR (g kg−1 d−1) | − | 0.51 (±0.16) | 0.10 (±0.11) | 0.09 (±0.03) | 0.09 (±0.01) | − | 0.03 (±0.01) | 0.04 (±0.06) | 0.08 (±0.06) | 0.03 (±0.02) | − | 0.35 (±0.04) | 0.14 (±0.02) | 0.07 (±0.02) | 0.04 (±0.01) |
| Input PS20 | R1 | R2 | R3 | R4 | Input DCS20 | R1 | R2 | R3 | R4 | Input D20 | R1 | R2 | R3 | R4 | |
| HRT (days) | - | 5 | 10 | 15 | 20 | - | 5 | 10 | 15 | 20 | - | 5 | 10 | 15 | 20 |
| TS (g kg−1) | 26.4 (±0.2) | 43.8 (±1.2) | 42.2 (±2.8) | 34.8 (±1.2) | 31.2 (±5.8) | 48.5 (±0.0) | 46.1 (±0.9) | 47.4 (±0.8) | 46.3 (±0.6) | 47.7 (±0.4) | 36.1 (±0.6) | 40.4 (±0.4) | 45.6 (±1.2) | 52.9 (±0.2) | 66.4 (±0.7) |
| VS (g kg−1) | 13.7 (±0. 3) | 20.5 (±1.6) | 21.0 (±0.9) | 16.3 (±1.1) | 17.3 (±0.1) | 32.8 (±0.4) | 30.8 (±1.1) | 31.6 (±0.6) | 30.3 (±0.4) | 31.4 (±1.1) | 22.9 (±0.4) | 25.2 (±0.5) | 28.5 (±0.7) | 32.8 (±0.2) | 41.5 (±0.4) |
| Ash (g kg−1) | 12.8 (±0. 2) | 23.2 (±2.5) | 21.3 (±3.7) | 18.6 (±2.2) | 14.0 (±5.8) | 15.7 (±0.5) | 15.3 (±0.4) | 15.8 (±0.3) | 16.0 (±0.3) | 16.2 (±0.6) | 13.2 (±0.2) | 15.2 (±0.2) | 17.1 (±0.5) | 20.1 (±0.4) | 24.9 (±0.3) |
| VS (%TS) | 51.6 (±1.3) | 47.0 (±5.5) | 50.0 (±6.9) | 46.9 (±5.6) | 57.0 (±11.5) | 67.6 (±1.2) | 66.8 (±1.6) | 66.6 (±0.4) | 65.5 (±0.6) | 65.9 (±2.0) | 63.4 (±0.1) | 62.4 (±0.7) | 62.5 (±0.2) | 62.0 (±0.7) | 62.5 (±0.2) |
| Ash (%TS) | 48.4 (±1.3) | 53.0 (±5.5) | 50.0 (±6.9) | 53.1 (±5.6) | 43.0 (±11.5) | 32.4 (±1.2) | 33.3 (±1.6) | 33.4 (±0.4) | 34.5 (±0.6) | 34.1 (±2.0) | 36.6 (±0.1) | 37.6 (±0.7) | 37.5 (±0.2) | 38.0 (±0.7) | 37.5 (±0.2) |
| TKN (g kg−1) | 3.3 (±0.2) | 1.3 (±0.2) | 1.0 (±0.3) | 1.1 (±0.2) | 0.9 (±0.2) | 3.2 (±0.0) | 2.9 (±0.0) | 2.5 (±0.0) | 2.2 (±0.0) | 1.9 (±0.0) | 3.5 (±0.1) | 2.0 (±0.0) | 1.6 (±0.1) | 1.4 (±0.0) | 1.3 (±0.1) |
| TAN (g kg−1) | 2.6 (±0.1) | 0.8 (±0.2) | 0.6 (±0.2) | 0.5 (±0.2) | 0.4 (±0.1) | 1.6 (±0.0) | 1.5 (±0.0) | 1.1 (±0.0) | 0.8 (±0.0) | 0.5 (±0.0) | 2.2 (±0.0) | 0.8 (±0.1) | 0.4 (±0.0) | 0.3 (±0.0) | 0.2 (±0.0) |
| Organic N (g kg−1) | 0.7 (±0.1) | 0.5 (±0.1) | 0.5 (±0.1) | 0.5 (±0.1) | 0.5 (±0.1) | 1.6 (±0.0) | 1.5 (±0.0) | 1.4 (±0.0) | 1.4 (±0.0) | 1.4 (±0.0) | 1.3 (±0.0) | 1.2 (±0.0) | 1.1 (±0.0) | 1.2 (±0.0) | 1.1 (±0.1) |
| TAN/TKN (%) | 79.0 (±2.7) | 60.6 (±2.6) | 54.9 (±3.6) | 51.5 (±6.4) | 46.9 (±2.8) | 50.9 (±0.1) | 49.6 (±1.2) | 45.1 (±1.0) | 37.1 (±0.9) | 28.5 (±1.1) | 63.2 (±1.1) | 39.7 (±1.9) | 28.4 (±1.2) | 18.3 (±0.6) | 14.5 (±1.6) |
| pH | 8.4 (±0.1) | 9.0 (±0.1) | 8.9 (±0.1) | 8.8 (±0.1) | 8.8 (±0.0) | 7.4 (±0.1) | 8.2 (±0.1) | 8.3 (±0.1) | 8.4 (±0.1) | 8.5 (±0.1) | 8.3 (±0.1) | 8.8 (±0.0) | 8.6 (±0.1) | 8.4 (±0.1) | 8.4 (±0.0) |
| ALK (mg L−1 CaCO3) | 14,750 (±1426) | 6561 (±692) | 6194 (±272) | 6970 (±692) | 5404 (±1000) | 12,347 (±312) | 11,422 (±166) | 10,833 (±595) | 10,521 (±139) | 10,440 (±524) | 12,562 (±201) | 7615 (±50) | 6682 (±188) | 5963 (±25) | 5774 (±46) |
| ORP | −384 (±65) | −293 (±63) | −537 (±20) | −532 (±14) | −453 (±66) | −403 (±26) | −401 (±16) | −383 (±12) | −380 (±8) | −384 (±8) | −390 (±64) | −216 (±54) | −485 (±4) | −470 (±1) | −435 (±33) |
| SARR (g kg−1 d−1) | − | 0.36 (±0.01) | 0.05 (±0.01) | 0.01 (±0.00) | 0.02 (±0.02) | − | 0.04 (±0.01) | 0.07 (±0.00) | 0.06 (±0.00) | 0.05 (±0.00) | − | 0.28 (±0.01) | 0.07 (±0.01) | 0.04 (±0.01) | 0.01 (±0.00) |
| ANOVA | |||||
|---|---|---|---|---|---|
| Model | Sum of Squares | Degree of Freedom | Mean Square | F-value | p-Value |
| Regression | 0.321 | 2 | 0.160 | 49.722 | 0.000 |
| Residual | 0.068 | 21 | 0.003 | ||
| Total | 0.389 | 23 | |||
| Regression coefficients | |||||
| R = 0.909 R2 = 0.826 Adjusted R2 = 0.809 Standard error of the estimate = 0.05681 | Model | coefficient | Standard error | t-value | p-value |
| Constant | 0.120 | 0.051 | 2.374 | 0.027 | |
| Inlet TAN (g kg−1) | 0.294 | 0.045 | 6.475 | 0.000 | |
| Inlet ALK (mg L−1 CaCO3) | −3.790 × 10−5 | 0.000 | −3.391 | 0.001 | |
Publisher’s Note: MDPI stays neutral with regard to jurisdictional claims in published maps and institutional affiliations. |
© 2022 by the authors. Licensee MDPI, Basel, Switzerland. This article is an open access article distributed under the terms and conditions of the Creative Commons Attribution (CC BY) license (https://creativecommons.org/licenses/by/4.0/).
Share and Cite
Heidarzadeh Vazifehkhoran, A.; Finzi, A.; Perazzolo, F.; Riva, E.; Ferrari, O.; Provolo, G. Nitrogen Recovery from Different Livestock Slurries with an Innovative Stripping Process. Sustainability 2022, 14, 7709. https://doi.org/10.3390/su14137709
Heidarzadeh Vazifehkhoran A, Finzi A, Perazzolo F, Riva E, Ferrari O, Provolo G. Nitrogen Recovery from Different Livestock Slurries with an Innovative Stripping Process. Sustainability. 2022; 14(13):7709. https://doi.org/10.3390/su14137709
Chicago/Turabian StyleHeidarzadeh Vazifehkhoran, Ali, Alberto Finzi, Francesca Perazzolo, Elisabetta Riva, Omar Ferrari, and Giorgio Provolo. 2022. "Nitrogen Recovery from Different Livestock Slurries with an Innovative Stripping Process" Sustainability 14, no. 13: 7709. https://doi.org/10.3390/su14137709
APA StyleHeidarzadeh Vazifehkhoran, A., Finzi, A., Perazzolo, F., Riva, E., Ferrari, O., & Provolo, G. (2022). Nitrogen Recovery from Different Livestock Slurries with an Innovative Stripping Process. Sustainability, 14(13), 7709. https://doi.org/10.3390/su14137709

